Abstract
Rural out-migration was a rare socio-economic phenomenon when community forestry began in the 1980s in Nepal. Now, out-migration significantly influences nearly every aspect of rural livelihoods in the country. However, it is unclear how out-migration affects community forestry governance, which is essential for sustainable rural development. Therefore, this paper addresses the following research question: Does rural out-migration affect forest users’ participation in community forestry decision-making and management practices? This paper draws on data collected from an extensive survey of 415 households from 15 community forest user groups in 2 Mid-Hill districts of Nepal. The research used ordered-logit regression to model the impacts of out-migration on participation in forest management and decision-making, while controlling for a number of other socio-economic factors. The model results show that total household size and number of internal migrants, together with multiple resource characteristics and institutional attributes, were major factors affecting participation in decision-making and forest management. However, the number of international migrants did not have a significant role in determining the levels of the participation. This study provides valuable insights for future community forestry policymaking that aims to address the effects of out-migration on community forest management in Nepal.
1. Introduction
Migration is one of the major demographic factors affecting our environment [1]. Though there is ample research and debate on the impacts of in-migration on the environment and land use [2], the impacts of out-migration on the environment in the place of origin remain elusive [1,3]. The relationship between out-migration and forest management is under-explored in community-controlled territories and community-based forest governance [4]. A recent assessment of forty years of community-based forest management has strongly emphasized the necessity of studying the impacts of out-migration on community-based forest management regimes [5]. Understanding this relationship is critical for the sustainable management of forests and forest resources.
The increasing trend of migration for economic opportunities has been a major socio-economic phenomenon in Nepal. Approximately 5 million Nepalese citizens are in the international labor market [6], and more than 85% of total Nepalese labor migrants originate from rural areas [7]. Though there is no exact estimate, the number of out-migrants from rural areas steeply increases when temporary and seasonal internal migration are included. This trend has been increasing since the Maoist insurrection (1996–2006). Migration for education in nearby urban centers and to foreign labor markets has become part of the culture in rural communities in Nepal in recent years [8].
Migration and remittances are shaping household economics and rural community landscapes [9]. Increasing out-migration has had positive and negative economic and environmental impacts at both the local and national levels in Nepal. Remittances sent by migrant workers constitute approximately 30% of Nepal’s Gross Domestic Product (GDP) [6] and are the main source of foreign income for the country. More than 57% of rural households in Nepal receive remittances, making this income critical for household welfare. Increasing rural out-migration is also rapidly depopulating rural areas and changing their social structure across the country, resulting in indirect impacts on rural livelihoods and land use [1,10,11]. Specifically, out-migration has left rural communities without active workforces [12,13], resulting in an increasing trend of agricultural land abandonment [13,14], where forests re-establish via natural regeneration of vegetation [15,16,17].
Currently, approximately 25% of households have at least one migrant living outside of Nepal [10]. Most of these households are located in rural Nepal, practicing subsistence agriculture and forestry-based livelihoods. Some studies suggest that the loss of human capital due to out-migration might reduce household consumption of forest products and decrease the participation of rural communities in forest management, putting the sustainability of community forestry into question [18,19]. Dietz et al. [20] argued that resource governance is less effective when the rate of change in the number of resource users is beyond moderate. Since out-migration was a rare social phenomenon at the time of community forestry (CF) initiation, the dynamics of out-migration and its potential impacts on CF management were poorly envisioned in the CF policy and program development in Nepal [21]. Though CF policies and programs acknowledge the role of local communities in forest conservation, they fail to consider the state of community forest governance in the context of increasing out-migration. Recent global assessments show that there are significant knowledge gaps in people-forest interactions in the context of changing rural communities due to out-migration [4,5]. Very little is known about how rural depopulation and changing livelihood strategies affect community forestry management [1,19,22]. In this paper, we use data collected from two geographic locations in Nepal to understand how rural out-migration has affected household participation in community forestry decision-making and management practices in Nepal.
Community Forestry and Out-Migration
Community forestry is a decentralized forest management regime initiated after the failure of a centralized forest management system in Nepal [5,23]. This community-centric, bottom-up approach to forest management has become one of the most successful and widely practiced forest governance mechanisms around the world [24,25]. Community forestry positions local communities at the center of forest management, granting them rights over decision-making and responsibility for sustainable forest development. By definition, community forestry is a “forestry practice which directly involves forest users in the common decision-making process and implementation of forestry activities” [23]. For community forestry to function as a successful, community-led institution, active participation of community members is key. Critical theory on collective resource management states that community forestry user groups are self-organized to manage common-pool resources, often devising long-term, sustainable institutions for governing their resources [26]. Such local institutions function sustainably when there is lower migration of users and higher dependency on common resources [27].
Nepal is a pioneer in community-based forest management. The Forest Act 1993 and the Master Plan for Forestry Sector 1998 are the foundation for CF development in Nepal [28]. Subsequent forest policy documents, including ‘Community Forestry Guidelines 2009’, ‘Forest Sector Strategy (2016–2015)’, and ‘Forest Policy 2019’, all emphasize the significance of strengthening local people’s participation in forest governance. Community forestry was initiated to restore degraded forest areas and to support the livelihoods of forest-dependent households. These households formed community forest user groups (CFUGs); self-regulated, autonomous institutions governing community forests. CFUGs are responsible for the management, conservation, and utilization of forests in accordance with their operational plans, which outline forest activities that the community is expected to undertake for five to ten years. CFUGs operate on three principles: collective action, community participation, and long-term sustainability. An estimated 23,000 CFUGs, comprising 3.08 million households, have been managing 2.3 million hectares of forests, mostly in the Middle Hills of Nepal [29]. Community forests constitute 35% of the total forested area and approximately 60% of the total population of Nepal [30].
Community forests are embedded in the complex social and ecological system [31]. Changes in the social system, such as out-migration or depopulation, have direct implications on forest resources. Given the high rate of out-migration in rural Nepal, understanding the feedback of migration to the social system and community forestry governance is key for developing sustainable forest policy. A study reported that immigrant communities were less likely to support institutions for common-pool resource management [32]. However, participation and resource use among out-migrant communities in community forestry remain poorly understood [4]. Loss of human capital due to out-migration could decrease the participation of rural communities in forest conservation, threatening the sustainability of CF [23]. Out-migration also decreases forest resource dependency by reducing the household size and increasing household income via remittance [1], demotivating communities to participate in community forestry activities. The impact of male out-migration on increasing women’s participation in CF management is also debated [11,33,34].
Although out-migration was not prevalent in the early years of CF in Nepal, it has begun to drastically influence multiple aspects of livelihoods, including community forest management. Since CF was initiated in Nepal, the contribution of remittances to the national GDP has increased 30-fold [35]. CFUGs have been struggling to function effectively due to the out-migration of their members [18]. There is a knowledge gap on the relationship between rural out-migration and collective action [23,36]. Hajjar et al. (2016) also noted in their recent assessment that there are significant knowledge gaps in CF literature on out-migration and population dynamics [4]. Thus, it is crucial to examine how CF institutions are responding or adapting to increasing out-migration.
2. Materials and Methods
2.1. Conceptual Framework and Variables Selection
Locally evolved and self-organized institutions, with high levels of community engagement, contribute to sustainable governance of forest resource management [25]. Studies identified numerous variables that are critical for sustainable natural resource management [27,31]. However, no studies prescribe a single set of factors that determine the participation of households in forest resource management. Resource governance and management are complex, dynamic, and often interact with many other elements of the social system, so participation in forest management is context-specific and varies across time and scale [27]. Most studies on natural resource management have adapted the Institutional Analysis and Development (IDA) framework to understand the factors affecting community governance of natural resources [37,38,39,40]. The IDA framework provides a basis for conceptualizing participation in community forestry, shaped by three types of incentives: (1) incentives related to the users’ characteristics, (2) incentives related to resource characteristics, and (3) incentives related to the institutional arrangement that provides the structure of interactions between the users and the resource [37,40,41,42,43]. These factors can exert influence on participation, either directly or indirectly, in combination with other explanatory variables [39]. When the expected incentives of managing a resource fall behind the perceived costs, the probability of users’ participation in forest-related activities becomes low.
Household characteristics influence decision-making about whether or not to participate in forestry activities [44]. Thus, participation in and dependency on CF activities varies by socio-economic and demographic characteristics, such as age, gender, level of education of household head, household size, caste, and household endowments [40,44,45,46]. Females and males have different motivations and capabilities for engaging in CF activities. Females who become the de-facto household heads in the absence of a male out-migrant have a lower chance of participating in CF activities due to increased domestic chores and agricultural responsibilities [18,33]. Recent literature also suggests that younger generations have less interest in participating in CF governance [47]. Caste-based social segregation is another major factor that affects participation and resource dependency in forest management [45]. Household size affects CF participation, as larger households tend to have more active laborers available to contribute to forest management activities [48]. Larger households also have a higher demand for forest products which motivates them to participate in forest governance [46]. Therefore, out-migration (both internal and international) disincentivizes participation in two ways: (a) a higher number of migrants reduces the number of individuals that can contribute to collective action [36], and (b) households receiving remittances from a migrant can afford to purchase alternative resources, reducing their forest resource dependence and subsequently their participation level in forest activities. Since out-migration reduces the consumption of forest products as well as the labor required for forest product extraction, households with more migrants are likely to be less dependent on community forestry resources than households with no or fewer out-migrants. Study showed that rural out-migration could be a catalyst for reducing the dependency of the local community on communal lands [49]. Out-migration also reduces active leadership in the community [23], which is key to motivating individuals to participate in collective action [50].
Ownership of private land, including private forests, may decrease a household’s reliance on CF and demotivate them from participating in CF activities, as they have access to a private supply of forest products [51]. In addition to private land ownership, the number of livestock owned by households is closely related to their use of forest products and participation in CF activities. Households with more livestock require more fodder and bedding material from community forests, incentivizing their participation in CF activities [45]. Similarly, perception of benefits and costs from CF are also determined by household income and resources. Households with a higher income, including remittances, perceive less benefit from participating in CF. Remittances also increase economic heterogeneity and inequalities in the community [52], which directly impacts the level of participation in resource management collective action [36]. Mbeche et al. (2021) found that higher income had a negative influence on participation across all stages of CF activities due to the higher opportunity costs of participation [40]. For this study, we used the well-being index (WBI) as a proxy for income status. The well-being ranking process is a participatory approach to rank households according to their economic and social status, widely used by the CFUGs in Nepal to identify poor households.
Resource characteristics provide both negative and positive incentives for households to participate in different levels of CF activities. A relatively higher dependency on forest resources from CF increases the level of household participation in CF activities. Likewise, an increase in forest distance from household location increases the opportunity and transaction cost of participation and resource use, decreasing the likelihood of participation and forest dependency.
Incentives related to institutional attributes also directly influence the choice and level of participation in resource governance [27,40]. Institutional arrangements include the services and training that communities receive and the leadership and governance structures of CFUGs [43]. The opportunity to gain power through becoming executive members in CFUGs incentivizes individuals to become involved in CF activities. Training and forestry extension services improve access to forest management information and resources, which positively affect participation outcomes in forest governance [37]. Continuous engagement in CF institutions for long periods increases trust and confidence among the users, positively influencing the level of participation [40]. Therefore, it is likely that households with longer years of membership in CF institutions participate more in forestry activities.
Participation, however, is a broad concept. Subedi and Timilsina (2016) classified participation based on the disciplinary context, the type, and the degree [53]. Earlier literature by Arnstein defined the degree of citizen participation in terms of power, using an eight-rung ladder [54]. According to his definition, ‘manipulation’ and ‘therapy’ in the bottom rungs represent non-participation; ‘tokenism,’ which includes three rungs (‘informing,’ ‘consultation,’ and ‘placation’) represents the medium degree of participation, and ‘partnership,’ ‘delegation,’ and ‘citizen control’ represent the highest rungs of citizen participation. McCall & Minang (2005) characterized participation based on intensities starting with manipulation and passive participation, followed by consultation, involvement, and initiating action [55]. Agarwal defined a different typology of participation in CF, ranging from nominal participation to interactive participation [38]. Tadesse et al. (2017) simply defined participation as active or passive [44]. In this study, we define "participation" as the active involvement of CFUG members in different levels of CF activities that concern them. Participation in CF activities differs across aspects of forest management. Previous studies have analyzed participation at the following stages of CF: constitution-making, operational plan making, user committee formation, forest management operation, planning and decision-making, and resource utilization [37,45,53]. For this study, we considered two major stages: (a) participation in forest management activities, which usually encompasses regular silvicultural operations, such as thinning and pruning, fire line construction, and other activities prescribed in the operational plan; and (b) participation in planning and decision making (hereafter referred to as decision making), that usually represents participation in meetings, general assembly or any kind of hearings called by the CFUGs, during which the community creates new rules or formulates forest management activities. Participation is commonly measured as a binary decision based on a household’s choice to participate or not participate [53]. For this study we measured participation levels with a three-point Likert scale: 1 = low (nominal participation), 2 = medium (activity-specific participation), and 3 = high (interactive participation).
Our dependent variables are the two levels of participation in CF activities described above: participation in forest management and participation in decision making. Our independent variable is the number of out-migrants from the household. We defined out-migrants as individuals aged 16 to 65 who left the house for more than six consecutive months and currently live away from home at the time of the interview. We categorized out-migrants as internal and international; internal migrants are any individuals who migrated within Nepal, and international migrants are individuals who migrated to international destinations. Internal migration tends to require less effort and resources and is more likely to occur in larger numbers. In contrast, international migration often requires more economic capital, greater attention to legal processes and requirements, and more time spent away from the family. Thus, international migration is likely to occur in smaller numbers. Typically, migration from a rural area starts as a short-term livelihood strategy in which one person migrates and is later followed by other family members (mostly children and spouse) once the primary migrant is settled. Migrants often remit money if they have family members back home and gradually stop remitting as their spouses and children join them.
2.2. Study Area
The study was carried out in two districts in the Middle Hills of Nepal: Kavrepalanchowk and Tanahu in Bagmati Province and Gandaki Province, respectively (Figure 1). Kavrepalanchowk is covered by 82,549 ha (59.0%) of forests with more than 559 CFUGs, and Tahanu has a total forest area of 82,449 ha (52.5%) with 616 CFUGs. Both districts are dominated by hilly terrain, and most of the population is dependent on agriculture-based livelihoods. Farmers practice small-scale traditional agriculture for subsistence. The altitude of Kavrepalanchok ranges from approximately 300 to 3000 m above the mean sea level and has a total area of 1400 km2. The elevation of Tanahu ranges from 186 to 2325 m above the mean sea level and has a total area of 1569 km2. Agriculture integrated with forestry and animal husbandry is the major land-use system in both study sites. Kavrepalancok has sub-tropical and temperate vegetation, and Tanahu has tropical and sub-tropical vegetation. With the recent increase in out-migration, the long histories of community forestry practice in both sites make them suitable case studies for this research.
Figure 1.
Map of the two study sites (A-Kavrepalanchok and B-Tanahu) in the Middle Hills of Nepal, showing the locations of the studied CFUGs and the surveyed households.
2.3. Data
This study utilized a mixed methods approach of quantitative and qualitative data collection, including a structured household survey with a questionnaire, semi-structured focus group discussions, and grey literature (e.g., the CFUG operation plan, annual report) review. The data for this study were collected in the summers of 2018 and 2019. The study adopted a multi-stage sampling method. The two geographic locations were purposively selected to meet the broader research objectives related to rural out-migration and community forest governance, cropland abandonment, and human-wildlife conflicts [13,29,56]. Seven CFUGs from Kavrepalanchok and eight from Tanahu were selected based on their accessibility and years dedicated to CF practices in consultation with local collaborators. Households within each CFUG were selected with a simple random sampling method. We randomly selected at least 30 households from each CFUG, or 30% of the total household members if the CFUG size was smaller. We conducted 415 household surveys from 15 CFUGs: 215 households from Bhumlu rural municipality in Kavrepalanchok district and 200 households from Bhanu municipality in Tanahu district (Table 1). We also recorded the geo-locations for 1264 crop parcels owned by the surveyed households with a handheld Global Positioning System unit.
Table 1.
Attributes of community forest user groups involved in this study.
The questionnaire was designed in both the English and the Nepali languages and pre-tested in the field before conducting the full detailed household survey. Local interviewers were hired and trained for the household interviews at each site. The purpose of the research was explained to all participants before beginning the survey, and all participants were ensured anonymity and confidentiality of their responses. We aimed to interview the household heads, but if the household head was not available at the time of the survey, we interviewed the adult in the household who managed the day-to-day affairs. The questionnaire was designed to collect household socio-economic information, including demographics, migration, current cropland use status, different types of forest product use, and participation in community forest activities. The interviews took an average of 50–60 min for a single household by a well-trained interviewer. We also reviewed the operational plan of each CFUG to understand the history of forest conservation, provisions, and planned activities by the communities in their forest.
2.4. Data Analysis
Data were summarized using descriptive statistics. Since dependent variables used in the model are ordinal, we used ordered logistic regression as an estimation procedure to identify the factors determining the different levels of participation in community forestry decision-making and management. Likelihood ratio Chi-square tests were used to assess the goodness of fit by contrasting a model that had no independent variable with a model that did have this feature. We used the p-value associated with each coefficient to interpret how significantly each variable contributes to overall variation in the model [45]. The Brant test was used to verify the proportional odds assumption, which assume that independent variable effect is constant or proportional on the odds regardless of the threshold. Both estimated odds ratios and corresponding marginal effects were reported. For the dependent variable, we categorized participation into three different levels: low, medium, and high, based on the number of days they participated in decision-making and forest management-related activities. Likewise, we considered most of the independent variables based on theories and empirical studies as well as field insights [36,37,40,44,45]. As explained in the conceptual framework section above, participation outcomes are described as a function of user characteristics, resource characteristics, and institutional attributes. The equation to be estimated is therefore expressed as:
where is the unobserved latent dependent variables (with three categories of participation, i.e., low, medium, high); χi is the vector of independent variables; ε is the error term; and β is the vector of the regression coefficients.
Equation (2) represents a form of censoring, and the µ and s are unknown parameters that would be calculated with β.
3. Results
3.1. Basic Statistics of the Respondents
Of the 415 respondents, 69% of the households had a ‘low’ degree of participation in forest management activities, and 30% of the households had a ‘low’ degree of participation in decision-making (Figure 2). The average household size was 5.5 individuals, with an average internal and international migrant number of 1.32 (±1.55) and 0.36 (± 0.69), respectively. On average, households had 12.8 ropani (19.65 ropani = 1 hectare) of cropland and received Nepali rupee (Nrs) 5322 per year in remittances (Table 2). Agriculture, along with remittances from migrants, was the primary source of household income. The average walking distance, measured in time, from a household to the community forest was 26 min (±17). The average educational level of the household head was four years of school, and the average age of the household head at the time of the interview was 54 years (±14). Approximately 27% of the household heads were female. As well, 42% of the household head’s occupation was subsistence agriculture and livestock husbandry. In terms of caste, 44% of the households belonged to Brahmin/Chhetri (elite caste group), 26% to Dalit (marginalized caste), and 30% to Janajati (ethnic caste). The mean livestock holding per household was 2.87 livestock units (LSU) (SD = 1.78), and almost 95% of households had at least one type of livestock. On average, a household used 14 bhari (1 bhari-30 kg) of fuelwood per month, and 57% of their demand was fulfilled from the community forest.
Figure 2.
Community Forest User Groups’ activities (forest management and decision making) and participation levels.
Table 2.
Descriptive statistics of the dependent and independent variables used in the analysis.
3.2. Factors Determining Participation
Table 3 and Table 4 present the results of the ordered logistic regression on the determinants of forest users’ participation in decision-making and forest management activities in CF, respectively. The results suggest that the two models were highly significant (p-value < 0.001), with their chi-square statistics being 74.95 for participation in decision-making and 63.10 for participation in forest management. A brant test shows that both models (Table 3 and Table 4) meet the assumptions of proportional odds. Standard error was adjusted for 15 clusters of CFUGs.
Table 3.
Determinants and average marginal effects of participation in decision-making activities.
Table 4.
Determinants and average marginal effects of participation in forest management activities.
We found that user characteristics such as household size, social segregation based on caste, and occupations were significant factors associated with the participation of a household in CF activities. The number of internal migrants, along with household size, plays an important role in participation in the decision-making and management of CF activities. Larger households with more internal migrants have less available manpower to participate in CF activities. The marginal effect results show that a unit increase in internal migrants decreases the probability of being in the ‘high’ participation category in decision making and forest management by 2.8 and 2.9%, respectively. The relationship between international migrants and participation in forest management and decision-making activities is not significant. The positive association between household size and participation in decision-making and forest management suggests that households with larger sizes are more likely to participate in forest activities. Marginal effects show that a unit increase in household size increases the probability of being in the ‘high’ participation category in decision making and forest management by 4 and 2%, respectively. We found Dalit caste households were more likely to participate in decision-making activities, such as regular meetings and general assembly, compared to the reference category of Brahmin/Chhetri caste. However, the positive association of the Dalit caste in participation in decision-making does not assure their active participation. Similarly, we found a positive association of participation in forest management with Janajati caste groups, compared with Brahmin/Chhetri caste groups. This is due to their higher engagement in agriculture and forestry-based livelihood activities compared to Brahmin/Chhetri groups. The marginal effects show that Dalit households are 17% more likely to be in the ‘high’ participation category in decision making, and Janajati households are 8% more likely to be in the ‘high’ participation category in forest management, compared to the Brahmin/Chhetri caste. The statistically significant negative coefficient for occupation suggests that household heads with non-agricultural occupations participated less in decision making than household heads with agricultural occupations. The marginal effects show that households with non-agricultural occupations are 12% more likely to be in the ‘low’ participation category and 10% less likely to be in the ‘high’ participation category regarding participation in decision-making compared to households with agricultural occupations.
Livestock holding had a positive association with participation in decision making because households with a larger number of LSU need more fodder and bedding materials from community forests, incentivizing their participation in CF decision making. The marginal effect shows that a unit increase in LSU increases the probability of the household being in the ‘high’ category of participation in decision making by 3% and decreases the probability of the household being in the ‘low’ category of participation in decision making by 4%. However, we found no statistically significant association between LSU and participation in forest management. Firewood consumption was positively related to participation in forest management activities, suggesting that households using a larger amount of firewood participate more in forest management activities compared to households that use less firewood. There was no significant relationship between fuelwood use and level of participation in decision making. We also found that households in the low well-being index category participated less in decision-making compared to households in the high well-being index category. Surprisingly, we did not find any significant relationship between participation in decision-making and forest management with landholding and remittances. In our study sites, households with out-migrants received only nominal amounts of money from their out-migrant member(s), causing remittances to be less influential in their participation level in CF activities than anticipated.
Our results show that distance from the household location to the community forest had a negative and significant association with participation level in forest management activities. This may be explained by the fact that forests located far from households increase the travel time to participate in forest management activities, disincentivizing participation. The marginal effect shows that a unit increase in distance (i.e., one more minute of walking) to the forest from household increases the likelihood of households being in the ‘low’ participation category in forest management by 0.2%. An institutional arrangement, such as leadership roles and training from CFUGs, positively contributed to the participation of households in forest management and decision making. The marginal effect shows that households receiving training were 15% more likely to be in the ‘high’ participation category in decision making and 17% more likely to be in the ‘high’ participation category in forest management. Similarly, households represented in the executive committee were 9.7% more likely to be in the ‘high’ participation category in forest management. The variable—‘executive committee’—was excluded from participating in the decision-making model due to potential endogeneity issues.
Surprisingly, we found a negative association between the longevity of CF membership and participation in forest management and decision-making. The marginal effect shows that a one-year increase in membership decreased the probability of households being in the ‘high’ participation category in forest management by 0.5%. Details of the marginal effects of independent variables on the likelihood of participating in decision-making activities and forest management practices for ‘high,’ ‘medium,’ or ‘low’ caste households are presented in Table 3 and Table 4, respectively.
4. Discussion
Our study found varying levels of participation in forest management and decision-making activities. The level of participation found in our study is lower than the level of participation reported in other earlier studies conducted in other hilly districts of Nepal [45,51]. Our results indicate that participation in CF activities is affected by multiple factors related to the characteristics of the forest user’s demographics, resource endowments, and institutional variables.
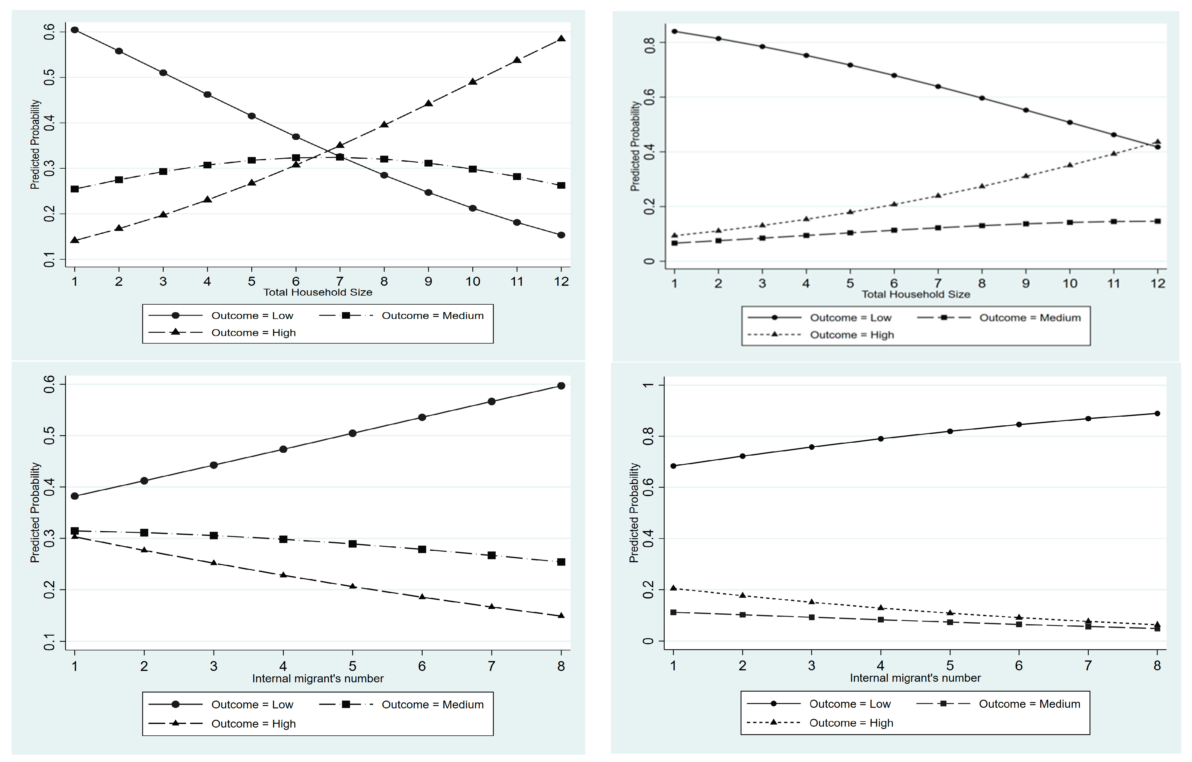
Household and demographic characteristics are key factors determining household participation in CF activities. The number of internal migrants from a household was found to significantly impact the level of household participation in CF-related activities. The predicted probability for participation in decision-making and forest management activities shows that participation probability decreases with an increase in the number of internal migrants (Figure 3). Households with out-migrants have less labor availability, which limits their participation in CF-related activities [18]. In line with our finding, several other studies have found a higher level of participation in forest activities among larger households [44,46,51]. Larger households demand more forest products and also potentially have more labor available to devote to forest activities compared to smaller households [57], thus increasing their level of participation in forest activities [58]. This also highlights that a smaller household, either due to aging or out-migration, is likely to reduce participation in CF activities. Based on the predicted probability for participation in decision-making and forest management activities, we found that the participation probability increases with an increase in household size and decreases with a decrease in household size (Figure 3).
Figure 3.
Predicted probabilities of participation in decision making in relation to household size (top left) and internal migrants’ number (bottom left); participation in forest management in relation to household size (top right), and internal migrants’ number (bottom right), with other explanatory variables at their means.
Current literature suggests that forest activities are gender-segregated [40,53]. However, while controlling for multiple variables, we found no association of gender with participation types. This finding differs from other studies on the impacts of outmigration on women’s roles in CF in Nepal. Several studies have found that women’s participation in CF leadership roles increased due to the out-migration of men [11,33]. Studies also showed that lower-caste members participate relatively less in decision-making [53]. Contrary to other findings [51], we found a higher level of participation of the Dalit users in decision-making, compared with higher caste groups. There could be several reasons for this finding. First, in our sample, Dalit households had a proportionally smaller number of out-migrant household heads compared to other caste groups, so they were available to participate in meetings called by the executive committee. Second, the study sites had surplus amounts of forest products. This likely resulted in less interest in CF participation from the elite and privileged caste groups and alleviated their need for control of resources, thus creating more opportunities for lower caste groups to participate in decision-making. Like a previous study [53], we found higher participation of Janajati caste group households in forest management activities compared to others. One possible explanation could be that the Janajati households use substantial amounts of forest products, incentivizing their participation in forest management activities. Field observations showed that Janajati caste groups were mostly engaged in diversified livelihood activities, such as livestock keeping and alcohol making. We found that the Janajati caste groups used six bhari more fuelwood per month compared to other caste groups. Likewise, this study showed a higher level of participation in CF decision-making among households engaged in agriculture and forestry as their major occupation, indicating their dependency on forests. This is consistent with the findings by [59].
This study found a significant relationship between the livestock unit and the level of participation in decision-making. This was consistent with findings from other research conducted in different geographic locations [51]. Literature suggests that households with a higher number of LSU participate more in CF activities to meet the forage needs for their livestock [45]. Similarly, consistent with Musyoki et al. [60], we found a significant negative relationship between household well-being status and participation in decision making. Poor households have to bear a higher opportunity cost of participation in meetings [61]. For the poor households, time spent in the meeting could be used to gain additional cash income, disincentivizing their participation. Generally, participation in decision-making activities, such as meetings and assemblies, is somewhat voluntary for general members (though mandatory for executive members in some CFUGs). Until and unless individuals have the intention of engaging in the agenda, participating in a meeting will likely remain passive. We found no significant relationship between participation in forest management and household well-being status. However, participation in forest management provides an opportunity for households to collect some forest products, so poor households likely participate in forest management despite the opportunity costs. We found a negative association between remittances and participation, although the relationship was not statistically significant. The households in our study area received an average of Nrs 5755 per year from remittances, a value that did not substantially raise their total household income enough to alter their dependency on forests and participation in CF activities. Discussion with community people shows that most migrant households invest their money in buying assets in an urban center or saving money for future use. Both of our study sites have poor banking services, constraining the regular flow of remittances into the villages and limiting the effects of remittances on CF participation.
Institutional arrangement is another major factor influencing participation in CF activities. Extension services and training are key to the success of CF. Our study showed a positive association between training and extension opportunities and participation in decision-making and forest management activities. Sustained support and extension services are crucial to revitalizing CF governance and conservation outcomes [37]. Training opportunities provided by the NGOs and government authorities to the forest users enhance knowledge of sustainable forest management and motivate forest users to participate in forest activities [59]. Several other studies show that equitable opportunities in leadership positions and extension services by the institutions increase participation [37,40]. Lingani et al. [46] found, as an exception, that technical assistance weakens participation in forest management if such assistance does not directly contribute to livelihood and address the real needs of local people. As the number of development projects decreased in recent years, CFUGs throughout the country are not receiving the training and extension services from which they used to benefit in earlier years. In this context, the participation of local communities in CF activities is likely to decrease in the future. Households given opportunities in executive committees are likely to participate more in CF activities, a finding that is supported by other studies [37,45]. Studies have shown that executive positions are mostly dominated by local elites, limiting the participation of women and other disadvantaged caste groups [18,62]. Out of the 80 households with executive committee members in our sample, Dalit households represented 14%, Janajati represented 26%, and the higher caste group represented 60%. In contrast, the percentage of total households belonging to the Dalit, Janajati, and higher caste groups was 26%, 30%, and 44%, respectively. This indicates that there was a disproportionate representation of higher caste groups in the executive committee, highlighting the need for equitable representation of all caste groups to ensure higher participation.
As expected, we found distance to the forest from the household was negatively related to the level of participation in forest management. An increase in distance from household to community forest decreases the marginal benefit from forest products consumption due to an increase in the length of time needed to collect the forest products [40]. Years of membership in CF were negatively associated with the level of participation in forest management. This might be an indication that the younger generation is less interested in providing continuity to CF practices. Brown [47] highlighted the need to increase the participation of youths in community forestry because of their technological literacy, innovative ideas, and leadership quality.
5. Conclusions
This study investigated how out-migration influences participation in CF activities based on the survey data from the Mid-Hill region of Nepal. The study found that approximately 72% of the households have at least one migrant member, and only 20% and 29% of the households have a high level of participation in forest management and decision making, respectively. The household size and the number of internal migrants, together with multiple resource characteristics and institutional attributes, were major factors affecting users’ participation in CF decision-making and forest management. This study also found that there is no significant relationship between the number of international migrants in the household and the level of participation in forest management and decision making. Additional factors that determined the participation of users in decision-making were caste, training opportunity, occupation, livestock unit, and well-being index. Likewise, in addition to household size and internal out-migrant number, participation in forest management was affected by caste, training opportunity, leadership position, distance to the forest from home, and community forestry membership duration.
The results have several policy implications. Although participation, leadership in CF activities, and forest resource consumption are directly associated with demographic factors, these dynamics are not considered in community forest operation plans. We found that migrant household heads holding leadership positions and their absence in the community impacted the functioning of CFUGs. It is crucial to account for active and passive members (due to out-migration) for the effective and efficient functioning of CFUGs. The roles and responsibilities and resource distribution for active versus passive members should be defined in the community forestry operational plan and constitutions. CFUGs should update the absentee household’s information, while renewing their operational plans and accordingly devising all kinds of forest management activities. Members who are reliant on forest resources should be given roles in forest management. Divisional forest office including local government can play a role in providing resources to support active members in their efforts. Community forestry policy should anticipate significant changes resulting from out-migration and accordingly re-orient forest management strategies. In the upcoming years, community forestry management should consider the integrated dynamics of communities and their forests. Furthermore, future research should expand the scope of this study by focusing on how out-migration and remittance influence the dependence of the local community on different kinds of forest product use and its implication in the sustainability of community forests.
Author Contributions
Conceptualization, R.B., C.S. and R.E.B.; methodology, R.B. and C.S.; formal analysis, R.B.; writing—original draft preparation, R.B. and C.S.; writing—review and editing, R.B., C.S., S.G., Q.Z. and R.B. All authors have read and agreed to the published version of the manuscript.
Funding
This research is partially supported by a National Science Foundation grant (ICER-2108238) and UNC internal grant awarded to Dr. Conghe Song, and the Stephen Birdsall Summer Fellowship awarded to Dr. Rajesh Bista in the Department of Geography at UNC-Chapel Hill.
Institutional Review Board Statement
The survey protocols were reviewed and approved by the University of North Carolina at Chapel Hill’s Institutional Review Board (IRB-18-1091) in May 2018.
Informed Consent Statement
Not applicable.
Data Availability Statement
The datasets used and/or analyzed in this study are available from the corresponding author on reasonable request.
Conflicts of Interest
The authors declare that they have no competing interest.
References
- Robson, J.P.; Klooster, D.J. Migration and a New Landscape of Forest Use and Conservation. Environ. Conserv. 2019, 46, 1–8. [Google Scholar] [CrossRef]
- Hunter, L.M.; Luna, J.K.; Norton, R.M. Environmental Dimensions of Migration. Annu. Rev. Sociol. 2015, 41, 377–397. [Google Scholar] [CrossRef]
- de Sherbinin, A.; Vanwey, L.K.; Mcsweeney, K.; Aggarwal, R.; Barbieri, A.; Henry, S.; Hunter, L.M.; Twine, W.; Walker, R. Rural Household Demographics, Livelihoods and the Environment. Glob. Environ. Chang. 2008, 18, 38–53. [Google Scholar] [CrossRef]
- Hajjar, R.; Oldekop, J.A.; Cronkleton, P.; Etue, E.; Newton, P.; Russel, A.J.M.; Tjajadi, J.S.; Zhou, W.; Agrawal, A. The Data Not Collected on Community Forestry. Conserv. Biol. 2016, 30, 1357–1362. [Google Scholar] [CrossRef]
- Gilmour, D. Forty Years of Community-Based Forestry: A Review of Its Extent and Effectiveness; Food and Agriculture Organization of the United Nations (FAO): Rome, Italy, 2016. [Google Scholar]
- Bhattarai, K.; Conway, D. Contemporary Environmental Problems in Nepal: Geographic Perspectives; Springer: Berlin/Heidelberg, Germany, 2021. [Google Scholar]
- Bossavie, L.; Denisova, A. Youth Labor Migration in Nepal: Jobs Working Paper (Issues No 13); International Bank for Reconstruction and Development/The World Bank: Washington, DC, USA, 2018. [Google Scholar] [CrossRef]
- Nightingale, A.J. Challenging the Romance with Resilience: Communities, Scale and Climate Change. In Practising Feminist Political Ecologies: Moving Beyond the ‘Green Economy’; Zed Books: London, UK, 2015; pp. 182–208. [Google Scholar]
- Angelsen, A.; Aguilar-Støen, M.; Ainembabazi, J.H.; Castellanos, E.; Taylor, M. Migration, Remittances, and Forest Cover Change in Rural Guatemala and Chiapas, Mexico. Land 2020, 9, 88. [Google Scholar] [CrossRef]
- Bhawana, K.C.; Race, D. Outmigration and Land-Use Change: A Case Study from the Middle Hills of Nepal. Land 2020, 9, 2. [Google Scholar] [CrossRef]
- Giri, K.; Darnhofer, I. Outmigrating Men: A Window of Opportunity for Women’s Participation in Community Forestry? Scand. J. For. Res. 2010, 25 (Suppl. S9), 55–61. [Google Scholar] [CrossRef]
- Ojha, H.R.; Shrestha, K.K.; Subedi, Y.R.; Shah, R.; Nuberg, I.; Heyojoo, B.; Cedamon, E.; Rigg, J.; Tamang, S.; Paudel, K.P.; et al. Agricultural Land Underutilisation in the Hills of Nepal: Investigating Socio-Environmental Pathways of Change. J. Rural Stud. 2017, 53, 156–172. [Google Scholar] [CrossRef]
- Bista, R.; Zhang, Q.; Parajuli, R.; Karki, R.; Chhetri, B.B.K.; Song, C. Cropland Abandonment in the Community-Forestry Landscape in the Middle Hills of Nepal. Earth Interact. 2021, 25, 136–150. [Google Scholar] [CrossRef]
- Filho, W.L.; Mandel, M.; Al-Amin, A.Q.; Feher, A.; Jabbour, C.J.C. An Assessment of the Causes and Consequences of Agricultural Land Abandonment in Europe. Int. J. Sustain. Dev. World Ecol. 2017, 24, 554–560. [Google Scholar] [CrossRef]
- Chhetri, R.; Yokying, P.; Smith, A.; Van Den Hoek, J.; Hurni, K.; Saksena, S.; Fox, J. Forest, Agriculture, and Migration: Contemplating the Future of Forestry and Agriculture in the Middle-Hills of Nepal. J. Peasant Stud. 2021, 50, 411–433. [Google Scholar] [CrossRef]
- Jaquet, S.; Shrestha, G.; Kohler, T.; Schwilch, G. The Effects of Migration on Livelihoods, Land Management, and Vulnerability to Natural Disasters in the Harpan Watershed in Western Nepal. Mt. Res. Dev. 2016, 36, 494–505. [Google Scholar] [CrossRef]
- Oldekop, J.A.; Sims, K.R.E.; Whittingham, M.J.; Agrawal, A. An Upside to Globalization: International Outmigration Drives Reforestation in Nepal. Glob. Environ. Chang. 2018, 52, 66–74. [Google Scholar] [CrossRef]
- Fisher, R.; Thwaites, R.; Poudel, M. Community Forestry in Nepal: Adapting to a Changing World; Thwaites, R., Fisher, R., Poudel, M., Eds.; Routledge: Oxfordshire, UK, 2018. [Google Scholar]
- Poudel, M.; Kafle, G.; Khanal, K.; Dhungana, S.; Oli, B.N.; Dhakal, A.; Acharya, U. Linking Land Use and Forestry Transition with Depopulation in Rural Nepal. Banko Janakari 2018, 27, 130–143. [Google Scholar] [CrossRef]
- Dietz, T.; Ostrom, E.; Stern, P.C. The Struggle to Govern the Commons. Science 2003, 302, 1907–1913. [Google Scholar] [CrossRef]
- Basnett, B.S. Gender, Migration and Forest Governance. Rethinking Community Forestry Policies in Nepal. In Gender and Forests: Climate Change, Tenure, Value Chains and Emerging Issues; Colfer, C.P., Basnett, B.S., Elias, M., Eds.; Routledge: Oxfordshire, UK, 2016; pp. 283–299. [Google Scholar] [CrossRef]
- Gilmour, D.; Prabhan, U.; Malla, Y.; Bartlett, T.; Finlayson, R.; Shah, R. Enhancing Livelihoods and Food Security from Agroforestry and Community Forestry Systems in Nepal: Current Status, Trends, and Future Directions; World Agroforestry Centre (ICRAF): Nairobi, Kenya, 2016. [Google Scholar] [CrossRef]
- Poudel, D.P. Geoforum Migration, Forest Management and Traditional Institutions: Acceptance of and Resistance to Community Forestry Models in Nepal. Geoforum 2019, 106, 275–286. [Google Scholar] [CrossRef]
- Agrawal, A.; Chhatre, A.; Hardin, R. Changing Governance of the World’s Forests. Science 2008, 320, 1460–1462. [Google Scholar] [CrossRef]
- Agrawal, A. Sustainable Governance of Common Pool Resources: Context, Methods, and Politics. Annu. Rev. Anthropol. 2003, 32, 243–262. [Google Scholar] [CrossRef]
- Ostrom, E.; Burger, J.; Field, C.B.; Norgaard, R.B.; Policansky, D. Revisiting the Commons: Local Lessons, Global Challenges. Science 1999, 284, 278–283. [Google Scholar] [CrossRef]
- Agrawal, A. Common Property Institutions and Sustainable Governance of Resources. World Dev. 2001, 29, 1649–1672. [Google Scholar] [CrossRef]
- Gurung, A.; Karki, R.; Bista, R.; Gurung, A.; Karki, R.; Bista, R. Community-Based Forest Management in Nepal: Opportunities and Challenges. Resour. Environ. 2011, 1, 26–31. [Google Scholar] [CrossRef]
- Bista, R.; Song, C. Human-Wildlife Conflict in the Community Forestry Landscape: A Case Study from Two Middle Hill Districts of Nepal. Hum. Dimens. Wildl. 2021, 27, 554–570. [Google Scholar] [CrossRef]
- Pandey, H.P.; Pokhrel, N.P. Formation Trend Analysis and Gender Inclusion in Community Forests of Nepal. Trees For. People 2021, 5, 100106. [Google Scholar] [CrossRef]
- Ostrom, E. A General Framework for Analyzing Sustainbility of Social-Ecological Systems. Science 2009, 323, 85–89. [Google Scholar] [CrossRef]
- Ssekajja, G. Commons Management in Migrant Communities. Int. J. Commons 2021, 15, 132–153. [Google Scholar] [CrossRef]
- Lama, A.S.; Kharel, S.; Ghale, T. When the Men Are Away: Migration and Women’s Participation in Nepal’s Community Forestry. Mt. Res. Dev. 2017, 37, 263–270. [Google Scholar] [CrossRef]
- Prateek, G.; Knopf, R.C.; Aggarwal, R.M. Impact of Out-Migration of Men on Women’s Participation in Community-Based Forestry: Insights from Van Panchayats of Uttarakhand, India. Int. For. Rev. 2019, 21, 212–224. [Google Scholar] [CrossRef]
- GoN/MoLE. Labour Migration for Employment.A Status Report for Nepal: 2015/2016–2016/2017. Ministry of Labour and Employment; Government of Nepal: Kathmandu, Nepal, 2018.
- Wang, Y.; Chen, C.; Araral, E. The Effects of Migration on Collective Action in the Commons: Evidence from Rural China. World Dev. 2016, 88, 79–93. [Google Scholar] [CrossRef]
- Adhikari, S.; Kingi, T.; Ganesh, S. Incentives for Community Participation in the Governance and Management of Common Property Resources: The Case of Community Forest Management in Nepal. For. Policy Econ. 2014, 44, 1–9. [Google Scholar] [CrossRef]
- Agarwal, B. Participatory Exclusions, Community Forestry, and Gender: An Analysis for South Asia and a Conceptual Framework. World Dev. 2001, 29, 1623–1648. [Google Scholar] [CrossRef]
- Araral, E. What Explains Collective Action in the Commons? Theory and Evidence from the Philippines. World Dev. 2009, 37, 687–697. [Google Scholar] [CrossRef]
- Mbeche, R.; Ateka, J.; Herrmann, R.; Grote, U. Understanding Forest Users’ Participation in Participatory Forest Management (PFM): Insights from Mt. Elgon Forest Ecosystem, Kenya. For. Policy Econ. 2021, 129, 102507. [Google Scholar] [CrossRef]
- Agrawal, A.; Gibson, C.C. Enchantment and Disenchantment: The Role of Community in Natural Resource Conservation. World Dev. 1999, 27, 629–649. [Google Scholar] [CrossRef]
- Gautam, A.P.; Shivakoti, G.P. Conditions for Successful Local Collective Action in Forestry: Some Evidence from the Hills of Nepal. Soc. Nat. Resour. 2005, 18, 153–171. [Google Scholar] [CrossRef]
- Ostrom, E. Governing the Commons: The Evolution of Institutions for Collective Action; Cambridge University Press: Cambridge, UK, 1990. [Google Scholar] [CrossRef]
- Tadesse, S.; Woldetsadik, M.; Senbeta, F. Forest Users’ Level of Participation in a Participatory Forest Management Program in Southwestern Ethiopia. For. Sci. Technol. 2017, 13, 164–173. [Google Scholar] [CrossRef]
- Chhetri, B.B.K.; Johnsen, F.H.; Konoshima, M.; Yoshimoto, A. Community Forestry in the Hills of Nepal: Determinants of User Participation in Forest Management. For. Policy Econ. 2013, 30, 6–13. [Google Scholar] [CrossRef]
- Coulibaly-Lingani, P.; Savadogo, P.; Tigabu, M.; Oden, P.C. Factors Influencing People’s Participation in the Forest Management Program in Burkina Faso, West Africa. For. Policy Econ. 2011, 13, 292–302. [Google Scholar] [CrossRef]
- Brown, H.C.P. Youth, Migration and Community Forestry in the Global South. For. Trees Livelihoods 2021, 30, 213–225. [Google Scholar] [CrossRef]
- Soe, K.T.; Yeo-Chang, Y.O.U.N. Perceptions of Forest-Dependent Communities toward Participation in Forest Conservation: A Case Study in Bago Yoma, South-Central Myanmar. For. Policy Econ. 2019, 100, 129–141. [Google Scholar] [CrossRef]
- Robson, J.P. The Impact of Rural to Urban Migration on Commons in Oaxaca, Mexico. Ph.D. Thesis, University of Manitoba, Winnipeg, MB, Canada, 2010. [Google Scholar]
- Sinha, H.; Suar, D. Leadership and People’s Participation in Community Forestry. Int. J. Rural Manag. 2005, 1, 125–143. [Google Scholar] [CrossRef]
- Oli, B.N.; Treueb, T. Determinants of Participation in Community Forestry in Nepal. Int. For. Rev. 2015, 17, 311–321. [Google Scholar] [CrossRef]
- Zhang, Q.; Bilsborrow, R.E.; Song, C.; Tao, S.; Huang, Q. Determinants of Out-Migration in Rural China: Effects of Payments for Ecosystem Services. Popul. Environ. 2018, 40, 182–203. [Google Scholar] [CrossRef]
- Subedi, M.R.; Timilsina, Y.P. Evidence of User Participation in Community Forest Management in the Mid-Hills of Nepal: A Case of Rule Making and Implementation. Small-Scale For. 2016, 15, 257–270. [Google Scholar] [CrossRef]
- Arnstein, S.R. A Ladder of Citizen Participation. J. Am. Inst. Plan. 1969, 35, 216–224. [Google Scholar] [CrossRef]
- McCall, M.K.; Minang, P.A. Assessing Participatory GIS for Community-Based Natural Resource Management: Claiming Community Forests in Cameroon. Geogr. J. 2005, 171, 340–356. [Google Scholar] [CrossRef]
- Bista, R. Socio-Environmental Dynamics of Community Forestry in the Middle Hills of Nepal: Understanding Forest Ecosystem Feedbacks, Rural Out-Migration, and Land Use. Doctoral Dissertation, The University of North Carolina at Chapel Hill, Chapel Hill, NC, USA, 2022. [Google Scholar]
- Kandel, P.; Chapagain, P.S.; Sharma, L.N.; Vetaas, O.R. Consumption Patterns of Fuelwood in Rural Households of Dolakha District, Nepal: Reflections from Community Forest User Groups. Small-Scale For. 2016, 15, 481–495. [Google Scholar] [CrossRef]
- Paudyal, R.; Thapa, B.; Neupane, S.S.; Birendra, K.C. Factors Associated with Conservation Participation by Local Communities in Gaurishankar Conservation Area Project, Nepal. Sustainability 2018, 10, 3488. [Google Scholar] [CrossRef]
- Apipoonyanon, C.; Kuwornu, J.K.M.; Szabo, S.; Shrestha, R.P. Factors Influencing Household Participation in Community Forest Management: Evidence from Udon Thani Province, Thailand. J. Sustain. For. 2020, 39, 184–206. [Google Scholar] [CrossRef]
- Musyoki, J.K.; Mugwe, J.; Mutundu, K.; Muchiri, M. Factors Influencing Level of Participation of Community Forest Associations in Management Forests in Kenya. J. Sustain. For. 2016, 35, 205–216. [Google Scholar] [CrossRef]
- Adhikari, B.; Di Falco, S.; Lovett, J.C. Household Characteristics and Forest Dependency: Evidence from Common Property Forest Management in Nepal. Ecol. Econ. 2004, 48, 245–257. [Google Scholar] [CrossRef]
- MoFSC. Persistence and Change: Review of 30 Years of Community Forestry in Nepal; Ministry of Forests and Soil Conservation (MoFSC): Kathmandu, Nepal, 2013. [Google Scholar]
Disclaimer/Publisher’s Note: The statements, opinions and data contained in all publications are solely those of the individual author(s) and contributor(s) and not of MDPI and/or the editor(s). MDPI and/or the editor(s) disclaim responsibility for any injury to people or property resulting from any ideas, methods, instructions or products referred to in the content. |
© 2023 by the authors. Licensee MDPI, Basel, Switzerland. This article is an open access article distributed under the terms and conditions of the Creative Commons Attribution (CC BY) license (https://creativecommons.org/licenses/by/4.0/).


