Finite Element Analysis of Continuously Reinforced Bonded Concrete Overlay Pavements Using the Concrete Damaged Plasticity Model
Abstract
1. Introduction
2. Determination of the Parameters of the Concrete Damaged Plasticity Model
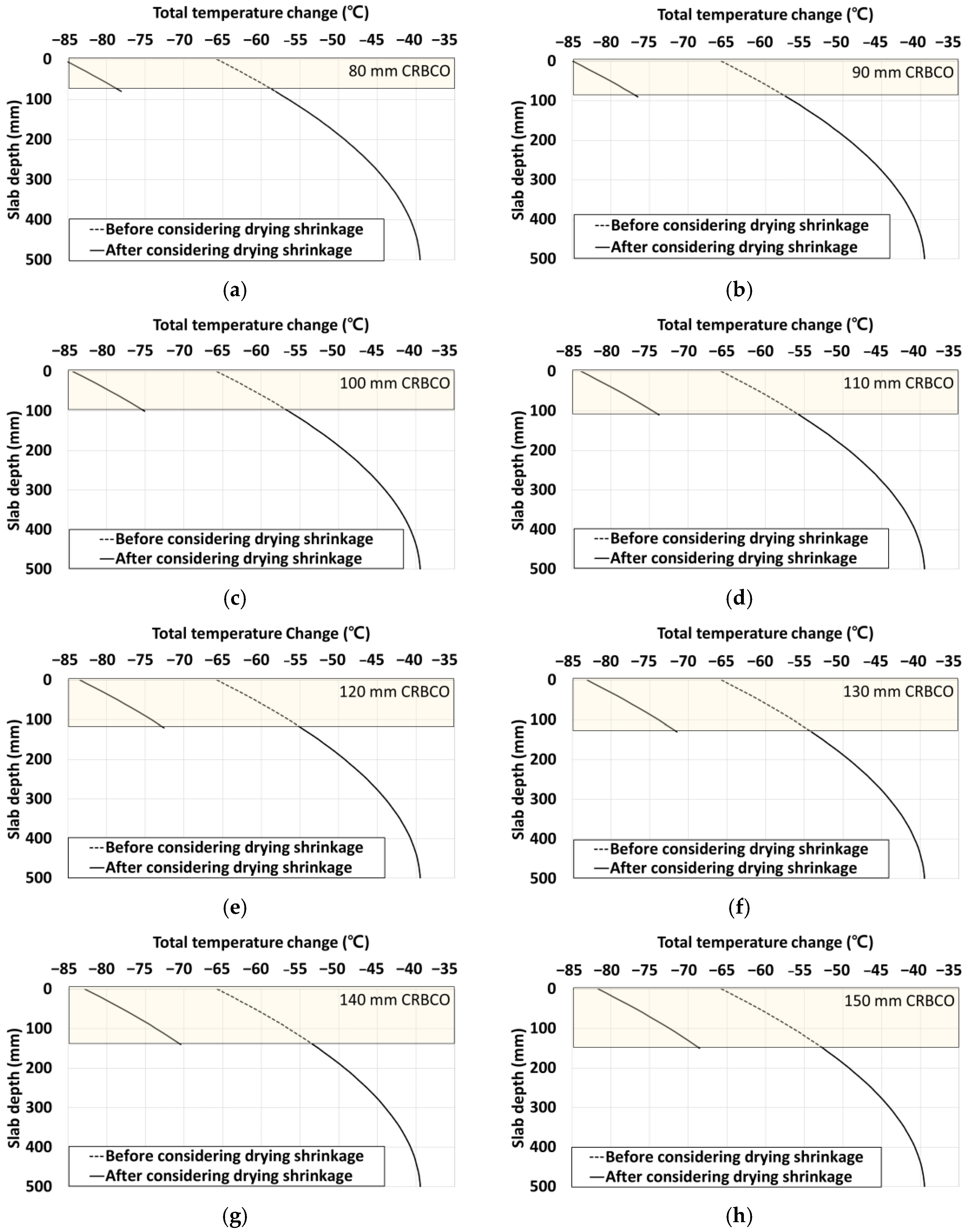
3. Quantification of Environmental Load
- is the drying shrinkage strain;
- is the age (in days);
- is the volume–surface ratio (in mm); and
- are the model parameters.

- is the temperature change equivalent to drying shrinkage (°C), and
- is the coefficient of thermal expansion of concrete (/°C).
4. Analysis of Cracking Pattern
4.1. Determination of the Viscosity Parameter of CRCP by FEA
4.2. Cracking Patterns in CRBCO from FEA using CDP Model
5. Analysis of Crack Width of CRBCO
6. Conclusions
- In this study, crack patterns and widths were predicted via FEA using the CDP model. First, the parameter values considered in the CDP model were determined, based on previous studies. In contrast with other parameters, a range instead of a specific value was suggested for the viscosity parameter. Therefore, a viscosity parameter of 0.001, which predicts an average transverse crack spacing of 1.42 m for the CRCP constructed on the KEC test road in Republic of Korea, was determined by performing FEA using the CDP model.
- FEA was further employed to investigate the cracking pattern in the CRBCO using the parameters of the CDP model. In contrast to the CRCP, in which transverse cracks occurred randomly, reflection cracks developed immediately above the joints of the existing pavement. In addition, a traverse crack (secondary crack) occasionally appeared near the center of the adjacent reflection cracks. The occurrence of the reflection crack appeared to be directly affected by the shape of the joint of the existing slab, curled upward owing to the environmental load. Meanwhile, the occurrence of the secondary crack was primarily affected by the tensile stress, which developed in the CRBCO owing to the environmental load. The reflection crack width was approximately 5–6 times wider than the traverse crack, and as a result, the width of the crack that developed in the CRBCO was predominantly affected by the behavior of the joints of the existing slabs.
- By simulating the reflection and transverse cracks in the model, FEA using the elastic model was performed to verify the appropriateness of the FEA results obtained using the CDP model. The crack width predicted by the CDP model was slightly narrower than that predicted by the elastic model, by 7–10%, according to the steel ratio. Unless the crack was modeled in advance, the elastic model could not simulate the propagation of cracks caused by an external load because the occurrence of cracks could not be analyzed. Therefore, crack movement can be predicted by predicting the location of the crack and modeling the crack at the locations in advance in the FEA using the elastic model. However, both the occurrence and propagation of cracks in CRBCO can be observed via FEA using the CDP model. In addition, it was verified that the predicted crack width, according to the steel ratio, was reasonable, as compared with that predicted by the elastic model.
- In this study, the crack patterns of CRBCO were predicted using FEA. Moreover, it was possible to identify the key points in the maintenance of the CRBCO pavement. The reflection crack that developed immediately above the joint of the existing slab was the dominant type of crack in the CRBCO. Therefore, crack patterns should be considered for the appropriate design, construction, and management of CRBCO pavements.
Author Contributions
Funding
Institutional Review Board Statement
Informed Consent Statement
Data Availability Statement
Acknowledgments
Conflicts of Interest
References
- KEC. A Study of Application Method of Asphalt Overlay on Aged Concrete Pavement; 2017 Research Report; Korea Expressway Corporation: Gimcheon-si, Republic of Korea, 2017. [Google Scholar]
- Gharaibeh, N.G.; Darter, M.I.; Heckel, L.B. Field performance of continuously reinforced concrete pavement in Illinois. Transp. Res. Rec. 1999, 1684, 44–50. [Google Scholar] [CrossRef]
- Hall, K.; Dawood, D.; Vanikar, S.; Tally, R., Jr.; Cackler, T.; Correa, A.; Voigt, G. Long-Life Concrete Pavements in Europe and Canada; Report No. FHWA-PL-07-027; Federal Highway Administration: Washington, DC, USA, 2007.
- Nam, J.-H. Early-Age Behavior of CRCP and Its Implications for Long-Term Performance. Ph.D. Thesis, The University of Texas at Austin, Austin, TX, USA, 2005. [Google Scholar]
- Nishizawa, T.; Shimeno, S.; Komatsubara, A.; Koyanagawa, M. Study on thermal stresses in continuously reinforced concrete pavement. Transp. Res. Rec. 1998, 1629, 99–107. [Google Scholar] [CrossRef]
- Won, M.C. Continuously Reinforced Concrete Pavement: Identification of Distress Mechanisms and Improvement of Mechanistic–Empirical Design Procedures. Transp. Res. Rec. 2011, 2226, 51–59. [Google Scholar] [CrossRef]
- KEC. Standard Drawing for Highway Construction; Korea Expressway Corporation: Gimcheon-si, Republic of Korea, 2018. [Google Scholar]
- Ryu, S.W.; Won, H.I.; Choi, S.C.; Won, M.C. Continuously reinforced bonded concrete overlay of distressed jointed plain concrete pavements. Constr. Build. Mater. 2013, 40, 1110–1117. [Google Scholar] [CrossRef]
- Arslan, G. Sensitivity study of the Drucker–Prager modeling parameters in the prediction of the nonlinear response of reinforced concrete structures. Mater. Des. 2007, 28.10, 2596–2603. [Google Scholar] [CrossRef]
- Ferretti, D.; Michelini, E.; Rosati, G. Cracking in autoclaved aerated concrete: Experimental investigation and XFEM modeling. Cem. Concr. Res. 2015, 67, 156–167. [Google Scholar] [CrossRef]
- Genikomsou, A.S.; Polak, M.A. Damaged plasticity modelling of concrete in finite element analysis of reinforced concrete slabs. In Proceedings of the 9th International Conference on Fracture Mechanics of Concrete and Concrete Structures, Berkeley, CA, USA, 28 May–1 June 2016; pp. 22–25. [Google Scholar] [CrossRef]
- Lelovic, S.; Vasovic, D. Determination of Mohr-coulomb parameters for modelling of concrete. Crystals 2020, 10, 808. [Google Scholar] [CrossRef]
- Nguyen, Q.T.; Livaoğlu, R. The effect of the ratio of Λ-shaped shear connectors on the flexural behavior of a reinforced concrete frame. Adv. Struct. Eng. 2020, 23, 2724–2740. [Google Scholar] [CrossRef]
- Roth, S.N.; Léger, P.; Soulaïmani, A. A combined XFEM–damage mechanics approach for concrete crack propagation. Comput. Methods Appl. Mech. Eng. 2015, 283, 923–955. [Google Scholar] [CrossRef]
- Szczecina, M.; Winnicki, A. Relaxation time in CDP model used for analyses of RC structures. Procedia Eng. 2017, 193, 369–376. [Google Scholar] [CrossRef]
- Kupfer, H.; Hilsdorf, H.K.; Rusch, H. Behavior of concrete under biaxial stresses. ACI J. Proc. 1969, 66, 656–666. [Google Scholar] [CrossRef]
- Lubliner, J.; Oliver, J.; Oller, S.; Oñate, E. A plastic-damage model for concrete. Int. J. Solids Struct. 1989, 25, 299–326. [Google Scholar] [CrossRef]
- Lim, J.S.; Park, Y.D.; Jung, Y.D.; Yi, S.T. Analysis of Strength of Reinforced Concrete Beams Using Meso-scale Finite Element Analytical Method. J. Korea Concr. Inst. 2019, 31, 269–276. [Google Scholar] [CrossRef]
- Kim, S.M.; Al-Rub, R.K.A. Meso-scale computational modeling of the plastic-damage response of cementitious composites. Cem. Concr. Res. 2011, 41, 339–358. [Google Scholar] [CrossRef]
- Shahbeyk, S.; Hosseini, M.; Yaghoobi, M. Mesoscale finite element prediction of concrete failure. Comput. Mater. Sci. 2011, 50, 1973–1990. [Google Scholar] [CrossRef]
- Huang, Y.; Yang, Z.; Ren, W.; Liu, G.; Zhang, C. 3D meso-scale fracture modelling and validation of concrete based on in-situ X-ray Computed Tomography images using damage plasticity model. Int. J. Solids Struct. 2015, 67, 340–352. [Google Scholar] [CrossRef]
- Dassault Systemes. Abaqus Analysis User’s Guide; Dassault Systemes Simulia Corporation: Velizy-Villacoublay, France, 2018. [Google Scholar]
- Genikomsou, A.S.; Polak, M.A. Finite element analysis of punching shear of concrete slabs using damaged plasticity model in ABAQUS. Eng. Struct. 2015, 98, 38–48. [Google Scholar] [CrossRef]
- Najafgholipour, M.A.; Dehghan, S.M.; Dooshabi, A. Finite element analysis of reinforced concrete beam-column connections with governing joint shear failure mode. Lat. Am. J. Solids Struct. 2017, 14, 1200–1225. [Google Scholar] [CrossRef]
- Ren, W.; Sneed, L.H.; Yang, Y.; He, R. Numerical simulation of prestressed precast concrete bridge deck panels using damage plasticity model. Int. J. Concr. Struct. Mater. 2015, 9, 45–54. [Google Scholar] [CrossRef]
- Othman, H.; Marzouk, H. Applicability of damage plasticity constitutive model for ultra-high performance fibre-reinforced concrete under impact loads. Int. J. Impact Eng. 2018, 114, 20–31. [Google Scholar] [CrossRef]
- Dere, Y.; Koroglu, M.A. Nonlinear FE modeling of reinforced concrete. Int. J. Civ. Struct. Eng. Res. 2017, 6, 71–74. [Google Scholar] [CrossRef]
- Kmiecik, P.; Kamiński, M. Modelling of reinforced concrete structures and composite structures with concrete strength degradation taken into consideration. Arch. Civ. Mech. Eng. 2011, 11, 623–636. [Google Scholar] [CrossRef]
- Michal, S.; Andrzej, W. Calibration of the CDP model parameters in Abaqus. In Proceedings of the 2015 World Congress on Advances in Structural Engineering and Mechanics (ASEM15), Incheon, Republic of Korea, 25–29 August 2015. [Google Scholar]
- Solhmirzaei, R.; Kodur, V.K.R. Modeling the response of ultra high performance fiber reinforced concrete beams. Procedia Eng. 2017, 210, 211–219. [Google Scholar] [CrossRef]
- Yang, S.C.; Ahn, N.S.; Choi, D.U.; Kang, S.M. Drying shrinkage of concretes according to different volume-surface ratios and aggregate types. Int. J. Highw. Eng. 2004, 6, 109–121. [Google Scholar]
- Pigeon, M.; Bissonette, B. Tensile creep and cracking potential. Concr. Int. 1999, 21, 31–35. [Google Scholar]
- Pigeon, M.; Saucier, F. Durability of repaired concrete structures. In Failure, Distress and Repair of Concrete Structures; Woodhead Publishing: Sawston, UK, 2009; pp. 296–321. [Google Scholar] [CrossRef]
- Pigeon, M.; Toma, G.; Delagrave, A.; Bissonnette, B.; Marchand, J.; Prince, J.C. Equipment for the analysis of the behaviour of concrete under restrained shrinkage at early ages. Mag. Concr. Res. 2000, 52, 297–302. [Google Scholar] [CrossRef]
- Bissonnette, B.; Pigeon, M. Tensile creep at early ages of ordinary, silica fume and fiber reinforced concretes. Cem. Concr. Res. 1995, 25, 1075–1085. [Google Scholar] [CrossRef]
- Gutsch, A. Young Concrete Under High Tensile Stresses-Creep, Relaxation and Cracking. In Thermal Cracking in Concrete at Early Ages: Proceedings of the International RILEM Symposium; CRC Press: Boca Raton, FL, USA, 1994; p. 111. [Google Scholar]
- Walraven, J.; Shkoukani, H. Kriechen und Relaxation des Betons bei Temperatur-Zwangsbeanspruchung. Beton-Und Stahlbetonbau 1993, 88, 10–15. [Google Scholar]
- Beushausen, H.; Alexander, M.G. Failure mechanisms and tensile relaxation of bonded concrete overlays subjected to differential shrinkage. Cem. Concr. Res. 2006, 36, 1908–1914. [Google Scholar] [CrossRef]
- Ha, S.J.; Yeon, J.H.; Choi, B.H.; Jung, Y.S.; Zollinger, D.G.; Wimsatt, A.; Won, M.C. Develop Mechanistic-Empirical Design for CRCP; Report No. FHWA/TX-11-0-5832-1; Texas Department of Transportation: Austin, TX, USA, 2012.
- KEC. Development of the Design Details and Specifications for Continuously Reinforced Concrete Pavement; 2011 Research Report; Korea Expressway Corporation: Gimcheon-si, Republic of Korea, 2011. [Google Scholar]
- Park, H.W.; Kim, D.H.; Lim, J.S.; Jeong, J.H. Prediction of differential drying shrinkage of airport concrete pavement slabs. Int. J. Pavement Eng. 2021, 22, 752–762. [Google Scholar] [CrossRef]
- Tayabji, S.D.; Okamoto, P.A. Thickness Design of Concrete Resurfacing. In Proceedings of the Third International Conference on Concrete Pavement Design and Rehabilitation, Purdue University, West Lafayette, IN, USA, 23–25 April 1985; pp. 367–379. [Google Scholar]
- Park, H.W.; Seo, J.S.; Lee, J.H.; Jeong, J.H. Development of a design catalog for bonded concrete overlay pavement considering the regional characteristics of Korea. Sustainability 2021, 13, 9876. [Google Scholar] [CrossRef]
- Huang, Y.H. Pavement Analysis and Design, 2nd ed.; Prentice Hall: Upper Saddle River, NJ, USA, 2004. [Google Scholar]
- Texas, D.O.T. Pavement Manual; Texas Department of Transportation: Austin, TX, USA, 2021.
- Roesler, J.R.; Hiller, J.E.; Brand, A.S. Continuously Reinforced Concrete Pavement Manual: Guidelines for Design, Construction, Maintenance and Rehabilitation; Report FHWA-HIF-16-026; United States, Federal Highway Administration: Washington, DC, USA, 2016.




















| Property | Surface Layer | Separation Layer | Rebar |
|---|---|---|---|
| Elastic modulus (MPa) | 35,000 | 3000 | 200,000 |
| Poisson’s ratio | 0.18 | 0.35 | 0.3 |
| Unit weight (kgf/m3) | 2400 | 2300 | 7850 |
| Coefficient of thermal expansion (/°C) | 10.7 × 10−6 | 20.0 × 10−6 | 10.0 × 10−6 |
| Property | CRBCO | Existing Slab | Subbase | Rebar |
|---|---|---|---|---|
| Elastic modulus (MPa) | 35,000 | 28,000 | 3500 | 200,000 |
| Poisson’s ratio | 0.15 | 0.15 | 0.15 | 0.3 |
| Unit weight (kgf/m3) | 2400 | 2400 | 2400 | 7850 |
| Coefficient of thermal expansion | 10.7 × 10−6 | 10.7 × 10−6 | 10.7 × 10−6 | 10.0 × 10−6 |
| Variable | Range | ||
|---|---|---|---|
| Minimum | Middle | Maximum | |
| Overlay thickness (mm) | 80 | 110 | 150 |
| Existing slab thickness (mm) | 130 | 200 | 300 |
| Steel ratio (%) | 0.25 | 0.50 | 0.73 |
Disclaimer/Publisher’s Note: The statements, opinions and data contained in all publications are solely those of the individual author(s) and contributor(s) and not of MDPI and/or the editor(s). MDPI and/or the editor(s) disclaim responsibility for any injury to people or property resulting from any ideas, methods, instructions or products referred to in the content. |
© 2023 by the authors. Licensee MDPI, Basel, Switzerland. This article is an open access article distributed under the terms and conditions of the Creative Commons Attribution (CC BY) license (https://creativecommons.org/licenses/by/4.0/).
Share and Cite
Park, H.-W.; Lee, J.-H.; Jeong, J.-H. Finite Element Analysis of Continuously Reinforced Bonded Concrete Overlay Pavements Using the Concrete Damaged Plasticity Model. Sustainability 2023, 15, 4809. https://doi.org/10.3390/su15064809
Park H-W, Lee J-H, Jeong J-H. Finite Element Analysis of Continuously Reinforced Bonded Concrete Overlay Pavements Using the Concrete Damaged Plasticity Model. Sustainability. 2023; 15(6):4809. https://doi.org/10.3390/su15064809
Chicago/Turabian StylePark, Hae-Won, Jae-Hoon Lee, and Jin-Hoon Jeong. 2023. "Finite Element Analysis of Continuously Reinforced Bonded Concrete Overlay Pavements Using the Concrete Damaged Plasticity Model" Sustainability 15, no. 6: 4809. https://doi.org/10.3390/su15064809
APA StylePark, H.-W., Lee, J.-H., & Jeong, J.-H. (2023). Finite Element Analysis of Continuously Reinforced Bonded Concrete Overlay Pavements Using the Concrete Damaged Plasticity Model. Sustainability, 15(6), 4809. https://doi.org/10.3390/su15064809

