Next Article in Journal
Characterization and Multi-Scenario Prediction of Habitat Quality Evolution in the Bosten Lake Watershed Based on the InVEST and PLUS Models
Next Article in Special Issue
Wetland Distribution Prediction Based on CA–Markov Model under Current Land Use and Protection Policy in Sanjiang Plain
Previous Article in Journal
Sustainable Tourism Industry in Indonesia through Mapping Natural Tourism Potential: Taxonomy Approach
Previous Article in Special Issue
Characterization and Risk Assessment of Nutrient and Heavy Metal Pollution in Surface Sediments of Representative Lakes in Yangxin County, China
 
 
Font Type:
Arial Georgia Verdana
Font Size:
Aa Aa Aa
Line Spacing:
Column Width:
Background:
Article

Interspecific Differences in the Effects of Calcium and Phosphorus Coprecipitation Induced by Submerged Plants on the Water-to-Phosphorus Cycle

Key Laboratory of Intelligent Health Perception and Ecological Restoration of River and Lake, Ministry of Education, Innovation Demonstration Base of Ecological Environment Geotechnical and Ecological Restoration of Rivers and Lakes, School of Civil Engineering, Architecture and Environment, Hubei University of Technology, Wuhan 430068, China
*
Author to whom correspondence should be addressed.
Sustainability 2024, 16(10), 4200; https://doi.org/10.3390/su16104200
Submission received: 13 February 2024 / Revised: 22 April 2024 / Accepted: 2 May 2024 / Published: 16 May 2024

Abstract

The effects of submerged plant-induced calcium and phosphorus coprecipitation on the phosphorus cycle in aquatic environments and interspecific differences are still unclear. Herein, we selected Ceratophyllum demersum L. and Potamogeton crispus L. to construct a sediment–water-submerged plant system. We examined how phosphorus concentrations in the water, sediment, and plant ash changed over time with different phosphorus and calcium treatments and explored the effects of photosynthesis-induced calcium and phosphorus coprecipitation on water’s phosphorus cycle and variations between different submerged plant species. The main results were as follows: (1) The phosphorus reduction in the P. crispus system was less than that in the C. demersum system. (2) P. crispus had higher total ash phosphorus (TAP) values than C. demersum. (3) The sediment total phosphorus (STP) and its fractions with P. crispus were most affected by phosphorus concentration while those with C. demersum were most affected by time. Overall, the two submerged species exhibited different calcium and phosphorus coprecipitation levels and had distinct effects on the water-to-phosphorus cycle. When submerged plants are introduced to reduce and stabilize the phosphorus levels, plant interspecific differences in their induced calcium and phosphorus coprecipitation on water and phosphorus cycling must be fully assessed.

1. Introduction

Worldwide, lakes have ecological functions, which include regulating water volume, maintaining biodiversity, and providing water sources. However, with the rapid societal development, the eutrophication of water bodies is increasing, and the ecological functions of shallow lakes are becoming increasingly threatened [1]. All life activities require phosphorus as a vital element. An imbalance in the biogeochemical cycle of phosphorus in aquatic environments is a significant factor contributing to ecological issues in lakes [2]. The phosphorus cycle in water is a process involving various biotic and abiotic phosphorus migrations in water columns and the corresponding sediments [3]. Sediments, existing in various forms, including inorganic and organic forms, serve as phosphorus storage materials in lakes [4]. Among these processes, phosphorus adsorption/desorption on the clay and metal oxides in sediments is the main abiotic microscopic process of the phosphorus cycle in water [5].
In shallow lakes, submerged plants can effectively reduce the phosphorus levels in overlying water during the growing season [6] and affect the movement and transformation of phosphorus at the sediment–water interface [7,8,9]. Submerged plants remove phosphorus from water in three main ways: surface adsorption to form adsorbed phosphorus (H2O-P), plant absorption to form sodium hydroxide-extractable phosphorus (NaOH-P), and coprecipitation with supersaturated CaCO3 to form calcium phosphorus (CaCO3-P) [10,11,12,13]. In most studies, researchers have used the removal rate of phosphorus in water or the total phosphorus concentration relative to the dry weight to characterize the enriching effect of plants on the phosphorus content in water. Generally, plants with high removal rates and a high rate of phosphorus concentration relative to their dry weight are considered to have good phosphorus removal effects. However, some researchers have noted that phosphorus can be removed from water by chemical precipitation alone or biological calcification to induce calcium–phosphorus coprecipitation [10]. Furthermore, the response and enrichment characteristics of submerged plants with respect to phosphorus in water vary with season, species, and environmental conditions [12,13,14].
The co-occurrence of dissolved phosphorus and calcite during vigorous photosynthesis has been documented in numerous shallow lakes worldwide [15,16]. According to [17], coprecipitation is widely regarded as a significant method for lake water purification. The precipitation of CaCO3 in lakes and the formation of autogenic precipitates of extracellular CaCO3 are caused primarily by the microenvironment created by the photosynthesis of submerged organisms or by an excess of Ca2+ in local water bodies [18,19]. For example, when CaCO3 is supersaturated in water (SI > 1), an increase in the P content in the water lead to a fourfold increase in the inorganic phosphorus content in the ash phosphorus of Chara vulgaris and more than 60% of the ash phosphorus precipitated into calcium carbonate phosphorus [20]. This indicates that an increase in the phosphorus concentration in water with high Ca2+ concentrations can enhance the formation of calcium and phosphorus coprecipitates. Furthermore, ref. [21] reported the coprecipitation of carbonate and phosphorus in a lake that was primarily inhabited by the submerged plant Potamogeton crispus L., which was significantly influenced by the Ca2+ concentration and pH.
In hard-water environments, most aquatic plants can precipitate carbonates (CaCO3) [10,22] and exhibit calcification. Liu et al. [23] found that the precipitates on the surface of P. crispus leaves were carbonate-containing hydroxylapatite by scanning electron microscopy (SEM) and energy-dispersive X-ray spectrometry (EDX). Furthermore, the photosynthesis-induced calcium and phosphorus coprecipitation of submerged macrophytes, showed as calcium phosphorus (HCl-P) in total ash phosphorus [10], can effectively reduce the phosphorus content in water [14,21], and there are significant interspecific differences in the HCl-P between Ceratophyllum demersum L. and P. crispus [14]. However, the effect of calcium and phosphorus coprecipitation caused by submerged macrophytes on the composition of phosphorus in the sediment and variations among different species is unclear. In this study, the submerged plant C. demersum, which has underdeveloped roots, and the submerged plant P. crispus, which has developed roots, were selected for the construction of a sediment–water–submerged plant system (Figure 1). This study involved the addition of varying levels of phosphorus and calcium ions to overlying water. We aimed to examine how the composition of phosphorus in the overlying water, sediment, and plant ash changed over time under different concentrations of phosphorus and calcium. Additionally, we explored the impact of the Ca and P coprecipitation induced by plants on the P cycle in water and the interspecific variations in these processes.

2. Materials and Methods

2.1. Plant Materials, Sediments, and Their Preculture

Both P. crispus L. and C. demersum L. are submerged plants frequently employed for ecological restoration in eutrophic environments [24,25]. In the spring of 2018, P. crispus and C. demersum were collected and precultured according to the methods by [26]. On 5 March 2018, plants with good growth status that were approximately 5~8 cm in size were selected and rinsed with deionized water, after which the leaf surfaces were gently brushed to eliminate dirt or algae. The washed plants were stored in a transparent plastic box. Simultaneously, a 0.45 μm glass fiber membrane was used to filter the water samples, eliminating algae and sizable particles. Subsequently, the strained water samples were transferred into the plastic boxes containing the plants. A preculture of the plants placed in the plastic boxes was carried out in a light incubator (light–dark ratio = 12:12, temperature = 15 °C). The growth substrate of the plant had been obtained from the sediment of Liangzi Lake by a Peterson sampler, and the sampling depth had been no less than 20 cm. After the surface water and large particles were removed, the sediment was mixed evenly and used as the plant growth substrate.

2.2. Experimental Design

In the present research, we utilized a 3 × 2 factorial design involving the addition of phosphorus and Ca2+ to study the effect of the coprecipitation of calcium and phosphorus induced by submerged plants on the water-to-phosphorus cycle. Phosphorus was added at three treatment levels: 0 mg L−1 (no additional P), 0.2 mg L−1 (0.2 mg L−1 P added as K2HPO4), and 2.0 mg L−1 (2.0 mg L−1 P added as K2HPO4). Additionally, the Ca2+ concentrations included two levels: 0 mg L−1 (no additional Ca2+) and 100 mg L−1 (100 mg L−1 Ca2+ added as CaCl2). Therefore, six treatments were established: 0-0 (no addition of P or Ca2+), 0.2-0 (additional 0.2 mg L−1 P), 2-0 (additional 2 mg L−1 P), 0-100 (additional 100 mg L−1 Ca2+), 0.2-100 (additional 0.2 mg L−1 P and 100 mg L−1 Ca2+), and 2-100 (additional 0.2 mg L−1 P and 100 mg L−1 Ca2+). Under each treatment, 3 cylindrical plastic buckets (d = 0.80 m, H = 1.0 m) with P. crispus or C. demersum were utilized to compare the effects of the treatments. Additionally, two cylindrical plastic bucket (d = 0.80 m, H = 1.0 m) with no plants were used to monitor the variations in the solution over time. In all, 38 cylindrical plastic buckets with 300 L of tap water (P = 0.02 mg L−1, Ca2+ = 20 mg L−1) were placed (as shown in Figure 1) in a greenhouse located at the College of Environmental and Water Conserve Engineering of the Hubei University of Technology. Each bucket had 5 plastic cups (d = 0.17 m, H = 0.15 m) filled with P. crispus or C. demersum, and each cup was covered with a 15 cm deep substrate from Liangzi Lake. On 11 April 2018, the tops of the plants were transplanted into cylindrical plastic buckets filled with tap water. In all, 5 plants for each species were used for each cylinder, and 15 plants were used for each treatment. One week after plant transplantation, K2HPO4 and CaCl2 were added to the water at the concentrations established in the experimental treatments.
The first water sample was taken at 9:00 on April 18, and the following water samples were taken every 7 days. Two weeks later, on May 1, a plastic cup with plants was randomly and completely removed from each cylindrical bucket when the water sample was taken, and it was used to analyze the phosphorus composition of the plant ash and surface sediments. After this point, the phosphorus content in the water, the composition of the plant ash phosphorus, and the surface sediment phosphorus were measured every 7 days. The experiment was carried out from 11 April 2018 to 27 May 2018. In all, six water samples were collected, and four samples were collected from the plants and sediments.

2.3. Experimental Measurements

The water samples were collected by siphon extraction. Equal volumes of water (200 mL) from 20 cm, 40 cm, and 60 cm below the water surface were mixed evenly (600 mL), after which the concentrations of TP and SRP in the overlying water were determined. The total phosphorus (TP) concentration in the water was determined by the ammonium molybdate spectrophotometric method, while the molybdenum–antimony anticolorimetric method (GB11893-89 [27]) was used to determine the concentration of soluble reactive phosphorus (SRP). Plant ash was obtained by muffle furnace incineration (550 °C, 1 h) to determine the composition of ash phosphorus. According to the methods of [14], ash phosphorus was divided into water-soluble phosphorus (H2O-P), organic phosphorus (NaOH-P), and calcium phosphorus (HCl-P). After the sediment was loaded into a nickel crucible and air-dried, it was dried in an oven at 105 °C for 24 h to a constant weight. The crucible was then removed from the oven and placed in a dryer for cooling. After the samples were cooled to room temperature, they were ground and passed through a 100-mesh sieve. The filtered powder was used for the classification of total phosphorus in the sediment. Phosphorus fractionation of sediments was performed using the SMT method [28,29], and this protocol has been demonstrated to effectively separate the P phases into 5 fractions of NaOH-extracted phosphorus (Fe/Al-P), HCl-extracted phosphorus (SCa-P), inorganic phosphorus (SIP), organic phosphorus (SOP), and total phosphorus (STP) in the sediment.

2.4. Data Analyses

A two-way repeated measures analysis of variance (RM-ANOVA), with sampling time and the experimental treatments as factors, was used to analyze the treatment and sampling time effects on plant ash phosphorus and the phosphorus composition in the ash (H2O-P, NaOH-P, and HCl-P), as well as on the STP and its fractions (SOP, SIP, SCa-P, Fe/Al-P). The data were log-transformed before statistical analyses to achieve a normal distribution and homogeneity of variance. A paired t-test was applied for the pairwise differences between the treatments. All processing and analyses were performed using SPSS 26. Images were constructed using Origin 9.

3. Results

3.1. Variation in TP and SRP in the Overlying Water

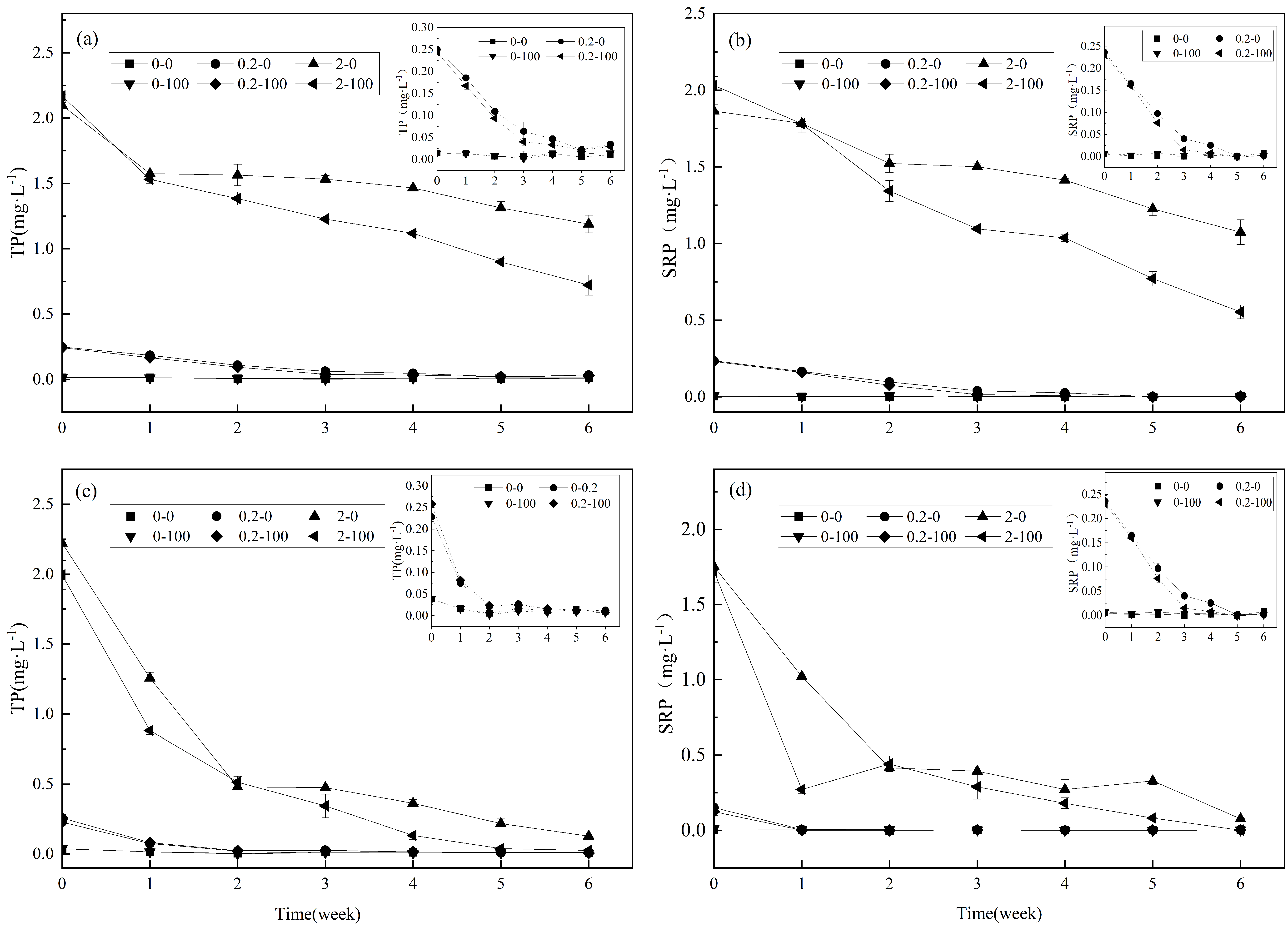
The concentrations of TP and SRP in the overlying water of P. crispus plants treated with 0.2 and 2 mg L−1 phosphorus decreased significantly. Compared with that in the 2-0 group, the TP concentration decreased more in the 2-100 group (p < 0.05). The TP levels in the 2-0 and 2-100 treatment groups decreased by 43.33% and 73.03%, and those in the 0.2-0 and 0.2-100 groups decreased by 86.4% and 88.11%, respectively (Figure 2a). In the 2-0 and 2-100 groups, the SRP concentration decreased by 42.47% and 72.09%, and that in the 0.2-0 and 0.2-100 groups decreased by 99.28% and 98.83%, respectively (Figure 2b).
On the third week, the phosphorus concentration in the water overlying the C. demersum plants treated with 0.2 and 2 mg L−1 phosphorus decreased significantly. Compared with that in the 2-0 group, the reduction in the TP concentration in the 2-100 group was greater (p < 0.05). In the 2-0 and 2-100 treatment groups, the TP concentration decreased by 94.14% and 98.69%, and, in the 0.2-0 and 0.2-100 groups, TP concentration decreased by 94.30% and 96.92%, respectively (Figure 2c).
The SRP content of the 2-0 and 2-100 treatment groups decreased by 95.43% and 99.88%, while the SRP in the 0.2-0 and 0.2-100 groups decreased by 97.37% and 97.61%, respectively (Figure 2d). When the phosphorus level was 2.0 mg L−1, the decreases in TP and SRP in the water overlying C. demersum were significantly greater than those in the water overlying P. crispus.

3.2. Changes in Ash Phosphorus Composition

Plant total ash phosphorus (TAP) is composed of H2O-P, NaOH-P, and HCl-P. RM-ANOVA showed that the H2O-P, NaOH-P, HCl-P, and TAP in the two submerged species were significantly affected by phosphorus concentration, calcium addition, and time. Among the factors, phosphorus concentration had the greatest impact on the TAP of P. crispus (67.54%), while the TAP of C. demersum was affected mainly by phosphorus concentration (45.16%) and time (34.11%) (Table 1). The TAP content of P. crispus was the highest in the 2-100 treatment group among the four samples (Figure 3a), except for that in the sixth week, and the TAP content in C. demersum was the highest in the 2-0 treatment group (Figure 3b).
In the third and fourth weeks, the 2-0 group exhibited the highest levels of H2O-P and NaOH-P for P. crispus, while the 2-100 group had the highest content of HCl-P. During the fifth week, the 2-0 group exhibited the highest concentration of HCl-P, whereas the 2-100 group had the highest level of H2O-P and NaOH-P. During the sixth week, the 2-100 group exhibited the highest levels of H2O-P, NaOH-P, and HCl-P, as shown in Figure 3a.
At the initial sampling time (i.e., the third week), the 2-0 group exhibited the highest H2O-P content for C. demersum, while the 0.2-100 group had the highest NaOH-P and HCl-P contents. During the fourth week, the 0-100 group exhibited the highest levels of H2O-P and NaOH-P, while the 2-100 group had the highest concentration of HCl-P. In the fifth week, the 2-100 group exhibited the highest levels of H2O-P, NaOH, and HCl-P. In the sixth week, the 2-100 group exhibited the highest levels of H2O-P and HCl-P, whereas the 2-0 group had the highest levels of NaOH-P (Figure 3b).
For P. crispus, phosphorus concentration had the greatest impact on the NaOH-P content (55.36%); phosphorus concentration influenced the H2O-P and HCl-P contents (H2O-P 30.73%, HCl-P 36.10%); and time played a significant role in the variations in H2O-P (39.91%) and HCl-P (48.31%). Time had the greatest impact on the NaOH-P content in C. demersum (80.07%), whereas phosphorus concentration influenced the H2O-P (54.29%) and HCl-P (67.87%) contents (Table 1).

3.3. Changes in the Phosphorus Concentration in the Sediments

The concentrations of STP and its fractions were significantly affected by phosphorus, calcium, and time. A repeated measures analysis of variance showed that the phosphorus concentration had the greatest effect on the STP content (56.03%) and SIP content (49.77%), while time had the greatest effect on the SOP content (28.72%) with P. crispus. In the classification of IP, phosphorus concentration had the greatest influence on Fe/Al-P (43.55%) and SCa-P (27.91%). The STP content (71.98%), SIP content (32.14%), and SOP content (87.32%) of C. demersum were most affected by time. Among the SIP classifications, Fe/Al-P (58.19%) was most affected by time (Table 2).
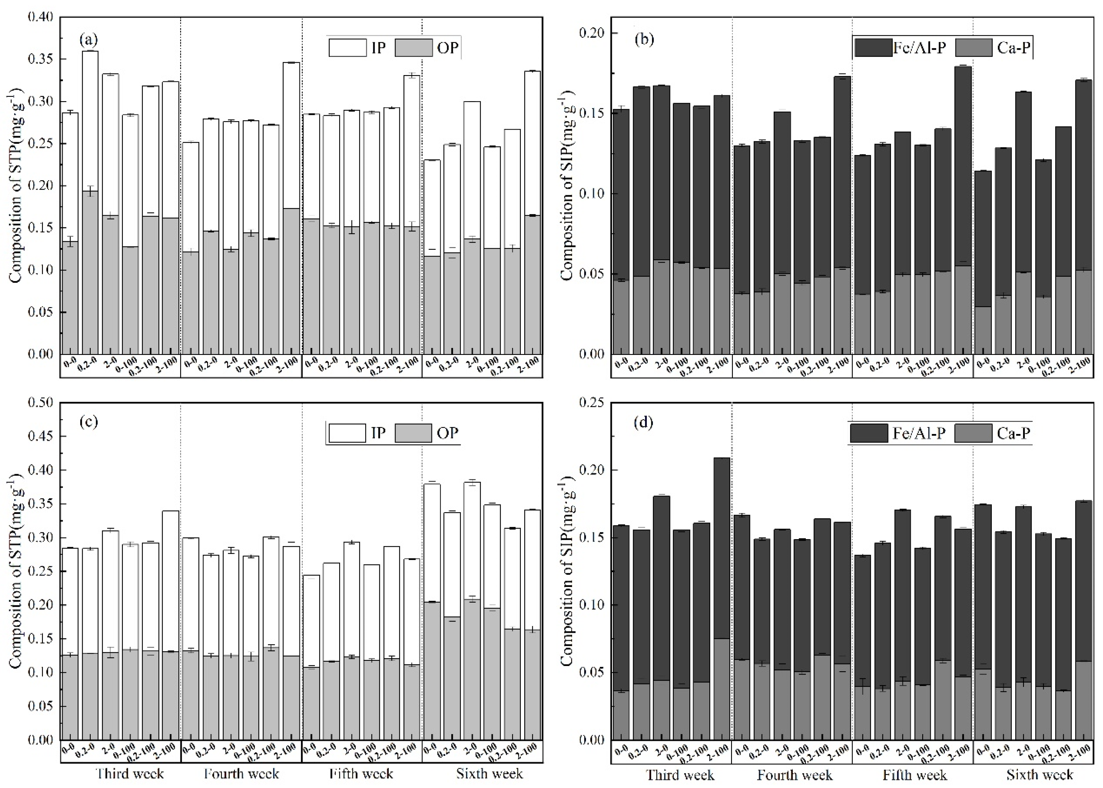
For the STP, with P. crispus, the highest value was in the 0.2-0 treatment group in the third week, while the highest value was in the 2-100 treatment group in the latter three weeks. In the third week, the SIP was the highest in the 2-0 group, and the OP was the highest in the 0.2-0 group. In the fourth week, the SIP and SOP were highest in the 2-100 groups. In the fifth week, the SIP was the highest in the 2-100 group, and the SOP was the highest in the 0-0 group. In the sixth week, the SIP and SOP were the highest in the 2-100 group (Figure 4a).
The majority of the inorganic phosphorus was attributed to Fe/Al-P, which was significantly greater than that in SCa-P (P < 0.05). In the third week, the 0.2-0 group exhibited the highest Fe/Al-P levels, whereas the 2-0 group exhibited the highest SCa-P levels. In the latter two weeks, the 2-0 group exhibited the highest Fe/Al-P and SCa-P levels. The 2-100 group exhibited the highest Fe/Al-P and SCa-P levels in the sixth week (Figure 4b).
For the STP, with C. demersum, the highest value was in the 2-100 group in the third week; one week later, the STP was the highest in the 0.2-0 group. In the fifth and sixth weeks, the STP was the highest in the 2-0 group. In the third week, the SIP was the highest in the 2-100 group, and the SOP was the highest in the 0-100 group. One week later, the SIP was the highest in the 0-0 group, and the SOP was the highest in the 0.2-100 group. Two weeks later, the SIP and SOP were the highest in the 2-0 group. In the sixth week, the SIP was the highest in the 2-100 group, and the SOP was the highest in the 2-0 group (Figure 4c). The main portion of inorganic phosphorus was attributed to Fe/Al-P, which exhibited higher values than SCa-P (P < 0.05). In the third week, the 2-100 group exhibited the highest levels of Fe/Al-P and SCa-P. Two weeks later, the 2-0 group exhibited the highest levels of Fe/Al-P, while the SCa-P was the highest in the 0.2-100 group. In the sixth week, the Fe/Al-P compound exhibited the highest levels in the 2-0 group, while the SCa-P was the highest in the 2-100 group (Figure 4d).

4. Discussion

4.1. Variations in TP and SRP in the Overlying Water

As an important component of lake ecosystems, submerged plants serve as the key interface of lake ecosystems and play an important role in regulating productivity, materials’ circulation, and energy flow in lake ecosystems [8]. Numerous studies have demonstrated that, during the growing season, submerged plants can effectively reduce the TP and SRP in water [21,30,31,32]. In our study, both P. crispus and C. demersum effectively reduced the TP (p < 0.05) and SRP (p < 0.05) in the overlying water, with C. demersum showing a greater impact on reducing the SRP and the TP than P. crispus (Figure 2). The removal rate of phosphorus from water varies among different submerged plants due to variations in the demand, absorption, and utilization of phosphorus in the plants [33]. In the East Lake area, under simulated spring and autumn conditions, C. demersum was more effective in phosphorus’ removal from water than P. crispus [11,25]. One possible reason is that C. demersum lacks real roots and has a high specific surface area; as a result, it has a greater capacity to extract nutrients from the water column [11,25,34]. Moreover, the presence of Ca2+ further intensified the decreases in both the TP and SRP at two different P levels (0.2 mg L−1 and 2 mg L−1) for both submerged species (Figure 2). An explanation for this phenomenon could be the increase in a water body’s pH caused by plant photosynthesis, which leads to the coprecipitation of calcium and phosphorus. This was further evidenced by the lower SRP in the water body (Figure 2), because the phosphorus bound by calcium and phosphorus coprecipitation is usually in the SRP form [15]. For P. crispus, the higher HCl-P content found at high Ca2+ concentrations and the SEM images of the precipitates on the surface of P. crispus confirmed the coprecipitation of carbonate and phosphorus (Figure 3a and Figure 5b). When a certain amount of exchangeable calcium was added to the sediment with P. crispus, plants could effectively remove the phosphorus in the water through the coprecipitation of CaCO3-P [21].

4.2. Composition and Variation in Ash Phosphorus

Submerged plants exhibit high absorption rates of nutrients. When they are dominant among a lake’s primary producers, they can effectively accumulate phosphorus in the water [35,36]. Based on reports by Chen and Wang [14], in the present study, plant total ash phosphorus (TAP) was divided into three components: H2O-P, NaOH-P, and HCl-P. Among them, H2O-P was used to characterize the adsorption of the phosphorus in the water by plants. After the death of submerged plants, as a result of reversible adsorption reactions, H2O-P re-enters a water body in the form of soluble phosphorus and is directly utilized by other aquatic organisms [12,13], while NaOH-P becomes soluble inorganic phosphorus through microbial decomposition [37,38]. This could explain the sharp increase in water phosphorus content after a decline in submerged vegetation [6,8]. Compared with H2O-P and NaOH-P, HCl-P is not easily dissolved or adsorbed under normal circumstances, and phosphorus is difficult for organisms to dissolve and adsorb. After plant death, this phosphorus undergoes a series of migrations and transformations and is ultimately buried in the sediments in a stable form; this phosphorus is completely removed from the lake water’s phosphorus pool.
In the present study, phosphorus concentration had the greatest impact on the TAP of P. crispus and C. demersum (Table 1), and a greater TAP was found in the high-P group (2-0 or 2-100) (Figure 3). This indicates that both P. crispus and C. demersum strongly enriched the phosphorus in the water during the growth stage. The results for TP and SRP are shown in Figure 2. Similar results were reported in other studies [7,11,14,32]. However, P. crispus had a greater TAP than C. demersum (p < 0.05) (Figure 3a,b). This suggested that the enrichment capacity of P. crispus for phosphorus as determined by the ash phosphorus content was better than that of C. demersum. These findings aligned with the outcomes of Chen and Wang [14]’s study. For P. crispus, at a high calcium level (100 mg L−1), the TAP increased significantly with increasing phosphorus concentrations, and the highest value was observed in the 2-100 treatment group at the four sampling times (Figure 3a). Clearly, the change in TAP with the phosphorus concentration, at low Ca2+ concentrations, was different from that at high Ca2+ levels. This suggested that additional Ca2+ increased the TAP of P. crispus. For C. demersum, a greater TAP was found in the 2-100 group (in the third, fourth, and fifth weeks) (Figure 3b) or 2-0 group (in the sixth week). The two species exhibited different responses to additional Ca2+ in the TAP.
Specifically, the composition of TAP, i.e., H2O-P, NaOH-P, and HCl-P, varied significantly with P, Ca2+, and time (Figure 3, Table 1). However, the effects of P, Ca2+, and time on the three components of TAP differed, and there were specific differences. The NaOH-P content of P. crispus was most affected by the phosphorus concentration (55.36%), while the NaOH-P content in C. demersum was most affected by time (80.07%). For P. crispus, the HCl-P content was affected by the phosphorus concentration (36.10%) and increased slightly with time (Figure 3a, Table 1). In the sixth week, a higher HCl-P content was found at high Ca2+ levels. This indicated that more calcium phosphorus (CaCO3-P) was enriched in P. crispus with the addition of Ca2+. The same results have been proven by Chen and Wang [14]. According to Liu et al. [23], the precipitates on the surface of P. crispus were carbonate-containing hydroxylapatite. The difference in the SEM images of the precipitates on the surface of the two species (Figure 5) confirmed the specific differences in calcium and phosphorus coprecipitation.

4.3. Composition and Variation in Phosphorus in Sediments

Currently, the predominant technique employed for sediment analysis is the sequential extraction method, which is focused on determining the various forms of phosphorus. In this study, the different types of phosphorus in the sediments were examined using SMT, which was established by The European Standardization Committee as a benchmark for analyzing phosphorus forms in shallow lake sediments [29]. The SMT method demonstrated that inorganic phosphorus is the primary constituent of TP in the sediments of lakes within the Yangtze River Basin [39].
The presence of submerged macrophytes can impact changes in the different types of phosphorus present in sediments; macrophytes achieve this by controlling the redox potential at the interface between sediment and water through the absorption of phosphorus by roots, as well as by the release of oxygen and the secretion of secondary metabolites from roots [40,41,42]. In previous studies, submerged plants were shown to have different effects on different pools [43] and significantly affect the Fe/Al-P forms of inorganic phosphorus [44].
In the presence of oxygen, surface sediments sequester phosphorus through powerful binding by iron oxides. Conversely, in the absence of oxygen, a breakdown in iron oxides results in the liberation of phosphorus and ferrous ions into the water-filled spaces between sediment particles, which subsequently move upward into the water column [45]. As a labile inorganic P fraction of soil inorganic phosphorus, Fe/Al-P is usually more susceptible to environmental changes [46]. For example, the redox potential alters the migration and transformation of phosphorus between overlying water and sediments by altering the mutual transformation reactions of reduced Fe2+ and oxidized Fe3+ [47]. Many studies have shown that the reduction of iron oxides containing phosphorus is a primary process for the liberation of phosphorus in sediments [48,49,50]. In the present study, Fe/Al-P was found to be highest at high P levels (2-0 or 2-100 group) for sediments with P. crispus at each sampling point, except for the first sampling point (the third week), when the Fe/Al-P content was found to be the highest in the 0.2-0 group (Figure 4). This may have occurred because the fine clay particles present in sediments can adsorb phosphate from overlying water [51]. The decrease in TP and SRP (Figure 2) confirmed this phenomenon. The oxidation of Fe2+ in sediments occurs mainly by the release of oxygen from the roots of submerged plants and usually affects the sediments near the roots of submerged plants [40]. These newly generated Fe3+ oxides in the sediments provide additional adsorption sites for unstable P and further increase the concentration of P bound to Fe3+ oxides, which decreases the concentration of unstable P in the sediments [49]. According to our results, in the presence of P. crispus, the Fe/Al-P concentration was mainly affected by the P content (43.55%), while, with C. demersum, it was mainly affected by time (30.7%) (Table 2). Some possible reasons for the differences between the two species may be that P. crispus has greater root porosity and radial oxygen secretion capacity [42,52], the Fe3+ oxides in the sediments with P. crispus are stable, and P rerelease into overlying water is inhibited.
Typically, phosphorus is a trace component in overlying water, whereas carbonate is consistently present. Phosphorus and CO32− compete for Ca2+ [53,54,55,56]. Therefore, CaCO3-P coprecipitation requires appropriate temperature, pH, and Ca/P ratio conditions [15,19,21]. In the present study, with P. crispus, P had the greatest influence on the Ca-P concentration (27.91%) in the sediments. With the addition of Ca2+, the highest SCa-P was found in the 2-100 treatment group (Figure 4b, Table 2). This may have occurred because of the following reason: when exogenous phosphorus enters overlying water, more inorganic phosphorus is adsorbed by CaCO3 crystals to form calcium–phosphorus coprecipitates. Some of these precipitates remain on the surface of plant leaves ([21]; Figure 5b), as shown by the Ca-P in plant ash (Figure 3a), and some settle on the surface of the sediments, as shown by SCa-P (Figure 4b).
In contrast to the SCa-P content in the presence of P. crispus, SCa-P with C. demersum had significant time-dependent properties but was not influenced by P (Table 2). A variation with time was mainly observed in the SCa-P content in the high-phosphorus treatment group (2 mg L−1), which was greater than that in the two low-phosphorus treatment groups (0 and 0.2 mg L−1) and increased with time (Figure 4d). Because of its undeveloped roots, C. demersum tends to adsorb phosphorus from water rather than from the sediments [34]. This could partly explain the small change in SCa-P in the two low-phosphorus groups (0 and 0.2 mg L−1). As mentioned above, the increase in Ca-P in the C. demersum high-P group (Figure 3b) could partly explain the greater SCa-P in the high-P group (Figure 4d). In other words, for C. demersum, elevated Ca-P in plant ash resulted in greater SCa-P.
The majority of phosphorus (P) in sediments is organic phosphorus (OP), which plays a crucial role in the biogeochemical cycling of P in numerous lakes [57] because most OP can be hydrolyzed into bioavailable P and taken up by organisms (including phytoplankton and submerged plants) [58]. The process by which OP is adsorbed into sediments is comparable to the process of inorganic P adsorption into sediments [59]. Typically, changes in OP are influenced mainly by the death of phytoplankton or aquatic macrophytes and organic matter degradation (remineralization) (e.g., [60,61]). For both species, the OP significantly varied with time (Figure 4a, Table 2). Specifically, the OP associated with C. demersum changed little in the third, fourth, and fifth weeks. This difference might indicate the slow mineralization of microorganisms during the growth period of submerged macrophytes [62]. Similarly, the variation in OP with P. crispus over time suggested that the mineralization rate differed because of differences in the rhizosphere oxygen secretion capacity of the two species, as discussed above. For the sixth week, the increase in OP might be ascribed to the abscission of linear leaves of C. demersum as the decomposition of plant residues increases the proportion of OP [6].
In this particular investigation, both P. crispus and C. demersum had notable impacts on the STP and its corresponding portions (Figure 4). In the third week, the STP content was greater in the 0.2-0 group for P. crispus than in the 2-0 group for C. demersum (Figure 4a,c). Considering the distribution of phosphorus in the overlying water, plants, and sediment, the phosphorus added in this study had three destinations: it could remain in the overlying water, be adsorbed into and or be absorbed by plants, or settle on the sediments. Therefore, the lower STP observed in the 2-0 group for P. crispus suggests that more phosphorus remained in the overlying water (Figure 2a,b) and was taken up by plants (Figure 3a). The differences in STP may further indicate that the two plant species had different effects on the phosphorus cycle.
With time, the STP of P. crispus decreased (Figure 4a), while the TAP of P. crispus slightly increased (Figure 3a), except for the 2-100 group. Moreover, except for those in the 2-100 group, the TP and SRP in the overlying water varied very little. This may indicate that, in these treatments, the P. crispus plants absorbed and utilized phosphorus from the sediment. In the 2-100 group, the TP and SRP decreased with time (Figure 2a,b). A greater STP was found in these groups than in the other groups. This can be ascribed to the coprecipitation of carbonate and phosphorus, as mentioned above.
Overall, when exogenous phosphorus and calcium enter the responses in STP and its composition with P. crispus to the addition of phosphorus and calcium in water differ from those of C. demersum. Generally, C. demersum plants are more inclined to use inorganic phosphorus in overlying water due to their undeveloped roots, while P. crispus can simultaneously use phosphorus in the overlying water and sediments. This difference might lead to differences in the effects of exogenous phosphorus on the phosphorus fractions in sediments containing different submerged species.
During the experiment, the concentrations of TP and SRP in water overlying the two plant species decreased significantly, and the reduction increased after the addition of calcium ions. The decreases in TP and SRP in water overlying C. demersum were greater than those in water overlying P. crispus. Compared with C. demersum, P. crispus was more strongly enriched in phosphorus during the experiment. The Ca-P concentration in the ash phosphorus of P. crispus gradually increased over time, reaching its peak in the high-phosphorus and high-calcium groups (2-100). Because of their different abilities to induce carbonate and phosphorus coprecipitation, the two submerged species exhibited different responses to phosphorus and calcium addition. Furthermore, due to differences in root development, P. crispus and C. demersum had distinct effects on sediment phosphorus fractions. These findings suggest that, when submerged vegetation is introduced to reduce and stabilize the phosphorus levels in shallow lakes, plant interspecific differences in induced calcium and phosphorus coprecipitation on water and phosphorus cycling must be fully assessed.

5. Conclusions

(1)
During the experiment, the decrease in TP and SRP in overlying water with C. demersum was higher than that with P. crispus. And, this reduction increased after the addition of calcium ions.
(2)
Compared with C. demersum, P. crispus enriched more phosphorus during the experiment because of its higher abilities to induce carbonate and phosphorus coprecipitation.
(3)
When exogenous phosphorus and calcium are added, two submerged species show differentiated responses and effects on sediment phosphorus fractions.

Author Contributions

Conceptualization and Validation, H.W.; Data curation, R.Z.; Formal analysis, K.C.; Writing—Original Draft, H.W. and R.Z.; Writing—Reviewing and Editing, H.W., R.Z., K.C. and R.H.; Investigation and Project administration, Q.C.; Funding acquisition, H.W. All authors have read and agreed to the published version of the manuscript.

Funding

The researchers were granted funding from the National Natural Science Foundation of China (No 32170383) and the International Collaborative Research Fund for Young Scholars in the Innovation Demonstration Base of Ecological Environment Geotechnical and Ecological Restoration of River and Lakes. The authors express their gratitude for the support they received.

Institutional Review Board Statement

Not applicable.

Informed Consent Statement

Not applicable.

Data Availability Statement

The data presented in this study are available on request from the corresponding author. The data are not publicly available due to privacy restriction.

Conflicts of Interest

The authors declare no conflicts of interest.

References

  1. Feng, T.; Wang, C.; Wang, P.; Qian, J.; Wang, X. How physiological and physical processes contribute to the phenology of cyanobacterial blooms in large shallow lakes: A new Euler-Lagrangian coupled model. Water Res. 2018, 140, 34–43. [Google Scholar] [CrossRef]
  2. Conley, D.J.; Paerl, H.W.; Howarth, R.W.; Boesch, D.F.; Seitzinger, S.P.; Havens, K.E.; Lancelot, C.; Likens, G.E. Controlling eutrophication: Nitrogen and phosphorus. Science 2009, 323, 1014–1015. [Google Scholar] [CrossRef] [PubMed]
  3. Withers, P.J.A.; Jarvie, H.P. Delivery and cycling of phosphorus in rivers: A review. Sci. Total Environ. 2008, 400, 379–395. [Google Scholar] [CrossRef] [PubMed]
  4. Pu, J.; Ni, Z.; Wang, S. Characteristics of bioavailable phosphorus in sediment and potential environmental risks in Poyang Lake: The largest freshwater lake in China. Ecol. Indic. 2020, 115, 106409. [Google Scholar] [CrossRef]
  5. Zhang, J.-Z.; Huang, X.-L. Relative importance of solid-phase phosphorus and iron on the sorption behavior of sediments. Environ. Sci. Technol. 2007, 41, 2789–2795. [Google Scholar] [CrossRef]
  6. Wang, L.; Wu, X.; Song, H.; An, J.; Dong, B.; Wu, Y.; Wang, Y.; Li, B.; Liu, Q.; Yu, W. Influence of Potamogeton crispus harvesting on phosphorus composition of Lake Yimeng. Sci. Rep. 2022, 12, 17616. [Google Scholar] [CrossRef]
  7. Dai, Y.; Jia, C.; Liang, W.; Hu, S.; Wu, Z. Effects of the submerged macrophyte Ceratophyllum demersum L. on restoration of a eutrophic waterbody and its optimal coverage. Ecol. Eng. 2012, 40, 113–116. [Google Scholar] [CrossRef]
  8. Wang, C.; Liu, Z.; Zhang, Y.; Liu, B.; Zhou, Q.; Zeng, L.; He, F.; Wu, Z. Synergistic removal effect of P in sediment of all fractions by combining the modified bentonite granules and submerged macrophyte. Sci. Total Environ. 2018, 626, 458–467. [Google Scholar] [CrossRef] [PubMed]
  9. Li, Y.; Wang, L.; Chao, C.; Yu, H.; Yu, D.; Liu, C. Submerged macrophytes successfully restored a subtropical aquacultural lake by controlling its internal phosphorus loading. Environ. Pollut. 2021, 268, 115949. [Google Scholar] [CrossRef]
  10. Siong, K.; Asaeda, T. Does calcite encrustation in Chara provide a phosphorus nutrient sink? J. Environ. Qual. 2006, 35, 490–494. [Google Scholar] [CrossRef]
  11. Gao, J.; Xiong, Z.; Zhang, J.; Zhang, W.; Mba, F.O. Phosphorus removal from water of eutrophic Lake Donghu by five submerged macrophytes. Desalination 2009, 242, 193–204. [Google Scholar] [CrossRef]
  12. Kufel, L.; Biardzka, E.; Strzałek, M. Calcium carbonate incrustation and phosphorus fractions in five charophyte species. Aquat. Bot. 2013, 109, 54–57. [Google Scholar] [CrossRef]
  13. Kufel, L.; Strzałek, M.; Biardzka, E. Site-and species-specific contribution of charophytes to calcium and phosphorus cycling in lakes. Hydrobiologia 2016, 767, 185–195. [Google Scholar] [CrossRef]
  14. Chen, Q.; Wang, H.Y. Effect of calcium addition on phosphorus enrichment capacity of two submerged plants (Potamogeton crispus L. and Ceratophyllum demersum L.) in water bodies. J. Lake Sci. 2020, 32, 406–416. [Google Scholar] [CrossRef]
  15. Danen-Louwerse, H.J.; Lijklema, L.; Coenraats, M. Coprecipitation of phosphate with calcium carbonate in Lake Veluwe. Water Res. 1995, 29, 1781–1785. [Google Scholar] [CrossRef]
  16. House, W.; Casey, H.; Donaldson, L.; Smith, S. Factors affecting the coprecipitation of inorganic phosphate with calcite in hardwaters—I Laboratory studies. Water Res. 1986, 20, 917–922. [Google Scholar] [CrossRef]
  17. Dittrich, M.; Koschel, R. Interactions between calcite precipitation (natural and artificial) and phosphorus cycle in the hardwater lake. Hydrobiologia 2002, 469, 49–57. [Google Scholar] [CrossRef]
  18. Wang, H.; Ni, L.; Yu, D. Significance of HCO3-alkalinity in calcification and utilization of dissolved inorganic carbon in Chara vulgaris. Aquat. Biol. 2017, 26, 169–178. [Google Scholar] [CrossRef][Green Version]
  19. Sand-Jensen, K.; Martinsen, K.T.; Jakobsen, A.L.; Sø, J.S.; Madsen-Østerbye, M.; Kjaer, J.E.; Kristensen, E.; Kragh, T. Large pools and fluxes of carbon, calcium and phosphorus in dense charophyte stands in ponds. Sci. Total Environ. 2021, 765, 142792. [Google Scholar] [CrossRef]
  20. Li, W.; Zhong, J.; Liu, J.; Dai, T.; Curtis, J. Allocation of phosphorus (P) into biomass and calcite encrustation in Chara at high and low P availability. Aquat. Sci. 2023, 85, 36. [Google Scholar] [CrossRef]
  21. Wang, L.; Song, H.; Wu, X.; An, J.; Wu, Y.; Wang, Y.; Li, B.; Liu, Q.; Dong, B. Relationship between the coprecipitation of phosphorus-on-calcite by submerged macrophytes and the phosphorus cycle in water. J. Environ. Manag. 2022, 314, 115110. [Google Scholar] [CrossRef] [PubMed]
  22. Shilla, D.; Dativa, J. Biomass dynamics of charophyte-dominated submerged macrophyte communities in Myall Lake, NSW, Australia. Chem. Ecol. 2008, 24, 367–377. [Google Scholar] [CrossRef]
  23. Liu, G.; Guo, W.; Yuan, S.; Zhu, H.; Yang, T.; Zhou, Y.; Zhu, D. Occurrence and characterization of CaCO3- coprecipitation on the leaf surface of Potamogeton crispus in water. Environ. Sci. Pollut. Res. 2016, 23, 23308–23315. [Google Scholar] [CrossRef] [PubMed]
  24. Xie, D.; Yu, D. Turion production and nutrient reserves in Potamogeton crispus are influenced by sediment nutrient level. Aquat. Biol. 2011, 14, 21–28. [Google Scholar] [CrossRef][Green Version]
  25. Dai, Y.; Tang, H.; Chang, J.; Wu, Z.; Liang, W. What’s better, Ceratophyllum demersum L. or Myriophyllum verticillatum L., individual or combined? Ecol. Eng. 2014, 70, 397–401. [Google Scholar] [CrossRef]
  26. Jin, H.; Chen, K.; Wang, H.Y. Distinguished responses of curled pondweed (Potamogeton crispus L.) and hornwort (Ceratophyllum demersum L.) to NH4-N stress under elevated HCO3 conditions. Appl Ecol. Environ. Res. 2022, 20, 4737–4748. [Google Scholar] [CrossRef]
  27. GB11893-89; Water Quality—Determination of Total Phosphorus-Ammonium Molybdate Spectrophotometric Method. Ministry of Environmental Protection of the People’s Republic of China: Beijing, China, 1989.
  28. Ruban, V.; López-Sánchez, J.; Pardo, P.; Rauret, G.; Muntau, H.; Quevauviller, P. Selection and evaluation of sequential extraction procedures for the determination of phosphorus forms in lake sediment. Environ. Monit. 1999, 1, 51–56. [Google Scholar] [CrossRef] [PubMed]
  29. Ruban, V.; López-Sánchez, J.; Pardo, P.; Rauret, G.; Muntau, H.; Quevauviller, P. Development of a harmonised phosphorus extraction procedure and certification of a sediment reference material. J. Environ. Monit. 2001, 3, 121–125. [Google Scholar] [CrossRef] [PubMed]
  30. Ding, S.; He, J.; Liu, Y.; Jiao, L.; Zhao, H.; Cheng, Y. The adsorption-release behavior of sediment phosphorus in a typical “grass-algae” coexisting lake and its influence mechanism during the transition sensitive period. Chemosphere 2022, 307, 135903. [Google Scholar] [CrossRef] [PubMed]
  31. Yin, H.; Zhang, M.; Yin, P.; Li, J. Characterization of internal phosphorus loading in the sediment of a large eutrophic lake (Lake Taihu, China). Water Res. 2022, 225, 119125. [Google Scholar] [CrossRef]
  32. Wang, L.; Wu, X.; Song, H.; An, J.; Wu, Y.; Wang, Y.; Li, B.; Liu, Q.; Dong, B.; Yu, W. Effect of environmental factors on phosphorus transformation during the growth of submerged macrophytes. SN Appl. Sci. 2023, 5, 111. [Google Scholar] [CrossRef]
  33. Rao, Q.; Su, H.; Ruan, L.; Xia, W.; Deng, X.; Wang, L.; Xu, P.; Shen, H.; Chen, J.; Xie, P. Phosphorus enrichment affects trait network topologies and the growth of submerged macrophytes. Environ. Pollut. 2022, 292, 118331. [Google Scholar] [CrossRef]
  34. Lombardo, P.; Cooke, G.D. Ceratophyllum demersum–phosphorus interactions in nutrient enriched aquaria. Hydrobiologia 2003, 497, 79–90. [Google Scholar] [CrossRef]
  35. Wetzel, R.G. Marl encrustation on hydrophytes in several Michigan lakes. Oikos 1960, 11, 223–236. [Google Scholar] [CrossRef]
  36. Scheffer, M. Multiplicity of stable states in freshwater systems. Hydrobiologia 1994, 200, 475–486. [Google Scholar] [CrossRef]
  37. Drizo, A.; Comeau, Y.; Forget, C.; Chapuis, R.P. Phosphorus saturation potential: A parameter for estimating the longevity of constructed wetland systems. Environ. Sci. Technol. 2002, 36, 4642–4648. [Google Scholar] [CrossRef] [PubMed]
  38. Maurer, M.; Abramovich, D.; Siegrist, H.; Gujer, W. Kinetics of biologically induced phosphorus precipitation in waste-water treatment. Water Res. 1999, 33, 484–493. [Google Scholar] [CrossRef]
  39. Wang, S.; Jin, X.; Pang, Y.; Zhao, H.; Zhou, X.; Wu, F. Phosphorus fractions and phosphate sorption characteristics in relation to the sediment compositions of shallow lakes in the middle and lower reaches of Yangtze River region, China. J. Colloid Interface Sci. 2005, 289, 339–346. [Google Scholar] [CrossRef]
  40. Han, C.; Ren, J.; Wang, Z.; Yang, S.; Ke, F.; Xu, D.; Xie, X. Characterization of phosphorus availability in response to radial oxygen losses in the rhizosphere of Vallisneria spiralis. Chemosphere 2018, 208, 740–748. [Google Scholar] [CrossRef] [PubMed]
  41. Wu, Z.; Wang, S.; Luo, J. Transfer kinetics of phosphorus (P) in macrophyte rhizosphere and phytoremoval performance for lake sediments using DGT technique. J. Hazard. Mater. 2018, 350, 189–200. [Google Scholar] [CrossRef]
  42. Yuan, H.; Cai, Y.; Yang, Z.; Li, Q.; Liu, E.; Yin, H. Phosphorus removal from sediments by Potamogeton crispus: New high-resolution in-situ evidence for rhizosphere assimilation and oxidization-induced retention. J. Environ. Sci. 2021, 109, 181–192. [Google Scholar] [CrossRef]
  43. Horppila, J.; Nurminen, L. Effects of different macrophyte growth forms on sediment and P resuspension in a shallow lake. Hydrobiologia 2005, 545, 167–175. [Google Scholar] [CrossRef]
  44. Liu, Y.; Bai, G.; Zou, Y.; Ding, Z.; Tang, Y.; Wang, R.; Liu, Z.; Zhou, Q.; Wu, Z.; Zhang, Y. Combined remediation mechanism of bentonite and submerged plants on lake sediments by DGT technique. Chemosphere 2022, 298, 134236. [Google Scholar] [CrossRef]
  45. Mortimer, C.H. The exchange of dissolved substances between mud and water in lakes. J. Ecol. 1941, 29, 280–329. [Google Scholar] [CrossRef]
  46. Yao, Y.; Wang, P.; Wang, C.; Hou, J.; Miao, L.; Yuan, Y.; Wang, T.; Liu, C. Assessment of mobilization of labile phosphorus and iron across sediment-water interface in a shallow lake (Hongze) based on in situ high-resolution measurement. Environ. Pollut. 2016, 219, 873–882. [Google Scholar] [CrossRef] [PubMed]
  47. Pu, X.; Cheng, H.; Tysklind, M.; Xie, J.; Lu, L.; Yang, S. Occurrence of water phosphorus at the water-sediment interface of a freshwater shallow lake: Indications of lake chemistry. Ecol. Indic. 2017, 81, 443–452. [Google Scholar] [CrossRef]
  48. Ding, S.; Wang, Y.; Wang, D.; Li, Y.Y.; Gong, M.; Zhang, C. In situ, high-resolution evidence for iron-coupled mobilization of phosphorus in sediments. Sci. Rep. 2016, 6, 24341. [Google Scholar] [CrossRef] [PubMed]
  49. Gao, Y.; Liang, T.; Tian, S.; Wang, L.; Holm, P.E.; Hansen, H.C.B. High-resolution imaging of labile phosphorus and its relationship with iron redox state in lake sediments. Environ. Pollut. 2016, 219, 466–474. [Google Scholar] [CrossRef] [PubMed]
  50. Yuan, H.; Tai, Z.; Li, Q.; Liu, E. In-situ, high-resolution evidence from water-sediment interface for significant role of iron bound phosphorus in eutrophic lake. Sci. Total Environ. 2020, 706, 136040. [Google Scholar] [CrossRef] [PubMed]
  51. Vymazal, J. Removal of nutrients in various types of constructed wetlands. Sci. Total Environ. 2007, 380, 48–65. [Google Scholar] [CrossRef]
  52. Lemoine, D.G.; Mermillod-Blondin, F.; Barrat-Segretain, M.-H.; Massé, C.; Malet, E. The ability of aquatic macrophytes to increase root porosity and radial oxygen loss determines their resistance to sediment anoxia. Aquat. Ecol. 2012, 46, 191–200. [Google Scholar] [CrossRef]
  53. House, W.A. Inhibition of calcite crystal growth by inorganic phosphate. J. Colloid Interface Sci. 1987, 119, 505–511. [Google Scholar] [CrossRef]
  54. House, W. The prediction of phosphate coprecipitation with calcite in freshwaters. Water Res. 1990, 24, 1017–1023. [Google Scholar] [CrossRef]
  55. Dove, P.M.; Hochella, M.F., Jr. Calcite precipitation mechanisms and inhibition by orthophosphate: In situ observations by Scanning Force Microscopy. Geochim. Cosmochim. Acta 1993, 57, 705–714. [Google Scholar] [CrossRef]
  56. Neal, C. The potential for phosphorus pollution remediation by calcite precipitation in UK freshwaters. Hydrol. Earth Syst. Sci. 2001, 5, 119–131. [Google Scholar] [CrossRef]
  57. Ding, S.; Han, C.; Wang, Y.; Yao, L.; Wang, Y.; Xu, D.; Sun, Q.; Williams, P.N.; Zhang, C. In situ, high-resolution imaging of labile phosphorus in sediments of a large eutrophic lake. Water Res. 2015, 74, 100–109. [Google Scholar] [CrossRef] [PubMed]
  58. Ni, Z.; Wang, S.; Cai, J.; Li, H.; Jenkins, A.; Maberly, S.C.; May, L. The potential role of sediment organic phosphorus in algal growth in a low nutrient lake. Environ. Pollut. 2019, 255, 113235. [Google Scholar] [CrossRef]
  59. Worsfold, P.J.; Monbet, P.; Tappin, A.D.; Fitzsimons, M.F.; Stiles, D.A.; McKelvie, I.D. Characterisation and quantification of organic phosphorus and organic nitrogen components in aquatic systems: A review. Anal. Chim. Acta. 2008, 624, 37–58. [Google Scholar] [CrossRef]
  60. Joshi, S.R.; Kukkadapu, R.K.; Burdige, D.J.; Bowden, M.E.; Sparks, D.L.; Jaisi, D.P. Organic matter remineralization predominates phosphorus cycling in the mid-bay sediments in the Chesapeake Bay. Environ. Sci. Technol. 2015, 49, 5887–5896. [Google Scholar] [CrossRef] [PubMed]
  61. Yu, W.; Yang, H.; Chen, J.; Liao, P.; Chen, Q.; Yang, Y.; Liu, Y. Organic phosphorus mineralization dominates the release of internal phosphorus in a macrophyte-dominated eutrophication lake. Environ. Sci. 2022, 9, 747. [Google Scholar] [CrossRef]
  62. Jiang, X.; Jin, X.; Yao, Y.; Li, L.; Wu, F. Effects of biological activity, light, temperature and oxygen on phosphorus release processes at the sediment and water interface of Taihu Lake, China. Water Res. 2008, 42, 2251–2259. [Google Scholar] [CrossRef]
Figure 1. Experimental facilities and design.
Figure 1. Experimental facilities and design.
Sustainability 16 04200 g001
Figure 2. Changes in TP and SRP with time under different concentrations of PO43−-Ca2+ treatment. (a,b) are the TP and SRP of the overlying water with P. crispus, and (c,d) are the TP and SRP of the overlying water with C. demersum (n = 3, t-test, p < 0.05).
Figure 2. Changes in TP and SRP with time under different concentrations of PO43−-Ca2+ treatment. (a,b) are the TP and SRP of the overlying water with P. crispus, and (c,d) are the TP and SRP of the overlying water with C. demersum (n = 3, t-test, p < 0.05).
Sustainability 16 04200 g002
Figure 3. Changes in the total ash phosphorus (TAP) content of P. crispus (a) and C. demersum (b) with time under different concentrations of PO4 3–-Ca2+ treatment (n = 3, t-test, p < 0.05).
Figure 3. Changes in the total ash phosphorus (TAP) content of P. crispus (a) and C. demersum (b) with time under different concentrations of PO4 3–-Ca2+ treatment (n = 3, t-test, p < 0.05).
Sustainability 16 04200 g003
Figure 4. Changes in the soil total phosphorus (STP) and the soil inorganic phosphorus (SIP) with time under different concentrations of PO4 3−-Ca2+ treatment. (a,b) are the STP and SIP with P. crispus, and (c,d) are the STP and SIP with C. demersum (n = 3, t-test, p < 0.05).
Figure 4. Changes in the soil total phosphorus (STP) and the soil inorganic phosphorus (SIP) with time under different concentrations of PO4 3−-Ca2+ treatment. (a,b) are the STP and SIP with P. crispus, and (c,d) are the STP and SIP with C. demersum (n = 3, t-test, p < 0.05).
Sustainability 16 04200 g004
Figure 5. SEM images of the precipitates on the surface of P. crispus (a,b) and C. demersum (c,d) in the 0-0 (no addition of P or Ca2+) and 2-100 (2 mg L−1 P and 100 mg L−1 Ca2+ added) groups.
Figure 5. SEM images of the precipitates on the surface of P. crispus (a,b) and C. demersum (c,d) in the 0-0 (no addition of P or Ca2+) and 2-100 (2 mg L−1 P and 100 mg L−1 Ca2+ added) groups.
Sustainability 16 04200 g005
Table 1. Percentage of explained variance based on a two-way analysis of variance with repeated measures of time, phosphorus, calcium, and their interactions on plant ash phosphorus and its composition.
Table 1. Percentage of explained variance based on a two-way analysis of variance with repeated measures of time, phosphorus, calcium, and their interactions on plant ash phosphorus and its composition.
Plant SpeciesParametersPercentage of Explained Variance
Ca2+PTime (T)Ca2+ × PCa2+ × TP × TCa2+ × P × TError
P. crispusTAP1.16 ***67.54 ***5.17 ***3.39 ***7.31 ***6.42 ***9.00 ***0.01
H2O-P1.12 ***30.73 ***39.91 ***4.09 ***5.21 ***5.91 ***12.94***0.09
NaOH-P0.28 ***55.36 ***13.92 ***4.97 ***6.19 ***7.51 ***11.60 ***0.17
HCl-P3.21 ***36.10 ***48.31 ***0.93 ***4.48 ***3.97 ***2.91 ***0.09
C. demersumTAP3.56 ***45.16 ***34.11 ***1.13 ***4.48 ***7.54 ***4.01 ***0.01
H2O-P0.30 ***54.29 ***24.95 ***0.30 ***10.97 ***3.81 ***5.37 ***0.01
NaOH-P2.27 ***1.79 ***80.07 ***2.84 ***2.60 ***2.22 ***8.20 ***0.01
HCl-P1.01 ***67.87 ***9.96 ***1.53 ***3.67 ***6.94 ***8.93 ***0.09
(***, p < 0.001).
Table 2. Percentage of explained variance based on a two-way analysis of variance with repeated measures of time, phosphorus, calcium, and their interactions on the soil total phosphorus and its composition.
Table 2. Percentage of explained variance based on a two-way analysis of variance with repeated measures of time, phosphorus, calcium, and their interactions on the soil total phosphorus and its composition.
Plant SpeciesParametersPercentage of Explained Variance
Ca2+PTime (T)Ca2+ × PCa2+ × TP × TCa2+ × P × TError
P. crispusSTP10.89 ***56.03 ***14.01 ***4.67 *1.56 **7.78 ***4.67 *0.39
OP1.73 *15.15 ***28.72 *7.96 **11.12 ***26.90 **5.18 *13.2
IP5 **49.77 ***20.32 ***3.97 *5.47 ns11.85 *1.4 ns0.47
SCa-P16.57 ***27.91 ***24.82 ***7.3 ***25 *10.41 **1.8 ns8.69
Fe/Al-P0.3 ***43.55 ***15.53 ***12.88 ***6.31 ns14.18 **6.82 ***0.44
C. demersumSTP0.13 ***5.36 **71.98 ***1.4 *5.86 **9.8 ***4.12 **1.37
OP0.44 ***0.39 ns87.32 ***1.06 *4.13 *3.49 **1.86 *1.32
IP0.37 *32.14 *18.54 ***7.17 ***4.4 *23.08 ***11.89 **2.41
SCa-P6.14 ***9.84 ns22.7 ***13.58 **5.72 ns23.10 *13.70 *5.23
Fe/Al-P2.01 ***22.44 ***58.19 ***3.21 *1.67 ***7.62 ***4.28 ***0.57
(***, p < 0.001; **, p< 0.01; *, p< 0.05; ns: not significant).
Disclaimer/Publisher’s Note: The statements, opinions and data contained in all publications are solely those of the individual author(s) and contributor(s) and not of MDPI and/or the editor(s). MDPI and/or the editor(s) disclaim responsibility for any injury to people or property resulting from any ideas, methods, instructions or products referred to in the content.

Share and Cite

MDPI and ACS Style

Wang, H.; Zhang, R.; Chen, Q.; Chen, K.; Hu, R. Interspecific Differences in the Effects of Calcium and Phosphorus Coprecipitation Induced by Submerged Plants on the Water-to-Phosphorus Cycle. Sustainability 2024, 16, 4200. https://doi.org/10.3390/su16104200

AMA Style

Wang H, Zhang R, Chen Q, Chen K, Hu R. Interspecific Differences in the Effects of Calcium and Phosphorus Coprecipitation Induced by Submerged Plants on the Water-to-Phosphorus Cycle. Sustainability. 2024; 16(10):4200. https://doi.org/10.3390/su16104200

Chicago/Turabian Style

Wang, Heyun, Runlong Zhang, Qi Chen, Kuang Chen, and Rui Hu. 2024. "Interspecific Differences in the Effects of Calcium and Phosphorus Coprecipitation Induced by Submerged Plants on the Water-to-Phosphorus Cycle" Sustainability 16, no. 10: 4200. https://doi.org/10.3390/su16104200

APA Style

Wang, H., Zhang, R., Chen, Q., Chen, K., & Hu, R. (2024). Interspecific Differences in the Effects of Calcium and Phosphorus Coprecipitation Induced by Submerged Plants on the Water-to-Phosphorus Cycle. Sustainability, 16(10), 4200. https://doi.org/10.3390/su16104200

Note that from the first issue of 2016, this journal uses article numbers instead of page numbers. See further details here.

Article Metrics

Back to TopTop