Abstract
This study deals with the effect of effluent recirculation (ER) on the pollutant removal efficacy of a full-scale, hybrid treatment system composed of a macrophyte pond and a horizontal flow constructed wetland. The average removals of 5-day biochemical oxygen demand (BOD), chemical oxygen demand (COD), total suspended solids (TSS), turbidity, total N (TN), ammonium nitrogen (NH4-N), total phosphorus (TP), sulfates, E. coli and Total coliforms (TC) for the years 2017–2018 (no recirculation), 2019 (50% recirculation) and 2021 (100% recirculation) were compared. Results show a general improvement of the effluent with ER. Removals for 0%, 50% and 100% ER, respectively, were: 59%, 61% and 66% for COD; 90%, 96% and 96% for BOD; 94%, 94% and 99% for TSS; 33%, 40% and 67% for TN; 22%, 30% and 55% for NH4-N; 92%, 98% and 96% for sulfates; 99.6%, 99.7% and 99.9% for E. coli; and 99.5%, 99.7% and 9.9% for TC. No clear effect was observed on the removal of TP and dissolved PO4-P, which were very low. 50% ER improved turbidity removal from 88% to 91%, but 100% ER provided worse results. The removal of NH4-N and TN significantly improved with 100% ER. This indicates that ER can be a simple, economic, and feasible way to upgrade the performance of full-scale natural wastewater treatment systems.
1. Introduction
Pressure on hydraulic resources has been increasing exponentially over the last decades, particularly in arid and semi-arid regions such as southern Europe [1]. The expected future climate change will further aggravate the current situation of water scarcity. Therefore, these regions will likely experience more severe and frequent droughts, making future water management even more difficult [2]. In this scenario, wastewater treatment and reuse (WWTR) are becoming key elements of water management policies. WWTR increases water availability, promotes sustainable water use, reduces pollution and enhances the circular economy. These effects are in line with Objective 6.3 of the Sustainable Development Goals, which proposes to halve the proportion of untreated wastewater and substantially increase water recycling and reuse worldwide [3].
So-called green, natural or low-cost wastewater treatment technologies have ideal characteristics to be included in a decentralized WWTR scheme in small and rural communities. For example, the production of wastewater in these communities differs from that of cities in their higher pollutant load and high variability, and the lack of the economic and technological resources required for conventional treatment systems [4]. Thus, the selected technologies must be efficient and robust enough to maintain high performance even under peaks of pollutant load, and flow and be integrable with the natural surroundings. Such technologies include ponds, trickling filters, bio-discs and bio-cylinders, and constructed wetlands (CWs).
Ponds can be classified as anaerobic, facultative and maturation ponds. The main target pollutants to be removed in each pond are TSS (anaerobic pond), BOD (facultative pond) and pathogens (maturation pond) [5]. Ponds usually achieve good efficacy, but quite often the effluent contains high levels of microalgae that can increase BOD, pH and TSS. Thus, they require further polishing to meet the quality standards for reuse or discharge into natural water bodies. One of the most effective ways to enhance the filtration of microalgae is to upgrade existing ponds with subsurface flow constructed wetland (SSF CWs) [6]. In SSF CWs, water is treated as it goes through a bed of gravel and/or sand. The main constrain of these systems is bed clogging. Hence, a pretreatment with a septic or Imhoff tank or pond is usually implemented [7]. Although HSSF CWs are efficient in the removal of organic matter, namely TSS, COD, BOD and turbidity (70–90%), that of N is usually lower (40–50%), mainly because of the deficient concentration of dissolved oxygen (DO). Hence, the pond–CW combination has been proposed as an efficient and robust wastewater treatment system [8,9].
Different strategies have been applied to enhance DO concentration in CWs. The most studied ones have been tidal flow, artificial aeration and effluent recirculation (ER). ER consists of sending back to the inlet a part of the effluent. That way, DO concentration is expected to be increased [10]. Additionally, ER enhances interactions between pollutants and microorganisms, resulting in improved treatment performance, particularly on the effective removal of TN [11]. Additionally, in the case of toxic influents, such as landfill leachate, ER has a dilution effect that reduces the toxicity to microbial activity and plants and regulates the pollutant composition of the influent [12]. Regarding pharmaceuticals, ER improved the removals of caffeine, paraxanthine and naproxen but those of atenolol and ibuprofen became lower. The authors claimed that stronger ER should be tested [13]. Another aspect to consider is the point to which the effluent is recirculated. Vega de Lille et al. [14] studied the effect of ER in hybrid (horizontal–vertical) SSF CWs. They observed a clear effect of the recirculation strategy (to the horizontal units or to the septic tank), with the latter causing decreased removal of TSS. Nevertheless, N removal was significantly improved. This positive effect on N removal has been described as being based on providing DO to boost nitrification and/or directing the nitrified effluent to a denitrification unit [15,16]. In ER, the recirculation ratio (Rr), that is, the quotient between the recirculated flow rate and the influent flow rate, is a key parameter that usually falls in the range of 50–250%. Nevertheless, Lin et al. [17] tested the effect of Rr as high as 14.3 and 3.0 in HSSF CWs. Although not always successful [18,19], the application of ER has improved the removal of organic matter and N in vertical flow (VF), horizontal flow (HF) and hybrid flow (HyF) CWs [11,15,20]. Nonetheless, most of the studies on the effect of ER have been performed in lab- and pilot-scale CWs, while long-term studies in full-scale pond–CW systems, for so many parameters and particularly in subtropical conditions, are scarce [10,11,21]. In full-scale systems, the Rr must be as low as possible, since pumping high volumes of water increases energy and equipment costs, and too low Rr can have no effect. Therefore, the objective of this research was to investigate if ER could improve the performance of a full-scale, hybrid pond–CW system treating raw wastewater from a university campus. Monitoring was performed during the years 2017 and 2018 (no recirculation), 2019 (50% recirculation) and 2021 (100% recirculation). The starting hypothesis of this study was that ER could improve performance of a full-scale hybrid system designed to treat raw wastewater with minimal clogging risk for the CW and the pond effluent further polished. The obtained results can be useful to upgrade the performance, particularly regarding N removal, of facultative ponds, horizontal flow CW and their combination.
2. Materials and Methods
2.1. Analysis of Water Quality Parameters
All the water quality parameters were analyzed according to standard methods [22] in unfiltered samples. COD was measured using open reflux digestion with dichromate and titration with ferrous standard. BOD was determined using the manometric method (Velp, Italy). TSS were analyzed gravimetrically. TN and TP were measured after alkaline peroxydisulfate digestion at 120 °C for 90 min. After digestion, TN was determined as nitrites after reduction with hydrazine-Cu-Zn solution and using a Zuzi Uv-vis spectrophotometer 4201/50 (Auxilab, Spain). NH4-N was determined with a selective electrode (Metrohm, Switzerland). Sulfate ions (as barium sulfate) and turbidity were analyzed nephelometrically. E. coli (purple colonies) and total coliforms (TC = blue + purple colonies) were quantified by means of the membrane filtration method with a chromogenic E. coli/coliform selective agar (Panreac Química, Barcelona, Spain).
2.2. Wastewater Treatment Description and Sample Collection
The system is located at the Campus of Tafira in the Island of Gran Canaria (Spain). It is situated 270 m above sea level. The average annual temperature is 19.5 °C and the average rainfall is 194 mm, being the rainy season between November and April. The system (Figure 1) was designed to treat the raw effluent of 150 population equivalent (p.e.), i.e., 7.5 m3·d−1 considering 50 L p.e.−1 d−1. Its approximate surface area is 300 m2 (15 × 20 m) and its volume is 321 m3.
Figure 1.
Layout (not to scale) of the studied pond-CW system.
Raw wastewater from the campus flows to a 17 m3 septic tank. A timer-controlled pump was placed about 20 cm above the bottom of the septic tank to minimize the clogging of the pump with wet towels. The pump was programmed to work for 2 min every 2 h to achieve an inflow like that of design (7.5 m3 d−1). Therefore, the influent was pumped 12 times a day, from Monday to Sunday, into a 0.395 m3 tank located above the system and equipped with a draining pipe placed at the bottom. In this way, the influent was allowed to flow down to the system with reduced pressure. This inlet tank was also used as the sampling point for the influent and to assess the daily inflow.
The system is composed of a macrophyte facultative pond and a horizontal flow CW, in series. The pond is 1.8 m deep; the surface area is 157 m2 and the volume is 235 m3, approximately. Water flows from the pond to the CW, which comprises a stone filter, a free water channel, a second stone filter, a second free water channel and a final subsurface flow channel. The stone filters can be considered as short horizontal subsurface flow CWs. The mean depth of the CW is 0.8 m. Basaltic stones (Ø ~ 5–10 cm) were used to construct the filters and the final subsurface flow channel. Specimens of Phragmites, Cyperus, Pontederia, Canna and Typha were planted around the edges. The plants, mainly common reed and Cyperus, have completely invaded all the system and a surface of a few square meters around it. All plants remain except Typha, which has almost disappeared. This could be explained by the fact that in summer the system becomes almost dry because of the high temperature and the lack of water caused by university vacations. Grab samples were taken at 8–10 am from the influent, pond effluent and CW effluent during the second academic semesters, i.e., from February to May, because it is a period of high affluence of people at the Campus and low interference by rain dilution.
ER was achieved with a small, submergible, timer-controlled pump located at the outlet of the system. To avoid the dilution of the influent by the recirculated effluent, both pumps were programmed to work at different hours and for different time periods. The influent pump worked for 2 min every 2 h all day around (24 h a day and 7 days a week) and the recirculation pump, which was much smaller in comparison, worked for longer periods of time depending on the recirculation required. Thus, the influent samples were not diluted. In the year 2019, when the 50% recirculation was studied, the influent was about 5 m3·d−1. The recirculation pump was operated every 3 h, 8 times a day for 15 min starting at 7 h 5′. The resulting daily recirculation flow was 2.4 m3·d−1, approximately. During the year 2021, the period of 100% recirculation, the pump was programmed to work the same way but for 45 min each time. That year, influent and the recirculated effluent were of 6–6.5 m3·d−1. From a practical point of view, ER implied the use of a small pump (with a purchase cost of about 40 euros) and the installation of the recirculation pipe.
Table 1 summarizes the nominal hydraulic retention time (HRT) for each Rr. HRT was calculated as the volume of the system divided by the total influent flowrate (the influent plus the recirculation flow rates), according to Lilios et al. [19].
Table 1.
Rr, influent and recirculated effluent and nominal HRT employed in the study.
2.3. Statistical Analysis
The statistical analysis of the results was performed with the open-source R-Commander program. The first step in the analysis was to identify and remove the outliers. ANOVA test was employed to compare the average removal efficiencies for the different parameters along the three experimental periods (2017–2018: no recirculation; 2019: 50% recirculation and 2021: 100% recirculation). Since this is a parametric test, the conditions of normal distribution (Shapiro–Wilk test) and homoscedasticity, i.e., similarity of variances (Bartlett test), must be met. If either of these conditions was not met, the nonparametric Kruskal–Wallis test was applied. In all cases a 95% confidence level was adopted, i.e., the means of the different group of data were considered to be different if p-values < 0.05.
3. Results and Discussion
3.1. Characteristics of the Influent
The influent was raw wastewater from a part of the Campus of Tafira at the University of Las Palmas de Gran Canaria (Spain). The influent is a particular type of urban wastewater although it shows a high inflow variability due to the low affluence of people during weekends and special periods such as holidays. Figure 2 shows the influent average concentrations for the three experimental periods.
Figure 2.
Average concentrations in the influent for the three experimental periods, for: (a) COD, BOD, TSS, turbidity; (b) TN, NH4-N, TP, PO4-P, sulfates, (c) E. coli and TC.
The influent can be characterized according to Metcalf and Eddy [23]. The average COD was 438 mg O2·L−1 in years 2017/2018, 480 mg O2·L−1 in 2019 and 476 mg O2·L−1 in 2021. These concentrations can be classified as weak (250 mg·L−1) and typical (500 mg·L−1). BOD mean concentrations were 278 mg O2·L−1 in 2017/2018, 333 mg O2·L−1 in 2019 and 232 mg O2·L−1 in 2021. BOD values fall in the range between typical (220 mg·L−1) and strong (400 mg·L−1) concentrations. The average concentration of TSS varied considerably along the studied years, being 238 mg·L−1 in 2017/2018, 59 mg·L−1 in 2019 and 106 mg·L−1 in 2021. These values can be considered as weak (100 mg·L−1) and typical (220 mg·L−1). The results obtained from the analysis of nutrients are different. In this sense, the average concentrations of TN were 58 mg·L−1, 54 mg·L−1 and 25 mg·L−1 in 2017/2018, 2019 and 2021, respectively. Hence, between typical (40 mg·L−1) and strong (85 mg·L−1) TN concentrations were found. Lastly, the mean concentrations of TP, which were 16 mg·L−1 in 2017/2018, 21 mg·L−1 in 2019 and 17 mg·L−1 in 2021, were strong (over 15 mg·L−1). As a conclusion, the influent can be considered as typical regarding organic matter and TSS and nearly strong regarding nutrients.
In addition to this, lower concentrations of some parameters were found in the influent in year 2021, that is, during the 100% ER period. This was not observed for COD, TP and fecal indicators. The reduction in the concentrations of the other parameters, in particular TN and NH4-N, might be due to the lower affluence of people at the Campus during year 2021, because of the pandemic. However, as indicated above, there was no significant difference in the mean concentrations of total organic matter, expressed as COD (p-value > 0.05).
3.2. Removals
3.2.1. Removal of Organic Matter
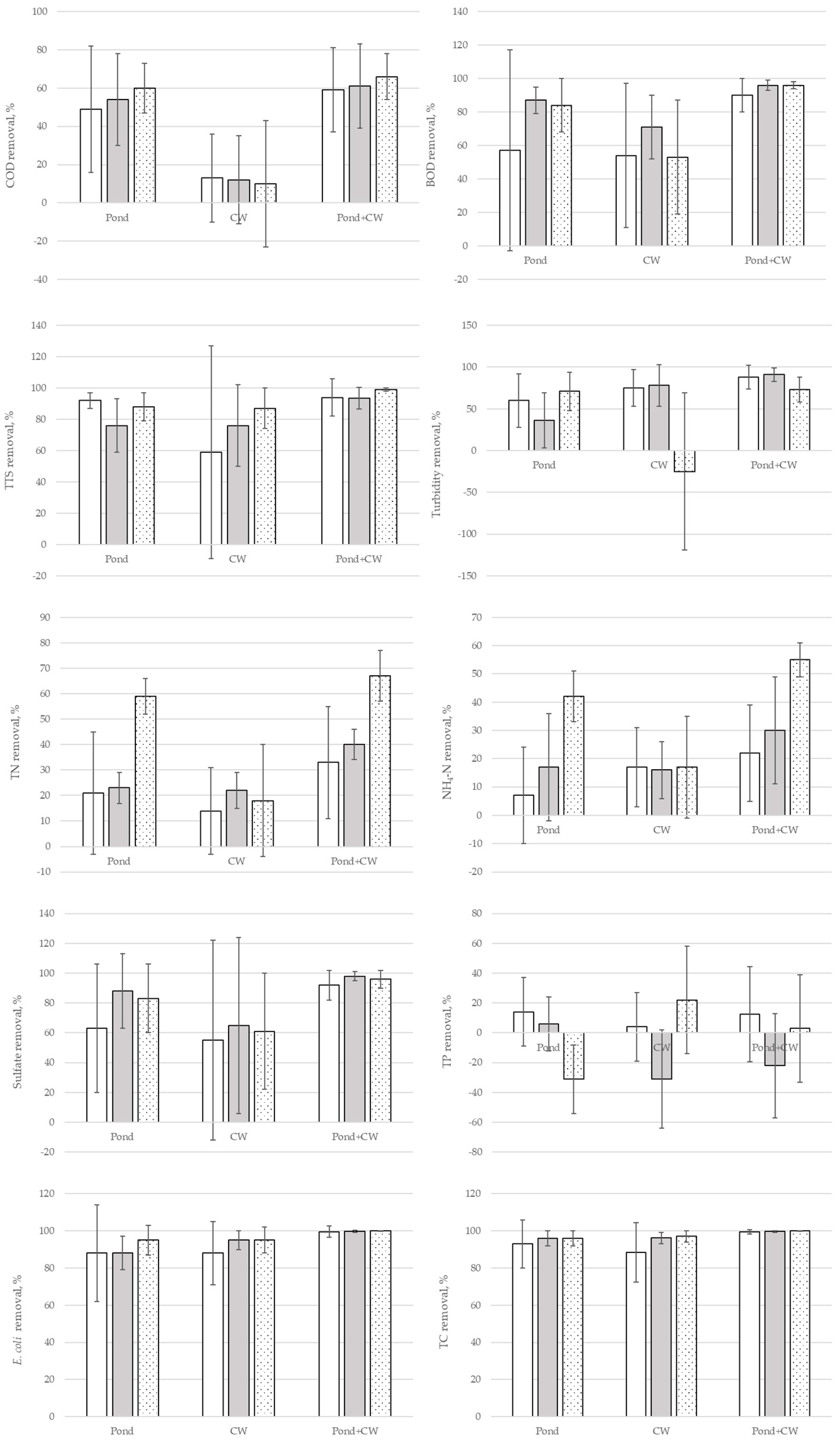
Figure 3 shows the average removals achieved in each part of the system (pond, CW and the complete system) in each experimental period. Figures with concentrations and removals before statistical treatment are provided as Supplementary Materials. The contributions of the pond and the CW are not comparable because they are arranged in series and do not receive the same influent. However, in the case of COD, the average removal in the pond were always higher than in the CW. Specifically, COD removal in the pond ranged between 49% (0% Rr) and 60% (100% Rr). The average COD removal in the CW was notably lower, ranging between 13% (0% Rr) and 10% (100% Rr). The COD removal for the complete system (pond + CW) increased progressively from 59% with 0% Rr, to 61% with 50% Rr, and to 66% with 100% Rr. However, there is no significant difference between the average values, perhaps due to the wide range of the results as can be seen by the size of the error bars.
Figure 3.
Average removals of COD, BOD, TSS, turbidity, TN, NH4-N, sulfate, TP, E. coli and TC in the pond, CW and complete system (pond + CW) with ER = 0% (white column), ER = 50% (grey column) and ER = 100% (spotted column).
In the case of BOD, global removal increased from 90% without recirculation to 96% with 50 and 100% Rr. A similar result was obtained for TSS, with a removal increase from 94% (0% and 50% Rr) to 99% (100% Rr). Although these increments were not statistically significant, in all cases, when ER was applied or Rr increased, a lower standard deviation of the removal results, and therefore, greater predictability, was observed. Nonetheless, Liolios et al. [19] modelized the effect of recirculation on BOD removal in horizontal subsurface flow constructed wetlands (HSSF CWs) with the Visual MODFLOW family code. The authors concluded that the dilution effect of recirculation would counteract the lower HRT resulting in no performance improvement for this type of CW. As expected, in this work the HRT is reduced with a higher level of recirculation (Table 1). However, despite this, the improvement achieved in the removal of the different analyzed parameters indicate that this factor was not decisive. This could be due to an improved hydrodynamics of the system, which implies the reduction of areas of low hydraulic renewal, in addition to a more intense interaction of the pollutants with the system.
Unlike the previous variables, turbidity increased from 88% (0% Rr), to 91% (50% Rr). However, the 100% Rr reduced turbidity removal. In this sense, it can be seen in Figure 3 that the CW effluent exhibited higher turbidity than that of the influent. Thus, the effluent mean turbidity was 14 NTU (Nefelometric Turbidity Units) for 0% Rr, 10 NTU for 50% Rr, and 25 NTU for 100% Rr. This result may be related to the resuspension of colloidal material caused by the recirculation pump working longer periods. This result is important since it can limit effluent reuse. Turbidity is one of the four main variables included in the Spanish national regulations for the reuse of recovered wastewater [24]. This Royal Decree sets a maximum value of 10 NTU for irrigation of crops with direct contact of the water with the edible parts of the fruit for fresh human consumption (quality 2.12). Additionally, a greater reduction in turbidity and TSS usually leads to a lower bacterial load in the effluent, and therefore less risk of disease transmission when the treated water is used in irrigation [25]. Different strategies could be implemented to reduce this pernicious effect. For example: (i) considering that turbidity increment was not observed with the Rr of 50%, a Rr between 50% and 100% could be tested. (ii) The turbidity increment was caused by the resuspension of decanted material or biofilm in the subsurface flow channel. To avoid this effect an “internal recirculation” can be implemented. This means that recirculation is performed from a previous point of the system, for example, from the pond effluent or from the last surface flow channel. In both cases, the effluent pumping should be used to boost water turbulence as a passive way to increase DO concentration.
Except for the turbidity removal decrease observed with 100% Rr, our results generally agree with those obtained by other authors with HyF, HF and VF CWs. For example, Sun et al. [26] studied the effect of ER in VFs and obtained removal improvements of BOD from 72% to 97%, and of COD from 51% to 77%, but applying much higher Rr than those of the present study. Ilyas and Masih [10] reviewed the performances of HF, VF and hybrid CWs with ER and observed TSS removals of 76–95% for VF and of 92–99% for hybrid CWs. COD removals were 85–88% for HF, 67–90% for VF, and 58–97% for hybrid CWs, respectively. In a review by Wu et al. [11], COD removals between 43% and 92% were obtained in VF CWs and HF CWs that treated different types of wastewaters with Rr between 25% and 250%.
3.2.2. Removal of Nitrogen
In ponds and CWs, different processes can be responsible for the removal of nitrogen, including nitrification, denitrification, partial denitrification, ANAMMOX (ANaerobic AMMonium OXidation), ammonium ion adsorption, ammonia volatilization or micro-organism and vegetation assimilation [27]. Several studies have shown that ER significantly increases nitrogen removal in CWs, while reducing investment costs and surface demand as well [28]. Figure 3 shows the average removals of TN and NH4-N.
As can be seen, the removal of NH4-N in the period without recirculation was very low and variable, 23 (± 17)%. These data are indicative of the low DO content of the system, since it was completely covered by macrophytes, whose shading effect minimizes the photosynthetic activity of microalgae [29]. When 50% Rr was applied, NH4-N removal increased to 30 (± 19)%, but this increase was not significant (p-value> 0.05). Nevertheless, with 100% Rr, NH4-N removal was more stable and significantly increased (p-value: 1.9 × 10−6, Anova) to 55 (± 6)%. Wu et al. [11] found that NH4-N removals in CWs with ER varied between 38% in a HF treating synthetic wastewater and 92% in a VF treating piggery wastewater. In the review by Ilyas and Masih [10], NH4-N removal fell in the range of 38–79% for HFs and between 50 and 99% for hybrid CWs. In the present study, the improved NH4-N removal led to a greater removal of TN, that changed from 33 (± 22)%, in 2018 without recirculation, to 40 (± 6)% with 50% Rr, although not significantly. However, when the 100% Rr was applied, TN removal reached 67 (± 9.5)%, being significantly higher than for the previous periods (p-value: 0.0005, ANOVA). Regarding TN removal, Ilyas and Masih [10] found values between 44% for VFs and 50–90% for hybrid CWs. The results of the present study are also in line with those of Ayaz et al. [15] who achieved an improved TN removal of 79% with hybrid CWs (HF–VF) with 100% Rr. In another study, Ayaz et al. [30] studied the effect of ER (with 100% and 200% Rr) in a hybrid system (HF–VF) to treat the effluent of 30 persons. The highest TN removal achieved by such CWs was 66%.
In addition, as can be seen in Figure 3, the greatest increase in the removal of both variables occurred in the pond, with the contribution of the CW being even slightly lower than that with the lowest Rr.
Among the nitrogen removal mechanisms, ammonia volatilization can be relevant at pH above 8.0, but in the present case, pH was always below that value (average pH: 7.4 ± 0.2). Nitrification–denitrification is usually considered as the main process for nitrogen removal in CWs [27], but in HSSF CW, nitrification is a limiting step because of the low DO. In previous studies in this system, it was observed that DO concentrations were low because plants were not regularly harvested, and the progressive increase in the helophyte cover of the pond and surface flow channels along the years provoked a shading effect on microalgae. This plant invasion led to low or nil concentrations of DO and low nitrification rates [31].
The obtained results suggest that recirculation could have increased the availability of DO for nitrification. However, no appreciable concentrations of nitrites or nitrates were detected in the samples, so it can be assumed that they were rapidly eliminated via denitrification. Additionally, in anoxic/anaerobic systems, ANAMMOX reaction has been proposed as a potential pathway for nitrogen removal. In consists of the partial ammonium nitrification to form nitrite ions that would react with ammonium to form dinitrogen gas [32]:
NH4+ + 1.5O2 → NO2− + 2H+ + H2O
NH4+ + NO2− → N2 + 2H2O
ANNAMOX requires much less DO than standard nitrification/denitrification [26] and could have played a nonnegligible role in the present case. For example, Rampuria et al. studied nitrogen removal in deep, anoxic HSSF CWs and found that ANNAMOX played a key role in addition to partial nitrification and denitrification [33].
These results show the importance of the recirculating flow to boost NH4-N removal, through processes such as nitrification and ANNAMOX. Since both processes require some DO, using the recirculation pump to increase turbulence is a strategy to investigate anoxic/anaerobic systems.
3.2.3. Removal of TP
TP removal was practically null, since the mean values were 12% (0% ER), −22% (50% ER) and 3% (100% ER) with high values of standard deviation, as can be seen in Figure 3. In CWs, the main P removal mechanisms are adsorption to the sediment and biotic removal by plants and bacteria [27]. However, the sediment seems to be saturated with phosphorus, most probably because it was built in a crop field. In addition to this, no plant harvest has been properly accomplished (once or twice a year). Additionally, when plants dye and fall to the pond and surface flow channels, P is released back to water. Although 100% recirculation was enough to enhance N removal, it is obvious that it was not suitable for the removal of phosphorus. Thus, the addition of P-sorbents to the sediments, regular plant harvest and higher DO would lead to better P removal.
3.2.4. Sulfate
Sulfate is a common pollutant found in different wastewaters such as pharmaceutical, food processing and industrial. When discharged into aquatic environments, sulfate can alter the color and odor of water and poison aquatic organisms. Therefore, sulfate removal from wastewater is of great importance [34]. In CWs, sulfur mainly exists in the forms of sulfate (SO42−), sulfide (S2−), bisulfide (HS−), hydrogen sulfide (H2S) and metal sulfides. Sulfate removal occurs mainly through the dissimilatory sulfate reduction, by which it is reduced to sulfide [35]. Different results for sulfate removal in CWs can be found in the literature. For example, Sethulekshmi and Chakraborty [36] observed 34% sulfate removal in a HF CW when treating textile wastewater. Wang et al. [34] reported 44–60% removal in a CW used to treat saline wastewater. Chand et al. [37] achieved 78% sulfate removal in a tidal flow CW planted with Typha and with biochar in the substrate.
In the present study, the average concentrations of sulfate in the influent for the periods working at 0% Rr, 50% Rr and 100% Rr were 44, 50 and 13 mg·L−1, respectively. The concentrations in the effluent were 3.4 mg·L−1 (0% Rr), 0.5 mg·L−1 (50% Rr) and 0.6 mg·L−1 (100% Rr). The average removals were always very high in this system, ranging from 92% with 0% Rr to 98% (50% Rr) and 96% (100% Rr), although the improvement in sulfate removal with increasing Rr was not statistically significant (p > 0.05). The conditions of low redox potential and carbon release from the plant cover of the pond and surface flow channels can explain the observed high sulfate removals.
3.2.5. E. coli and TC
The removal of pathogen indicators in natural systems results from the combination of physical factors such as filtration, sedimentation or UV radiation, chemical factors such as oxidation, and biological factors, which include predation or the production of bactericidal compounds and antimicrobial activity of root exudates [38]. Different variables determine the disinfection efficiency of CWs. Some of the most important are the size of the substrate, the presence and type of plants, the redox potential of the medium [39] but one of the most important is the HRT [40,41].
In this study, the concentration of E. coli in the influent was 106 CFU/100 mL, and the mean global removal increased (not significantly) from 99.0% (0% Rr) to 99.7% (50% Rr) and 99.9% (100% Er). Thus, the concentrations of E. coli in the effluent were 2 × 103 CFU/100 mL, 3.1 × 103 CFU/100 mL and 9 × 102 CFU/100 mL, for 0%, 50% and 100% Rr, respectively. The concentration of E. coli determines the possible reuses of water. In Spain, the legislation for water reuse sets the limit of this parameter at 102 CFU/100 mL for water quality 2.1 (indicated above) and at 103 CFU/100 mL for water quality 2.2. This case admits irrigation of crops with direct contact of the water with the edible parts of the products for human consumption, only if the products are submitted to industrial processing before being consumed (i.e., the products are not consumed fresh). Therefore, despite the improvements introduced by ER, it was not sufficient to achieve quality 2.12, but quality 2.2.
The increase in disinfection efficiency with ER might be due to two factors: (i) the increase in contact time between bacteria and the CW, which definitely has an effect on disinfection, and (ii) the possible increase in the concentration of DO in the system, in consonance with the greater NH4-N removal produced by recirculation, for 100% Rr in particular. Little information is available in the literature about the effect of ER on disinfection in ponds or HF CWs. Regarding VF CWs, Nivala et al. [42] found limited E. coli removal (2.1 log units) in a recirculating VF CW in Jordan and claimed that limited filtration capacity for pathogenic organisms was expected for recirculating VF CWs because of the short retention and the coarser grain size of the material. Their results were in line with those from other studied VF CWs.
Although the obtained results are interesting, future research lines could include: (i) studying the effects of lower Rr (25%) and for longer periods of time, (ii) the real contribution of ANNAMOX vs. nitrification/denitrification in nitrogen removal, (iii) using the recirculating pump to increase the DO concentration by turbulence in HSSF CWs, (iv) the effect of the combination of plant harvest and ER, and (v) filling the surface flow channels with substrate to increase the CW performance. Alternative substrates to gravel and sand, such as construction debris or shredded recycled plastic, should be used to improve the system sustainability [43].
4. Conclusions
In this work, a 4-year study was devoted to determining the effect of ER on the performance of a full-scale pond–CW hybrid system treating raw urban wastewater. The effect of ER (Rr: 0%, 50%, 100%) on each part of the system (pond, CW and their combination) was analyzed. The obtained results indicate:
Improvement of all the studied parameters, except for turbidity.
The low TN and NH4-N removals with 0% Rr were significantly increased with 100% Rr.
ER could boost processes such as nitrification and ANNAMOX by providing DO.
ER is an economic intensification method for natural wastewater treatment that can be easily implemented, with minimal work and operation interruptions.
Supplementary Materials
The following supporting information can be downloaded at: https://www.mdpi.com/article/10.3390/su15054310/s1, Figure S1: Raw data of concentrations (mg·L−1) and turbidity values (NTU) in the influent (blue color), pond effluent (orange color) and effluent of the complete system (pond + CW effluent, grey color); Figure S2: Raw data of removals (%) in the pond (blue color), CW (orange color) and the complete system (pond + CW effluent, grey color).
Author Contributions
Conceptualization, J.A.H.-M.; methodology, R.G.-A.; software, R.G.-A.; validation, all authors; formal analysis, J.A.H.-M.; investigation, J.C.T.-L. and I.A.-B.; resources, R.G.-A.; data curation, J.A.H.-M.; writing—original draft preparation, J.A.H.-M.; writing—review and editing, D.E.S.; visualization, E.R.; supervision, J.A.H.-M.; project administration, J.A.H.-M.; funding acquisition, J.A.H.-M. All authors have read and agreed to the published version of the manuscript.
Funding
This research was funded by Fundación CajaCanarias and Fundación Bancaria “La Caixa”, grant number 2017RECO05.
Institutional Review Board Statement
Not applicable.
Informed Consent Statement
Not applicable.
Data Availability Statement
The data presented in this study are available in the article and Supplementary Materials.
Acknowledgments
We acknowledge Héctor Guerra Yánez for the assistance in the lab.
Conflicts of Interest
The authors declare no conflict of interest.
References
- Kahil, M.H.; Dinar, A.; Albiac, A.J. Modelling water scarcity and droughts for policy adaptation to climate change in arid and semiarid regions. J. Hydrol. 2015, 522, 95–109. [Google Scholar] [CrossRef]
- Intergovernmental Panel on Climate Change (IPCC). Climate Change 2007: Synthesis Report, Contribution of Working Groups I, II and III to the Fourth Assessment Report of the IPCC; IPCC: Geneva, Switzerland, 2007.
- Ruiz-Sosa, I.; García-Rodríguez, F.J.; Antonova, N. Developing a methodology to recover the cost of wastewater reuse: A proposal based on the polluter pays principle. Util. Policy 2020, 65, 101067. [Google Scholar] [CrossRef]
- Vera-Pena, L.; Martel-Rodriguez, G.; Armas-Estevez, A.; Toscon, A. DEPURANAT Gestion sostenible del agua residual en los entornos rurales. Rincones Atlántico 2005, 3, 206–209. [Google Scholar]
- Adhikari, K.; Fedler, C.B. Water sustainability using pond-in-pond wastewater treatment system: Case studies. J. Water Process Eng. 2020, 36, 101281. [Google Scholar] [CrossRef]
- Katsenovich, Y.; Shapovalov, L.; But, L.; Ijitskaja, M. Evaluation of biological pond system modified with submerged planted dams. Ecol. Eng. 2008, 23, 1–7. [Google Scholar] [CrossRef]
- Wang, H.; Sheng, L.; Xu, J. Clogging mechanisms of constructed wetlands: A critical review. J. Clean. Prod. 2021, 295, 126455. [Google Scholar] [CrossRef]
- Herrera Melián, J.A.; González-Díaz, Ó.; Araña Mesa, F.J.; Martel, G.; Doña-Rodríguez, J.M.; Pérez-Peña, J. Constructed wetland for improving the performance of a facultative pond treating high strength Urban wastewater. In Wetlands: Ecology, Management and Conservation; Nova Science Publishers, Inc.: New York, NY, USA, 2012; pp. 203–218. [Google Scholar]
- Omidinia-Anarkoli, T.; Shayannejad, M. Improving the quality of stabilization pond effluents using hybrid constructed wetlands. Sci. Total Environ. 2021, 801, 149615. [Google Scholar] [CrossRef]
- Ilyas, H.; Masih, I. The performance of the intensified constructed wetlands for organic matter and nitrogen removal: A review. J. Environ. Manag. 2017, 198, 372–383. [Google Scholar] [CrossRef]
- Wu, S.; Kuschk, P.; Brix, H.; Vymazal, J.; Dong, R. Development of constructed wetlands in performance intensifications for wastewater treatment: A nitrogen and organic matter targeted review. Water Res. 2014, 57, 40–55. [Google Scholar] [CrossRef]
- Yang, C.; Fu, T.; Wang, H.; Chen, R.; Wang, B.; He, T.; Pi, Y.; Zhou, J.; Liang, T.; Chen, M. Removal of organic pollutants by effluent recirculation constructed wetlands system treating landfill leachate. Environ. Technol. Innov. 2021, 24, 101843. [Google Scholar] [CrossRef]
- Guedes-Alonso, R.; Herrera-Melián, J.A.; Sánchez-Suárez, F.; Díaz-Mendoza, V.; Sosa-Ferrera, Z.; Santana-Rodríguez, J.J. Removal of Pharmaceuticals in a Macrophyte Pond-Constructed Wetland System and the Effect of a Low Effluent Recirculation. Water 2022, 14, 2340. [Google Scholar] [CrossRef]
- Vega De Lille, M.I.; Hernandez Cardona, M.A.; Tzakum Xicum, Y.A.; Giacoman-Vallejos, G.; Quintal-Franco, C.A. Hybrid constructed wetlands system for domestic wastewater treatment under tropical climate: Effect of recirculation strategies on nitrogen removal. Ecol. Eng. 2021, 166, 106243. [Google Scholar] [CrossRef]
- Ayaz, S.C.; Aktas, O.; Findik, N.; Akca, L.; Kinaci, C. Effect of recirculation on nitrogen removal in a hybrid constructed wetland system. Ecol. Eng. 2012, 40, 1–5. [Google Scholar] [CrossRef]
- Sharma, P.K.; Minakshi, D.; Rani, A.; Malaviya, P. Treatment efficiency of vertical flow constructed wetland systems operated under different recirculation rates. Ecol. Eng. 2018, 120, 474–480. [Google Scholar] [CrossRef]
- Lin, C.J.; Chyan, J.M.; Zhuang, W.X.; Vega, F.A.; Mendoza, R.M.O.; Senoro, D.B.; Shiu, R.F.; Liao, C.H.; Huang, D.J. Application of an innovative front aeration and internal recirculation strategy to improve the removal of pollutants in subsurface flow constructed wetlands. J. Environ. Manag. 2020, 256, 109873. [Google Scholar] [CrossRef]
- Stefanakis, A.I.; Tsihrintzis, V.A. Effect of outlet water level raising and effluent recirculation on removal efficiency of pilot-scale, horizontal subsurface flow constructed wetlands. Desalination 2009, 248, 961–976. [Google Scholar] [CrossRef]
- Liolios, K.A.; Moutsopoulos, K.N.; Tsihrintzis, V.A. Modelling Alternative Feeding Techniques in HSF Constructed Wetlands Konstantinos. Environ. Process. 2016, 3 (Suppl. 1), S47–S63. [Google Scholar] [CrossRef]
- Prost-Boucle, S.; Molle, P. Recirculation on a single stage of vertical flow constructed wetland: Treatment limits and operation modes. Ecol. Eng. 2012, 43, 81–84. [Google Scholar] [CrossRef]
- Al-Wahaibi, B.M.; Jafary, T.; Al-Mamun, A.; Baawain, M.S.; Aghbashlo, M.; Tabatabaei, A.I.; Stefanakis, A.I. Operational modifications of a full-scale experimental vertical flow constructed wetland with effluent recirculation to optimize total nitrogen removal. J. Clean. Prod. 2021, 296, 126558. [Google Scholar] [CrossRef]
- APHA. Standard Methods for the Examination of Water and Waste Water, 21st ed.; American Public Health Association: Washington, DC, USA, 2005. [Google Scholar]
- Metcalf, E.; Eddy, E. Wastewater Engineering: Treatment and Reuse. McGraw Hill Inc.: New York, NY, USA, 2003. [Google Scholar]
- RD 1620. Royal Decree 1620/2007, that Regulates the Re-Use of Recovered Wastewaters, BOE 294 46932–46946 (2005). Available online: http://www.boe.es/aeboe/consultas/bases_datos/doc.php?id=BOE-A-2008-1894722 (accessed on 1 January 2023).
- Foschi, F.; Turolla, A.; Antonell, M. Soft sensor predictor of E. coli concentration based on conventional monitoring parameters for wastewater disinfection control. Water Res. 2021, 191, 116806. [Google Scholar] [CrossRef]
- Sun, G.; Gray, K.R.; Biddlestone, A.J.; Allen, S.J.; Cooper, D.J. Effect of effluent recirculation on the performance of a reed bed system treating agricultural wastewater. Process Biochem. 2003, 39, 351–357. [Google Scholar] [CrossRef]
- Vymazal, J. Removal of nutrients in various types of constructed wetlands. Sci. Total Environ. 2007, 380, 48–65. [Google Scholar] [CrossRef] [PubMed]
- Ávila, C.; Pelissari, C.; Sezerino, P.H.; Sgroi, M.; Roccaro, P.; García, J. Enhancement of total nitrogen removal through effluent recirculation and fate of PPCPs in a hybrid constructed wetland system treating urban wastewater. Sci. Total Environ. 2017, 584–585, 414–425. [Google Scholar] [CrossRef] [PubMed]
- Pescod, M.B.; Mara, D.D. Design, operation and maintenance of wastewater stabilization ponds. In Treatment and Use of Sewage Effluent for Irrigation; Pescod, M.B., Arar, A., Eds.; Butterworths: London, UK, 1988; pp. 93–115. [Google Scholar]
- Ayaz, S.C.; Aktas, O.; Akça, L.; Fındık, N. Effluent quality and reuse potential of domestic wastewater treated in a pilot-scale hybrid constructed wetland system. J. Environ. Manag. 2015, 156, 115–120. [Google Scholar] [CrossRef] [PubMed]
- Herrera Melián, J.A.; Araña, J.; González Díaz, O.; Aguiar Bujalance, M.E.; Doña Rodríguez, J.M. Effect of stone filters in a pond–wetland system treating raw wastewater from a university campus. Desalination 2009, 237, 277–284. [Google Scholar] [CrossRef]
- Mulder, A.; Van de Graaf, A.A.; Robertson, L.A.; Kuenen, J.G. Anaerobic ammonium oxidation discovered in a denitrifying fluidized bed reactor. FEMS Microbiol. Ecol. 1995, 16, 177–184. [Google Scholar] [CrossRef]
- Rampuria, A.; Gupta, A.B.; Brighu, U. Nitrogen transformation processes and mass balance in deep constructed wetlands treating sewage, exploring the anammox contribution. Bioresur. Technol. 2020, 314, 123737. [Google Scholar] [CrossRef]
- Wang, Q.; Zhou, G.; Qin, Y.; Wang, R.; Li, H.; Xu, F.; Du, Y.; Zhao, C.; Zhang, H.; Kong, Q. Sulfate removal performance and co-occurrence patterns of microbial community in constructed wetlands treating saline wastewater. J. Water Process Eng. 2021, 43, 102266. [Google Scholar] [CrossRef]
- Wu, S.; Kuschk, P.; Wiessner, A.; Müller, J.; Saad, R.; Dong, R. Sulphur transformations in constructed wetlands for wastewater treatment: A review. Ecol. Eng. 2013, 52, 278–289. [Google Scholar] [CrossRef]
- Sethulekshmi, S.; Chakraborty, S. Textile wastewater treatment using horizontal flow constructed wetland and effect of length of flow in operation efficiency. J. Environ. Chem. Eng. 2021, 9, 106379. [Google Scholar] [CrossRef]
- Chand, N.S.; Suthar, K.; Kumar, K. Wastewater nutrients and coliforms removals in tidal flow constructed wetland: Effect of the plant (Typha) stand and biochar addition. J. Water Process Eng. 2021, 43, 102292. [Google Scholar] [CrossRef]
- Morató, J.; Codony, F.; Sánchez, O.; Martín Pérez, L.; García, G.; Mas, J. Key design factors affecting microbial community composition and pathogenic organism removal in horizontal subsurface flow constructed wetlands. Sci. Total Environ. 2014, 481, 81–89. [Google Scholar] [CrossRef]
- Adrados, B.; Arias, C.A.; Pérez, L.M.; Codony, F.; Bécares, E.; Brix, H.; Morató, J. Comparison of removal efficiency of pathogenic microbes in four types of wastewater treatment systems in Denmark. Ecol. Eng. 2018, 124, 1–6. [Google Scholar] [CrossRef]
- Torrens, A.; Molle, P.; Boutin, C.; Salgot, M. Removal of bacterial and viral indicators in vertical flow constructed wetlands and intermittent sand filters. Desalination 2009, 246, 169–178. [Google Scholar] [CrossRef]
- Herrera-Melián, J.A.; Mendoza-Aguiar, M.; Guedes-Alonso, R.; García-Jiménez, P.; Carrasco-Acosta, P.; Ranieri, E. Multistage horizontal subsurface flow vs. hybrid constructed wetlands for the treatment of raw urban wastewater. Sustainability 2020, 12, 5102. [Google Scholar] [CrossRef]
- Nivala, J.; Abdallat, G.; Aubrona, T.; Al-Zreiqat, I.; Abbassi, B.; Wu, G.M.; Afferden, M.; Müller, R.A. Vertical flow constructed wetlands for decentralized wastewater treatment in Jordan: Optimization of total nitrogen removal. Sci. Total Environ. 2019, 671, 495–504. [Google Scholar] [CrossRef]
- Chmielowski, K.; Halecki, W.; Masłoń, A.; Bąk, Ł.; Kalenik, M.; Spychała, M.; Niedziółka, A.; Łaciak, M.; Roman, M.; Mazurkiewicz, J. Use of Shredded Recycled Plastic as Filter Bed Packing in a Vertical Flow Filter for Onsite Wastewater Treatment Plants: Preliminary Findings. Sustainability 2023, 15, 1883. [Google Scholar] [CrossRef]
Disclaimer/Publisher’s Note: The statements, opinions and data contained in all publications are solely those of the individual author(s) and contributor(s) and not of MDPI and/or the editor(s). MDPI and/or the editor(s) disclaim responsibility for any injury to people or property resulting from any ideas, methods, instructions or products referred to in the content. |
© 2023 by the authors. Licensee MDPI, Basel, Switzerland. This article is an open access article distributed under the terms and conditions of the Creative Commons Attribution (CC BY) license (https://creativecommons.org/licenses/by/4.0/).


