Partitioning the Extreme Wave Spectrum of Hurricane Wilma to Improve the Design of Wave Energy Converters
Abstract
1. Introduction
2. Materials and Methods
2.1. Wave Data
2.2. Spectral Wave Parameters
3. Results and Discussion
3.1. Wave Power
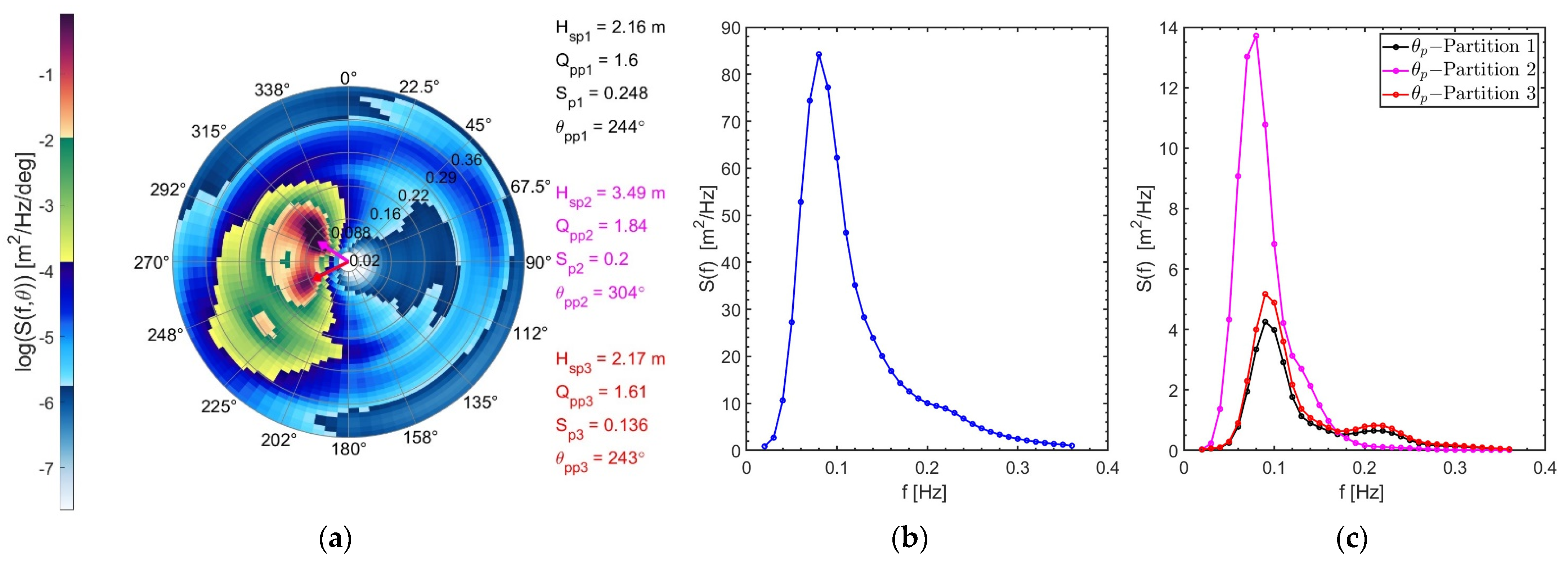
3.2. Partition of Wave Spectrum

3.3. Spectral Wave Parameters


4. Conclusions
- i
- The spectral wave steepness and bandwidth in the direction of the dominant waves ranged from 0.007 to 0.596 and from 0.157 to 0.850, respectively;
- ii
- The increase in the degree of wave grouping with decreasing bandwidth;
- iii
- The increase in the degree of wave grouping with increasing steepness for ;
- iv
- The decrease in the degree of wave grouping with increasing steepness for , implying the development of wave groups;
- v
- The increase in modulation instability with increasing steepness for .
Author Contributions
Funding
Data Availability Statement
Acknowledgments
Conflicts of Interest
References
- Hodges, J.; Henderson, J.; Ruedy, L.; Soede, M.; Weber, J.; Ruiz-Minguela, P.; Jeffrey, H.; Bannon, E.; Holland, M.; Maciver, R.; et al. An International Evaluation and Guidance Framework for Ocean Energy Technology; International Energy Agency-Ocean Energy Systems: Lisbon, Portugal, 2021. [Google Scholar]
- Hann, M.; Greaves, D.; Raby, A. Snatch loading of a single taut moored floating wave energy converter due to focused wave groups. Coast. Eng. 2015, 96, 258–271. [Google Scholar] [CrossRef]
- Qiao, D.; Haider, R.; Yan, J.; Ning, D.; Li, B. Review of Wave Energy Converter and design of mooring system. Sustainability 2020, 12, 8251. [Google Scholar] [CrossRef]
- Xu, S.; Wang, S.; Guedes Soares, C. Experimental investigation on hybrid mooring systems for wave energy converters. Renew. Energy 2020, 158, 130–153. [Google Scholar] [CrossRef]
- Gomes, R.P.F.; Gato, L.M.C.; Henriques, J.C.C.; Portillo, J.C.C.; Howey, B.D.; Collins, K.M.; Hann, M.R.; Greaves, D.M. Compact floating wave energy converters arrays: Mooring loads and survivability through scale physical modelling. Appl. Energy 2020, 280, 115982. [Google Scholar] [CrossRef]
- Santo, H.; Taylor, P.H.; Carpintero Moreno, E.; Stansby, P.; Eatock Taylor, R.; Sun, L.; Zang, J. Extreme motion and response statistics for survival of the three-float wave energy converter M4 in intermediate water depth. J. Fluid Mech. 2017, 813, 175–204. [Google Scholar] [CrossRef]
- Musiedlak, P.-H.; Ransley, E.J.; Hann, M.; Child, B.; Greaves, D.M. Time-splitting coupling of WaveDyn width OpenFoam by fidelity limit identified from a WEC in extreme wave. Energies 2020, 13, 3431. [Google Scholar] [CrossRef]
- Felix, A.; Mendoza, E.; Chávez, V.; Silva, R.; Rivillas-Ospina, G. Wave and wind energy potential including extreme events: A case study of Mexico. J. Coastal. Res. 2018, 85, 1336–1340. [Google Scholar] [CrossRef]
- Hernández-Fontes, J.V.; Felix, A.; Mendoza, E.; Rodríguez Cueto, Y.; Silva, S. On the marine energy resources of Mexico. J. Mar. Sci. Eng. 2019, 7, 191. [Google Scholar] [CrossRef]
- Díaz-Maya, M.; Ulloa, M.; Silva, R. Assessing wave energy converters in the Gulf of Mexico using a multi-criteria approach. Front. Energy Res. 2022, 10, 929625. [Google Scholar] [CrossRef]
- Guo, B.; Ringwood, J.V. A review of wave energy technology from a research and commercial perspective. IET Renew. Power Gener. 2021, 15, 3065–3090. [Google Scholar] [CrossRef]
- Ardhuin, F.; Stopa, J.E.; Chapron, B.; Collard, F.; Husson, R.; Jensen, R.E.; Johannessen, J.; Mouche, A.; Passaro, M.; Quarly, G.D.; et al. Observing sea states. Front. Mar. Sci. 2019, 6, 124. [Google Scholar] [CrossRef]
- Waters, J.; Wyatt, L.R.; Wolf, J.; Hines, A. Data assimilation of partitioned HF radar wave data into Wavewatch III. Ocean Model. 2013, 72, 17–31. [Google Scholar] [CrossRef]
- Ailliot, P.; Maisondieu, C.; Monbet, V. Dynamical partitioning of directional ocean wave spectra. Probabilistic Eng. Mech. 2013, 33, 95–102. [Google Scholar] [CrossRef]
- Wyatt, L.R.; Green, J.J. Swell and wind-sea partitioning of HF radar directional spectra. J. Oper. Oceanogr. 2022. [Google Scholar] [CrossRef]
- Silva-Casarin, S.; Mendoza-Baldwin, E.; Escalante-Mancera, E.; Mariño-Tapia, I.; Ruiz-Rentería, F. Oleaje inducido por el huracán Wilma en Puerto Morelos, Quintana Roo, México. Ing. Hidraul. Mex. 2009, XXIV, 93–109. [Google Scholar]
- Pasch, R.J.; Blake, E.S.; Cobb, H.D.; Roberts, D.P. Tropical Cyclone Report Hurricane Wilma, 25 October, 2005; National Hurricane Center: Miami, FL, USA, 2006.
- Beven II, J.L.; Avila, L.A.; Blake, E.S.; Brown, D.P.; Franklin, J.L.; Knabb, R.D.; Pasch, R.J.; Rhome, J.R.; Stewart, S.R. Atlantic hurricane season of 2005. Mon. Weather Rev. 2008, 136, 1109–1173. [Google Scholar] [CrossRef]
- Silva Casarin, R.; Ruiz Martinez, G.; Mariño-Tapia, I.; Posada Venegas, G.; Mendoza Baldwin, E.; Escalante Mancera, E. Manmade vulnerability of the Cancun Beach System: The case of Hurricane Wilma. CLEAN Soil Air Water 2012, 40, 911–919. [Google Scholar] [CrossRef]
- Rivera-Monroy, V.H.; Farfán, L.M.; Brito-Castillo, L.; Cortés-Ramos, J.; González-Rodríguez, E.; D’Sa, E.J.; Euan-Avila, J.I. Environmental impacts along karstic coastal regions (Yucatan Peninsula, Mexico). Appl. Sci. 2020, 10, 5815. [Google Scholar] [CrossRef]
- Mariño Tapia, I.; Silva Casarin, R.; Enríquez Ortiz, C.; Mendoza Baldwin, E.; Escalante Mancera, E.; Ruíz Rentería, F. Extreme Conditions Induced by Hurricane Wilma in Intermediate Water Depth at Puerto Morelos, Quintana Roo, México. In Proceedings of the 31st International Conference on Coastal Engineering, Hamburg, Germany, 31 August–5 September 2008; p. 5128. [Google Scholar] [CrossRef]
- Martell-Dubois, R.; Silva-Casarin, R.; Mendoza-Baldwin, E.G.; Muñoz-Pérez, J.J.; Cerdeira-Estrada, S.; Escalante-Mancera, E.; Laiz, I. Spectral bimodality of waves produced by hurricanes in the Caribbean coastal zone off Mexico. Cienc. Mar. 2018, 44, 33–48. [Google Scholar] [CrossRef]
- Esquivel-Trava, B.; Ocampo-Torres, F.J.; Osuna, P. Spatial structure of directional wave spectra in hurricanes. Ocean Model. 2015, 65, 65–76. [Google Scholar] [CrossRef]
- Adcock, T.A.A.; Taylor, P.H.; Draper, S. On the shape of large wave-groups on deep water -The influence of bandwidth and spreading. Phys. Fluids 2016, 28, 106601. [Google Scholar] [CrossRef]
- Mendoza, E.; Velasco, M.; Velasco-Herrera, G.; Martell, R.; Silva, R.; Escudero, M.; Ocampo-Torres, F.J.; Mariño-Tapia, I. Spectral analysis of sea surface elevations produced by big storms: The case of hurricane Wilma. Reg. Stud. Mar. Sci. 2020, 39, 101390. [Google Scholar] [CrossRef]
- Escalante-Mancera, E.; Silva-Casarín, R.; Mendoza-Baldwin, E. Análisis de la variación del nivel del mar y de las corrientes inducidas por el huracán Wilma frente a Puerto Morelos, Quintana Roo, México. Ing. Hidraul. Mex. 2009, XXIV, 111–126. [Google Scholar]
- Pedersen, T.; Siegel, R. Wave Measurements from Subsurface Buoys. In Proceedings of the IEEE Ninth Working Conference on Curent Measurement Technology, Charleston, SC, USA, 17–19 March 2008. [Google Scholar] [CrossRef]
- Vatankhah, A.R.; Aghashariatmadari, Z. Improved explicit approximation of linear dispersion relationship for gravity waves: Comment on another discussion. Coast. Eng. 2013, 81, 30–31. [Google Scholar] [CrossRef]
- Van de Voorde, N.E.; Dinnel, S.P. Observed directional wave spectra during a frontal passage. J. Coastal. Res. 1998, 14, 337–346. [Google Scholar]
- Chawla, A.; Kirby, T. Monochromatic and random wave breaking at blocking points. J. Geophys. Res. 2002, 107, 3067. [Google Scholar] [CrossRef]
- Zippel, S.; Thomson, J. Surface wave breaking over sheared currents: Observations from the mouth of the Columbia River. J. Geophys. Res. Oceans 2017, 122, 3311–3328. [Google Scholar] [CrossRef]
- Goda, Y. Random Seas and Design of Maritime Structures, 1st ed.; University of Tokyo Press: Tokyo, Japan, 1985; pp. 235–239. [Google Scholar]
- Saulnier, J.-B.; Clément, A.; Falcao, A.F.O.; Pontes, T.; Prevosto, M.; Ricci, P. Wave groupiness and spectral bandwidth as relevant parameters for the performance assessment of wave energy converters. Ocean Eng. 2011, 38, 130–147. [Google Scholar] [CrossRef]
- Janssen, P.A.E.M.; Onorato, M. The intermediate water depth limit of the Zakharov equation and consequences for wave prediction. J. Phys. Oceanogr. 2007, 37, 2389–2400. [Google Scholar] [CrossRef]
- Janssen, P.A.E.M.; Bidlot, J.-R. On the Extension of the Freak Wave Warning System and Its Verification (ECMWF Technical Memorandum); European Centre for Medium-Range Weather Forecasts: Reading, UK, 2009. [Google Scholar]
- Serio, M.; Onorato, M.; Osborne, A.R.; Janssen, P.A.E.M. On the computation of the Benjamin-Feir Index. Nuovo Cimento 2005, 28, 893–903. [Google Scholar] [CrossRef]
- Slunyaev, S.; Didenkulova, I.; Pelinovsky, E. Rogue waters. Contemp. Phys. 2011, 52, 571–590. [Google Scholar] [CrossRef]
- Janssen, P.A.E.M. Nonlinear four-wave interactions and freak waves. J. Phys. Oceanogr. 2003, 33, 863–884. [Google Scholar] [CrossRef]
- Hanson, J.L.; Phillips, O.M. Automated analysis of ocean surface directional wave spectra. J. Phys. Oceanogr. 2001, 18, 278–293. [Google Scholar] [CrossRef]
- Douglas, C.; Voulgaris, G. WavePART v1.1: MATLAB(r) Software for the Partition of Directional Ocean Wave Spectra; Zenodo: Genève, Switzerland, 2019. [Google Scholar] [CrossRef]
- Faraggiana, E.; Chapman, J.; Masters, I. Influence of directional wave spreading on a WEC device. Int. Mar. Ener. J. 2022, 5, 227–242. [Google Scholar] [CrossRef]
- Medina Rodríguez, A.A.; Silva Casarín, R.; Blanco Ilzarbe, J.M. The influence of oblique waves on the hydrodynamic efficiency of an onshore OWC wave energy converter. Renew. Energy 2022, 183, 687–707. [Google Scholar] [CrossRef]
- Medina Rodríguez, A.A.; Posada Venegas, G.; Silva Casarín, R.; Mendoza Baldwin, E.G.; Vega Serratos, B.E.; Puc Cutz, F.E.; Mangas Che, E.A. Experimental investigation of the hydrodynamic performance of land-fixed nearshore and onshore oscillating water column systems with a thick front wall. Energies 2022, 15, 2364. [Google Scholar] [CrossRef]
- Maisondieu, C. WEC survivability threshold and extractable wave power. In Proceedings of the 11th European Wave and Tidal energy Conference, Nantes, France, 11 September 2015. [Google Scholar]
- Hu, J.; Chen, Q. Directional spectra of hurricane-generated waves in the Gulf of Mexico. Geophys. Res. Lett. 2011, 38, L19608. [Google Scholar] [CrossRef]
- Brown, A.; Thomson, J.; Ellenson, A.; Rollano, F.T.; Özkan-Haller, H.T.; Haller, M.C. Kinematics and statistics of breaking waves observed using SWIFT Buoys. IEEE J. Oceanic Eng. 2019, 44, 1011–1023. [Google Scholar] [CrossRef]
- Stringari, C.E.; Power, H.E. The fraction of broken waves in natural surf zones. J. Geophys. Res. Oceans 2019, 124, 9114–9140. [Google Scholar] [CrossRef]
- Saincher, S.; Banerjee, J. Influence of wave breaking on the hydrodynamics of wave energy converters: A review. Renew. Sust. Energy Rev. 2016, 58, 704–717. [Google Scholar] [CrossRef]
- Gemmrich, J.; Thomson, J. Observations of the shape and group dynamics of rogue waves. Geophys. Res. Lett. 2017, 44, 1823–1830. [Google Scholar] [CrossRef]
- Gemmrich, J.; Mudge, T.; Thomson, J. Long-term observations of the group structure of surface waves in ice. Ocean Dynam. 2021, 71, 343–356. [Google Scholar] [CrossRef]
- Thomson, J.; Gemmrich, J.; Rogers, W.E.; Collins, C.O.; Ardhuin, F. Wave groups observed in pancake sea ice. J. Geophys. Res. Oceans 2019, 124, 7400–7411. [Google Scholar] [CrossRef]
- Adcock, T.A.A.; Taylor, P.H.; Draper, S. Nonlinear dynamics of wave-groups in random seas: Unexpected walls of water in the open ocean. Proc. R. Soc. A 2015, 471, 20150660. [Google Scholar] [CrossRef]
- Babanin, A.; Chalikov, D.; Young, I.; Savelyev, I. Predicting the breaking onset of surface water waves. Geophys. Res. Lett. 2007, 34, L07605. [Google Scholar] [CrossRef]








Disclaimer/Publisher’s Note: The statements, opinions and data contained in all publications are solely those of the individual author(s) and contributor(s) and not of MDPI and/or the editor(s). MDPI and/or the editor(s) disclaim responsibility for any injury to people or property resulting from any ideas, methods, instructions or products referred to in the content. |
© 2023 by the authors. Licensee MDPI, Basel, Switzerland. This article is an open access article distributed under the terms and conditions of the Creative Commons Attribution (CC BY) license (https://creativecommons.org/licenses/by/4.0/).
Share and Cite
Ulloa, M.; Silva, R.; Mariño-Tapia, I. Partitioning the Extreme Wave Spectrum of Hurricane Wilma to Improve the Design of Wave Energy Converters. Sustainability 2023, 15, 7414. https://doi.org/10.3390/su15097414
Ulloa M, Silva R, Mariño-Tapia I. Partitioning the Extreme Wave Spectrum of Hurricane Wilma to Improve the Design of Wave Energy Converters. Sustainability. 2023; 15(9):7414. https://doi.org/10.3390/su15097414
Chicago/Turabian StyleUlloa, Marco, Rodolfo Silva, and Ismael Mariño-Tapia. 2023. "Partitioning the Extreme Wave Spectrum of Hurricane Wilma to Improve the Design of Wave Energy Converters" Sustainability 15, no. 9: 7414. https://doi.org/10.3390/su15097414
APA StyleUlloa, M., Silva, R., & Mariño-Tapia, I. (2023). Partitioning the Extreme Wave Spectrum of Hurricane Wilma to Improve the Design of Wave Energy Converters. Sustainability, 15(9), 7414. https://doi.org/10.3390/su15097414

