Association between Dynamic Agrivoltaic System and Cultivation: Viability, Yields and Qualitative Assessment of Medical Plants
Abstract
:1. Introduction
2. Materials and Methods
2.1. The Dynamic Agrivoltaic System
2.2. Field Experiment
2.3. Microclimatic Condition, Plant Growth, and Floristic Surveys
2.4. Statistical Analysis
3. Results
3.1. Microclimatic Measurements
3.1.1. Solar Radiation
3.1.2. Air Temperature
3.1.3. Infrared Foliar Temperature
3.2. Weeds Survey
3.3. Plant Growth Observation on Sage Crop
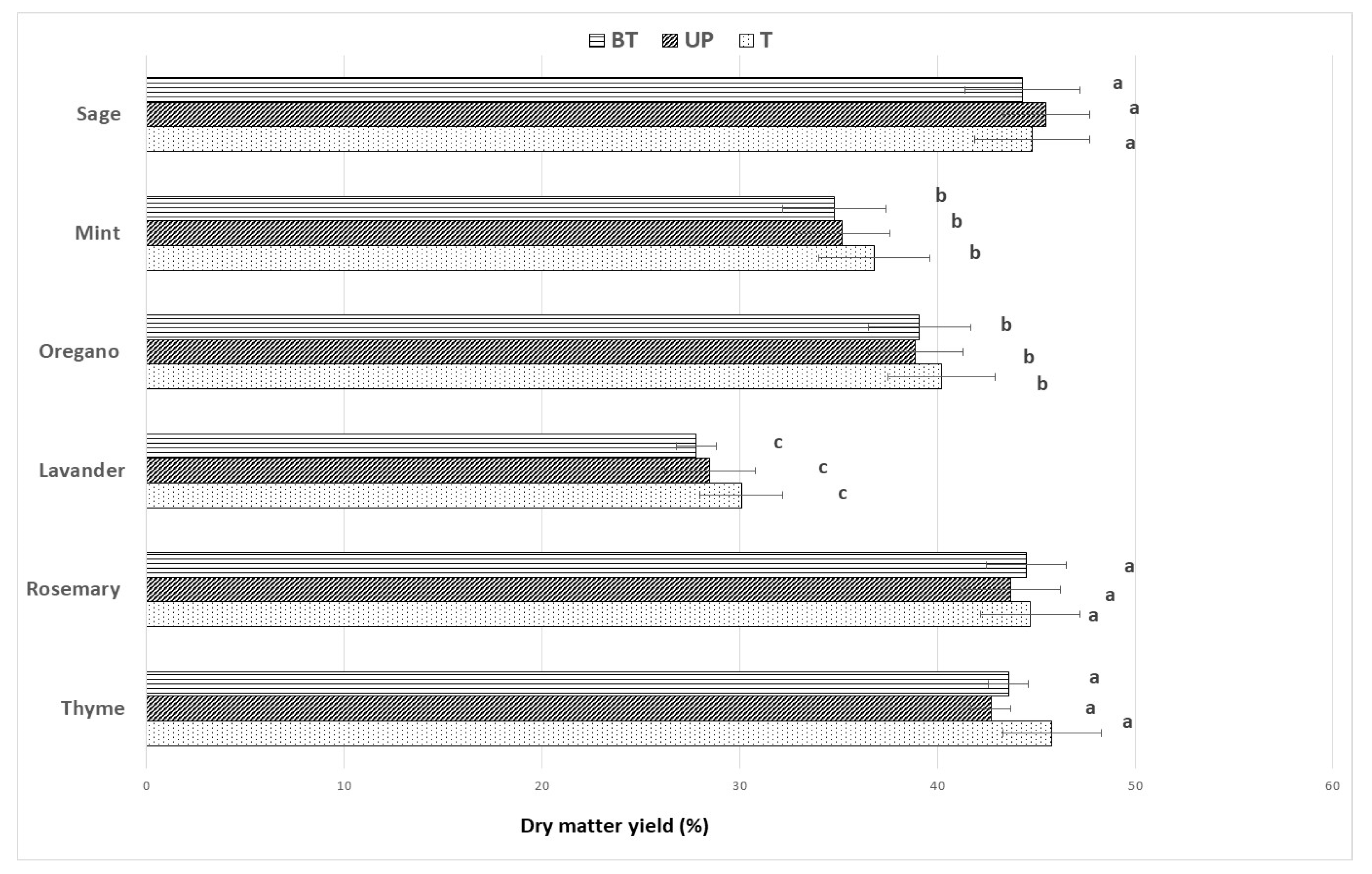
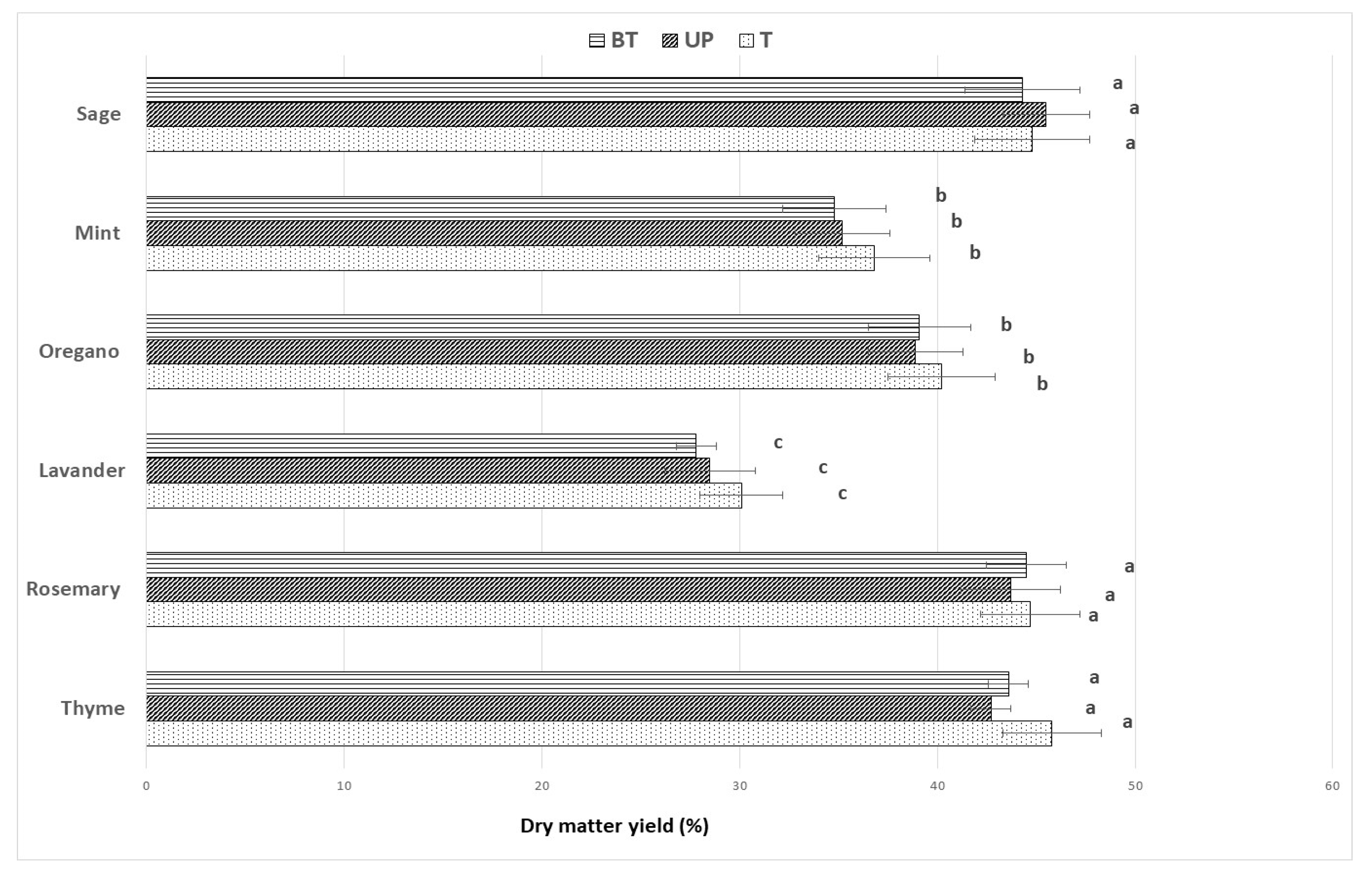
3.4. Dry Matter Content
3.5. Essential Oil (EO) Yield Content
4. Discussion
5. Conclusions
Author Contributions
Funding
Institutional Review Board Statement
Informed Consent Statement
Data Availability Statement
Conflicts of Interest
References
- United Nations—Climate Action. Causes and Effects of Climate Change 2020. Available online: https://www.un.org/en/climatechange/science/causes-effects-climate-change (accessed on 7 November 2023).
- Nonhebel, S. Renewable energy and food supply: Will there be enough land? Renew. Sustain. Energy Rev. 2005, 9, 191–201. [Google Scholar] [CrossRef]
- Agostini, A.; Colauzzi, M.; Amaducci, S. Innovative agrivoltaic systems to produce sustainable energy: An economic and environmental assessment. Appl. Energy 2021, 281, 116102. [Google Scholar] [CrossRef]
- Goetzberger, A.; Zastrow, A. On the coexistence of solar-energy conversion and plant cultivation. Int. J. Sol. Energy 1982, 1, 55–69. [Google Scholar] [CrossRef]
- Weselek, A.; Ehmann, A.; Zikeli, S.; Lewandowski, I.; Schindele, S.; Högy, P. Agrophotovoltaic systems: Applications, challenges, and opportunities. A review. Agron. Sustain. Dev. 2019, 39, 35. [Google Scholar] [CrossRef]
- Valle, B.; Simonneau, T.; Sourd, F.; Pechier, P.; Hamard, P.; Frisson, T.; Ryckewaert, M.; Christophe, A. Increasing the total productivity of a land by combining mobile photovoltaic panels and food crops. Appl. Energy 2017, 206, 1495–1507. [Google Scholar] [CrossRef]
- Campana, P.E.; Stridh, B.; Amaducci, S.; Colauzzi, M. Optimisation of Vertically Mounted Agrivoltaic Systems. J. Clean. Prod. 2021, 325, 129091. [Google Scholar] [CrossRef]
- Toledo, C.; Scognamiglio, A. Agrivoltaic Systems Design and Assessment: A Critical Review, and a Descriptive Model towards a Sustainable Landscape Vision (Three-Dimensional Agrivoltaic Patterns). Sustainability 2021, 13, 6871. [Google Scholar] [CrossRef]
- Mouhib, E.; Micheli, L.; Almonacid, F.M.; Fernández, E.F. Overview of the Fundamentals and Applications of Bifacial Photovoltaic Technology: Agrivoltaics and Aquavoltaics. Energies 2022, 15, 8777. [Google Scholar] [CrossRef]
- Elamri, Y.; Cheviron, B.; Lopez, J.M.; Dejean, C.; Belaud, G. Water Budget and Crop Modelling for Agrivoltaic Systems: Application to Irrigated Lettuces. Agric. Water Manag. 2018, 208, 440–453. [Google Scholar] [CrossRef]
- Lee, H.J.; Park, H.H.; Kim, Y.O.; Kuk, Y.I. Crop Cultivation Underneath Agro-Photovoltaic Systems and Its Effects on Crop Growth, Yield, and Photosynthetic Efficiency. Agronomy 2022, 12, 1842. [Google Scholar] [CrossRef]
- Marrou, H.; Dufour, L.; Wery, J. How does a shelter of solar panels influence water flows in a soil–crop system? Eur. J. Agron. 2013, 50, 38–51. [Google Scholar] [CrossRef]
- Marrou, H.; Guilioni, L.; Dufour, L.; Dupraz, C.; Wery, J. Microclimate under agrivoltaic systems: Is crop growth rate affected in the partial shade of solar panels? Agric. Meteorol. 2013, 177, 117–132. [Google Scholar] [CrossRef]
- Ravi, S.; Macknick, J.; Lobell, D.; Field, C.; Ganesan, K.; Jain, R.; Elchinger, M.; Stoltenberg, B. Colocation opportunities for large solar infrastructures and agriculture in drylands. Appl. Energy 2016, 165, 383–392. [Google Scholar] [CrossRef]
- Amaducci, S.; Yin, X.; Colauzzi, M. Agrivoltaic systems to optimise land use for electric energy production. Appl. Energy 2018, 220, 545–561. [Google Scholar] [CrossRef]
- Vervloesem, J.; Marcheggiani, E.; Choudhury, M.A.M.; Muys, B. Effects of Photovoltaic Solar Farms on Microclimate and Vegetation Diversity. Sustainability 2022, 14, 7493. [Google Scholar] [CrossRef]
- Chalgynbayeva, A.; Gabnai, Z.; Lengyel, P.; Pestisha, A.; Bai, A. Worldwide Research Trends in Agrivoltaic Systems—A Bibliometric Review. Energies 2023, 16, 611. [Google Scholar] [CrossRef]
- Midmore, D.J.; Berrios, D.; Roca, J. Potato, (Solanum spp.) in the hot tropics V. intercropping with maize and the influence of shade on tuber yields. Field Crop Res. 1988, 18, 159–176. [Google Scholar] [CrossRef]
- Kuruppuarachchi, D.S.P. Intercropped potato (Solanum spp.): Effect of shade on growth and tuber yield in the northwestern regosol belt of Sri Lanka. Field Crop Res. 1990, 25, 61–72. [Google Scholar] [CrossRef]
- Ferrante, A.; Marian, L. Agronomic management for enhancing plant tolerance to abiotic stresses: High and low values of temperature, light intensity, and relative humidity. Horticulturae 2018, 4, 21. [Google Scholar] [CrossRef]
- Marrou, H.; Wery, J.; Dufour, L.; Dupraz, C. Productivity and radiation use efficiency of lettuces grown in the partial shade of photovoltaic panels. Eur. J. Agron. 2013, 44, 54–66. [Google Scholar] [CrossRef]
- Cossu, M.; Yano, A.; Solinas, S.; Deligios, P.A.; Tiloca, M.T.; Cossu, A.; Ledda, L. Agricultural Sustainability Estimation of the European Photovoltaic Greenhouses. Eur. J. Agron. 2020, 118, 126074. [Google Scholar] [CrossRef]
- Sekiyama, T.; Nagashima, A. Solar sharing for both food and clean energy production: Performance of agrivoltaic systems for corn, a typical shade-intolerant crop. Environments 2019, 6, 65. [Google Scholar] [CrossRef]
- Chae, S.H.; Kim, H.J.; Moon, H.W.; Kim, Y.H.; Ku, K.-M. Agrivoltaic Systems Enhance Farmers’ Profits through Broccoli Visual Quality and Electricity Production without Dramatic Changes in Yield, Antioxidant Capacity, and Glucosinolates. Agronomy 2022, 12, 1415. [Google Scholar] [CrossRef]
- Schindelea, S.; Trommsdorff, M.; Schlaaka, A.; Obergfell, T.; Bopp, G.; Reise, C.; Braun, C.; Weselek, A.; Bauerle, A.; Högy, P. Implementation of agrophotovoltaics: Techno-economic analysis of the price-performance ratio and its policy implications. Appl. Energy 2020, 265, 114737. [Google Scholar] [CrossRef]
- Weselek, A.; Bauerle, A.; Zikeli, S.; Lewandowski, I.; Högy, P. Effects on crop development, yields and chemical composition of celeriac (Apium Graveolens L. Var. Rapaceum) Cultivated Underneath an Agrivoltaic System. Agronomy 2021, 11, 733. [Google Scholar] [CrossRef]
- Giardini, L. Agronomia Generale, Ambientale e Aziendale; Pàtron Editore: Bologne, Italy, 1992; p. 600. [Google Scholar]
- Uritu, C.M.; Mihai, C.T.; Stanciu, G.D.; Dodi, G.; Stratulat, T.A.; Luca, A.; Leon-Constantin, M.C.; Stefanescu, R.; VBild, V.; Melnic, S.; et al. Medicinal Plants of the Family Lamiaceae in Pain Therapy: A Review. Pain Res. Manag. 2018, 44, 7801543. [Google Scholar] [CrossRef] [PubMed]
- Sofowora, A.; Ogunbodede, E.; Onayade, A. The Role and Place of Medicinal Plants in the Strategies for Disease Prevention. Afr J. Tradit. Complement. Altern. Med. 2013, 10, 210–229. [Google Scholar] [CrossRef] [PubMed]
- Manuelli, M.T. Cresce il Consumo di Erbe Aromatiche e il Settore Rilancia con l’Osservatorio e Nuovi Investimenti. IlSole24Ore. August 3 2020. Available online: https://www.ilsole24ore.com/art/cresce-consumo-erbe-aromatiche-e-settore-rilancia-l-osservatorio-e-nuovi-investimenti-ADe6hjg (accessed on 7 November 2023).
- Spina, D.; Barbieri, C.; Carbone, R.; Hamam, M.; D’Amico, M.; Di Vita, G. Market Trends of Medicinal and Aromatic Plants in Italy: Future Scenarios Based on the Delphi Method. Agronomy 2023, 13, 1703. [Google Scholar] [CrossRef]
- Commission Staff Working Document 2023. Country Report—Italy. Brussels, 24.5.2023 SWD 2023. Available online: https://commission.europa.eu/system/files/2023-05 (accessed on 7 November 2023).
- Stefanaki, A.; van Andel, T. Mediterranean aromatic herbs and their culinary use. In Aromatic Herbs in Food Bioactive Compounds, Processing and Applications; Elsevier: Amsterdam, The Netherlands, 2021; pp. 93–121. [Google Scholar] [CrossRef]
- The European Market Potential for Fresh Herbs 2020. Available online: https://www.cbi.eu/market-information/fresh-fruit-vegetables/fresh-herbs/market-potential_ (accessed on 7 November 2023).
- Baydar, H.; Ozkan, G.; Erbas, S.; Altindal, D. Yield, chemical composition and antioxidant properties of extracts and essential oils of sage and rosemary depending on seasonal variations. Acta Hortic. 2009, 826, 383–389. [Google Scholar] [CrossRef]
- UNESCO/FAO. Bioclimatic Map of the Mediterranean Zone. In Explanatory Notes, Arid Zone Research; UNESCO/FAO: Rome, Italy, 1963; p. 2217. [Google Scholar]
- Ventrella, D.; Charfeddine, M.; Moriondo, M.; Rinaldi, M.; Bindi, M. Agronomic adaptation strategies under climate change for winter durum wheat and tomato in southern Italy: Irrigation and nitrogen fertilization. Reg. Environ. Chang. 2012, 12, 407–412. [Google Scholar] [CrossRef]
- USDA. Textural soil classification. In Study Guide Revised; United States Department of Agriculture, Soil Conservation Service: Washington, DC, USA, 1987; p. 48. [Google Scholar]
- Frabboni, L.; Tarantino, A.; Petruzzi, F.; Disciglio, G. Bio-herbicidal effects of Oregano and Rosemary essential oils on Chamomile (Matricaria chamomilla L.) crop in organic farming system. Agronomy 2019, 9, 475. [Google Scholar] [CrossRef]
- Dupraz, C.; Talbot, G.; Marrou, H.; Wery, J.; Roux, S.; Fabien, L.; Ferard, Y.; Nogier, A. To mix or not to mix: Evidences for the unexpected high productivity of new complex agrivoltaic and agroforestry systems. In Proceedings of the 5th World Congress of Conservation Agriculture Incorporating 3rd Farming Sistem Design Conference, Brisbane, Australia, 26–29 September 2011. [Google Scholar]
- Pang, K.; van Sambeek, J.W.; Navarrete-Tindall, N.E.; Lin, C.-H.; Jose, S.; Garrett, H.E. Responses of legumes and grasses to non-, moderate, and dense shade in Missouri, USA. I. Forage yield and its species-level plasticity. Agrofor. Syst. 2017, 88, 287. [Google Scholar] [CrossRef]
- Armstrong, A.; Ostle, N.J.; Whitaker, J. Solar Park microclimate and vegetation management effects on grassland carbon cycling. Environ. Res. Lett. 2016, 11, 074016. [Google Scholar] [CrossRef]
- Yue, S.; Guo, M.; Zou, P.; Wu, W.; Zhou, X. Effects of photovoltaic panels on soil temperature and moisture in desert areas. Environ. Sci. Pollut. Res. 2021, 28, 17506–17518. [Google Scholar] [CrossRef] [PubMed]
- Othman, N.F.; Yaacob, M.E.; Mat Su, A.S.; Jaafar, J.N.; Hizam, H.; Shahidan, M.F.; Jamaluddin, A.H.; Chen, G.; Jalaludin, A. Modeling of stochastic temperature and heat stress directly underneath agrivoltaic conditions with Orthosiphon Stamineus Crop Cultivation. Agronomy 2020, 10, 1472. [Google Scholar] [CrossRef]
- Jackson, R.D.; Idso, S.B.; Reginato, R.J.; Printer, P.J. Canopy temperature as a crop water stress indicator. Water Res. 1981, 17, 1133–1138. [Google Scholar] [CrossRef]
- Romero-Trigueros, C.; Bayona Gambín, J.M.; Nortes Tortosa, P.A.; Alarcón Cabañero, J.J.; Nicolàs, E.N. Determination of crop water stress index by infrared thermometry in grapefruit trees irrigated with saline reclaimed water combined with deficit irrigation. Remote Sens. 2019, 11, 757. [Google Scholar] [CrossRef]
- Milenković, L.; Ilić, Z.L.; Šunić, L.; Tmušić, N.; Stanojević, L.J.; Cvetković, D. Modification of light intensity influence essential oils content, composition and antioxidant activity of thyme, marjoram and oregano. Saudi J. Biol. Sci. 2021, 28, 6532–6543. [Google Scholar] [CrossRef]
- Rathore, S.; Mukhia, S.; Kapoor, S.; Bhatt, V.; Kumar, R.; Kumar, R. Seasonal variability in essential oil composition and biological activity of Rosmarinus officinalis L. accessions in the western Himalaya. Sci. Rep. 2022, 12, 3305. [Google Scholar] [CrossRef]
- Lalević, D.; Ilić, Z.S.; Stanojević, L.L.; Kovač, R.; Milenković, A. Shade-Induced Effects on Essential Oil Yield, Chemical Profiling, and Biological Activity in Some Lamiaceae Plants Cultivated in Serbia. Horticulturae 2023, 9, 84. [Google Scholar] [CrossRef]
- Hendawy, S.F.; Abouziena, H.F.; Abd El-Razik, T.M.; Amer, H.M.; Hussein, M.S. Winter weeds and its control in the medicinal plants in Egypt: A survey study. Egypt Pharm. J. 2019, 18, 16–26. [Google Scholar]
- Vouzounis, N.A.; Dararas, V.E.; Georghiou, G. Chemical Control of Weeds in the Aromatic Crops Lavender, Oregano and Sage; Technical Bulletin 218; Agricultural Research Institute. Ministry of Agriculture, Natural Resources and the Environment: 2003. Available online: https://scholar.googleusercontent.com/scholar?q=cache:SKDg1XLnAPsJ:scholar.google.com/&hl=it&as_sdt=0,5 (accessed on 7 November 2023).








| Date | Between Panel | Under Panel | Open Field |
|---|---|---|---|
| BP | UP | T | |
| 1 June | 31.4 ± 0.2 a | 29.9± 0.2 b | 31.7 ± 0.2 a |
| 7 June | 34.3 ± 0.3 a | 33.2 ± 0.2 b | 34.6 ± 0.3 a |
| 14 June | 32.1 ± 0.3 a | 30.9 ± 0.3 b | 32.5 ± 0.2 a |
| 21 June | 35.4 ± 0.2 a | 34.0 ±0.2 b | 35.6 ± 0.3 a |
| 28 June | 36.9 ± 0.1 a | 36.5 ± 0.2 b | 37.3 ± 0.3 a |
| 12 July | 31.4 ± 0.1 a | 30.1± 0.1 b | 31.6 ± 0.2 a |
| 19 July | 30.7 ± 0.3 a | 29.8 ± 0.3 b | 31.0 ± 0.3 a |
| 27 July | 38.4 ± 0.2 a | 37.5 ± 0.3 b | 38.8 ± 0.3 a |
| 26 August | 30.7 ± 0.2 a | 29.8 ± 0.1 b | 31.0 ± 0.2 a |
| Mean | 33.5 ± 0.2 A | 32.4 ± 0.2 B | 33.8 ± 0.3 A |
| Plant Growth | BP | UP | T | |||||||||
|---|---|---|---|---|---|---|---|---|---|---|---|---|
| Height | 9.7 | ± | 1.0 | a | 10.3 | ± | 1.3 | a | 7.0 | ± | 1.5 | b |
| Width (E-W) | 11.1 | ± | 1.3 | a | 12.3 | ± | 1.3 | a | 7.8 | ± | 1.1 | b |
Disclaimer/Publisher’s Note: The statements, opinions and data contained in all publications are solely those of the individual author(s) and contributor(s) and not of MDPI and/or the editor(s). MDPI and/or the editor(s) disclaim responsibility for any injury to people or property resulting from any ideas, methods, instructions or products referred to in the content. |
© 2023 by the authors. Licensee MDPI, Basel, Switzerland. This article is an open access article distributed under the terms and conditions of the Creative Commons Attribution (CC BY) license (https://creativecommons.org/licenses/by/4.0/).
Share and Cite
Disciglio, G.; Frabboni, L.; Tarantino, A.; Stasi, A. Association between Dynamic Agrivoltaic System and Cultivation: Viability, Yields and Qualitative Assessment of Medical Plants. Sustainability 2023, 15, 16252. https://doi.org/10.3390/su152316252
Disciglio G, Frabboni L, Tarantino A, Stasi A. Association between Dynamic Agrivoltaic System and Cultivation: Viability, Yields and Qualitative Assessment of Medical Plants. Sustainability. 2023; 15(23):16252. https://doi.org/10.3390/su152316252
Chicago/Turabian StyleDisciglio, Grazia, Laura Frabboni, Annalisa Tarantino, and Antonio Stasi. 2023. "Association between Dynamic Agrivoltaic System and Cultivation: Viability, Yields and Qualitative Assessment of Medical Plants" Sustainability 15, no. 23: 16252. https://doi.org/10.3390/su152316252
APA StyleDisciglio, G., Frabboni, L., Tarantino, A., & Stasi, A. (2023). Association between Dynamic Agrivoltaic System and Cultivation: Viability, Yields and Qualitative Assessment of Medical Plants. Sustainability, 15(23), 16252. https://doi.org/10.3390/su152316252

