Abstract
Achieving synergistic development of efficient urban land use and the natural environment is crucial in promoting green urbanization. The assessment of land use eco-efficiency (LUEE) and its temporal–spatial changes provides an effective means of quantifying the relationship between the urban ecological environment and land use. Targeting 55 selected cities in the Yellow River Basin (YRB), in this study, we utilize the Super-EBM method to gauge the LUEE. We explore the temporal patterns and the spatial convergence of LUEE utilizing kernel density estimation and spatial econometric methods. Considering the resource and environmental costs of land use, we assumed the industrial pollutant emissions generated during urban land use as the undesired outputs and designed a framework for measuring the level of LUEE under double constraints, which theoretically revealed the formation process and spatial convergence mechanism of LUEE. The results show the following: (1) Throughout the sample period, the LUEE of the YRB urban agglomeration decreased from 0.158 in 2009 to 0.094 in 2020, indicating a decreasing spatial disparity in LUEE over time. Notably, the Lanxi urban cluster exhibited the largest gap in LUEE, whereas the Guanzhong Plain urban agglomeration displayed the smallest gap. The hyper-variable density exceeded the inter-group gap as the main factor leading to the difference in LUEE. (2) Although the LUEE of urban agglomerations has increased, there still exists a noticeable polarization phenomenon. (3) The LUEE of YRB demonstrates a pattern of conditional convergence and exerts a significant spatial spillover effect. Over time, the LUEE of YRB will tend towards an individual steady state. The findings have implications for strengthening linkage and synergy among cities in YRB, promoting factor integration across administrative regions, and formulating heterogeneous policies.
1. Introduction
Urbanization is a result of the progress of human civilization. China is currently experiencing an urbanization phase [1], and this continuing process is dramatically increasing the demand for urban land. In 2021, the urbanization rate in China reached 64.7%, contributing significantly to economic growth and increasing farmers’ incomes [2]. The Yellow River Basin (YRB), spanning eastern, central, and western China, is an area where issues concerning economic and social development, as well as the ecosystem, are particularly prominent. In 2019, the value of urbanization in the YRB was 3.7 percentage points lower than the national average [3]. In the past, extensive land use practices tended to ignore the eco-efficiency of land use itself, resulting in issues such as low land use efficiency, sloppy use, and ecological degradation in various cities within the YRB. Statistics from the Ministry of Natural Resources show that in the YRB, 14.47 hectares of new construction land is consumed for every unit of GDP growth, which is about 1.60 times the national average [3,4,5]. The land average GDP and investment intensity of fixed assets in building land are relatively lower than the Chinese average, showing the characteristics of rapid expansion of building land but a low land use efficiency. Furthermore, the proportion of building land in cities and rural areas in the YRB is about 2.32%, the proportion of arable land area is about 18.64%, and the proportion of ecological conservation land area is about 79.04%. The intensity of land development in the YRB (urban area) is 8.53%, higher than the nationwide average of 7.02%, and as high as 16.04% and 18.01% in the downstream areas of Henan and Shandong [6]. The intensity of land resource use in certain areas has exceeded the eco-environmental carrying capacity, threatening the ecological and environmental security of the watershed. “Eco-efficiency” also refers to the environmental management of nature [7]. The unilateral pursuit of a high expected output of land in the urbanization process, which reduces our ability to be in contact with nature [8,9], is no longer compatible with the current ecological philosophy.
The Central Committee of the Communist Party of China took the modern route of prioritizing ecology and green development by proposing the promotion of comprehensive ecological improvement of beach areas. With a focus on intensive land use and environmental protection [9], their strategy was to obtain the maximum economic, social, and eco-efficiency with the least land investment—crucial to achieving regional green development [10]. How to enhance the LUEE and establish the rational urban planning and governance framework [11,12,13], especially the coordinated development of land use and ecology, are fundamental points of common concern in current academic circles. The study of the ecological efficiency of land use can provide decision-making support for optimizing ecological conservation projects and achieving green urban development [14,15,16].
The available research literature on land use has focused on efficiency measures and their influencing factors. On the one hand, the measurement methods of land-use efficiency are the entropy method [17], the DEA method [18,19], stochastic frontier analysis (SFA) [20], the Cobb–Douglas production function, and the Malmquist index [21,22]. Chen et al. (2016) assessed the built-up land efficiency of urban areas utilizing the DEA model and investigated the influence of urban structures on land use efficiency [23]. Xie and Wang (2015) [24] and Jiang (2021) [25] employed the SBM model to measure the land use efficiency of Chinese cities. On the other hand, some studies have identified factors such as industrial structures, population density, GDP per capita, foreign direct investment, and degree of marketization as influencing land use efficiency [24,26]. Zhou et al. (2022) concluded that per capita food ownership was the major element of agricultural land use efficiency in most areas of the YRB [27]. Xue et al. (2022) found that population density, foreign investment, level of innovation, and transportation facilities contributed to urban land use efficiency in the YRB [28]. In addition, several scholars have also started to focus on the relationship between land use and the ecological environment. Huang et al. (2017) found that the FDI and firm heterogeneity significantly affect land use efficiency in economic development zones [29]. Zhu et al. (2019) found that economic development, infrastructure, and markets significantly impact land use efficiency [30]. Li et al. (2022) concluded that concentrated urban land use in China had differential beneficial effects on lifestyle and the eco-environment [31]. In summary, existing studies provide a good research basis for this study, but further expansion and improvement are still needed. This study takes a total of 54 prefecture-level cities in five urban agglomerations in the YRB as the research objects, measuring the urban land use eco-efficiency of these urban agglomerations for the 2009–2020 period and analyzing the convergence characteristics.
The marginal contributions of this study are as follows. First, the remaining literature mainly focuses on the measurement and drivers of land use efficiency [32], while research on the ecological efficiency of land use is still lacking. This study systematically explores the formation process of the “resource–economic–ecological” system in land use and the convergence mechanism, which can provide theoretical support for analyzing the distributional evolution of LUEE. Second, the land use efficiency in the existing literature reflects the connection between land use and economic output, which have not integrated ecological indicators that encompass non-expected outputs. We assumed industrial pollutant emissions as the undesired outputs and designed a framework for measuring the level of LUEE under the two constraints, which helped us understand the relation between urban land use and ecology. Third, although certain researchers have studied the relationship between land use and ecology [33], they have not yet measured LUEE. The Super-EBM model and spatial econometric methods are applied to measure the LUEE and reveal its spatial and temporal evolutionary characteristics, which can bridge this shortcoming.
2. Analysis Framework
Applicable to agricultural land, the urban land use eco-efficiency can reveal the interaction between the environment and the economy in the land use process [34,35,36,37]. During China’s urbanization process, many rural laborers flocked to the cities, which increased the need for land [38,39]. As this urbanization continues, the area of land used for urban construction is rapidly expanding [40,41]. The increasing regional imbalances and disparities in urban development directly hinder the harmonious relationship between urban development and the eco-environment [42,43]. First, as shown in Figure 1, in terms of ecological resource inputs, the process of land use alters the utilization levels of various land resources, thereby promoting the establishment of the urban infrastructure [44,45]. Each type of land resource exhibits different levels of economically efficient outputs. A high level of economically efficient land output stimulates the flow of production factors towards sectors with higher productivity or growth rates [46]. In addition, the rapid expansion of cities poses a substantial risk to sustainable urban development [47]. Unreasonable urban land use results in a substantial waste of land area [48,49,50] and consumes a considerable amount of arable land [51,52,53], leading to the inevitable generation of large quantities of pollutants and emissions, which negatively impact the eco-efficiency [54].
Figure 1.
The formation process of land use eco-efficiency.
Secondly, land use exerts an impact on eco-efficiency through its influence on economic outputs. On one hand, agricultural land users strive to maximize economic output per unit of land area by implementing agricultural mechanization and modernization [55,56]. Urban land users utilize funding to introduce new technological innovations [57,58] and optimize the allocation of land resources [59], aiming to maximize economic output with minimal land inputs and industrial pollutant emissions [46]. Additionally, the Chinese government, as a key participant in land resource development and utilization [60], can reallocate and manage land resources to maximize the financial returns derived from land development. The health of regional biodiversity and ecosystem services will deteriorate if an increased land use efficiency is pursued at the expense of neglecting the ecosystem bearing capacity [55,61], impacting the ecological benefits of land use [62,63]. Conversely, if the development of land resources is constrained to protect the health of the ecosystem, the phase urbanization process will slow down [64].
Accompanying the acceleration of new urbanization, production factors such as capital and labor will over-concentrate in a specific geographic space, resulting in a “crowding effect”, which would lead to the transfer of some factors to neighboring regions. In addition, technological spillover has an evident controlling effect on pollutant emissions from land use, so that the LUEE of neighboring cities tends to increase simultaneously. At the macro level, in the context of the increasing the dependence of economic development on technological progress, secondary and tertiary industries are closely linked in terms of scale, structure, and spatial layout. Inter-industry synergistic development and technology diffusion promote the upgrading of industrial structure in the direction of low-carbonization and low-pollution, and the LUEE of cities tends to be spatially convergent. In addition, national support policies promote the concentration of knowledge and technology factors in less developed areas, thus increasing the LUEE of cities in such areas. The Chinese central government issued the Outline of the Plan for the Ecological Protection and High-Quality Development of the YRB, which requires cities to make rational use of land resources in beach areas and to implement the differentiated use control of land space in such areas.
In the long run, with the application of green technology, the upgrading of the industrial structure, and the implementation of favorable government policies, the economic output of land use and industrial pollutant emissions on the constraints of LUEE will be weakened, and the theoretical phenomenon of spatial convergence should occur. Therefore, achieving the optimal exploitation of land resources and improving land use eco-efficiency are essential strategies to promote green urban development [65]. Examining the land use eco-efficiency helps us understand the relationship between ecological resources and land use and is conducive to facilitating the coordinated development of a natural resource–economy–ecological system (Figure 1).
3. Materials and Methods
3.1. Sample Selection and Data Source
Considering the administrative divisions, 55 cities were selected as the sample for this study, covering five major urban agglomerations in the YRB. We used ArcGIS 10.2 software to map the urban agglomerations in the YRB. Figure 2 depicts the spread of the five major urban agglomerations in the YRB, including the Central Plains (CP), Lanxi (LX), Guanzhong Plain (GP), Shandong Peninsula (SP), and Hubao–Egyu (HE). The data used were from the China Urban Statistical Yearbook and the statistical yearbooks of each province (city) in 2009–2020. The specific city groups in the YRB are listed in Appendix A. The relevant descriptions of the data sources used in this study are shown in Table 1.
Figure 2.
The location distribution of five urban agglomerations in the YRB.
Table 1.
Data information and sources.
3.2. Methods
3.2.1. Super-EBM Model
To avoid the limitations of the DEA method, which often relies on strict assumptions, Tone et al. proposed an EBM model that incorporates radial and non-radial efficiency measures [66]. However, a challenge remains in analyzing the efficiency differences among the evaluated units (DMUs). To address this issue, Andersen et al. proposed a Super-DEA model that can differentiate between efficient DMUs [67]. In this study, to ensure the comparability of efficiency values, we constructed a non-desired output, non-oriented, and scaled payoff-invariant Super-EBM model to measure land use eco-efficiency (LUEE) in the YRB. The formulas for the model are as follows.
where is the integrated efficiency value, denotes the number of inputs, denotes the number of DMUs, denotes the number of desirable outputs, denotes the number of undesirable outputs, denotes the inputs, denotes the desirable outputs, denotes the undesirable outputs, , , and are the weights of the corresponding output variables, is the calculated radial efficiency, and and are slack variables.
3.2.2. The Dagum Gini Coefficient
In this study, the Dagum Gini coefficient and the subgroup decomposition method were chosen to analyze spatial differences in the LUEE in urban agglomerations [68]. The Dagum Gini coefficient takes into account the crossover between samples and the distribution of sub-samples, allowing for more accurate tracking of the sources of spatial variation [69,70,71]. Before decomposing the Dagum Gini coefficient, each urban cluster should be ranked according to its average level of LUEE. Formulas (A1) and (A2) are shown in Appendix B. The Dagum Gini coefficient is decomposed into three components, including the contribution of intra-regional disparity , inter-regional disparity and hyper-variance density . Here, denotes the distribution gap of LUEE within city group , denotes the distribution gap of LUEE between city groups and , and denotes the residual term of cross-influence of LUEE among the five major city groups. In measuring , the Gini coefficients within urban clusters and between and urban clusters are calculated. Formulas (A3)–(A10) are shown in Appendix B.
3.2.3. The Kernel Density Estimation
In this section, the kernel density estimation was chosen to profile the dynamic evolution of LUEE in urban agglomerations. A widely adopted non-parametric estimation method with an emphasis on focusing on the actual data, it has been commonly applied to research inhomogeneous distributions of geospatial things [72,73,74,75]. We assume that is the density function reflecting the LUEE in urban agglomerations and is an independent identically distributed sample.
where n represents the number of samples. The Gauss kernel function, the most widely used, is given in Formula (4).
3.2.4. Convergence Analysis
convergence implies that the dispersion of LUEE in different regions decreases over time. The coefficient of variation was chosen to measure the dispersion of the data in this study [76,77] and is calculated as follows.
where is the LUEE of city within city group in period . represents the number of cities within city group . represents the average level of LUEE in city group in period .
Absolute convergence assumes that the LUEEs of the different cities in the YRB have the same external conditions [78,79]. This study tests whether the LUEEs of different urban agglomerations converge to the same steady state. The formula is given below.
In order to reduce the bias, and considering the role of spatial agglomeration or correlation in the convergence of the LUEE in urban agglomerations [80], spatial effects are included in the absolute convergence model.
where is the spatial weight matrix and and denote the LUEE of urban agglomeration in periods and . If and is significant, this implies that urban agglomerations with a low LUEE have a tendency to catch up with urban agglomerations with a higher LUEE.
Drawing on the relevant studies [81,82,83], we considered that the convergence of LUEE in urban agglomerations may be affected by other factors, so control variables () were introduced to construct a conditional convergence model. The formulas are as follows.
3.3. Indicator System
Combining the connotation of LUEE [84,85], this study proposes an evaluation system of LUEE for urban agglomerations in terms of both input and output dimensions. As shown in Table 2, input indicators include the average number of employees, the average total water supply, the average total social electricity consumption, and the built-up area. The expected output indicator includes urban GDP per unit of land area and urban disposable income per capita. The non-expected output indicator includes industrial sulfur dioxide emissions, industrial soot emissions, and average and industrial wastewater emissions. In this study, we calculated the LUEE based on DEA-SOLVER Pro 15 software (v15).
Table 2.
Evaluation system of LUEE.
Drawing on the relevant literature [85,86], this study introduces six control variables for the convergence analysis: the level of urban transportation infrastructure (), the level of urban public service facilities (), population density (), the level of information technology (), the degree of external openness (), and government behavior (), as shown in Table 3.
Table 3.
Selection and measurement of variables.
4. Results
4.1. Analysis of Measurement Results
4.1.1. Spatial Gap Analysis of LUEE in the YRB Urban Agglomeration
In Table 3, except for small fluctuations in individual years, the overall spatial disparity of LUEE in the YRB shows a decreasing trend during the period from 2009 to 2020, indicating that the spatial gap in LUEE of urban agglomerations in the YRB decreased over time. The sample period can be divided into two phases according to the characteristics of the changes in the values in the table. The first stage was from 2009 to 2012, during which the spatial gap decreased from a maximum of 0.158 in 2009 to 0.138 in 2012, with an average annual decrease of 3.3%. The second stage was from 2013 to 2020, during which the value shows a decreasing trend, with an average decrease of 5.4%. Compared with the first stage, the decrease in spatial gap in the second stage increased.
In Table 4, the LUEE of CP, LX, and GZ all showed decreasing trends. Unlike the characteristics of the above urban agglomerations, the LUEE of SP and HE did not change significantly over the sample period, indicating that the spatial disparity in LUEE of these two urban agglomerations did not improve significantly. From the mean values, it can be seen that the spatial differences are the largest in LX, followed by CP, and the smallest in GZ. Thus, it can be seen that the imbalance in LUEE between LX and CP is higher than that for other regions.
Table 4.
Spatial Gini coefficient and its decomposition.
In addition, the factors leading to spatial differences in the LUEE of the YRB have the characteristics of stage changes, and comprise two stages. During the period from 2009 to 2016, the contribution rates of inter-regional disparity exceeded those of intra-regional disparity and hypervariable density, indicating that the main factor leading to the difference in LUEE is inter-regional disparity. The second stage was 2016 to 2020, during which hypervariable density became the main factor leading to differences in LUEE. Overall, the changes in the contribution rate of intra-regional disparity stabilized in the range of 27–34%. The contribution rate of inter-regional disparity generally exhibited a decreasing trend, from 45.64% in 2009 to 24.42% in 2020. The contribution rate of hypervariable density brought by inter-group overlap tended to increase, ranging from 26.88% in 2009 to 44.21% in 2020, which indicates that the influence of the cross-overlap component on the overall gap generation gradually became larger.
Table 5 shows that the spatial gap between urban agglomerations tended to decrease over the period. Except for the spatial gap between SP-HE and GP-SP, the gap in LUEE between the urban agglomerations gradually diminished over time.
Table 5.
Inter-regional Gini coefficient.
4.1.2. Kernel Density Analysis of LUEE in Urban Agglomerations in the YRB
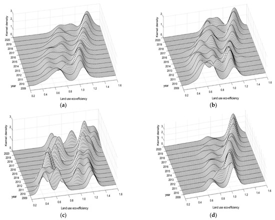
We found the relative trajectories of LUEE for urban agglomerations in the YRB but could not reveal the dynamic distribution characteristics of LUEE in each urban agglomeration. Accordingly, this study adopted the kernel density estimation method to depict the changes in LUEE for each region. MATLAB 2022b software was used to plot the kernel density estimation results shown in Figure 3. Regarding the location of the distribution, Figure 3 shows that, in general, the center of gravity of nuclear density distribution curves in the YRB shifted to the right, suggesting that the LUEE in the YRB improved over time. In terms of main peak distribution, it appears that the height of the kernel density curve increased and its width shrank for the urban agglomerations, suggesting that the absolute differences in LUEE among cities decreased during the sample period. However, it is noteworthy that the main peak of the kernel density curve in the Lanxi urban agglomeration shows a brief downward shift in height, implying that there was a greater pressure to improve LUEE in this region during the sample period. In terms of extensibility, there is a left-trailing phenomenon in the distribution curve of nuclear density in the YRB, which means that the LUEE of certain cities in the region is apparently lower than that of others in the same region. In terms of number of peaks, there are double peaks, and even triple peaks, in the YRB in the sample period. This indicates a polarization of land use eco-efficiency between cities. For example, the distance from the main peak to the side peaks of the Hubao–Egyu urban agglomeration is farther, indicating the existence of a relatively significant polarization phenomenon among cities.

Figure 3.
Kernel density curves for urban agglomerations. (a) The Yellow River Basin, (b) Central Plains, (c) Lanxi, (d) Guanzhong Plain, (e) Shandong Peninsula, (f) Hubao–Egyu.
The LUEE greatly spatially varies in different regions, and this spatial variation depends to some extent on urban industrial structure, land use patterns, and environmental protection measures. For this reason, this study conducted a convergence analysis of LUEE in the YRB so as to further examine its spatial and temporal evolution characteristics.
4.2. Spatial Convergence Analysis
4.2.1. σ Convergence Analysis
Using Equation (5), we calculated the variation coefficients of LUEE for the five urban agglomerations in the YRB from 2009 to 2020. In Figure 4, during the sample period, the variation coefficients of LUEE show an overall decreasing trend with σ convergence characteristics.
Figure 4.
σ-convergence trends of land use eco-efficiency.
The Central Plains urban agglomeration (CP) maintained a gentle decrease during the sample period. The Lanxi urban agglomeration (LX) remained on a downward trend from 2009 to 2016, and then experienced a large fluctuation. The Hubao –Egyu urban agglomeration (HE) and the Guanzhong Plain urban agglomeration (GP) do not show a significant downward trend. The Shandong Peninsula urban agglomeration experienced less fluctuations in the early stage, with the phenomenon of a “tail” appearing after 2019. The LUEE of the YRB shows a clear gradient trend and regional imbalances. Except for HE and GP, the development of LUEE in all urban agglomerations tends towards σ convergence.
4.2.2. 𝛽 Convergence Analysis
The spatial lag model (SAR) and spatial error model (SEM) were used to study the convergence of the combined LUEE panel data for the five urban agglomerations in the YRB from 2009 to 2020. Estimates of the econometric regression model were calculated using Stata 17 software. If the results indicate the presence of spatial interactions in the model, a spatial econometric model that incorporates spatial effects should be constructed. In Table 6, the LM lag and LM error statistics both passed the 1% level of significance test. The value of the LM Lag statistic is larger than that of the LM Error statistic, and the robust LM Lag is statistically more significant. For this study, we selected the fixed-effects spatial lag model for convergence analysis.
Table 6.
Results of the model selection test.
The estimation results for absolute β convergence are presented in Table 7. The convergence coefficients are less than zero in both models. The coefficients do not pass the significance test in the spatial lag model, indicating that the overall absolute convergence trend of the LUEE for the five urban agglomerations in the YRB is not obvious. This indicates that the LUEE in the YRB urban agglomerations has no significant absolute β convergence. When possible influences such as city economic level, market environment, and infrastructure are omitted, the likelihood of the LUEE of individual cities in the YRB eventually converging to an identical stable level over time is very low. The spatial lag coefficient is significant, indicating that, in general, the convergence trend for LUEE in urban agglomerations has a positive spatial correlation.
Table 7.
Estimation results of absolute
convergence.
Table 8 presents the results for the conditional β convergence. As can be seen, the coefficients of β are significantly smaller than zero for both the general regression model and the spatial lag model, suggesting that, in general, the LUEE tends towards conditional convergence after the incorporation of control variables. Considering the control variables, the LUEE of each urban agglomeration gradually evolves over time towards the steady-state level of the respective region. Moreover, the coefficient in the spatial lag model is significantly greater than zero, suggesting that the spatial spillover effects contribute positively to the convergence of LUEE in the YRB. Among the control variables, the improvement of the urban transportation infrastructure level can promote the convergence of LUEE.
Table 8.
Estimation results of conditional convergence.
5. Discussion
5.1. Analysis of Spatio-Temporal Characteristics of LUEE in the YRB
Urbanization exerts a significant impact on LUEE. Measuring LUEE provides an effective quantitative approach to studying the relation between the ecological environment and land use. While existing studies have incorporated expected outputs in the evaluation of land use efficiency [23,24,25], which partially reflect the connection between land use and economic output, they have not integrated land use efficiency with ecological indicators that encompass non-expected outputs. In contrast to land use efficiency evaluations, the LUEE emphasizes the integrated balance between environmental and economic output benefits of land use [87]. Surprisingly, there is a scarcity of literature that considers undesirable outputs and examines the spatial and temporal aspects of LUEE in the YRB. This study systematically explored the concept of the “resource–economic–ecological” system in land use from the point of view of ecological green development. The EBM model was utilized to measure LUEE in 55 cities within the YRB, providing insights into the spatio-temporal evolution of LUEE. This approach enhanced our understanding regarding the relation between urban land use and ecology in a more comprehensive manner. The findings indicate that during the sample period, the spatial disparity in LUEE among urban agglomerations in the YRB decreased over time, aligning with the conclusions of Sun et al. [88].
The LX urban agglomeration exhibited the largest gap in LUEE, followed by CP, suggesting a significantly higher degree of LUEE imbalance between cities within these two urban agglomerations than in other regions. The factors contributing to the spatial differences in LUEE within the YRB demonstrated a phased pattern of change [3]. Before 2016, interregional disparities made a substantial contribution compared to other factors. However, after 2016, hyper-variable density became the primary factor driving differences in LUEE, indicating a gradual increase in the impact of overlapping factors on spatial variation. The core density curve of LUEE in the YRB shifted to the right, displaying a bimodal or even trimodal distribution. Over time, the LUEE in the YRB improved consistently, leading to a reduction in spatial disparities. The urban agglomerations within the YRB exhibit distinct variations in terms of resource endowment, geographical location, and development conditions [85,86]. Notably, the limited availability of land in the middle and upper reaches of the YRB exacerbates the conflict between ecological preservation and economic development, resulting in a multipolarization phenomenon in the LUEE within the urban agglomerations of the YRB.
5.2. Analysis of Spatial Convergence of LUEE in the YRB
There is a relatively limited amount of convergence analyses of LUEE in the literature. However, studying convergence is an essential aspect of land use research as it reflects whether there is a catch-up effect in LUEE among regional cities; it also reflects the robustness of LUEE spatio-temporal evolution characteristics [80]. In this study, it was observed that the spatial spillover effect contributed positively to the conditional convergence process of LUEE in the YRB. Cities with initially low LUEEs in the basin exhibited a “catch-up effect”, where in the LUEE of each city converges towards a stable state. This finding is similar to that of Song et al. [3] and different from that of Ruan et al. [87]. Unlike the axial development pattern observed in the Yangtze River Economic Belt [87], the various urban agglomerations along the YRB, influenced by factors such as location endowment, demonstrated room for improvement in terms of economic connectivity, quality of labor division and collaboration, and the level of coordinated progress. This study analyzed the convergence of urban LUEE in the YRB by constructing a convergence model. The findings can help identify shortcomings in urban development and eco-environmental protection within the YRB and provide reasonable solutions for improving urban LUEE [31,83]. It is noted that blindly implementing policies that aim to reduce LUEE differences between cities may ignore the diversity of land needs of different regions in terms of industry, ecology, population, and energy. In 2020, the nine provinces and regions along the Yellow River will account for 80 percent, 58 percent, 44 percent, and 52 percent of the national production of raw coal, coke, raw salt, and caustic soda products, respectively. The standardization of planning and development has potential negative impacts on the industrial structure of cities, the industrial base, and the lives of residents. Combined with the basic conditions and the carrying capacity of the resources and environment of the cities, the evaluation of the suitability of urban land space development in the YRB is a prerequisite for the implementation of planning policies.
5.3. Recommendations
To enhance land use eco-efficiency (LUEE) in the YRB, it is crucial to strengthen the synergy among urban clusters and promote the integration of elements across administrative regions. Firstly, cities should establish cross-regional cooperation organizations to unify the deployment of land use, industrial development, infrastructure construction, and ecological protection strategies. This will facilitate the establishment of efficient and intensive industrial chains and clusters, leading to an efficient land use pattern. Secondly, cities should accelerate the market-based reform of land resources and explore institutional, technological, and management innovations to enhance the efficiency of land resource allocation and stimulate economic benefits and ecological utilization efficiency in the YRB.
Given the heterogeneity of LUEE in different urban agglomerations, it is imperative to adopt tailored approaches to enhance LUEE. Consequently, a standardized set of policies cannot be universally applied across regions to effectively synchronize urbanization and the ecological efficiency of arable land use. First, in the upper reaches of the YRB, the imperative lies in fortifying the ecological service of land and enhancing the scale efficiency of land utilization. This entails the implementation of a protection-oriented point development mode, augmented investment in factors, promotion of novel technologies and concepts, judicious avoidance of ecologically sensitive and fragile areas, and further augmentation of scale efficiency in land utilization. Second, the middle reaches of the YRB predominantly revolve around resource-based industries, characterized by a significantly higher land urbanization rate than the rate of population urbanization. In this context, the efficiency of land use and the level of land marketization are at their nadir, consequently leading to a pronounced redundancy of land input factors. To address these challenges, optimizing the input structure of factors is paramount, with a focal point on the optimization of extant land resources. This encompasses bolstering the oversight of high-pollution emissions during land utilization processes and propelling the adjustment and upgrading of the energy industry structure through technological advancements and innovations. Third, the lower reaches of the YRB exhibit particularly high levels of economic development, thereby exacerbating the conflict between land development and the preservation of arable land, along with the general phenomenon of diminishing land scale compensation. In this regard, cities within the lower reaches ought to concentrate their efforts on agglomeration and intensive development. This involves augmenting the allocation efficiency of capital and labor across diverse industries and fostering the enhancement of comprehensive land efficiency through the augmentation of technical efficiency measures.
6. Conclusions
6.1. Conclusions
This study utilized the Super-EBM model to assess the LUEE of 55 cities within the Yellow River Basin. Moreover, the Dagum Gini coefficient and kernel density estimation techniques were employed to investigate the spatial variation characteristics and dynamic evolutionary patterns of LUEE, followed by an examination of spatial convergence.
During the sample period, with minor fluctuations in certain years, the LUEE in the YRB generally exhibited a decreasing trend. This trend suggests a reduction in the spatial disparity of LUEE among urban agglomerations over time. Furthermore, except for SP-HE and GP-SP, the gaps between the city groups narrowed progressively over time. The contribution rate of excess density resulting from intergroup overlap showed an overall increasing trend. Kernel density estimation results revealed that the center of gravity of the LUEE for the YRB urban agglomeration shifted to the right, with a reduced width and the presence of double or even triple peaks. These findings indicate an improvement in LUEE over time and a decrease in spatial disparities, albeit with discernible polarization. A conditional β convergence analysis, after introducing control variables, revealed a trend of conditional convergence in the YRB urban agglomeration. The spatial spillover effect made a positive contribution to the conditional convergence of LUEE in the YRB, suggesting that cities with a lower LUEE tend to experience a “catch-up effect” with cities with a higher LUEE.
6.2. Limitations
This study has certain limitations. The evaluation of LUEE in this study only includes specific non-desired output indicators such as land average industrial wastewater emissions, land average industrial soot emissions, and land average industrial SO2 emissions. Data on pollutants such as nitrogen oxides, volatile organic compounds (VOCs), and particulate matter (PM) are significantly missing in most cities in the statistical yearbooks, so these pollutants were not taken into account in this study. Other important pollutants and environmental changes were not considered due to the availability of relevant data. In addition, the positive eco-efficiency of the land use process has not been included. Therefore, on one hand, with the help of text mining methods or big data technology to collect data on land pollution, nitrogen oxides, and other non-expected output indicators, such as the amount of media coverage of urban land pollution events and carbon emission data, will make up for the limitations of the lack of non-expected output indicators in this study, which is one of the directions of future research. On the other hand, searching for suitable indicators to measure the positive eco-benefits arising from the urban land use process and incorporating them into the system of desired output indicators is another one of the future research directions.
Author Contributions
Conceptualization, F.K. and K.Z.; methodology, K.Z. and L.C.; software, K.Z. and L.C.; validation, H.F., Y.L. and T.W.; formal analysis, F.K.; investigation, F.K. and K.Z.; resources, K.Z. and L.C.; data curation, K.Z. and H.F.; writing—original draft preparation, K.Z. and L.C.; writing—review and editing, F.K. and K.Z.; visualization, H.F., Y.L. and T.W.; supervision, F.K.; project administration, F.K.; funding acquisition, F.K. All authors have read and agreed to the published version of the manuscript.
Funding
This research was funded partly by the project of National Social Science Founds of China in 2022 (22CTJ017).
Institutional Review Board Statement
Not applicable.
Informed Consent Statement
Not applicable.
Data Availability Statement
The data presented in this study are available on request from the corresponding author.
Acknowledgments
The authors extend great gratitude to the anonymous reviewers and editors for their helpful review and critical comments. We confirm the consent of all individuals involved.
Conflicts of Interest
The authors declare no conflict of interest.
Appendix A
Table A1.
The 55 cities in the Yellow River Basin.
Table A1.
The 55 cities in the Yellow River Basin.
| Urban Agglomerations | City | No. of Cities |
|---|---|---|
| Central Plains | Zhengzhou, Luoyang, Kaifeng, Anyang, Nanyang, Shangqiu, Xinxiang Pingdingshan, Xuchang, Jiaozuo, Zhoukou, Xinyang, Zhumadian Handan, Heze, Hebi, Jincheng, Liaocheng, Luohe, Puyang, Sanmenxia, Suzhou Xingtai, Yuncheng, Changzhi, Bengbu, Haozhou, Fuyang, Huaibei | 29 |
| Lanxi | Baiyin, Dingxi, Lanzhou, Xining | 4 |
| Guanzhong Plain | Xianyang, Xi’an, Yuncheng, Shangluo, Baoji, Pingliang, Tongchuan, Linfen, Tianshui, Weinan | 10 |
| Shandong Peninsula | Qingdao, Dongying, Rizhao, Zibo, Jinan, Weifang, Yantai, Weihai | 8 |
| Hubao–Egyu | Huhho, Baotou, Erdos, Yulin | 4 |
Appendix B
References
- Zhao, Z.; Bai, Y.; Wang, G. Land eco-efficiency for new-type urbanization in the Beijing-Tianjin-Hebei Region. Technol. Forecast. Soc. 2018, 137, 19–26. [Google Scholar] [CrossRef]
- Yao, M.; Zhang, Y. Evaluation and optimization of urban land-use efficiency: A case study in Sichuan Province of China. Sustainability 2021, 13, 1771. [Google Scholar] [CrossRef]
- Song, C.; Liu, Q.; Song, J.; Jiang, Z.; Lu, Z.; Chen, Y. Land-use efficiency in the Yellow River Basin in the background of China’s economic transformation: Spatial-temporal characteristics and influencing factors. Land 2022, 11, 2306. [Google Scholar] [CrossRef]
- Xie, H.; Chen, Q.R.; Wang, W.; He, Y.F. Analyzing the green efficiency of arable land use in China. Technol. Forecast. Soc. 2018, 133, 15–28. [Google Scholar] [CrossRef]
- Zhang, R.; Lu, J. Spatial-temporal pattern and convergence characteristics of provincial urban land-use efficiency under environmental constraints in China. Int. J. Environ. Res. Public Health 2022, 19, 10729. [Google Scholar] [CrossRef]
- Zhu, X.; Li, Y.; Zhang, P.; Wei, Y.; Zheng, X.; Xie, L. Temporal–spatial characteristics of urban land-use efficiency of China’s 35mega cities based on DEA: Decomposing technology and scale efficiency. Land Use Policy 2019, 88, 104083. [Google Scholar] [CrossRef]
- Hukkinen, J. Eco-efficiency as abandonment of nature. Ecol. Econ. 2001, 38, 311–315. [Google Scholar] [CrossRef]
- Abbas, A.; Zhao, C.; Ullah, W.; Ahmad, R.; Waseem, M.; Zhu, J. Towards Sustainable Farm Production System: A Case Study of Corn Farming. Sustainability 2021, 13, 9243. [Google Scholar] [CrossRef]
- Kent, M.; Schiavon, S. Evaluation of the effect of landscape distance seen in window views on visual satisfaction. Build. Environ. 2020, 183, 107160. [Google Scholar] [CrossRef]
- Cheng, H.; Yu, T.; Zhang, H.; Duan, K.; Zhu, J. Dynamic Estimation of Urban Land-use efficiency and Sustainability Analysis in China. Sustainability 2022, 14, 13843. [Google Scholar] [CrossRef]
- Pang, Y.; Wang, X. Land-Use Efficiency in Shandong (China): Empirical Analysis Based on a Super-SBM Model. Sustainability 2020, 12, 10618. [Google Scholar] [CrossRef]
- Yang, B.; Wang, Z.Q.; Zou, L.; Zou, L.L.; Zhang, H.W. Exploring the eco-efficiency of cultivated land utilization and its influencing factors in China’s Yangtze River Economic Belt, 2001–2018. J. Environ. Manag. 2021, 294, 112939. [Google Scholar] [CrossRef]
- Wang, Y.; Li, B. The Spatial Disparities of Land-Use Efficiency in Mainland China from 2000 to 2015. Int. J. Environ. Res. Public Health 2022, 19, 9982. [Google Scholar] [CrossRef]
- Koroso, N.H. Urban land policy and urban land use efficiency: An analysis based on remote sensing and institutional credibility thesis. Land Use Policy 2023, 132, 106827. [Google Scholar] [CrossRef]
- Xu, N.; Zhao, D.; Zhang, W.; Zhang, H.; Chen, W.; Ji, M.; Liu, M. Innovation-Driven Development and Urban Land Low-Carbon Use Efficiency: A Policy Assessment from China. Land 2022, 11, 1634. [Google Scholar] [CrossRef]
- Liu, Z.; Zhang, L.; Rommel, J.; Feng, S. Do land markets improve land-use efficiency? evidence from Jiangsu, China. Appl. Econ. 2019, 52, 317–330. [Google Scholar] [CrossRef]
- Fu, Y.; Zhou, T.; Yao, Y.; Qiu, A.; Wei, F.; Liu, J.; Liu, T. Evaluating efficiency and order of urban land use structure: An empirical study of cities in Jiangsu, China. J. Clean. Prod. 2021, 283, 124638. [Google Scholar] [CrossRef]
- Liu, C.; Zhao, G. Convergence analysis of Chinese urban green land-use efficiency. Environ. Sci. Pollut. Res. 2022, 29, 89469–89484. [Google Scholar] [CrossRef]
- Gao, J.; Song, J.; Wu, L. A new methodology to measure the urban construction land-use efficiency based on the two-stage DEA model. Land Use Policy 2022, 112, 105799. [Google Scholar]
- Deng, X.; Gibson, J. Sustainable land use management for improving land eco-efficiency: A case study of Hebei, China. Ann. Oper. Res. 2018, 290, 265–277. [Google Scholar] [CrossRef]
- Xie, H.; Chen, Q.; Lu, F.; Wang, W.; Yao, G.; Yu, J. Spatial-temporal disparities and influencing factors of total-factor green use efficiency of industrial land in China. J. Clean. Prod. 2019, 207, 1047–1058. [Google Scholar] [CrossRef]
- Huang, J.; Xue, D. Study on Temporal and Spatial Variation Characteristics and Influencing Factors of Land-use efficiency in Xi’an, China. Sustainability 2019, 11, 103390. [Google Scholar] [CrossRef]
- Chen, Y.; Chen, Z.; Xu, G.; Tian, Z. Built-up land efficiency in urban China: Insights from the General Land Use Plan (2006–2020). Habitat Int. 2016, 51, 31–38. [Google Scholar] [CrossRef]
- Xie, H.; Wang, W. Spatiotemporal differences and convergence of urban industrial land use efficiency for China’s major economic zones. J. Geogr. Sci. 2015, 25, 1183–1198. [Google Scholar] [CrossRef]
- Jiang, H. Spatial-temporal differences of industrial land use efficiency and its influencing factors for China’s central region: Analyzed by SBM model. Environ. Technol. Innov. 2021, 22, 101489. [Google Scholar] [CrossRef]
- Xie, H.; Chen, Q.; Lu, F.; Wu, Q.; Wang, W. Spatial-temporal disparities, saving potential and influential factors of industrial land-use efficiency: A case study in urban agglomeration in the middle reaches of the Yangtze River. Land Use Policy 2018, 75, 518. [Google Scholar] [CrossRef]
- Zhou, H.; Wu, D.; Li, J.; Liang, J.; Zhang, D.; Chen, W. Cultivated land-use efficiency and its driving factors in the Yellow River Basin, China. Ecol. Indic. 2022, 144, 109411. [Google Scholar] [CrossRef]
- Xue, D.; Yue, L.; Ahmad, F.; Muhammad, D.; Chandio, A.; Ahmad, M.; Amin, W. Empirical investigation of urban land-use efficiency and influencing factors of the Yellow River basin Chinese cities. Land Use Policy 2022, 117, 106117. [Google Scholar] [CrossRef]
- Huang, Z.; He, C.; Zhu, S. Do China’s economic development zones improve land use efficiency? The effects of selection, factor accumulation and agglomeration. Landsc. Urban Plan. 2017, 162, 145–156. [Google Scholar] [CrossRef]
- Zhu, X.; Zhang, P.; Wei, Y.; Li., Y.; Zhao, H. Measuring the efficiency and driving factors of urban land use based on the DEA method and the PLS-SEM model-a case study of 35 large and medium-sized cities in China. Sustain. Cities Soc. 2019, 50, 101646. [Google Scholar] [CrossRef]
- Li, B.; Wang, Z.; Chai, J. Verifying the synthesized effects of intensive urban land use on quality of life, ecology, and urban-land-use scale in China. Land 2022, 11, 727. [Google Scholar] [CrossRef]
- Wang, Q.; Wang, Y.; Chen, W.; Zhou, X.; Zhao, M. Factors affecting industrial land use efficiency in China: Analysis from government and land market. Environ. Dev. Sustain. 2021, 23, 10973–10993. [Google Scholar] [CrossRef]
- Chang, J.; Wang, W.; Liu, J. Industrial upgrading and its influence on green land use efficiency. Sci. Rep. 2023, 13, 2813. [Google Scholar] [CrossRef] [PubMed]
- Berman, M.G.; John, J.; Kaplan, S. The cognitive benefits of interacting with nature. Psychol. Sci. 2008, 19, 1207–1212. [Google Scholar] [CrossRef]
- Liu, Y. Introduction to land use and rural sustainability in China. Land Use Policy 2018, 74, 1–4. [Google Scholar] [CrossRef]
- Elahi, E.; Khalid, Z.; Tauni, M.Z.; Zhang, H.; Lirong, X. Extreme weather events risk to crop-production and the adaptation of innovative management strategies to mitigate the risk: A retrospective survey of rural Punjab, Pakistan. Technovation 2022, 117, 102255. [Google Scholar] [CrossRef]
- Zhang, Y.; Wei, Y.; Zhang, J. Overpopulation and urban sustainable development-population carrying capacity in shanghai based on probability-satisfaction evaluation method. Environ. Dev. Sustain. 2020, 23, 3318–3337. [Google Scholar] [CrossRef]
- Bei, H.; Wu, C.; Feng, K. Regional disparity and dynamic evolution of land economic density-evidence from the Yangtze River Delta area. J. Nat. Res. 2009, 24, 1952–1961. [Google Scholar]
- Wu, Y.; Hui, E.C.M.; Zhao, P.; Long, H. Land use policy for urbanization in China. Habitat Int. 2018, 77, 40–42. [Google Scholar] [CrossRef]
- Liu, H.; Weng, Q. Landscape metrics for analysing urbanization-induced land use and land cover changes. Geocarto Int. 2013, 28, 582–593. [Google Scholar] [CrossRef]
- Gao, M.; Chen, B.; Xu, Y.; Li, D. Heterogeneous impacts of global land urbanization on land-use structure from economic and technological perspectives. Ecol. Indic. 2023, 147, 109955. [Google Scholar] [CrossRef]
- Long, X.; Ji, X.; Ulgiati, S. Is urbanization eco-friendly? An energy and land use cross-country analysis. Energy Policy 2017, 100, 387–396. [Google Scholar] [CrossRef]
- Zeng, P.; Wei, X.; Duan, Z. Coupling and coordination analysis in urban agglomerations of China: Urbanization and ecological security perspectives. J. Clean. Prod. 2022, 365, 132730. [Google Scholar] [CrossRef]
- Tsai, K.; Tung, C.; Deng, M.; Lin, Y. Identification of the relationship between urbanization and bird nest migration using buffer and similarity analyses. Sustain. Cities Soc. 2020, 62, 102426. [Google Scholar] [CrossRef]
- Gun, Z.; Hu, Y.; Zheng, X. Evaluating the effectiveness of land use master plans in built-up land management: A case study of the Jinan Municipality, Eastern China. Land Use Policy 2020, 91, 104369. [Google Scholar]
- Yue, L.; Miao, J.; Ahmad, F.; Draz, M.U.; Guan, H.; Chandio, A.A.; Abid, N. Investigating the role of international industrial transfer and technology spillovers on industrial land production efficiency: Fresh evidence based on Directional Distance Functions for Chinese provinces. J. Clean. Prod. 2022, 340, 130814. [Google Scholar] [CrossRef]
- Ahmad, M.; Zhao, Z.; Li, H. Revealing stylized empirical interactions among construction sector, urbanization, energy consumption, economic growth and CO2 emissions in China. Sci. Total Environ. 2019, 657, 1085–1098. [Google Scholar] [CrossRef]
- Peng, B.; Li, Y.; Elahi, E.; Wei, G. Dynamic evolution of ecological carrying capacity based on the ecological footprint theory: A case study of Jiangsu Province. Ecol. Indic. 2019, 99, 19–26. [Google Scholar] [CrossRef]
- Elahi, E.; Khalid, Z.; Zhang, Z. Understanding Farmers’ Intention and Willingness to Install Renewable Energy Technology: A Solution to Reduce the Environmental Emissions of Agriculture. Appl. Energy 2022, 309, 118459. [Google Scholar] [CrossRef]
- Liu, Y.; Gao, H.; Cai, J.; Lu, Y.; Fan, Z. Urbanization path, housing price and land finance: International experience and China’s facts. Land Use Policy 2022, 113, 105866. [Google Scholar] [CrossRef]
- Kuang, B.; Lu, X.; Zhou, M.; Chen, D. Provincial cultivated land-use efficiency in China: Empirical analysis based on the SBM-DEA model with carbon emissions considered. Technol. Forecast. Soc. 2020, 151, 119874. [Google Scholar] [CrossRef]
- Abbas, A.; Waseem, M.; Ahmad, R.; Khan, K.A.; Zhao, C.; Zhu, J. Sensitivity analysis of greenhouse gas emissions at farm level: Case study of grain and cash crops. Environ. Sci. Pollut. Res. 2022, 29, 82559–82573. [Google Scholar] [CrossRef] [PubMed]
- Song, W.; Pijanowski, B.C. The effects of China’s cultivated land balance program on potential land productivity at a national scale. Appl. Geogr. 2014, 46, 158–170. [Google Scholar] [CrossRef]
- Searchinger, T.D.; Wirsenius, S.; Beringer, T.; Dumas, P. Assessing the efficiency of changes in land use for mitigating climate change. Nature 2018, 564, 249–253. [Google Scholar] [CrossRef]
- UgliM, M.D. Economic evaluation of land in land fund diversification. Int. J. Fin. Account. Manag. 2020, 1, 167–172. [Google Scholar]
- Lyu, X.; Peng, W.; Yu, W.; Xin, Z.; Niu, S.; Qu, Y. Sustainable intensification to coordinate agricultural efficiency and environmental protection: A systematic review based on metrological visualization. J. Land Use Sci. 2021, 16, 313–338. [Google Scholar] [CrossRef]
- Wood, P. Urban Development and Knowledge-Intensive Business Services: Too Many Unanswered Questions? Growth Chang. 2006, 37, 335. [Google Scholar] [CrossRef]
- Sun, J.; Zhou, T. Urban shrinkage and eco-efficiency: The mediating effects of industry, innovation and land-use. Environ. Impact Asses. 2023, 98, 106921. [Google Scholar] [CrossRef]
- Feng, W.; Li, J. International technology spillovers and innovation quality: Evidence from China. Econ. Anal. Policy 2021, 72, 289–308. [Google Scholar] [CrossRef]
- Giordan, R.; Pluchinotta, I.; Pagano, A.; Scrieciu, A.; Nanu, F. Enhancing nature-based solutions acceptance through stakeholders’ engagement in co-benefits identification and trade-offs analysis. Sci. Total Environ. 2020, 713, 136552. [Google Scholar] [CrossRef]
- Ouyang, X.; Tang, L.; Wei, X.; Li, Y. Spatial interaction between urbanization and ecosystem services in Chinese urban agglomerations. Land Use Policy 2021, 109, 105587. [Google Scholar] [CrossRef]
- Pan, H.; Page, J.; Cong, C.; Barthel, S.; Kalantari, Z. How ecosystems services drive urban growth: Integrating nature-based solutions. Anthropocene 2021, 35, 100297. [Google Scholar] [CrossRef]
- Zhang, X.; Lu, X.; Chen, D.; Zhang, C.; Ge, K.; Kuang, B.; Liu, S. Is environmental regulation a blessing or a curse for China’s urban land-use efficiency? Evidence from a threshold effect model. Growth Change 2021, 52, 265–282. [Google Scholar] [CrossRef]
- Xie, X.; Fang, B.; Xu, H.; He, S.; Li, X. Study on the coordinated relationship between Urban Land-use efficiency and ecosystem health in China. Land Use Policy 2021, 102, 105235. [Google Scholar] [CrossRef]
- Ferreira, M.D.P.; Feres, J.G. Farm size and land-use efficiency in the Brazilian Amazon. Land Use Policy 2020, 99, 104901. [Google Scholar] [CrossRef]
- Tone, K.; Tsutsui, M. An epsilon-based measure of efficiency in DEA—A third pole of technical efficiency. Eur. J. Oper. Res. 2010, 207, 1554–1563. [Google Scholar] [CrossRef]
- Andersen, P.; Petersen, N.C. A Procedure for Ranking Efficient Units in Data Envelopment Analysis. Manag. Sci. 1993, 39, 1261–1264. [Google Scholar] [CrossRef]
- Dagum, C. A new approach to the decomposition of the Gini income inequality ratio. Empir. Econ. 1997, 22, 515–531. [Google Scholar] [CrossRef]
- Lv, C.; Bian, B.; Lee, C.; He, Z. Regional gap and the trend of green finance development in China. Energy Econ. 2021, 102, 105476. [Google Scholar] [CrossRef]
- Ma, T.; Liu, Y.; Yang, M. Spatial-Temporal Heterogeneity for Commercial Building Carbon Emissions in China: Based the Dagum Gini Coefficient. Sustainability 2022, 14, 5243. [Google Scholar] [CrossRef]
- Zhang, L.; Ma, X.; Ock, Y.S.; Qing, L. Research on Regional Differences and Influencing Factors of Chinese Industrial Green Technology Innovation Efficiency Based on Dagum Gini Coefficient Decomposition. Land 2022, 11, 122. [Google Scholar] [CrossRef]
- Wu, C.; Ye, X.; Ren, F.; Du, Q. Check-in behaviour and spatio-temporal vibrancy: An exploratory analysis in Shenzhen, China. Cities 2018, 77, 104–116. [Google Scholar] [CrossRef]
- Majdara, A.; Nooshabadi, S. Nonparametric Density Estimation Using Copula Transform, Bayesian Sequential Partitioning, and Diffusion-Based Kernel Estimator. IEEE Trans. Knowl. Data Eng. 2020, 32, 821–826. [Google Scholar] [CrossRef]
- Zhen, A.; Zhang, J.; Zhang, Z.; Zhao, j. Identifying the density of grassland fire points with kernel density estimation based on spatial distribution characteristics. Open Geosci. 2021, 13, 796–806. [Google Scholar]
- Wang, N.; Li, S.; Kang, Q.; Wang, Y. Exploring the land ecological security and its spatio-temporal changes in the Yangtze River Economic Belt of China, 2000–2020. Ecol. Indic. 2023, 154, 110645. [Google Scholar] [CrossRef]
- Feng, X.; Li, Y.; Yu, E.; Yang, J.; Wang, S.; Yuan, W. Spatiotemporal evolution pattern and simulation of the coupling of carbon productivity and land development in the Yangtze River Delta, China. Ecol. Inform. 2023, 77, 102186. [Google Scholar] [CrossRef]
- Zhou, Y.; Li, G.; Zhou, S.; Hu, D.; Zhang, S.; Kong, L. Spatio-temporal differences and convergence analysis of green development efficiency of marine economy in China. Ocean Coast. Manag. 2023, 238, 106560. [Google Scholar] [CrossRef]
- Ma, R. Empirical Analysis of Economic Growth Trend of Coastal Areas Based on Convergence Effect. J. Coast. Res. 2020, 103, 33–36. [Google Scholar] [CrossRef]
- Yang, X.; Fang, Z.; Yin, L.; Li, J.; Lu, S.; Zhao, Z. Revealing the relationship of human convergence-divergence dynamics and land use: A case study on Shenzhen city, China. Cities 2019, 95, 102384. [Google Scholar] [CrossRef]
- Abbassi, F.; Haq, M. A spatial econometric analysis of convergence in global environmental performance. Environ. Sci. Pollut. Res. 2022, 29, 37513–37526. [Google Scholar] [CrossRef]
- Tong, X. The Spatiotemporal Evolution Pattern and Influential Factor of Regional Carbon Emission Convergence in China. Adv. Meteorol. 2020, 1, 4361570. [Google Scholar] [CrossRef]
- Li, Z.; Li, D.; Yang, W.; Qi, X. The spatial-temporal evolution and spatial convergence of ecological total factor productivity in china. Energy Environ. 2022, 33, 617–639. [Google Scholar] [CrossRef]
- Gu, Y.; Qi, C.; Liu, F.; Lei, Q.; Ding, Y. Spatiotemporal Evolution and Spatial Convergence Analysis of Total Factor Productivity of Citrus in China. Agriculture 2023, 13, 1258. [Google Scholar] [CrossRef]
- Maciel, A.M.; Camara, G.; Vinhas, L.; Picoli, M.C.A.; Begotti, R.A.; Assis, L.F.F.G.D. A spatiotemporal calculus for reasoning about land-use trajectories. Int. J. Geogr. Inf. Sci. 2018, 33, 176–192. [Google Scholar] [CrossRef]
- Ge, K.; Zou, S.; Chen, D.; Lu, X.; Ke, S. Research on the Spatial Differences and Convergence Mechanism of Urban Land Use Efficiency under the Background of Regional Integration: A Case Study of the Yangtze River Economic Zone, China. Land 2021, 10, 1100. [Google Scholar] [CrossRef]
- Ning, J.; Liu, J.; Kuang, W.; Xu, X.; Ning, J. Spatiotemporal patterns and characteristics of land-use change in China during 2010–2015. J. Geogr. Sci. 2018, 28, 547–562. [Google Scholar] [CrossRef]
- Ruan, L.; He, T.; Xiao, W.; Chen, W.; Lu, D.; Liu, S. Measuring the coupling of built-up land intensity and use efficiency: An example of the Yangtze River Delta urban agglomeration. Sustain. Cities Soc. 2022, 87, 104224. [Google Scholar] [CrossRef]
- Sun, Y.H.; Yang, Z.Y.; Yu, X.Y.; Ding, W.W. Evaluating Sustainable Development of Land Resources in the Yangtze River Economic Belt of China. J. Glob. Inf. Manag. 2022, 30, 285585. [Google Scholar] [CrossRef]
Disclaimer/Publisher’s Note: The statements, opinions and data contained in all publications are solely those of the individual author(s) and contributor(s) and not of MDPI and/or the editor(s). MDPI and/or the editor(s) disclaim responsibility for any injury to people or property resulting from any ideas, methods, instructions or products referred to in the content. |
© 2023 by the authors. Licensee MDPI, Basel, Switzerland. This article is an open access article distributed under the terms and conditions of the Creative Commons Attribution (CC BY) license (https://creativecommons.org/licenses/by/4.0/).




