Abstract
The classification of the United Nations Educational, Scientific, and Cultural Organization (UNESCO) World Heritage Sites (WHS) is essential for promoting sustainable tourism and ensuring the long-term conservation of cultural and natural heritage sites. Therefore, two commonly used techniques for classification problems, multilayer perceptron (MLP) and radial basis function (RBF) neural networks, were utilized to define the pros and cons of their applications. Then, according to the findings, both correlation attribute evaluator (CAE) and relief attribute evaluator (RAE) identified the region and date of inscription as the most prominent features in the classification of UNESCO WHS. As a result, a trade-off condition arises when classifying a large dataset for sustainable tourism between MLP and RBF regarding evaluation time and accuracy. MLP achieves a slightly higher accuracy rate with higher processing time, while RBF achieves a slightly lower accuracy rate but with much faster evaluation time.
1. Introduction
United Nations Educational, Scientific, and Cultural Organization (UNESCO) World Heritage Sites (WHS) are of immense cultural, historical, and natural significance, and they are among the most precious treasures of our planet. As of January 2023, there are a total of 1157 world heritage sites located across 167 countries, of which 900 are cultural, 218 are natural, and 39 are mixed properties [1]. These sites are carefully selected and protected by UNESCO because of their outstanding universal value. They are landmarks of human achievement, places of exceptional beauty, and habitats for rare and endangered species. Tourism plays a vital role in supporting these sites, both in terms of their conservation and their economic and social development [2]. Visitors from all over the world come to experience the unique qualities of these sites, to learn about their history and culture, and to appreciate their natural beauty. This type of tourism generates revenue that can be used to support the preservation and administration of the sites, as well as to create jobs and economic opportunities for local communities. However, the association between tourism and UNESCO WHS is complex. While tourism can provide significant benefits, it can also have negative impacts on these sites, such as overcrowding, environmental damage, and changes to local culture. Therefore, it is a crucial task for researchers and scientists to provide and manage tourism sustainability by the conservation of world heritage sites as a top priority. UNESCO WHS are not only valuable in terms of their cultural and natural significance but also for their potential for sustainable tourism. Through careful management and responsible tourism practices, these sites can continue to be preserved for future generations to enjoy.
UNESCO WHS represent invaluable cultural, historical, and natural assets that are carefully selected and protected due to their outstanding universal value. With the increasing importance of sustainable tourism, the role of artificial neural networks (ANNs) in analyzing and managing these sites has emerged as a promising area of research. By harnessing the power of AI, ANNs can contribute to the classification, conservation, and sustainable development of UNESCO World Heritage Sites. While there have been many studies [3,4,5,6,7,8,9,10,11,12,13,14,15] conducted on these sites using traditional research methods, the classification of these structures using artificial intelligence (AI) still offers a unique perspective.
AI can play a notable role in classifying UNESCO WHS in terms of cultural, natural, or mixed categories for sustainable tourism. There are myriad advantages of AI techniques. Firstly, AI can quickly and accurately analyze vast amounts of data and images to classify world heritage sites based on their cultural, natural, or mixed attributes. This process can be time-consuming and prone to human error, but AI algorithms can perform the task much faster and more consistently. Secondly, by analyzing images and data, AI can help to identify the unique cultural or natural features of a heritage site that may not be immediately apparent to visitors. This information can be used to create more informative and engaging tourism experiences that highlight the unique features of each site. Thirdly, AI can help to identify the most popular and visited heritage sites, which can help tourism officials plan sustainable tourism strategies. With this information, officials can develop plans that manage visitor flows, reduce congestion, and preserve the natural and cultural integrity of the sites. Additionally, by analyzing visitor data and preferences, AI can help to personalize tourism experiences for visitors, providing tailored recommendations for attractions and activities based on their interests and needs. Last but not least, the use of AI in classifying UNESCO WHS can lead to more sustainable tourism practices that protect and preserve these important cultural and natural resources for future generations.
While ANNs have the potential to be a useful instrument for the investigation of UNESCO WHS, their limitations in terms of data availability, reliability, and sensitivity to external factors must be carefully considered. Researchers should be cautious about relying solely on one ANN technique for analysis and should instead compare these models with other methods to gain a more comprehensive and nuanced understanding of these significant cultural and natural landmarks. UNESCO WHS are invaluable cultural and natural treasures that require careful preservation and management for sustainable tourism. However, the vast number and diversity of these sites make their classification a complex task. Manual classification methods are time-consuming, subjective, and inconsistent across different experts. Therefore, there is a need for more efficient, objective, and accurate techniques to classify WHS sites based on their cultural, natural, or mixed attributes. The purpose of this investigation is, therefore, to compare multilayer perceptron (MLP) and radial basis function (RBF) neural network methods as a solution to this problem. Additionally, the paper aims to determine the most prominent features in the classification of world heritage sites through feature selection methods. This research significantly contributes to the international body of knowledge on sustainability and methodological approaches. The paper provides insights into the pros and cons of each method by comparing artificial neural network techniques for the classification of UNESCO WHS. This information may be useful to tourism researchers and practitioners interested in using AI to classify heritage sites for sustainable tourism.
The paper is organized into several sections, beginning with an introduction that provides background information on the topic and outlines the purpose of the investigation. The literature review section discusses previous research on the classification of heritage sites and the use of artificial neural networks in tourism. The methodology section describes the dataset and feature selection methods used in the study, as well as the experimental design and evaluation metrics. The results section presents the findings of the experiments, including a comparison of MLP and RBF neural networks in terms of accuracy and evaluation time. Finally, the discussion section provides insights into the pros and cons of each method and their potential implications for sustainable tourism in heritage sites. The paper concludes with a summary of the main contributions and suggestions for future research.
2. Literature Review
WHS are landmarks, areas, or buildings that have been designated as having cultural, historical, scientific, or other forms of significance by UNESCO and thus deserving of preservation for future generations. Sustainable tourism, on the other hand, refers to the responsible use of tourism resources in order to protect and conserve the environment, as well as to enhance the well-being of local communities. Several studies on the relationship between WHS and sustainable tourism have been conducted. Shao [16] conducted one such study, which investigated the impact of tourism on the cultural heritage conservation of Lijiang Old Town, a world heritage site in China. The study discovered that tourism development had a positive impact on the site’s conservation, but it also highlighted the need for sustainable management practices to minimize negative impacts. Peric et al. [17] investigated the role of WHS in sustainable tourism development in EU countries. The study discovered that world heritage sites had a significant positive impact on local economies and that sustainable tourism practices were critical for preserving the sites’ integrity.
Moreover, Dans and Gonzalez [18] aimed to identify the factors that constitute the public merit of heritage regarding sustainable tourism and showcased the social extent of the world heritage site of Altamira, Spain. Additionally, Zhang et al. [19] investigated factors impacting tourists’ conservation intentions for a Chinese world heritage site. According to the findings of the study, the straight affirmative impact of place attachment on behavioral intention is a crucial emotional element that supports behavioral intention. To sum up, the literature review highlights the importance of sustainable tourism practices for the preservation and administration of WHS. The studies suggest that sustainable tourism can have positive economic, social, and environmental impacts, and can contribute to the preservation of cultural heritage. It is crucial for tourism stakeholders to prioritize sustainable tourism practices in the development and management of WHS in order to ensure their long-term sustainability and preservation for future generations.
The relationship between artificial intelligence (AI) and WHS in the framework of sustainable tourism has been the subject of several recent studies. These studies, conducted by Ramos-Soler et al. [20], Park et al. [21], Li et al. [22], Mangut and Mallo [23], and Alsahafi et al. [24], explore the potential of AI to promote sustainable tourism at world heritage sites and other cultural heritage destinations. The authors highlight the benefits of using AI for visitor management, cultural heritage preservation, and sustainable tourism planning, while also acknowledging the challenges of implementing AI in the tourism industry. They identify opportunities for using AI to optimize tourism management, reduce negative impacts on heritage sites, and support sustainable tourism development. However, further research is needed to fully realize the potential of AI and to address ethical and social implications. These studies highlight the potential of AI to support sustainable tourism at WHS and other cultural heritage destinations.
Optimization algorithms play a crucial role in the application of ANNs for solving static optimization problems. While many ANN algorithms have been developed for static optimization, such as the Hopfield network (HN) and its derivatives, most of them do not involve a training procedure to adapt the weights of the networks [25]. To overcome this limitation, various optimization algorithms have been introduced in the design of neural networks, including particle swarm optimization and evolutionary algorithms [26]. These algorithms have been proven to be feasible and effective in optimizing neural networks. In the context of UNESCO WHS, optimization algorithms can be used to analyze and optimize various aspects, such as the impact of sea-level rise on cultural heritage sites [27]. Additionally, optimization algorithms can be applied to improve the accuracy of estimating tree diameter in historic gardens, which are UNESCO WHS [28]. By incorporating optimization algorithms into the design and analysis of ANNs, researchers can enhance the performance and applicability of these networks in solving complex optimization problems. This paper presents a novel dataset for classifying UNESCO WHS and compares artificial neural networks in efficiency. While the input variables used in this study are similar to those used in previous research, some physical and environmental factors that were commonly employed in other studies are not included in the proposed dataset. The paper highlights the significance of selecting input variables carefully, considering research goals and available data. All in all, the proposed dataset and classification techniques represent a novel approach to UNESCO WHS classification that emphasizes the importance of carefully selecting input variables and balancing the trade-offs between accuracy and evaluation time. While the paper builds on previous research, it also introduces a new dataset and emphasizes the importance of taking into account specific research objectives as well as available data when selecting input variables for classification. Moreover, the study identifies the most important variables in classification and compares the performances of artificial neural networks. As a result, the research fills gaps in the existing literature in many ways.
3. Materials and Methods
The proposed dataset for the classification of UNESCO WHS via ANNs includes name, inscribed date, longitude, latitude, region, and state as input variables. It is worth noting that the choice of input variables depends on the research objectives, available data, and methodology, and different studies may use different sets of variables. Therefore, it is important to carefully select the input variables based on the research objectives and the available data. Regarding the output variables, the proposed dataset includes the same categories of world heritage sites, namely cultural, natural, and mixed.
Two frequently used algorithms, multilayer perceptron (MLP) and radial basis function (RBF) neural networks, are used to evaluate the efficacy of the proposed dataset and identify the strengths and weaknesses of different classification techniques. Both MLP and RBF networks are popular techniques used in machine learning for various tasks, including classification and regression. While the manuscript presented a trade-off between MLP and RBF networks in terms of evaluation time and accuracy, a more in-depth comparative analysis of their performance would indeed be valuable and will provide some insight into why these techniques were chosen.
Advantages of MLP:
- Flexibility and Non-linearity: MLP networks are known for their ability to model complex relationships and handle non-linear data. They can learn intricate patterns and capture intricate dependencies between input and output variables.
- Universal Approximators: MLP networks are universal function approximators, which means they can approximate any continuous function with sufficient hidden units and appropriate training.
- Scalability: MLP networks can be easily scaled up by adding more hidden layers and neurons, allowing them to handle large and complex datasets.
- Feature Learning: MLP networks can automatically learn relevant features from raw data through the training process, reducing the need for manual feature engineering.
Limitations of MLP:
- Training Time and Convergence: MLP networks can be computationally expensive to train, especially with large datasets and complex architectures. They often require a significant amount of training data and may suffer from slow convergence or getting stuck in local minima.
- Overfitting: MLP networks are prone to overfitting, especially when the model capacity (number of parameters) is high relative to the available training data. Regularization techniques like dropout and weight decay can mitigate this issue.
- Interpretability: MLP networks are often considered black-box models as it can be challenging to interpret the relationships learned by the hidden layers. Understanding the internal workings of the model and extracting meaningful insights can be difficult.
Advantages of RBF networks:
- Radial Basis Function Activation: RBF networks use radial basis functions as activation functions in their hidden layers, which allow them to capture localized patterns and are suitable for problems with localized dependencies.
- Interpolation: RBF networks excel in interpolation tasks, where they can efficiently approximate the underlying function within the training data distribution.
- Interpretable Centers: The centers of the RBF units can be interpreted as prototypes or representative data points, providing some level of interpretability.
Limitations of RBF networks:
- Generalization: RBF networks might struggle with generalization in extrapolation tasks, where they need to make predictions outside the training data distribution.
- Determination of RBF Centers: Determining the optimal placement of RBF centers can be challenging. Various methods like k-means clustering or random sampling can be employed, but selecting an appropriate number and placement of centers is not always straightforward.
- Scalability: RBF networks can face challenges in scaling up to larger datasets or higher-dimensional input spaces due to the increased number of RBF units required.
To perform a comparative analysis, several statistical measures can be employed, depending on the specific task at hand:
- Accuracy Metrics: Measures like classification accuracy, precision, recall, F1-score, or mean squared error (MSE) for regression tasks can be used to evaluate the performance of MLP and RBF networks on a common evaluation dataset.
- Cross-Validation: Employing k-fold cross-validation can provide a more robust estimate of the models’ performance by assessing their generalization ability across multiple data splits.
- Statistical Tests: Hypothesis tests, such as paired t-tests or Wilcoxon signed-rank tests, can be conducted to assess if the observed performance differences between MLP and RBF networks are statistically significant.
A comprehensive comparative analysis of MLP and RBF networks considering their advantages, limitations, and employing statistical measures can provide valuable insights into their respective performance on specific tasks. It is essential to select appropriate evaluation metrics and statistical tests that align with the task requirements and dataset characteristics to draw meaningful conclusions.
3.1. RBF Neural Network
RBF, which is based on artificial neural networks, owns three-layer structures, where the input layer perceives incoming data, the hidden layer generally evaluates intermediate representations of the input, and the output layer generates outturn of the proposed network [29,30]. One of the advantages of the RBF network is that it can approximate any continuous function to arbitrary precision, which makes it suitable for various applications, including function estimation or approximation, classification, and regression. Another advantage is that the RBF network requires fewer training samples than other neural network models, which makes it more efficient for some applications. The RBF network is a robust machine learning technique that is applicable via different fields, e.g., data mining, finance, and engineering. The key feature of the RBF network is the use of radial basis functions, which are mathematical functions that measure the distance between two points. The RBF network uses these functions to map input data to output data. In this paper, the Gaussian functions employed Equations (1) and (2) are provided by:
where r is the difference or length between the centroid of the function and input term, β is a parameter that controls the width of the function, and exp () is the exponential function. The formula for the output terminal of the RBF is shown below:
where y(x) depicts the output for input data x, wj stands for weight associated with jth hidden neuron, cj is the centroid for the jth term, ||−x − cj|| represents the difference is the distance between the input term, namely x, and centroid cj, and Σj indicates summation over all hidden neurons. Finally, the architecture of this network is visualized in Figure 1 and overall mathematical steps for RBF network analysis are provided as follows [31]:
φ(r) = exp(−βr2)
y(x) = Σj wj φ(||x − cj||)
Figure 1.
The architecture of the RBF network. Source: created by the authors.
- First step (Representation of input data): Input data are represented as a vector x = [x1, x2, ..., xn].
- Second step: Calculation of the hidden layer term is achieved by applying a set of radial basis functions to the input data. The radial basis function is defined by φ(x), where c is the center of the function and σ is the standard deviation. The output of the hidden layer is obtained as a vector of the same dimension as the number of radial basis functions used. Additionally, the radial basis function network architecture is visualized in Figure 1.
- Third step (Calculation of the output layer): The output layer calculates the final output by taking a weighted sum of the outputs of the hidden layer. The weights are learned during the training process using a linear regression algorithm.
- Fourth step (Training the network): The network is trained by adjusting the centers and standard deviations of the radial basis functions and the weights of the output layer using a suitable optimization algorithm, such as gradient descent.
- Fifth step: RBF network provides a flexible way to model complex relationships.
The input layer of the RBF network consists of the features of the input data. These features are fed into the hidden layer, which carries radial basis function (RBF) neurons. Each RBF neuron calculates the similarity between input features and a prototype vector, which represents a mark in the feature space. The similarity between the input features and each prototype vector is measured using a radial basis function, such as the Gaussian function. The output layer of the RBF neural network consists of one or more neurons that perform the final prediction or classification based on the output of the hidden layer. The output layer might be a single neuron for regression problems or multiple neurons for classification problems, as detailed in Figure 1.
3.2. MLP Neural Network
MLP is a type of feedforward ANN widely used for various machine learning tasks, such as classification, regression, and pattern recognition [32]. The MLP is composed of multiple layers of artificial neurons, or perceptrons, arranged in a series, which is similar to the RBF network structure, including input, output, and hidden terms [33]. Furthermore, MLP can learn to generalize well to new, unseen data by adjusting its weights and biases during training, using an optimization algorithm such as backpropagation. MLP is particularly useful for classification tasks that require high-dimensional input data, e.g., image classification, speech recognition, and natural language processing [34,35,36].
In this paper, both MLP and RBF network are applied for the classification of UNESCO WHS to observe the differences and similarities between these comprehensive techniques. As shown in Table 1, MLP is a more flexible and powerful classification algorithm that can handle complex, high-dimensional datasets. However, it requires more labelled training data and is more prone to overfitting. RBF networks, on the other hand, are faster to train and require fewer labelled data but are less flexible and may underfit complex datasets. Additionally, RBF networks are more interpretable than MLP as the hidden layer neurons represent prototypes or centroids of the input data.
Table 1.
A comparison table for MLP and RBF networks for the classification of UNESCO WHS.
3.3. Feature Selection Method
Feature selection is an essential step in machine learning, particularly for classification procedures, as it helps to identify the most relevant features in the data and reduces the model’s complexity. By selecting the most relevant features, the model can focus on the critical factors that contribute to the outcome variable and avoid overfitting, which can lead to poor generalization performance [37]. There are several feature selection methods available, each with its strengths and weaknesses. The correlation attribute evaluator and the relief attribute evaluator are two such methods. The correlation attribute evaluator is a method that ranks features counted on their correlation with the target value. This method is generally applicable when the target variable is continuous. At the same time, a linear relationship between the features and the target variable should be provided to obtain a better analysis. It is evaluated by computing the correlation coefficient of Pearson, which is ranked in descending order of the correlation coefficient [38]. The relief attribute evaluator, on the other hand, is a method that ranks features relying on their ability to distinguish between instances of different classes. The difference is weighted by the distance between the instances and summed across all instances in the dataset. This method is useful when the target variable is categorical and there are complex, nonlinear relationships between the features and the target variable [39].
In summary, while the correlation attribute evaluator and the relief attribute evaluator are both feature selection methods, they use different criteria to rank the importance of features. The correlation attribute evaluator focuses on the linear relationship between features and the target variable, while the relief attribute evaluator focuses on the ability of features to distinguish between instances of different classes. The choice of which method to use depends on the nature of the data and the problem being solved.
3.3.1. Correlation Attribute Evaluator (CAE)
The correlation attribute evaluator is a feature selection method commonly used in machine learning to identify the most relevant features in a dataset. It works by calculating the correlation coefficient between each actual and predicted value (or class label) and ranking them based on their correlation strength [40]. The correlation coefficient, also known as the correlation coefficient of Pearson, is a statistical technique that quantifies the degree of the linear relationship between two variables. It is manipulated as the covariance of the two variables separated by the multiplication of the corresponding standard deviation. The formula for the correlation coefficient (r) is Equation (3) [41]:
where Cov (x,y) is the covariance between x and y; and are the standard deviations for the vector of x and y, respectively. In this method, the correlation coefficient between each input and the target variables is calculated. Then, the absolute values for the correlation coefficients are utilized to rank the variables. The absolute value with the higher one corresponds and associates stronger relations with the target value. The formula for the correlation attribute evaluator is depicted as Equation (4) [42]:
where is the correlation strength of variable , is the correlation coefficient between variable and the target variable y, and the absolute value is taken to ensure that positive and negative correlations are treated equally. After calculating the correlation strength for each variable, the variables can be ranked in reducing order of correlation strength and the top-ranked variables can be selected as the most relevant features for the machine learning model.
3.3.2. Relief Attribute Evaluator (RAE)
The relief attribute evaluator is a feature selection method that ranks the importance of attributes based on their ability to distinguish between instances of different classes. The method was first proposed by Kira and Rendell in 1992 and has since been commonly preferred in various machine learning applications. The basic concept of the relief attribute evaluator is to estimate the major contribution of each feature to the classification task by computing the difference between the feature values of an instance and its adjacent neighbors of identical and different classes. The intuition behind this is that a feature that has a large difference between the feature values of an instance and its nearest neighbor of a different class (a miss) is more likely to be important for the classification task than a feature that has a small difference. The formula for the relief attribute evaluator is Equation (5) as follows [43]:
where f is the feature being evaluated, n is the instance numbers in the dataset, S is the number of nearest neighbours to consider, and is the difference between the feature value of instance i and its nearest neighbour of the same class and its nearest neighbour of a different class for feature f. The can be defined as follows [44]:
where is the value of feature f for instance i, is the value of feature f for the nearest neighbour of the same class as instance i, and is the value of feature f for the nearest neighbour of a different class as instance i. The relief attribute evaluator works by computing the value of for each feature and ranking them in descending order of importance. Features with a high value of Relief(f) are considered to be more important for the classification task. It is worth noting that the relief attribute evaluator is a heuristic method and does not guarantee the optimal subset of features. However, it is effective in practice and is widely used in various machine learning applications.
3.3.3. The Selection Criteria of the Inputs and Outputs for the Classification UNESCO WHS
The input variables used in the classification of UNESCO WHS via RBF or AI include various physical and environmental factors, as well as World Heritage Criteria and geographic information system (GIS) data. Some of the input variables commonly used in the literature include distance to the nearest city, accessibility, road density, population density, topography, elevation, climate, vegetation, soil, proximity to protected areas, and proximity to water. Additionally, the name of the world heritage site, inscribed date, longitude, latitude, state, and region are also used as input variables. The literature shows that different studies use different sets of input variables depending on their research objectives, available data, and methodology. For instance, Jimenez-Espada et al. [45] used GIS data, including distance to the nearest city, accessibility, road density, proximity to protected areas, and proximity to water, to predict potential world heritage sites in Spain. On the other hand, Hadjimitsis et al. [46] proposed the remote sensing method and GIS data, including topography, climate, vegetation, and population density, to classify cultural and natural world heritage sites. Francini et al. [47] used a hybrid machine learning approach that combines GIS data with deep learning.
The dataset used in this study for classifying UNESCO WHS consists of several input parameters and output variables. The selected input parameters include the name of the site, inscribed date, longitude, latitude, region, and state. These variables are similar to those used in the literature review, indicating a consistency in the choice of inputs. However, it is important to note that the proposed dataset does not include some physical and environmental factors commonly used in the literature. These factors may include distance to the nearest city, accessibility, road density, topography, elevation, climate, vegetation, and soil. The exclusion of these variables suggests that this study focuses primarily on exploring the effect of geographic location, inscribed date, and administrative region on the classification of WHS. On the other hand, the output variable in the proposed dataset aligns with the literature as it includes the same categories of world heritage sites: cultural, natural, and mixed. This consistency in the output variable allows for comparisons and evaluation of the classification results with existing studies. It is worth noting that the choice of input variables depends on the specific research objectives, available data, and chosen methodology. Different studies may utilize different sets of variables based on their research goals and the data at hand. In this case, the study aims to investigate the impact of certain inputs (geographic location, inscribed date, and administrative region) on the classification of WHS while omitting physical and environmental factors. Careful selection of input variables is crucial to ensure the relevance and effectiveness of the classification method. Researchers should consider the research objectives, the specific context of the study, and the availability of data when determining which variables to include in the dataset.
As observed from Table 2, the proposed dataset includes most of the input variables used in the literature review, except for some of the physical and environmental factors. However, both datasets use the same output variables, such as natural, mixed, or cultural types of world heritage sites. The overall input and output parameters in this study are detailed in Figure 1. The output parameters, called “class”, are represented by the colors blue for cultural, red for mixed, and turquoise for natural, as detailed in Figure 2.
Table 2.
A detailed table comparing the inputs and outputs used in the literature and the dataset in this study for UNESCO WHS classification via RBF or AI.

Figure 2.
The architecture of the RBF network.
4. Results
The findings of the study indicated that the correlation attribute evaluator (CAE) identified latitude, region, and inscribed date as important features for the classification of UNESCO WHS, while relief attribute evaluator (RAE) identified region, states, and inscribed date as the most essential features. It is worth noting that both techniques identified inscribed date and region as important features.
The fold values, also known as the number of folds or cross-validation folds, are important for classification via RBF networks as they help regarding the estimation of the generalization performance of the model. Cross-validation is a common technique used to define the performance of machine learning models. It involves dividing the dataset into k-folds, where k is the number of folds. The model is trained through k-1 folds and checked by the remaining fold and this procedure is reproduced k times, with each fold serving as the validation set once. The average performance across all folds is then computed to estimate the generalization performance of the model. For classification via RBF networks, the fold values determine the number of times the model is trained and evaluated. A higher number of folds can lead to a more accurate prediction of the generalization of the model performance, but it also increases the computational cost. On the other hand, a lower number of folds can lead to a faster evaluation, but it may result in a less accurate estimation rate of the generalization performance of the model. In practice, the choice of fold values depends on the size dimension of data, the model complexity, and the computational resources available. A common choice is to use five or ten folds, but other values can also be used. Overall, the fold values are an important parameter for classification via RBF networks as they help to foresee the generalization performance of the model and guide the selection of hyperparameters, such as the hidden unit numbers and the regularization parameter. In this section, the number of folds is altered from one to ten along with the two different feature selection methods, namely correlation attribute evaluator and relief attribute evaluator. The performance of the classifier is assessed using 10-fold cross-validation. The dataset in 10-fold cross-validation is divided into 10 folds randomly. We use nine of those parts for training and reserve one-tenth for testing. We repeat this procedure 10 times, each time reserving a different tenth for testing.
The comparison results of the ANN technique without the feature selection method are provided in Table 3. As displayed in Table 3, there are some discrepancies between the RBF and MLP techniques. Initially, the evaluation time of MLP takes longer than the RBF network. However, the overall dataset applied to both aforementioned techniques yields better accuracy for the MLP technique. To identify the relevant and irrelevant features of the proposed dataset, two different reduced sets are used to confirm the efficacy of the ANN technique and CAE and RAE to determine the accuracies. In addition to this, when the dataset is reduced by the CAE technique, MLP yields higher accuracies along with different folds from one to ten as compared to the RBF network. On the other hand, when the relief attribute evaluator is applied to omit the irrelevant attributes, RBF with various folds outperforms the MLP. If the accuracy of MLP remains consistent across different numbers of folds, it indicates that the model’s performance is robust to changes in the training and validation data splits. This consistency suggests that the MLP model is not heavily influenced by the specific data partitions used in the cross-validation process. A robust model exhibits similar performance across different folds, indicating that its results are not overly sensitive to the particular training–validation splits. This stability is desirable as it demonstrates that the MLP’s performance is more generalizable and not dependent on specific instances in the dataset.
Table 3.
Accuracies of RBF network by changing the number of folds with the existence and absence of feature selection methods.
The discrepancies between the RBF and MLP techniques for the classification of UNESCO WHS suggest that the choice of neural network technique depends on the specific dataset and attribute selection technique that is used. While MLP may have a longer evaluation time, it generally yields better accuracy for the overall dataset and performs better with the CAE technique. This indicates that MLP may be better suited for datasets with high correlations between attributes. However, when using the RAE technique to eliminate irrelevant attributes, RBF outperforms MLP, indicating that RBF may be better suited for datasets with a larger number of irrelevant attributes. Therefore, the choice of neural network technique for the classification of UNESCO WHS should be based on the dataset characteristics and attribute selection technique.
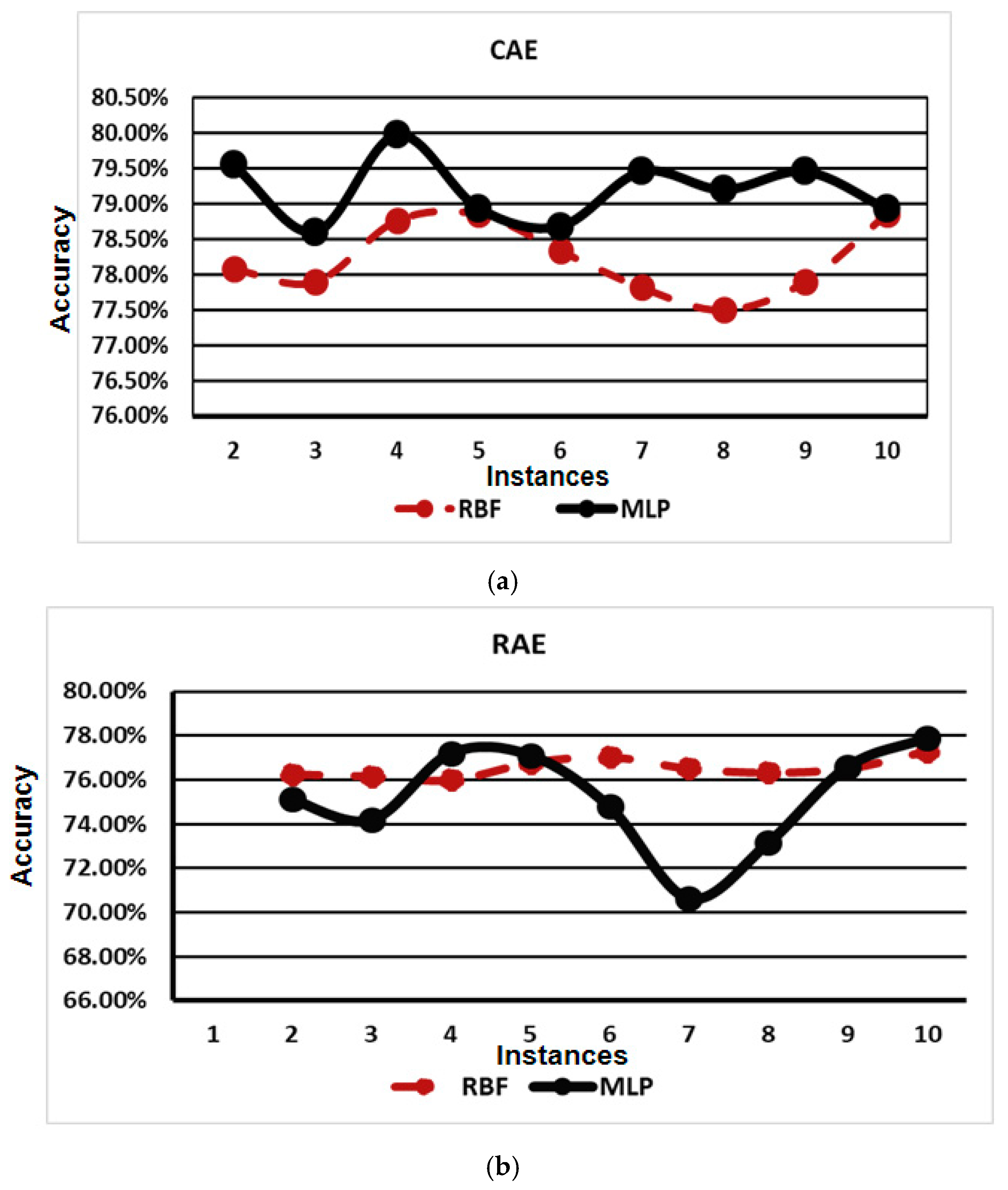
Finally, the accuracy percents of RBF and MLP in CAE and RAE feature selection analyses are provided visually in Figure 3.
Figure 3.
Accuracy along with RBF and MLP based on feature selection analyses. (a) This subfigure displays the accuracy percentages for the RBF and MLP models after applying feature selection using CAE. The accuracy percentages represent how well each model performed on the selected features. (b) In this subfigure, the accuracy percentages for the RBF and MLP models are shown again, but this time after performing feature selection using RAE. The values indicate the accuracy of each model after the RAE-based feature selection process.
5. Discussion
This research offers using ANNs to classify UNESCO WHS and presents a dataset that includes input variables such as name, inscribed date, longitude, latitude, region, and state, as well as output variables indicating the cultural, natural, and mixed categories of world heritage sites. The dataset used in this study differs from those used in previous research by excluding physical and environmental factors such as distance to the nearest city, accessibility, road density, topography, elevation, climate, vegetation, and soil. For instance, Kuang et al. [48] explored the relationships between the spatial distribution of UNESCO WHS in China and various physical and environmental factors, including topography, climate, and vegetation. Their study aimed to identify the key factors influencing the distribution of these sites and to develop a predictive model that could be used to locate potential new sites. Similarly, in a study by Chuman and Romportl [49], physical variables such as elevation, slope, aspect, and land cover were used in classification analysis of cultural landscapes in Czechia. The inclusion of physical and environmental variables in previous studies may have been driven by the specific research objectives and questions being addressed. In contrast, the focus of the current study was not to discuss the physical and environmental characteristics of heritage sites on a topological basis. The purpose of this study is to compare the performance of MLP and RBF neural network techniques in the classification of UNESCO WHS. Additionally, the study aims to employ feature selection methods to discover the most important variables in the classification process.
Through the feature selection methods, CAE identified latitude, region, and date inscribed and the RAE identified region, states, and date inscribed as the most important features for the classification of UNESCO WHS, according to the findings. Region and date inscribed are common features in both methods. The region is critical for location-based analysis since it can assist tourist businesses in identifying trends in site distribution across different geographic locations. As shown by Panzera et al. [50] and Barbosa et al. [51], these data can be utilized to establish regional marketing strategies and acquire a better comprehension of the preferences of visitors from various locations.
The date inscribed on UNESCO WHS indicates the year when the site was added to the UNESCO World Heritage List. Cuccia [52] emphasized the significance of a destination being inscribed on the World Heritage List. This information can provide insight into the historical significance of the site and its cultural or natural value. For example, sites inscribed earlier may have greater historical or cultural significance compared to those added more recently. These data can be utilized to create historical and cultural tourist offerings, as well as to personalize marketing efforts to visitors who are interested in these types of experiences. It is worth noting that both techniques identified inscribed date and region as important features because knowing which features or input variables are most important for UNESCO WHS classification can help researchers and practitioners develop more accurate and effective models. Researchers can focus their efforts on collecting and analyzing variables that are most informative for the task at hand if they know which features have the most influence on classification. This can help to enhance the model’s accuracy while also diminishing the amount of time and resources needed to collect and analyze data. Furthermore, the region and date inscribed on UNESCO WHS are vital variables to consider in the context of sustainable tourism. By taking into account the environmental and cultural context of a destination, tourism businesses can develop tourism practices that are more sustainable, respectful, and sensitive to the needs of the local community and their cultural and natural heritage.
To assess the efficacy of the proposed dataset and identify the strengths and weaknesses of different classification techniques, two commonly used techniques, MLP and RBF neural networks, are employed. According to the findings, MLP achieves an accuracy rating of 77.73% while taking significantly longer to process (up to 32 h) when compared to RBF in terms of assessment time and accuracy. On the other hand, RBF achieves an accuracy rate of up to 76.43% in only 56 s. As a result, in terms of both time and accuracy, it would be more appealing to propose the use of RBF, particularly in big data research. Recent research [53,54,55] comparing MLP and RBF has also demonstrated that RBF is more efficient. RBF networks are generally faster to train and more computationally efficient than other types of neural networks. This is particularly important when working with big data in the tourism industry, where datasets can be very large and complex. Faster training times mean that RBF networks can be used to analyze data more quickly and with fewer computational resources than other techniques.
The underlying theory of this research is based on the principles of machine learning, specifically the use of ANNs for classification tasks. ANNs are inspired by the structure and function of the human brain and are composed of interconnected nodes that process information and learn from examples to make predictions or classifications. The use of ANNs for classification tasks is a well-established theory in machine learning and has been successfully applied to various domains, including image and speech recognition, natural language processing, and predictive analytics. The theoretical contribution of this research lies in the application of artificial neural networks, specifically MLP and RBF in the classification of UNESCO WHS. The results of this paper suggest that the use of RBF is more effective than MLP for big data research due to its ability to achieve reasonable accuracy rates in significantly less processing time. This study’s theoretical contribution highlights the potential of artificial neural networks as a tool for classifying and analyzing tourism-related data and emphasizes the importance of identifying relevant input variables for effective classification.
Additionally, this study emphasizes the role of sustainable tourism in preserving and promoting UNESCO WHS. The identification of key features such as region and date inscribed in the classification of world heritage sites highlights the importance of considering the cultural and historical significance of these sites in sustainable development and management. Tourism policymakers and industry practitioners should consider these variables in a long-term sustainable management plan when creating targeted marketing campaigns, optimizing resource allocation, and tailoring visitor experiences. According to King and Halpenny [56], The World Heritage brand denotes properties so valuable that their values must be preserved forever. Consequently, this research theoretically contributes to the understanding of the potential of artificial neural networks in tourism research and practically emphasizes the significance of sustainable tourism growth and management.
While this study provides useful awareness of the classification of UNESCO World Heritage Sites, there is still much to be explored. Researchers should be encouraged regarding further investigations in this area, particularly in terms of identifying additional input variables that may be relevant for classification and exploring the potential of other artificial neural network techniques.
Author Contributions
Conceptualization, A.B. and F.Ş.; methodology, F.Ş.; software, F.Ş.; validation, A.B. and F.Ş.; formal analysis, F.Ş.; investigation, F.Ş.; resources, A.B.; data curation, F.Ş.; writing—original draft preparation, A.B.; writing—review and editing, A.B.; visualization, A.B.; supervision, A.B.; project administration, A.B.; funding acquisition, A.B. All authors have read and agreed to the published version of the manuscript.
Funding
This research received no external funding.
Institutional Review Board Statement
Not applicable.
Informed Consent Statement
Not applicable.
Data Availability Statement
Not applicable.
Conflicts of Interest
The authors declare no conflict of interest.
References
- UNESCO. World Heritage Centre. World Heritage List. 2023. Available online: https://whc.unesco.org/en/list (accessed on 1 May 2023).
- Gentry, K.; Smith, L. Critical heritage studies and the legacies of the late-twentieth century heritage canon. Int. J. Herit. Stud 2019, 25, 1148–1168. [Google Scholar] [CrossRef]
- Macheka, M.T. Great Zimbabwe World Heritage Site and sustainable development. J. Cult. Herit. Manag. Sustain. Dev. 2016, 6, 226–237. [Google Scholar] [CrossRef]
- Falk, M.; Hagsten, E. Visitor flows to World Heritage Sites in the era of Instagram. J. Sustain. Tour. 2021, 29, 1547–1564. [Google Scholar] [CrossRef]
- Tritto, A. Environmental management practices in hotels at world heritage sites. J. Sustain. Tour. 2020, 28, 1911–1931. [Google Scholar] [CrossRef]
- Maruyama, N.; Woosnam, K. Representation of “mill girls” at a UNESCO World Heritage Site in Gunma, Japan. J. Sustain. Tour. 2021, 29, 277–294. [Google Scholar] [CrossRef]
- Burbano, D.; Meredith, T. Effects of tourism growth in a UNESCO World Heritage Site: Resource-based livelihood diversification in the Galapagos Islands, Ecuador. J. Sustain. Tour. 2021, 29, 1270–1289. [Google Scholar] [CrossRef]
- Pérez-Gálvez, J.; Medina-Viruel, M.; Jara-Alba, C.; López-Guzmán, T. Segmentation of food market visitors in World Heritage Sites. Case study of the city of Córdoba (Spain). Curr. Issues Tour. 2021, 24, 1139–1153. [Google Scholar] [CrossRef]
- Carreira, V.; González-Rodríguez, M.; Díaz-Fernández, M. The relevance of motivation, authenticity and destination image to explain future behavioural intention in a UNESCO World Heritage Site. Curr. Issues Tour. 2022, 25, 650–673. [Google Scholar] [CrossRef]
- Gao, Y.; Fang, M.; Nan, Y.; Su, W. World Heritage Site inscription and city tourism attractiveness on national holidays: New evidence with migration big data from China. Curr. Issues Tour. 2022, 26, 1956–1973. [Google Scholar] [CrossRef]
- Volgger, M.; Taplin, R. The impact of national park and UNESCO world heritage site designations on visit intentions: Evidence from a randomised experiment. J. Sustain. Tour. 2022, 11, 1–18. [Google Scholar] [CrossRef]
- Santos-Iglesia, C.; Fernández-Arias, P.; Antón-Sancho, A.; Vergara, D. Energy Consumption of the Urban Transport Fleet in UNESCO World Heritage Sites: A Case Study of Ávila (Spain). Sustainability 2022, 14, 5641. [Google Scholar] [CrossRef]
- Nian, S.; Liu, F.; Chen, M.; Cheng, G. Satisfaction of Tourism Communities in World Heritage Sites Based on Residents’ Perceptions—Study Area of Mount Sanqingshan National Park, PRC. Sustainability 2023, 15, 533. [Google Scholar] [CrossRef]
- Ghimire, D.; Gautam, P.; Karki, S.; Ghimire, J.; Takagi, I. Small Business and Livelihood: A Study of Pashupatinath UNESCO Heritage Site of Nepal. Sustainability 2023, 15, 612. [Google Scholar] [CrossRef]
- Aziz, N.; Ariffin, N.; Ismail, N.; Alias, A. Community Participation in the Importance of Living Heritage Conservation and Its Relationships with the Community-Based Education Model towards Creating a Sustainable Community in Melaka UNESCO World Heritage Site. Sustainability 2023, 15, 1935. [Google Scholar] [CrossRef]
- Shao, Y. Conservation and Sustainable Development of Human-inhabited World Heritage Site: Case of World Heritage Lijiang Old Town. Built Herit. 2017, 1, 51–63. [Google Scholar] [CrossRef]
- Perić, B.; Šimundić, B.; Muštra, V.; Vugdelija, M. The Role of UNESCO Cultural Heritage and Cultural Sector in Tourism Development: The Case of EU Countries. Sustainability 2021, 13, 5473. [Google Scholar] [CrossRef]
- Dans, E.; Gonzalez, P. Sustainable tourism and social value at World Heritage Sites: Towards a conservation plan for Altamira, Spain. Ann. Tour. Res. 2019, 74, 68–80. [Google Scholar] [CrossRef]
- Zhang, H.; Xiong, K.; Fei, G.; Jin, A.; Zhang, S. Factors Influencing the Conservation Intentions of Visitors to a World Heritage Site: A Case Study of Libo Karst. Sustainability 2023, 15, 5370. [Google Scholar] [CrossRef]
- Ramos-Soler, I.; Martínez-Sala, A.; Campillo-Alhama, C. ICT and the Sustainability of World Heritage Sites. Analysis of Senior Citizens’ Use of Tourism Apps. Sustainability 2019, 11, 3203. [Google Scholar] [CrossRef]
- Park, S.; Namho, C.; Lee, W. Preserving the Culture of Jeju Haenyeo (Women Divers) as a Sustainable Tourism Resource. Sustainability 2020, 12, 10564. [Google Scholar] [CrossRef]
- Li, D.; Du, P.; He, H. Artificial Intelligence-Based Sustainable Development of Smart Heritage Tourism. Wirel. Commun. Mob. Comput. 2022, 2022, 5441170. [Google Scholar] [CrossRef]
- Mangut, M.; Mallo, M. The Application of Geospatial Information Technology in Heritage Tourism in Plateau State, Nigeria. In Cultural Sustainable Tourism. Advances in Science, Technology & Innovation; Vujicic, M.D., Kasim, A., Kostopoulou, S., Chica Olmo, J., Aslam, M., Eds.; Springer: Cham, Switzerland, 2022. [Google Scholar] [CrossRef]
- Alsahafi, R.; Alzahrani, A.; Mehmood, R. Smarter Sustainable Tourism: Data-Driven Multi-Perspective Parameter Discovery for Autonomous Design and Operations. Sustainability 2023, 15, 4166. [Google Scholar] [CrossRef]
- Serpen, G.; Patwardhan, A.; Geib, J. The Simultaneous Recurrent Neural Network for Addressing the Scaling Problem in Static Optimization. Int. J. Neur. Syst 2001, 5, 477–487. [Google Scholar] [CrossRef]
- Ding, S.; Su, C.; Yu, J. An Optimizing Bp Neural Network Algorithm Based on Genetic Algorithm. Artif. Intell. Rev. 2011, 2, 153–162. [Google Scholar] [CrossRef]
- Marzeion, B.; Levermann, A. Loss Of Cultural World Heritage and Currently Inhabited Places to Sea-level Rise. Environ. Res. Lett. 2014, 3, 034001. [Google Scholar] [CrossRef]
- Pérez-Martín, E.; Medina, S.L.; Tejedor, T.R.H.; Pérez-Souza, M.A.; de Mata, J.A.; Ezquerra-Canalejo, A. Assessment of Tree Diameter Estimation Methods from Mobile Laser Scanning in a Historic Garden. Forests 2021, 8, 1013. [Google Scholar] [CrossRef]
- Hardy, R.L. Multiquadratic Equations of Topography and Other Irregular Surfaces. J. Geophys. Res. 1971, 76, 1905–1915. [Google Scholar] [CrossRef]
- Bishop, C. Improving the Generalization Properties of Radial Basis Function Neural Networks. Neural Comput. 1991, 3, 579–588. [Google Scholar] [CrossRef]
- Rippa, S. An algorithm for selecting a good value for the parameter c in radial basis function interpolation. Adv. Comput. Math. 1999, 11, 193–210. [Google Scholar] [CrossRef]
- Almeida, L.B. Multilayer perceptrons. In Handbook of Neural Computation; IOP Publishing Ltd.: Bristol, UK; Oxford University Press: Oxford, UK, 1991. [Google Scholar]
- Rosenblatt, F. The perceptron: A probabilistic model for information storage and organization in the brain. Psychol. Rev. 1958, 65, 386–408. [Google Scholar] [CrossRef]
- Gardner, M.W.; Dorling, S.R. Artificial neural networks (the multilayer perceptron) a review of applications in the atmospheric sciences. Atmos. Environ. 1998, 32, 2627–2636. [Google Scholar] [CrossRef]
- Bishop, C.M. Neural Networks for Pattern Recognition; Clarendon Press: Oxford, UK, 1995. [Google Scholar]
- Shalev-Shwartz, S.; Ben-David, S. Understanding Machine Learning: From Theory to Algorithms; Cambridge University Press: Cambridge, MA, USA, 2014. [Google Scholar]
- Wang, Q.; Zhao, D.; Wang, Y.; Hou, X. Ensemble learning algorithm based on multi-parameters for sleep staging. Med. Bio. Eng. Comp. 2019, 57, 1693–1707. [Google Scholar] [CrossRef] [PubMed]
- Al-Batah, M.S.; Zaqaibeh, B.M.; Alomari, S.A.; Alzboon, M.S. Gene microarray cancer classification using correlation based feature selection algorithm and rules classifiers. Intern. J. Online Eng. 2019, 15, 62–73. [Google Scholar] [CrossRef]
- Liu, H.; Setiono, R. A probabilistic approach to feature selection: A filter solution. Proceed. Thirteen Intern. Conf. Mach. Learn. 1996, 96, 319–327. [Google Scholar]
- Janabi, K.B.; Kadhim, R. Data reduction techniques: A comparative study for attribute selection methods. Int. J. Adv. Comput. Sci. Technol. 2018, 8, 1–13. [Google Scholar]
- Witten, H.; Frank, E.; Hall, A. Data Mining: Practical Machine Learning Tools and Techniques; Morgan Kaufmann Press: Cambridge, MA, USA, 2011. [Google Scholar]
- Gnanambal, S.; Thangaraj, M.; Meenatchi, V.T.; Gayathri, V. Classification algorithms with attribute selection: An evaluation study using WEKA. Int. J. Adv. Netw. Appl. 2018, 9, 3640–3644. [Google Scholar]
- Yadav, A.K.; Sharma, V.; Malik, H.; Chandel, S.S. Daily array yield prediction of grid-interactive photovoltaic plant using relief attribute evaluator based radial basis function neural network. Renew. Sustain. Energy Rev. 2018, 81, 2115–2127. [Google Scholar] [CrossRef]
- Malik, H.; Yadav, A.K. A novel hybrid approach based on relief algorithm and fuzzy reinforcement learning approach for predicting wind speed. Sustain. Energy Technol. Assess. 2021, 43, 100920. [Google Scholar] [CrossRef]
- Jiménez-Espada, M.; Cuartero, A.; Le Breton, M. Sustainability Assessment through Urban Accessibility Indicators and GIS in a Middle-Sized World Heritage City: The Case of Cáceres, Spain. Buildings 2022, 12, 813. [Google Scholar] [CrossRef]
- Hadjimitsis, D.; Agapiou, A.; Alexakis, D.; Sarris, A. Exploring natural and anthropogenic risk for cultural heritage in Cyprus using remote sensing and GIS. Int. J. Digit. Earth 2013, 6, 115–142. [Google Scholar] [CrossRef]
- Francini, M.; Salvo, C.; Vitale, A. Combining Deep Learning and Multi-Source GIS Methods to Analyze Urban and Greening Changes. Sensors 2023, 23, 3805. [Google Scholar] [CrossRef] [PubMed]
- Kuang, R.; Zuo, Y.; Gao, S.; Yin, P.; Wang, Y.; Zhang, Z.; Cai, S.; Li, N. Research on the Spatial Distribution Characteristics and Influencing Factors of Central China’s Intangible Cultural Heritage. Sustainability 2023, 15, 5751. [Google Scholar] [CrossRef]
- Chuman, T.; Romportl, D. Multivariate classification analysis of cultural landscapes: An example from the Czech Republic. Landsc. Urban Plan. 2010, 98, 200–209. [Google Scholar] [CrossRef]
- Panzera, E.; Graff, T.; Groot, H. European cultural heritage and tourism flows: The magnetic role of superstar World Heritage Sites. Pap. Reg. Sci. 2020, 100, 101–122. [Google Scholar] [CrossRef]
- Barbosa, V.; Lima, H.; Fonseca, B. Assessing risks of abandoned urban mines in the UNESCO World Heritage City of Ouro Preto, Brazil. Appl. Geogr. 2022, 139, 102648. [Google Scholar] [CrossRef]
- Cuccia, T. Is it Worth Being Inscribed in the World Heritage List? A Case Study of ’The Baroque Cities in Val Di Noto’ (Sicily). Political Econ. Struct. Scope Gov. Ejournal 2012. [Google Scholar] [CrossRef]
- Mahfeli, M.; Minaei, S.; Fadavi, A.; Dianati, S. Artificial Neural Networks (MLP and RBF) as Tools for Weight Prediction of Orchid Synthetic Seeds Produced Using an Encapsulation Set-up. Int. J. Hortic. Sci. Technol. 2023, 10, 463–474. [Google Scholar]
- Zhang, D.; Wang, C.; Li, Z.; Wei, Y. Prediction of the hydrodynamic disturbance characteristics for two projectiles launched successively underwater based on the radial basis function neural network. Phys. Fluids 2023, 35, 017102. [Google Scholar] [CrossRef]
- Lashkenari, M.S.; Bagheri, M.; Tatar, A.; Rezazadeh, H.; Inc, M. A further study in the prediction of viscosity for Iranian crude oil reservoirs by utilizing a robust radial basis function (RBF) neural network model. Neural Comput. Appl. 2023, 35, 10663–10676. [Google Scholar] [CrossRef]
- King, L.; Halpenny, E. Communicating the World Heritage brand: Visitor awareness of UNESCO’s World Heritage symbol and the implications for sites, stakeholders and sustainable management. J. Sustain. Tour. 2014, 22, 768–786. [Google Scholar] [CrossRef]
Disclaimer/Publisher’s Note: The statements, opinions and data contained in all publications are solely those of the individual author(s) and contributor(s) and not of MDPI and/or the editor(s). MDPI and/or the editor(s) disclaim responsibility for any injury to people or property resulting from any ideas, methods, instructions or products referred to in the content. |
© 2023 by the authors. Licensee MDPI, Basel, Switzerland. This article is an open access article distributed under the terms and conditions of the Creative Commons Attribution (CC BY) license (https://creativecommons.org/licenses/by/4.0/).



