Development of Sustainable Cement-Based Materials with Ultra-High Content of Waste Concrete Powder: Properties and Improvement
Abstract
:1. Introduction
2. Materials and Methods
2.1. Raw Materials and Experimental Scheme
2.2. Microstructure Determination and Strength
2.3. Water Absorption Curve and Total Porosity
2.4. The Experiment of Rapid Chloride Migration (RCM)
3. Results
3.1. Results and Discussions on Microscopic Properties
3.2. Results and Discussions on Microscopic Properties
3.3. The Analysis of Water Absorption Curve and Total Porosity
3.4. Economic and Environmental Benefits Evaluation
3.5. Discussions and Suggestions
4. Conclusions
- (1)
- The construction waste and its preparing RP also contains some hydration products and inert substances such as quartz and calcite, and the large-volume incorporation of RP reduces the polymerization reaction of the newly prepared materials. When RP is used instead of 100% cement to prepare cement-based materials, the pore structure increases and the microstructure becomes loose.
- (2)
- With the increase in RP substitution rate, the mechanical strength of cement-based materials generally decreases, while the water absorption and total porosity increase significantly. The 3 d strength of CBM-70, CBM-80, CBM-90, and CBM-100 decreased by 73.63%, 84.06% and 93.65%, and 96.98%, respectively, compared with the pure cement control group. The 3 d strength of CBM-100 was only 0.89 MPa. The 28 d intensities of the control group were 30.54%, 19.82%, 10.79%, and 6.26%, respectively.
- (3)
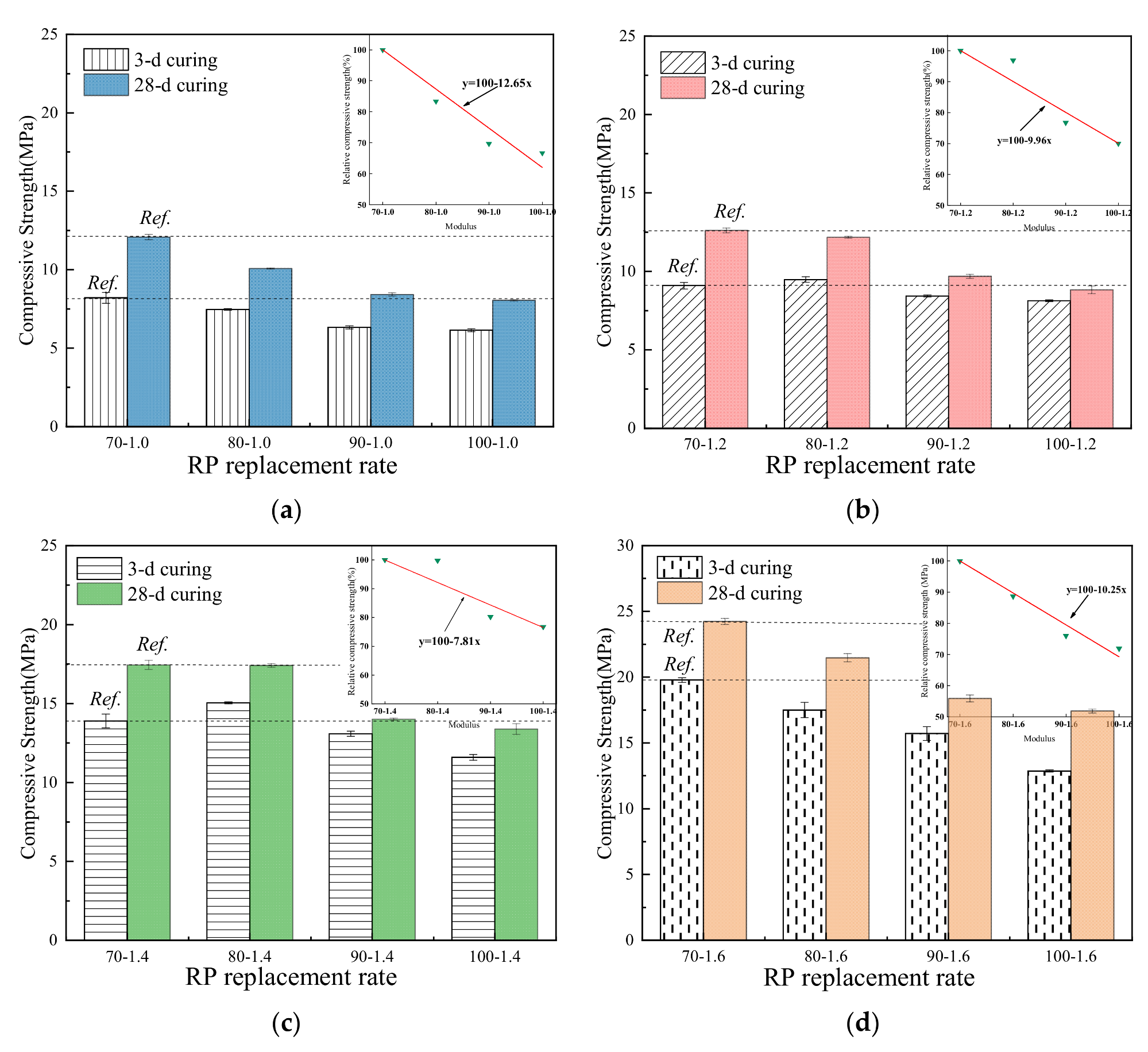
- Alkali excitation of cement-based materials with water glass solution can optimize the performance of a large-volume RP mixture. Under the action of 1.0 M activator, the 3 d strength of 70%, 80%, 90%, and 100%RP mortar increased by 2.71%, 13.63%, 73.86%, and 147.31% compared with that without excitation. After 28 d of maintenance, the strength increased to 3.6%, 8.05%, 49.5%, and 107.71%.
- (4)
- Changing the modulus and concentration of the alkali activator can improve the performance of cement-based materials under a high substitution rate, so as to obtain materials with good mechanical strength and durability. With the increase in water glass modulus, its mechanical properties also showed an increasing trend. At 70%RP substitution rate, the strength of 1.0 M, 1.2 M, 1.4 M, and 1.6 M regenerated micro-powder mortar increased by 3.6%, 8.05%, 49.5%, and 107.71% compared with that of unexcited mortar. When the RP replacement rate was 100%, the strength of 1.0 M, 1.2 M, 1.4 M, and 1.6 M reclaimed micro-powder mortar was 8.06 MPa, 8.83 MPa, 13.39 MPa, and 17.44 MPa, respectively.
- (5)
- With the increase in construction waste substitution rate, the diffusion coefficient of chloride ions increases, and the immersion depth of chloride ions increases. CBM-70, CBM-80, CBM-90, and CBM-100 were, respectively, 71.9%, 79.3%, 121.3%, and 136.5% higher than the cement reference group. After alkali excitation, the diffusion coefficient and penetration depth of chloride ions of cement-based materials are reduced, and the chloride ion penetration can be further reduced by increasing the modulus of water glass. CBM-100-1.2 and CBM-100-1.6 were 25.9% and 35.1% lower than CBM-100.
Author Contributions
Funding
Institutional Review Board Statement
Informed Consent Statement
Data Availability Statement
Conflicts of Interest
References
- Kurda, R.; Brito, J.D.; Silvestre, J.D. A comparative study of the mechanical and life cycle assessment of high-content fly ash and recycled aggregates concrete. J. Build. Eng. 2022, 29, 101173. [Google Scholar] [CrossRef]
- Jike, N.; Xu, C.; Yang, R.; Qi, Y. Pervious concrete with secondarily recycled low-quality brick-concrete demolition residue: Engineering performances, multi-scale/phase structure and sustainability. J. Clean. Prod. 2022, 341, 130929. [Google Scholar] [CrossRef]
- Basaran, B.; Kalkan, I.; Aksoylu, C.; Özkılıç, Y.O.; Sabri, M.M.S. Effects of waste powder, fine and coarse marble aggregates on concrete compressive strength. Sustainability 2022, 14, 14388. [Google Scholar] [CrossRef]
- Ren, P.; Li, B.; Yu, J.; Ling, T.C. Utilization of recycled concrete fines and powders to produce alkali-activated slag concrete blocks. J. Clean. Prod. 2020, 267, 122115. [Google Scholar] [CrossRef]
- Vintimilla, C.; Etxeberria, M.; Li, Z. Durable Structural Concrete Produced with Coarse and Fine Recycled Aggregates Using Different Cement Types. Sustainability 2023, 15, 14272. [Google Scholar] [CrossRef]
- Wang, Y.; Lu, Z.; Wang, D.; Tan, Q.; Wu, W.; Zhu, L. Influence of Recycled Cement Paste Powder on Early-Age Plastic Shrinkage and Cracking of Cement-Based Materials. Sustainability 2023, 15, 10661. [Google Scholar] [CrossRef]
- Lin, Y.; Maghool, F.; Arulrajah, A.; Horpibulsuk, S. Alkali activation of recycled concrete and aluminum salt slag aggregates for semi-rigid column inclusions. Constr. Build. Mater. 2023, 366, 130106. [Google Scholar] [CrossRef]
- Tang, Q.; Ma, Z.; Wu, H.; Wang, W. The utilization of eco-friendly recycled powder from concrete and brick waste in new concrete: A critical review. Cem. Concr. Compos. 2020, 114, 103807. [Google Scholar] [CrossRef]
- Wu, H.; Hu, R.; Yang, D.; Ma, Z. Micro-macro characterizations of mortar containing construction waste fines as replacement of cement and sand: A comparative study. Constr. Build. Mater 2023, 383, 131328. [Google Scholar] [CrossRef]
- Boudali, S.; Abdulsalam, B.; Rafiean, A.H.; Poncet, S.; Soliman, A.; ElSafty, A. Influence of fine recycled concrete powder on the compressive strength of selfcompacting concrete (SCC) using artificial neural network. Sustainability 2021, 13, 3111. [Google Scholar] [CrossRef]
- Bao, J.; Li, S.; Yu, Z.; Xu, J.; Li, Y.; Zhang, P.; Si, Z.; Gao, S. Water transport in recycled aggregate concrete under sustained compressive loading: Experimental investigation and mesoscale numerical modelling. J. Build. Mater. 2021, 44, 103373. [Google Scholar] [CrossRef]
- Ma, Z.; Shen, J.; Wang, C.; Wu, H. Characterization of sustainable mortar containing high-quality recycled manufactured sand crushed from recycled coarse aggregate. Cem. Concr. Compos. 2022, 132, 104629. [Google Scholar] [CrossRef]
- Hamdadou, M.; Bignonnet, F.; Deboucha, W.; Ranaivomanana, H.; Leklou, N.; Arroudj, K. Hydration, mechanical and transfer properties of blended cement pastes and mortars prepared with recycled powder or limestone filler. J. Build. Eng. 2023, 78, 107541. [Google Scholar] [CrossRef]
- Jx, A.; Zm, A.; Tx, B.; Aa, C.; Zd, A. Mechanical properties of concrete mixed with recycled powder produced from construction and demolition waste. J. Clean. Prod. 2018, 188, 720–731. [Google Scholar]
- Li, C.; Li, J.; Ren, Q.; Zheng, Q.; Jiang, Z. Durability of concrete coupled with life cycle assessment: Review and perspective. Cem. Concr. Compos. 2023, 139, 105041. [Google Scholar] [CrossRef]
- Horsakulthai, V. Effect of recycled concrete powder on strength, electrical resistivity, and water absorption of self-compacting mortars. Case Stud. Constr. Mater. 2021, 15, e00725. [Google Scholar] [CrossRef]
- Mehdizadeh, H.; Ling, T.C.; Cheng, X.; Mo, K.H. Effect of particle size and CO2 treatment of waste cement powder on properties of cement paste. Can. J. Civ. Eng. 2021, 48, 522–531. [Google Scholar] [CrossRef]
- Fernandes, B.; Carré, H.; Mindeguia, J.; Perlot, C.; La, B. Effect of elevated temperatures on concrete made with recycled concrete aggregates-An overview. J. Build. Eng. 2021, 44, 103235. [Google Scholar] [CrossRef]
- Xu, L.; Wang, J.; Li, K.; Lin, S.; Li, M.; Hao, T.; Wang, T. A systematic review of factors affecting properties of thermal-activated recycled cement. Resour. Conserv. Rec. 2022, 185, 106432. [Google Scholar] [CrossRef]
- Piao, R.; Oh, T.; Kim, G.; Choi, H.; Banthia, N.; Yoo, D. Enhanced microstructure and mechanical properties of cementless ultra-high-performance fiber-reinforced alkali-activated concrete with silicon dioxide nanoparticles. Constr. Build. Mater. 2023, 398, 132514. [Google Scholar] [CrossRef]
- Rashad, A.; Ezzat, M.; ElNagar, A. El-Nashar M. Valorization of limestone powder as an additive for fly ash geopolymer cement under the effect of the simulated tidal zone and seawater attack. Constr. Build. Mater. 2023, 369, 130616. [Google Scholar] [CrossRef]
- Farooq, F.; Ji, X.; Javed, M.F.; Akbar, A.; Shah, M.I.; Aslam, F.; Alyousef, R. Geopolymer concrete as sustainable material: A state of the art review. Constr. Build. Mater. 2021, 306, 124762. [Google Scholar] [CrossRef]
- Thomas, B.S.; Yang, J.; Mo, K.H.; Abdalla, J.A.; Hawileh, R.A.; Ariyachandra, E. Biomass ashes from agricultural wastes as supplementary cement-based materials or aggregate replacement in cement/geopolymer concrete: A comprehensive review. J. Build. Eng. 2021, 40, 102332. [Google Scholar]
- Hossain, S.S.; Roy, P.K.; Bae, C.J. Utilization of waste rice husk ash for sustainable geopolymer: A review. Constr. Build. Mater. 2021, 310, 125218. [Google Scholar] [CrossRef]
- Zhang, P.; Wang, K.; Wang, J.; Guo, J.; Hu, S.; Ling, Y. Mechanical properties and prediction of fracture parameters of geopolymer/alkali-activated mortar modified with PVA fiber and nano-SiO2. Ceram. Int. 2020, 46, 20027–20037. [Google Scholar] [CrossRef]
- Wang, H.; Wang, L.; Shen, W.; Cao, K.; Sun, L.; Wang, P.; Cui, L. Compressive strength, hydration and pore structure of alkali-activated slag mortars integrating with recycled concrete powder as binders. KSCE J. Civ. Eng. 2022, 2, 26. [Google Scholar] [CrossRef]
- Gao, Z.; Zhang, P.; Wang, J.; Wang, K.; Zhang, T. Interfacial properties of geopolymer mortar and concrete substrate: Effect of polyvinyl alcohol fiber and nano-SiO2 contents. Constr. Build. Mater. 2022, 315, 125735. [Google Scholar] [CrossRef]
- Liu, M.; Wang, C.; Wu, H.; Yang, D.; Ma, Z. Reusing recycled powder as eco-friendly binder for sustainable GGBS-based geopolymer considering the effects of recycled powder type and replacement rate. J. Clean. Prod. 2022, 364, 132656. [Google Scholar] [CrossRef]
- Ulugl, H.; Kul, A.; Yldrm, G.; Ahmaran, M.; Aldemir, A.; Figueira, D.; Ashour, A. Mechanical and microstructural characterization of geopolymers from assorted construction and demolition waste-based masonry and glass. J. Clean. Prod. 2021, 280, 124358. [Google Scholar] [CrossRef]
- Yldrm, G.; Kul, A.; Zelikci, E.; Ahmaran, M.; Ashour, A. Development of alkali-activated binders from recycled mixed masonry originated waste. J. Build. Eng. 2021, 33, 101690. [Google Scholar] [CrossRef]
- Ulugol, H.; Gunal, M.F.; Yaman, I.O.; Yildirim, G. Sahmaran, Mustafa, Effects of selfhealing on the microstructure, transport, and electrical properties of 100% construction-and demolition-waste-based geopolymer composites. Cem. Concr. Compos. 2021, 121, 104081. [Google Scholar] [CrossRef]
- Dadsetan, S.; Siad, H.; Lachemi, M.; Sahmaran, M. Extensive evaluation on the effect of glass powder on the rheology, strength, and microstructure of metakaolin-based geopolymer binders. Constr. Build. Mater. 2021, 268, 121168. [Google Scholar] [CrossRef]
- Mahmoodi, O.; Siad, H.; Lachemi, M.; Dadsetan, S.; Sahmaran, M. Development and characterization of binary recycled ceramic tile and brick wastes-based geopolymers at ambient and high temperatures. Constr. Build. Mater. 2021, 301, 124138. [Google Scholar] [CrossRef]
- Aydin, E.; Arel, H.S. Characterization of high-volume fly-ash cement pastes for sustainable construction applications. Constr. Build. Mater. 2017, 157, 96–107. [Google Scholar] [CrossRef]
- GB/T 50082-2009; Standard for Test Methods of Long-Term Performance and Durability of Ordinary Concrete. Ministry of Housing and Urban-Rural Development of the People’s Republic of China and General Administration of Quality Supervision, Inspection and Quarantine of the People’s Republic of China: Beijing, China, 2009. (In Chinese)
- Albitar, M.; Ali, M.M.; Visintin, P.; Drechsler, M. Durability evaluation of geopolymer and conventional concretes. Constr. Build. Mater. 2017, 136, 374–385. [Google Scholar] [CrossRef]
- Wang, Y.; Cao, Y.; Zhang, P.; Ma, Y.; Zhao, T.; Wang, H.; Zhang, Z. Water absorption and chloride diffusivity of concrete under the coupling effect of uniaxial compressive load and freeze–thaw cycles. Constr. Build. Mater. 2019, 209, 566–576. [Google Scholar] [CrossRef]
- Wang, K.; Zhang, P.; Guo, J.; Gao, Z. Single and synergistic enhancement on durability of geopolymer mortar by polyvinyl alcohol fiber and nano-SiO2. J. Mater. Res. Technol. 2021, 15, 1801–1814. [Google Scholar] [CrossRef]
- Huseien, G.F.; Sam, A.R.M.; Shah, K.W.; Mirza, J. Effects of ceramic tile powder waste on properties of self-compacted alkali-activated concrete. Constr. Build. Mater. 2020, 236, 117574. [Google Scholar] [CrossRef]
- Halit, Y.; MertYücel, Y.; Serdar, A. Mechanical properties of reactive powder concrete containing mineral admixtures under different curing regimes. Constr. Build. Mater. 2009, 23, 639–648. [Google Scholar]
- Huo, W.; Zhu, Z.; Chen, W.; Zhang, J.; Kang, Z.; Pu, S.; Wan, Y. Effect of synthesis parameters on the development of unconfined compressive strength of recycled waste concrete powder-based geopolymers. Constr. Build. Mater. 2021, 292, 123264. [Google Scholar] [CrossRef]
- Mahmoodi, O.; Siad, H.; Lachemi, M.; Sahmaran, M. Synthesis and optimization ofbinary systems of brick and concrete wastes geopolymers at ambient environment. Constr. Build. Mater. 2021, 276, 122217. [Google Scholar] [CrossRef]
- Zhang, D.; Jaworska, B.; Zhu, H.; Dahlquist, K.; Li, V. Engineered Cementitious Composites (ECC) with limestone calcined clay cement (LC3). Cem. Concr. Compos. 2020, 114, 103766. [Google Scholar] [CrossRef]
- Li, X.; Lv, X.; Zhou, X. Upcycling of waste concrete in eco-friendly strain-hardening cementitious composites: Mixture design, structural performance, and life-cycle assessment. J. Clean. Prod. 2022, 330, 129911. [Google Scholar] [CrossRef]
- Sandanayake, M.; Gunasekara, C.; Law, D.; Zhang, G.; Setunge, S. Greenhouse gas emissions of different fly ash based geopolymer concretes in building construction. J. Clean. Prod. 2018, 204, 399–408. [Google Scholar] [CrossRef]
- Tan, J.; Cai, J.; Li, X.; Pan, J.; Li, J. Development of eco-friendly geopolymers with ground mixed recycled aggregates and slag. J. Clean. Prod. 2020, 256, 120369. [Google Scholar] [CrossRef]
- He, X.; Zheng, Z.; Yang, J.; Su, Y.; Wang, T.; Strnadel, B. Feasibility of incorporating autoclaved aerated concrete waste for cement replacement in sustainable building materials. J. Clean. Prod. 2020, 250, 119455. [Google Scholar] [CrossRef]
- Guo, F.; Peng, Z.; Dai, J. Calcined sodium silicate as solid base catalyst for biodiesel production. Fuel Process. Technol. 2010, 91, 322–328. [Google Scholar] [CrossRef]
- Ruan, H.; Wu, S.; Chen, X. Capturing CO2 with NaOH solution from reject brine via an integrated technology based on bipolar membrane electrodialysis and hollow fiber membrane contactor. J. Chem. Eng. 2022, 450, 138095. [Google Scholar] [CrossRef]
- Liu, X.; Liu, L.; Lyu, K.; Li, T.; Zhao, P.; Liu, R.; Shah, S.P. Enhanced early hydration and mechanical properties of cement-based materials with recycled concrete powder modified by nano-silica. J. Build. Eng. 2022, 50, 104175. [Google Scholar] [CrossRef]
- Wu, H.; Yang, D.; Ma, Z. Micro-structure, mechanical and transport properties of cementitious materials with high-volume waste concrete powder and thermal modification. Constr. Build. Mater. 2021, 313, 125477. [Google Scholar] [CrossRef]
- Cantero, B.; Bravo, M.; De Brito, J.; Del Bosque, I.S.; Medina, C. Water transport and shrinkage in concrete made with ground recycled concrete-additioned cement and mixed recycled aggregate. Cem. Concr. Compos. 2021, 118, 103957. [Google Scholar] [CrossRef]
- Zhang, D.; Zhang, S.; Huang, B.; Yang, Q.; Li, J. Comparison of mechanical, chemical, and thermal activation methods on the utilisation of recycled concrete powder from construction and demolition waste. J. Build. Eng. 2022, 61, 105295. [Google Scholar] [CrossRef]














| Sample | Cement% | RP% | Sodium Silicate | Na% | W/B | B/S |
|---|---|---|---|---|---|---|
| M1 | 100 | 0 | - | 0 | 0.5 | 1.0 |
| CBM-70 | 30 | 70 | - | 0 | 0.5 | 1.0 |
| CBM-70-1.0 | 30 | 70 | 1.0 M | 6 | 0.5 | 1.0 |
| CBM-70-1.2 | 30 | 70 | 1.2 M | 6 | 0.5 | 1.0 |
| CBM-70-1.4 | 30 | 70 | 1.4 M | 6 | 0.5 | 1.0 |
| CBM-70-1.6 | 30 | 70 | 1.6 M | 6 | 0.5 | 1.0 |
| CBM-80 | 20 | 80 | - | 0 | 0.5 | 1.0 |
| CBM-80-1.0 | 20 | 80 | 1.0 M | 6 | 0.5 | 1.0 |
| CBM-80-1.2 | 20 | 80 | 1.2 M | 6 | 0.5 | 1.0 |
| CBM-80-1.4 | 20 | 80 | 1.4 M | 6 | 0.5 | 1.0 |
| CBM-80-1.6 | 20 | 80 | 1.6 M | 6 | 0.5 | 1.0 |
| CBM-90 | 10 | 90 | - | 0 | 0.5 | 1.0 |
| CBM-90-1.0 | 10 | 90 | 1.0 M | 6 | 0.5 | 1.0 |
| CBM-90-1.2 | 10 | 90 | 1.2 M | 6 | 0.5 | 1.0 |
| CBM-90-1.4 | 10 | 90 | 1.4 M | 6 | 0.5 | 1.0 |
| CBM-90-1.6 | 10 | 90 | 1.6 M | 6 | 0.5 | 1.0 |
| CBM-100 | 0 | 100 | - | 0 | 0.5 | 1.0 |
| CBM-100-1.0 | 0 | 100 | 1.0 M | 6 | 0.5 | 1.0 |
| CBM-100-1.2 | 0 | 100 | 1.2 M | 6 | 0.5 | 1.0 |
| CBM-100-1.4 | 0 | 100 | 1.4 M | 6 | 0.5 | 1.0 |
| CBM-100-1.6 | 0 | 100 | 1.6 M | 6 | 0.5 | 1.0 |
| Materials | CO2 Emission (kg) | CO2 Emission | ||||
|---|---|---|---|---|---|---|
| Cement | 70-1.6 M | 80-1.6 M | 90-1.6 M | 100-1.6 M | ||
| Cement | 0.82 [43] | 984 | 295.2 | 196.8 | 98.4 | 0 |
| RP | 0.004 [44] | / | 3.36 | 3.84 | 4.32 | 4.8 |
| Na2SiO3 | 0.78 [45] | / | 37.44 | 37.44 | 37.44 | 37.44 |
| NaOH | 1.425 [45] | / | 272.95 | 272.95 | 272.95 | 272.95 |
| Water | / | / | / | / | / | / |
| Total emission | / | 984 | 608.95 | 511.03 | 413.11 | 315.19 |
| Materials | Cost (USD/kg) | Cost | ||||
|---|---|---|---|---|---|---|
| Cement | 70-1.6 M | 80-1.6 M | 90-1.6 M | 100-1.6 M | ||
| Cement | 0.32 [44] | 416 | 115.2 | 76.8 | 38.4 | 0 |
| RP | 0.021–0.064 [46,47] | / | 53.76 | 61.44 | 69.12 | 76.8 |
| Na2SiO3 | 1.00 [48] | / | 58.28 | 58.28 | 58.28 | 58.28 |
| NaOH | 0.37 [49] | / | 17.76 | 17.76 | 17.76 | 17.76 |
| Water | / | / | / | / | / | / |
| Total emission | / | 416 | 245 | 214.28 | 183.56 | 152.84 |
| C(cost/MPa) | / | 10.89 | 10.11 | 9.97 | 9.98 | 8.76 |
Disclaimer/Publisher’s Note: The statements, opinions and data contained in all publications are solely those of the individual author(s) and contributor(s) and not of MDPI and/or the editor(s). MDPI and/or the editor(s) disclaim responsibility for any injury to people or property resulting from any ideas, methods, instructions or products referred to in the content. |
© 2023 by the authors. Licensee MDPI, Basel, Switzerland. This article is an open access article distributed under the terms and conditions of the Creative Commons Attribution (CC BY) license (https://creativecommons.org/licenses/by/4.0/).
Share and Cite
Hu, R.; Zhang, Y.; Zhang, Z.; Ma, Z. Development of Sustainable Cement-Based Materials with Ultra-High Content of Waste Concrete Powder: Properties and Improvement. Sustainability 2023, 15, 14812. https://doi.org/10.3390/su152014812
Hu R, Zhang Y, Zhang Z, Ma Z. Development of Sustainable Cement-Based Materials with Ultra-High Content of Waste Concrete Powder: Properties and Improvement. Sustainability. 2023; 15(20):14812. https://doi.org/10.3390/su152014812
Chicago/Turabian StyleHu, Ruihan, Youchao Zhang, Zhiyu Zhang, and Zhiming Ma. 2023. "Development of Sustainable Cement-Based Materials with Ultra-High Content of Waste Concrete Powder: Properties and Improvement" Sustainability 15, no. 20: 14812. https://doi.org/10.3390/su152014812
APA StyleHu, R., Zhang, Y., Zhang, Z., & Ma, Z. (2023). Development of Sustainable Cement-Based Materials with Ultra-High Content of Waste Concrete Powder: Properties and Improvement. Sustainability, 15(20), 14812. https://doi.org/10.3390/su152014812

