Assessing Impacts of Land Use and Land Cover (LULC) Change on Stream Flow and Runoff in Rur Basin, Germany
Abstract
1. Introduction
2. Materials and Methods
2.1. Study Area
2.2. SWAT Model Description
2.3. Model Input and Setup
2.3.1. Land Use and Soil Definition
2.3.2. Digital Elevation Model (DEM), Slope, and Hydrological Response Units (HRUs)
2.3.3. Meteorological Data
2.4. Model Sensitivity Analysis, Calibration and Validation, and Performance
2.4.1. Model Sensitivity Analysis
2.4.2. Model Calibration and Validation
2.5. Model Performance Evaluation
2.5.1. Coefficient of Determination (R2)
2.5.2. p Value and r Value
2.5.3. PBIAS Value
2.6. Scenario Generation and Impacts
3. Results and Discussion
3.1. Sensitivity Analysis
3.2. Model Calibration and Validation
3.3. Effect of LULC Change Scenarios on Stream Flows and Runoffs
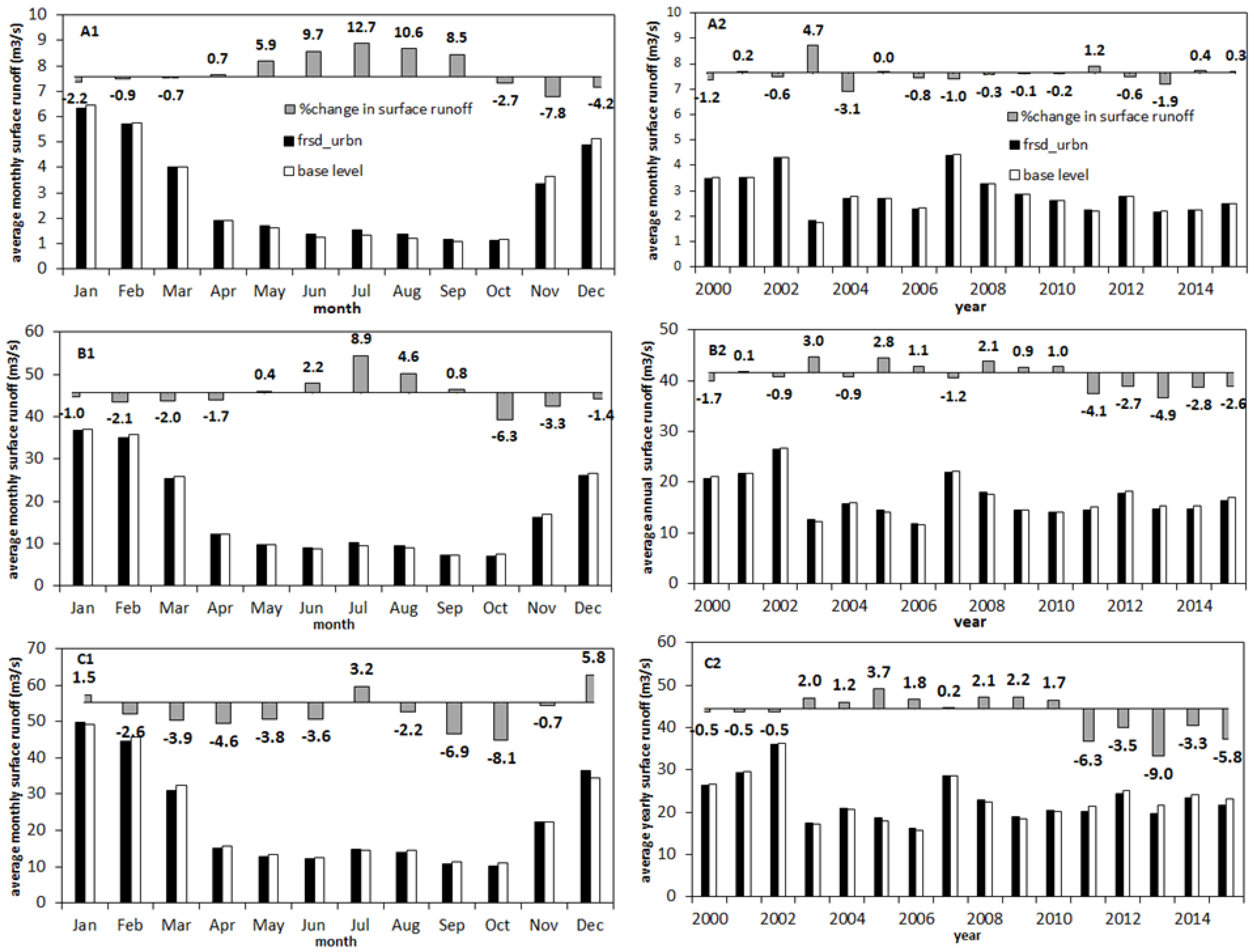
3.3.1. Forest to Urban Residential
3.3.2. Forest to Agriculture Land Conversion
3.3.3. Forest to Perennial Grassland Conversion
3.4. Discussion
4. Conclusions
Supplementary Materials
Author Contributions
Funding
Institutional Review Board Statement
Informed Consent Statement
Data Availability Statement
Acknowledgments
Conflicts of Interest
References
- Vörösmarty, C.J.; Green, P.; Salisbury, J.; Lammers, R.B. Global Water Resources: Vulnerability from Climate Change and Population Growth. Science 2000, 289, 284–288. [Google Scholar] [CrossRef] [PubMed]
- UN-Water; UNESCO. United Nations World Water Development Report 2020: Water and Climate Change; UNESCO: Paris, France, 2020. [Google Scholar]
- Turner, B.L.; Lambin, E.F.; Reenberg, A. The Emergence of Land Change Science for Global Environmental Change and Sustainability. Proc. Natl. Acad. Sci. USA 2007, 104, 20666–20671. [Google Scholar] [CrossRef] [PubMed]
- Turner, B.L.; Skole, D.; Sanderson, S.; Fischer, G.; Fresco, L.; Leemans, R. Land-Use and Land-Cover Change: Science/Research Plan. 1995. Available online: https://asu.elsevierpure.com/en/publications/land-use-and-land-cover-change-scienceresearch-plan-2 (accessed on 14 June 2023).
- Wang, J.; Bretz, M.; Dewan, M.A.A.; Aghajani Delavar, M. Machine learning in modelling land use and land cover change (LULCC): Current status, challenges and prospects. Sci. Total Environ. 2022, 822, 153559. [Google Scholar] [CrossRef] [PubMed]
- Millennium Ecosystem Assessment. Ecosystems and Human Well-Being: Synthesis; Island Press: Washington, DC, USA, 2005. [Google Scholar]
- Lambin, E.F.; Geist, H.J. Land-Use and Land-Cover Change: Local Processes and Global Impacts; Springer Science & Business Media: Berlin/Heidelberg, Germany, 2008. [Google Scholar]
- Gibbs, H.K.; Ruesch, A.S.; Achard, F.; Clayton, M.K.; Holmgren, P.; Ramankutty, N.; Foley, J.A. Tropical Forests Were the Primary Sources of New Agricultural Land in the 1980s and 1990s. Proc. Natl. Acad. Sci. USA 2010, 107, 16732–16737. [Google Scholar] [CrossRef]
- Keenan, R.J.; Reams, G.A.; Achard, F.; de Freitas, J.V.; Grainger, A.; Lindquist, E. Dynamics of Global Forest Area: Results from the FAO Global Forest Resources Assessment 2015. For. Ecol. Manag. 2015, 352, 9–20. [Google Scholar] [CrossRef]
- Welde, K.; Gebremariam, B. Effect of Land Use Land Cover Dynamics on Hydrological Response of Watershed: Case Study of Tekeze Dam Watershed, Northern Ethiopia. Int. Soil Water Conserv. Res. 2017, 5, 1–16. [Google Scholar] [CrossRef]
- Zhang, M.; Liu, N.; Harper, R.; Li, Q.; Liu, K.; Wei, X.; Ning, D.; Hou, Y.; Liu, S. A Global Review on Hydrological Responses to Forest Change across Multiple Spatial Scales: Importance of Scale, Climate, Forest Type and Hydrological Regime. J. Hydrol. 2017, 546, 44–59. [Google Scholar] [CrossRef]
- Bosch, J.M.; Hewlett, J.D. A Review of Catchment Experiments to Determine the Effect of Vegetation Changes on Water Yield and Evapotranspiration. J. Hydrol. 1982, 55, 3–23. [Google Scholar] [CrossRef]
- David, J.S.; Henriques, M.O.; David, T.S.; Tomé, J.; Ledger, D.C. Clearcutting Effects on Streamflow in Coppiced Eucalyptus Globulus Stands in Portugal. J. Hydrol. 1994, 162, 143–154. [Google Scholar] [CrossRef]
- Wu, W.; Hall, C.A.S.; Scatena, F.N. Modelling the Impact of Recent Land-Cover Changes on the Stream Flows in Northeastern Puerto Rico. Hydrol. Process. Int. J. 2007, 21, 2944–2956. [Google Scholar] [CrossRef]
- Bi, H.; Liu, B.; Wu, J.; Yun, L.; Chen, Z.; Cui, Z. Effects of Precipitation and Land use on Runoff during the Past 50 Years in a Typical Watershed in Loess Plateau, China. Int. J. Sediment Res. 2009, 24, 352–364. [Google Scholar] [CrossRef]
- Zhang, X.; Fan, J.; Cheng, G. Modelling the Effects of Land-Use Change on Runoff and Sediment Yield in the Weicheng River Watershed, Southwest China. J. Mt. Sci. 2015, 12, 434–445. [Google Scholar] [CrossRef]
- Zhang, M.; Wei, X. Deforestation, Forestation, and Water Supply. Science 2021, 371, 990–991. [Google Scholar] [CrossRef] [PubMed]
- Ring, P.J.; Fisher, I.H. The Effects of Changes in Land Use on Runoff from Large Catchments in the Upper Macintyre Valley, NSW. In Hydrology and Water Resources Symposium 1985: Preprints of Papers; Institution of Engineers: Barton, Australia, 1985; pp. 153–158. [Google Scholar]
- Costa, M.H.; Botta, A.; Cardille, J.A. Effects of Large-Scale Changes in Land Cover on the Discharge of the Tocantins River, Southeastern Amazonia. J. Hydrol. 2003, 283, 206–217. [Google Scholar] [CrossRef]
- Brown, A.E.; Zhang, L.; McMahon, T.A.; Western, A.W.; Vertessy, R.A. A Review of Paired Catchment Studies for Determining Changes in Water Yield Resulting from Alterations in Vegetation. J. Hydrol. 2005, 310, 28–61. [Google Scholar] [CrossRef]
- Sahin, V.; Hall, M.J. The Effects of Afforestation and Deforestation on Water Yields. J. Hydrol. 1996, 178, 293–309. [Google Scholar] [CrossRef]
- Brath, A.; Montanari, A.; Moretti, G. Assessing the Effect on Flood Frequency of Land Use Change via Hydrological Simulation (with Uncertainty). J. Hydrol. 2006, 324, 141–153. [Google Scholar] [CrossRef]
- Bogena, H.R.; Montzka, C.; Huisman, J.A.; Graf, A.; Schmidt, M.; Stockinger, M.; Von Hebel, C.; Hendricks-Franssen, H.J.; Van der Kruk, J.; Tappe, W. The TERENO-Rur Hydrological Observatory: A Multiscale Multi-Compartment Research Platform for the Advancement of Hydrological Science. Vadose Zone J. 2018, 17, 1–22. [Google Scholar] [CrossRef]
- Vertessy, R.A. The Impacts of Forestry on Streamflows: A Review. In Proceedings of the Second Forest Erosion Workshop on Forest Management for Water Quality and Quantity, Warburton, Australia, 4–6 May 1999; Croke, J., Lane, P., Eds.; Report 99/6. CRC for Catchment Hydrology: Melbourne, Australia, 1999; pp. 91–108. [Google Scholar]
- Niehoff, D.; Fritsch, U.; Bronstert, A. Land-Use Impacts on Storm-Runoff Generation: Scenarios of Land-Use Change and Simulation of Hydrological Response in a Meso-Scale Catchment in SW-Germany. J. Hydrol. 2002, 267, 80–93. [Google Scholar] [CrossRef]
- Knisel, W.G. CREAMS: A Field Scale Model for Chemicals, Runoff, and Erosion from Agricultural Management Systems; U.S. Department of Agriculture, Conservation Research Report No. 26; Department of Agriculture, Science and Education Administration: Washington, DC, USA, 1980. [Google Scholar]
- Williams, J.R. The Erosion-Productivity Impact Calculator (EPIC) Model: A Case History. Philos. Trans. R. Soc. Lond. Ser. B Biol. Sci. 1990, 329, 421–428. [Google Scholar]
- Izaurralde, R.C.; Williams, J.R.; McGill, W.B.; Rosenberg, N.J.; Jakas, M.C.Q. Simulating Soil C Dynamics with EPIC: Model Description and Testing against Long-Term Data. Ecol. Model. 2006, 192, 362–384. [Google Scholar] [CrossRef]
- Young, R.A.; Onstad, C.A.; Bosch, D.D.; Anderson, W.P. AGNPS: A Nonpoint-Source Pollution Model for Evaluating Agricultural Watersheds. J. Soil Water Conserv. 1989, 44, 168–173. [Google Scholar]
- Arnold, J. SWAT-Soil and Water Assessment Tool; USDA NAL: Beltsville, MD, USA, 1994. [Google Scholar]
- Arnold, J.G.; Moriasi, D.N.; Gassman, P.W.; Abbaspour, K.C.; White, M.J.; Srinivasan, R.; Santhi, C.; Harmel, R.D.; van Griensven, A.; Van Liew, M.W.; et al. SWAT: Model use, calibration, and validation. Am. Soc. Agric. Biol. Eng. 2012, 55, 1491–1508. [Google Scholar]
- Shrestha, N.K.; Wang, J. Water Quality Management of a Cold Climate Region Watershed in Changing Climate. J. Environ. Inform. 2020, 35, 56–80. [Google Scholar] [CrossRef]
- Bicknell, B.R.; Imhoff, J.C.; Kittle, J.L.; Donigian, A.S.; Johanson, R.C. Hydrological Simulation Program–Fortran (HSPF): User’s Manual for Release 12; National Exposure Research Laboratory, US Environmental Protection Agency: Athens, GA, USA, 2001. [Google Scholar]
- Shrestha, N.K.; Wang, J. Predicting Sediment Yield and Transport Dynamics of a Cold Climate Region Watershed in Changing Climate. Sci. Total Environ. 2018, 625, 1030–1045. [Google Scholar] [CrossRef]
- Nie, W.; Yuan, Y.; Kepner, W.; Nash, M.S.; Jackson, M.; Erickson, C. Assessing Impacts of Landuse and Landcover Changes on Hydrology for the Upper San Pedro Watershed. J. Hydrol. 2011, 407, 105–114. [Google Scholar] [CrossRef]
- Worku, T.; Khare, D.; Tripathi, S.K. Modeling Runoff–Sediment Response to Land Use/Land Cover Changes Using Integrated GIS and SWAT Model in the Beressa Watershed. Environ. Earth Sci. 2017, 76, 550. [Google Scholar] [CrossRef]
- Piniewski, M.; Szcześniak, M.; Kardel, I.; Berezowski, T.; Okruszko, T.; Srinivasan, R.; Schuler, D.V.; Kundzewicz, Z.W. Hydrological Modelling of the Vistula and Odra River Basins Using SWAT. Hydrol. Sci. J. 2017, 62, 1266–1289. [Google Scholar] [CrossRef]
- Nasr, A.; Bruen, M.; Jordan, P.; Moles, R.; Kiely, G.; Byrne, P. A Comparison of SWAT, HSPF and SHETRAN/GOPC for Modelling Phosphorus Export from Three Catchments in Ireland. Water Res. 2007, 41, 1065–1073. [Google Scholar] [CrossRef]
- Qiao, P.; Wang, S.; Li, J.; Zhao, Q.; Wei, Y.; Lei, M.; Yang, J.; Zhang, Z. Process, influencing factors, and simulation of the lateral transport of heavy metals in surface runoff in a mining area driven by rainfall: A review. Sci. Total Environ. 2023, 857, 159119. [Google Scholar] [CrossRef]
- Du, X.; Shrestha, N.K.; Wang, J. Integrating organic chemical simulation module into SWAT model with application for PAHs simulation in Athabasca oil sands region, Western Canada. Environ. Model. Softw. 2019, 111, 432–443. [Google Scholar] [CrossRef]
- Meshesha, T.W.; Wang, J.; Melaku, N.D. A modified hydrological model for assessing effect of pH on fate and transport of Escherichia coli in the Athabasca River basin. J. Hydrol. 2020, 582, 124513. [Google Scholar] [CrossRef]
- Eingrüber, N.; Korres, W. Climate change simulation and trend analysis of extreme precipitation and floods in the mesoscale Rur catchment in western Germany until 2099 using Statistical Downscaling Model (SDSM) and the Soil & Water Assessment Tool (SWAT model). Sci. Total Environ. 2022, 838, 155775. [Google Scholar]
- Wagena, M.B.; Bock, E.M.; Sommerlot, A.R.; Fuka, D.R.; Easton, Z.M. Development of a nitrous oxide routine for the SWAT model to assess greenhouse gas emissions from agroecosystems. Environ. Model. Softw. 2017, 89, 131–143. [Google Scholar] [CrossRef]
- Gao, X.; Ouyang, W.; Lin, C.; Wang, K.; Hao, F.; Hao, X.; Lian, Z. Considering atmospheric N2O dynamic in SWAT model avoids the overestimation of N2O emissions in river network. Water Res. 2020, 174, 115624. [Google Scholar] [CrossRef]
- Bhanja, S.N.; Wang, J. Estimating influences of environmental drivers on soil heterotrophic respiration in the Athabasca River Basin, Canada. Environ. Pollut. 2020, 257, 113630. [Google Scholar] [CrossRef]
- Glavan, M.; White, S.; Holman, I.P. Evaluation of River Water Quality Simulations at a Daily Time Step–Experience with SWAT in the Axe Catchment, UK. CLEAN–Soil Air Water 2011, 39, 43–54. [Google Scholar] [CrossRef]
- Meshesha, T.W.; Wang, J.; Melaku, N.D. Modelling spatiotemporal patterns of water quality and its impacts on aquatic ecosystem in the cold climate region of Alberta, Canada. J. Hydrol. 2020, 587, 124952. [Google Scholar] [CrossRef]
- Romanowicz, A.A.; Vanclooster, M.; Rounsevell, M.; La Junesse, I. Sensitivity of the SWAT Model to the Soil and Land Use Data Parametrisation: A Case Study in the Thyle Catchment, Belgium. Ecol. Model. 2005, 187, 27–39. [Google Scholar] [CrossRef]
- Malagò, A.; Pagliero, L.; Bouraoui, F.; Franchini, M. Comparing Calibrated Parameter Sets of the SWAT Model for the Scandinavian and Iberian Peninsulas. Hydrol. Sci. J. 2015, 60, 949–967. [Google Scholar] [CrossRef]
- Bärlund, I.; Kirkkala, T.; Malve, O.; Kämäri, J. Assessing SWAT Model Performance in the Evaluation of Management Actions for the Implementation of the Water Framework Directive in a Finnish Catchment. Environ. Model. Softw. 2007, 22, 719–724. [Google Scholar] [CrossRef]
- Hurkmans, R.T.W.L.; Terink, W.; Uijlenhoet, R.; Moors, E.J.; Troch, P.A.; Verburg, P.H. Effects of Land Use Changes on Streamflow Generation in the Rhine Basin. Water Resour. Res. 2009, 45, W06405. [Google Scholar] [CrossRef]
- Bode, H.; Evers, P.; Albrecht, D.R. Integrated Water Resources Management in the Ruhr River Basin, Germany. Water Sci. Technol. 2003, 47, 81–86. [Google Scholar] [CrossRef]
- Korres, W.; Reichenau, T.G.; Schneider, K. Patterns and scaling properties of surface soil moisture in an agricultural landscape: An ecohydrological modeling study. J. Hydrol. 2013, 498, 89–102. [Google Scholar] [CrossRef]
- Rudi, J.; Pabel, R.; Jager, G.; Koch, R.; Kunoth, A.; Bogena, H. Multiscale analysis of hydrologic time series data using the Hilbert–Huang transform. Vadose Zone J. 2010, 9, 925–942. [Google Scholar] [CrossRef]
- Arnold, J.G.; Srinivasan, R.; Muttiah, R.S.; Williams, J.R. Large area hydrologic modeling and assessment part I: Model development. J. Am. Water Resour. Assoc. 1998, 34, 73–89. [Google Scholar] [CrossRef]
- Gassman, P.W.; Reyes, M.R.; Green, C.H.; Arnold, J.G. The Soil and Water Assessment Tool: Historical Development, Applications, and Future Research Directions. Trans. ASABE 2007, 50, 1211–1250. [Google Scholar] [CrossRef]
- Wang, J.; Shrestha, N.K.; Aghajani Delavar, M.; Worku, M.T.; Bhanja, S.N. Modelling Watershed and River Basin Processes in Cold Climate Regions: A Review. Water 2021, 13, 518. [Google Scholar] [CrossRef]
- Williams, J.R.; Hann, R.W. Hymo, A problem-oriented computer language for building hydrologic models. Water Resour. Res. 1972, 8, 79–86. [Google Scholar] [CrossRef]
- Williams, J.R.; Hann, R.W. HYMO: Problem-Oriented Computer Language for Hydrologic Modeling: Users Manual; Agricultural Research Service, US Department of Agriculture, Southern Region: Washington, DC, USA, 1973; Volume 9. [Google Scholar]
- Biesbrouck, B.; Wyseure, G.; Van Orschoven, J.; Feyen, J. AVSWAT2000. Course; Laboratory for Soil and Water Management (LSWM), Catholic University of Leuven: Leuven, Belgium, 2002. [Google Scholar]
- Neitsch, S.L.; Arnold, J.G.; Kiniry, J.R.; Williams, J.R. Soil and Water Assessment Tool Theoretical Documentation (Version 2009); Texas Water Research Resources Institute, Texas A&M University: College Station, TX, USA, 2011. [Google Scholar]
- Spruill, C.A.; Workman, S.R.; Joseph, L.; Taraba, T.L. Simulation of Daily and Monthly Stream Discharge From Small Watersheds Using the SWAT Model. Transactions of the ASAE. Am. Soc. Agric. Eng. 2000, 43, 1431–1439. [Google Scholar] [CrossRef]
- Kannan, N.; White, S.M.; Worrall, F.; Whelan, M.J. Sensitivity analysis and identification of the best evapotranspiration and runoff options for hydrological modeling in SWAT-2000. J. Hydrol. 2007, 332, 456–466. [Google Scholar] [CrossRef]
- White, K.L.; Chaubey, I. Sensitivity analysis, calibration, and validations for a multisite and multivariable SWAT model. J. Am. Water Resour. Assoc. 2005, 41, 1077–1089. [Google Scholar] [CrossRef]
- McKay, M.D.; Beckman, R.J.; Conover, W.J. Comparison of Three Methods for Selecting Values of Input Variables in the Analysis of Output from a Computer Code. Technometrics 1979, 21, 239–245. [Google Scholar]
- Abbaspour, K.C.; Yang, J.; Maximov, I.; Siber, R.; Bogner, K.; Mieleitner, J.; Zobrist, J.; Srinivasan, R. Modelling hydrology and water quality in the pre-alpine/alpine Thur watershed using SWAT. J. Hydrol. 2007, 333, 413–430. [Google Scholar] [CrossRef]
- Guo, H.; Hu, Q.; Jaing, T. Annual and seasonal streamflow responses to climate and land-cover changes in the Poyang Lake basin, China. J. Hydrol. 2008, 355, 106–122. [Google Scholar] [CrossRef]
- Legates, D.R.; McCabe, G.J. Evaluating the use of “goodness-of-fit” measures in hydrologic and hydroclimatic model validation. Water Resour. Res. 1999, 35, 233–241. [Google Scholar] [CrossRef]
- Abbaspour, K.C.; Rouholahnejad, E.; Vaghefi, S.; Srinivasan, R.; Yang, H.; Kløve, B. A continental-scale hydrology and water quality model for Europe: Calibration and uncertainty of a high-resolution large-scale SWAT model. J. Hydrol. 2015, 524, 733–752. [Google Scholar] [CrossRef]
- Moriasi, D.N.; Arnold, J.G.; Van Liew, M.W.; Bingner, R.L.; Harmel, R.D.; Veith, T.L. Model Evaluation Guidelines for Systematic Quantification of Accuracy in Watershed Simulations. Trans. ASABE 2007, 50, 885–900. [Google Scholar] [CrossRef]
- Abbaspour, K.C. Swat-Cup 2012: SWAT Calibration and Uncertainty Program—A User Manual; Eawag Swiss Federal Institute of Aquatic Science and Technology: Dübendorf, Switzerland, 2013. [Google Scholar]
- Sangrey, D.A.; Harrop-Williams, K.O.; Klaiber, J.A. Predicting Ground-Water Response to Precipitation. J. Geotech. Eng. 1984, 110, 957–975. [Google Scholar] [CrossRef]
- Niraula, R.; Meixner, T.; Norman, L.M. Determining the Importance of Model Calibration for Forecasting Absolute/Relative Changes in Streamflow from LULC and Climate Changes. J. Hydrol. 2015, 522, 439–451. [Google Scholar] [CrossRef]
- Moriasi, D.N.; Gitau, M.W.; Pai, N.; Daggupati, P. Hydrologic and water quality models: Performance measures and evaluation criteria. Trans. ASABE 2015, 58, 1763–1785. [Google Scholar]
- Kendall, M.G. Rank Correlation Methods; Griffin: Santa Barbara, CA, USA, 1948. [Google Scholar]
- Mann, H.B. Nonparametric tests against trend. Econom. J. Econom. Soc. 1945, 13, 245–259. [Google Scholar] [CrossRef]
- Sheng, Y.; Pilon, P.; Cavadias, G. Power of the Mann–Kendall and Spearman’s rho tests for detecting monotonic trends in hydrological series. J. Hydrol. 2002, 259, 254–271. [Google Scholar]
- Wagner, P.D.; Kumar, S.; Schneider, K. An Assessment of Land Use Change Impacts on the Water Resources of the Mula and Mutha Rivers Catchment Upstream of Pune, India. Hydrol. Earth Syst. Sci. 2013, 17, 2233–2246. [Google Scholar] [CrossRef]
- Marhaento, H.; Booij, M.J.; Rientjes, T.H.M.; Hoekstra, A.Y. Attribution of Changes in the Water Balance of a Tropical Catchment to Land Use Change Using the SWAT Model. Hydrol. Process. 2017, 31, 2029–2040. [Google Scholar] [CrossRef]
- Ghaffari, G.; Keesstra, S.; Ghodousi, J.; Ahmadi, H. SWAT-Simulated Hydrological Impact of Land-Use Change in the Zanjanrood Basin, Northwest Iran. Hydrol. Process. Int. J. 2010, 24, 892–903. [Google Scholar] [CrossRef]













| Station | Year | Period | Evaluation of Statistics | |||
|---|---|---|---|---|---|---|
| p | r | R2 | PBIAS | |||
| Monschau (sub-basin 21) | 2000–2010 | Calibration | 0.81 | 0.84 | 0.60 | 11.3 |
| 2011–2015 | Validation | 0.78 | 0.52 | 0.67 | 30.5 | |
| Linnich (sub-basin 6) | 2000–2010 | Calibration | 0.67 | 1.42 | 0.71 | −4.4 |
| 2011–2015 | Validation | 0.63 | 1.12 | 0.66 | −17.3 | |
| Stah (sub basin 1) | 2000–2010 | Calibration | 0.53 | 1.8 | 0.73 | −8.6 |
| 2011–2015 | Validation | 0.48 | 1.49 | 0.69 | −29.2 | |
| Station | Scenario | Average Daily Runoff Change (%) | Average Daily Runoff Change (Stdev) (%) | Average Long-Term (16 Years) Runoff Change (%) |
|---|---|---|---|---|
| Frsd_urbn | Monschau (sub-basin 21) | 7.42 | 56.20 | −0.36 |
| Linnich (sub-basin 6) | −6.47 | 29.87 | 2.17 | |
| Stah (sub-basin 1) | −9.42 | 27.30 | −8.97 | |
| Frsd_agrl | Monschau (sub-basin 21) | 1.74 | 7.08 | 0.81 |
| Linnich (sub-basin 6) | 0.55 | 1.95 | 0.54 | |
| Stah (sub-basin 1) | 1.18 | 7.64 | 0.46 | |
| Frsd_rnge | Monschau (sub-basin 21) | −1.93 | 4.84 | −0.72 |
| Linnich (sub-basin 6) | −0.65 | 1.39 | −0.60 | |
| Stah (sub-basin 1) | −0.10 | 2.86 | −0.45 |
Disclaimer/Publisher’s Note: The statements, opinions and data contained in all publications are solely those of the individual author(s) and contributor(s) and not of MDPI and/or the editor(s). MDPI and/or the editor(s) disclaim responsibility for any injury to people or property resulting from any ideas, methods, instructions or products referred to in the content. |
© 2023 by the authors. Licensee MDPI, Basel, Switzerland. This article is an open access article distributed under the terms and conditions of the Creative Commons Attribution (CC BY) license (https://creativecommons.org/licenses/by/4.0/).
Share and Cite
Shukla, S.; Meshesha, T.W.; Sen, I.S.; Bol, R.; Bogena, H.; Wang, J. Assessing Impacts of Land Use and Land Cover (LULC) Change on Stream Flow and Runoff in Rur Basin, Germany. Sustainability 2023, 15, 9811. https://doi.org/10.3390/su15129811
Shukla S, Meshesha TW, Sen IS, Bol R, Bogena H, Wang J. Assessing Impacts of Land Use and Land Cover (LULC) Change on Stream Flow and Runoff in Rur Basin, Germany. Sustainability. 2023; 15(12):9811. https://doi.org/10.3390/su15129811
Chicago/Turabian StyleShukla, Saurabh, Tesfa Worku Meshesha, Indra S. Sen, Roland Bol, Heye Bogena, and Junye Wang. 2023. "Assessing Impacts of Land Use and Land Cover (LULC) Change on Stream Flow and Runoff in Rur Basin, Germany" Sustainability 15, no. 12: 9811. https://doi.org/10.3390/su15129811
APA StyleShukla, S., Meshesha, T. W., Sen, I. S., Bol, R., Bogena, H., & Wang, J. (2023). Assessing Impacts of Land Use and Land Cover (LULC) Change on Stream Flow and Runoff in Rur Basin, Germany. Sustainability, 15(12), 9811. https://doi.org/10.3390/su15129811

