Abstract
With the increasingly serious problem of global climate change, many countries are positively promoting carbon-emission-reduction actions. In order to deeply explore the interaction between enterprises’ carbon-emission reduction and governments’ regulation, this paper builds evolutionary game models between governments and enterprises under the reward-and-punishment mechanism. The peer-incentive mechanism is introduced to incentivize enterprises to reduce carbon emissions and coordinate governments and enterprises. The evolutionary-stability strategies are obtained by solving the evolutionary game models. The stability of equilibrium points under different situations is theoretically and numerically studied. The results show that the existence of peer incentives makes enterprises more inclined to positively reduce carbon emissions and governments more inclined to positively regulate. A sufficiently large peer fund can always encourage enterprises to choose positive carbon-reduction emission strategies, while governments choose positive regulation strategies. Not only the increasing rewards and fines but also lowering regulatory costs will promote carbon-emission-reduction behaviors of enterprises. Peer incentives are more effective in promoting positive emission reduction of enterprises compared with rewards and punishments. This study can provide important guidance for governments to formulate regulatory strategies and for enterprises to formulate emission-reduction strategies.
1. Introduction
In the context of global climate change and environmental degradation, the reduction of carbon emissions by governments and enterprises has become a focus of global attention. According to the BP Statistical Review of World Energy (2023), the carbon dioxide emissions generated in 2022 increased by 0.8% compared to 2021 [1]. Governments attach great importance to sustainable development, and in September 2020, China explicitly proposed a “dual carbon” goal, aiming to peak carbon dioxide emissions by 2030 and achieve carbon neutrality by 2060 [2]. By 2023, more than 130 countries around the world have made carbon-neutral commitments and implemented a series of policies and regulations to promote low-carbon production [3,4,5,6]. As the main source of energy consumption and carbon emission, enterprises play a crucial role in the implementation of emission reduction policies [7]. However, in reality, due to the lack of governmental guidance, the number of enterprises taking the initiative to reduce carbon emissions is small, and many of them have excessive carbon emissions [8]. Therefore, correctly handling the conflict and cooperation between the two main bodies of governments and enterprises on the issue of emission reduction is the key to realizing a low-carbon economy.
As the main driving force of carbon emissions, governments must play a positive role in regulation and leadership and develop appropriate incentives and punishments to more efficiently lead and regulate enterprises to reduce carbon emissions. For incentives, governments can propose some policies on tax reduction, low loan interest, and research and development investment [9]. For example, in the EPAct 2005 of the United States, full credits are available when a manufacturer sells 60,000 qualifying vehicles, such as plug-in electric vehicles, and then the credits begin to decrease [10]. Under the “Energy Independence and Security Act of 2007”, low loans will be provided for automobile manufacturers to develop electric vehicles [11]. In November 2020, the UK government published the “Ten Point Plan for a Green Industrial Revolution”, with commitments focused on driving innovation, generating green jobs, and growth across the country to level up regions of the UK [12]. In addition to incentives, penalties can also be used to discourage enterprises from producing high-emission products. For example, the California state government will impose civil penalties on the manufacturers for non-compliance with reducing high tailpipe emission vehicles [13].
With the continuous development and maturity of game theory, it has been widely applied to the study of carbon-emission reduction in recent years [14,15]. As the main players of the game, governments and enterprises play different roles. Governments represent the main body of social interests, and enterprises represent the main body of individual interests, and both parties aim at maximizing their own interests. The governments’ decisions will affect enterprises’ decisions, and the enterprises’ behavior will also affect the policies formulated by governments to a certain extent [16]. It can be seen that the process of carbon-emission reduction is constantly advancing in the game between governments and enterprises. Due to the mutual influence and restriction between governments and enterprises, it is particularly important to clarify the mechanism of action between the two to effectively achieve carbon emissions.
However, on the one hand, most of the existing literature adopts the traditional game to study carbon-emission-reduction problems of governments and enterprises, but in the actual carbon-emission-reduction process, governments and enterprises often cannot reach a strategic equilibrium in a single game due to limited knowledge constraints, but rather have to reach strategic equilibrium through the continuous repetition of the dynamic game. In this case, it is more realistic to use the evolutionary game model based on the assumption of limited rationality; on the other hand, the current incentives for governments and enterprises are mainly focused on carbon trading, carbon tax, and subsidies, and few studies have considered the impact of peer incentives on carbon-emission reduction.
This paper aims to investigate the interaction between enterprises’ carbon-emission reduction and governments’ regulation under a dynamic environment. The contribution of this study to the existing literature is threefold. Firstly, the peer-incentive mechanism is introduced into the carbon-emission-reduction game between governments and enterprises. Secondly, the evolution laws of governments’ regulatory strategies and enterprises’ carbon-reduction strategies under the reward-and-punishment mechanism are obtained and analyzed. Thirdly, the value of the peer-incentive mechanism and its impact on strategies of governments and enterprises is revealed.
The topics and scenarios considered in this study can be applied to different industries. For example, considering mandatory investments may not be adequate to ensure the effectiveness of emergency management activities in the chemical industry, some chemical companies proactively invest more for their safety considerations (positive investment) while others may neglect safety and under-invest (negative investment) [17]. Correspondingly, the government can employ technology and information systems to enhance regulatory efficiency (positive regulation) or use traditional regulation approaches (negative regulation). Another application example can be found in the e-waste recycling industry [18].
The remainder of this paper is organized as follows. Section 2 is the literature review. Section 3 is the problem description. Section 4 establishes game models of governments and enterprises under the reward-and-punishment mechanism. Section 5 establishes game models of governments and enterprises under the peer-incentive mechanism. Section 6 presents numerical simulations and sensitivity analysis of the relevant parameters. Section 7 summarizes the key results and presents future research.
2. Literature Review
The study on carbon-emission-reduction strategies of enterprises and intervention strategies of governments has received widespread attention. Among the existing literature, three streams of research are relevant to our study, namely, the game on carbon-emission reduction between governments and enterprises, the evolutionary game on carbon-emission reduction between governments and enterprises, and incentives and penalties for enterprises. The following subsections provide an overview of the existing literature and discuss the contributions of our paper.
2.1. Game on Carbon-Emission Reduction between Governments and Enterprises
Carbon-emission reduction involves multiple stakeholders, including enterprises, governments, and consumers, who have different interests and concerns. Game theory is an effective tool that can be used to obtain an equilibrium between the carbon-reduction strategies of enterprises and the intervention strategies of governments.
Hafezalkotob [19] considered the government as the Stackelberg leader player who made financial interventions such as tariffs for various types of products to regulate the price of green and regular products and found that there were specific boundaries for tariffs that guarantee a stable competitive market. Yenipazarli [20] used a Stackelberg game model to investigate the impact of emissions taxes on the optimal production and pricing decisions of a manufacturer who could remanufacture its own product. The author found that imposing a charge on emissions could make it profitable for the manufacturer to introduce a remanufactured product into its product line. Li et al. [21] studied the impact of different carbon-emission regulations on manufacturer’s operational decisions. The authors found that the government should constrain the cap-and-trade policy and encourage the manufacturers to upgrade their purification technology. Zhang et al. [22] investigated the governmental emission-cap regulation and the manufacturer’s production and emission abatement decisions under different supply chain structures. They argued that the government should advocate for the consumer’s preference for low-carbon products. Zhang et al. [23] investigated a regulatory policy design and selection problem for a social-welfare maximizing regulator and considered three regulatory policies including a tax policy, a subsidy policy, and a tax-subsidy policy. They found that the regulatory policies could not always promote remanufacturing. Wang et al. [24] studied the differential game of low-carbon technology innovation among governments, universities, and enterprises under the carbon-trading policy, established the equilibrium between technological innovation effort and environmental management effort, and found that the carbon trading price could significantly affect technological innovation efforts.
2.2. Evolutionary Game on Carbon-Emission Reduction between Governments and Enterprises
In a dynamic environment, carbon-emission-reduction strategies for enterprises and intervention strategies for governments may evolve over time. Therefore, evolutionary game models can be used to forecast the strategic choices and behavioral evolution of participants under varying circumstances.
The choice of government-subsidy strategies and their impact on the carbon-reduction strategies of enterprises have been extensively studied by scholars. Wu et al. [25] built an evolutionary game model of low-carbon strategies between the government and enterprises in the context of a complex network. They found that enterprises’ expectation of government incentives, including subsidy and regulation, determined whether low-carbon strategies can be diffused and the diffusion speed. Wang et al. [18] presented a tripartite evolutionary game model consisting of the government, the recycler, and the consumer of the e-waste recycling industry. They argued that the government should play a leading role in the development of the e-waste recycling industry. In the initial stage, the government should increase the subsidy for the recycler, increase the penalty on unqualified disassembly, and properly control the cost of supervision. Zhang and Zhang [26] developed an evolutionary game model regarding inter-steel enterprises under the government subsidy mechanism to determine the optimal synergistic air-pollution management strategy. They argued that government subsidies and input-output ratios were critical for enterprises to collaborate on air-pollution-control investments. Meng et al. [27] constructed a tripartite evolutionary game model involving the government, port enterprises, and shipping enterprises, and analyzed the evolution of the carbon-emission-reduction strategy. They found that an increase in government subsidies for shipping enterprises would lead to a decrease in the additional costs of positive emission reduction. Shi et al. [28] constructed an evolution game model of a low-carbon technological innovation ecosystem consisting of enterprises, governments, and financial institutions. They found that in the absence of public credibility, the government could expand the subsidy for collaborative innovation of low-carbon technologies of enterprises. Guo et al. [15] constructed a three-party evolutionary game model for the government, manufacturers, and consumers by considering green technology and government subsidies. They found that government subsidies wielded a positive influence on the behavioral strategies of the three entities, motivating manufacturers to invest in green technology and propelling consumers toward the adoption of green products.
The government’s regulatory strategy plays an important role in ensuring carbon-emission reduction in enterprises. Fan et al. [29] studied the supervision strategy of government low-carbon subsidies by establishing evolutionary game models in unsupervision and supervision cases. They found that the optimal strategy for the government to supervise low-carbon subsidies was random supervision of enterprises that declare high subsidies. Zhang et al. [30] developed the models of an evolutionary game between governments and manufacturers and analyzed the impacts of government policy on the decisions of manufacturers and the dynamic tendency of the cap-and-trade market. They argued that a dynamic carbon-trading pricing policy was effective in accelerating carbon reduction. Xu et al. [31] used evolutionary game theory to describe the long-term dynamic game process between suppliers, manufacturers, and the government in terms of green activities and regulation, and the results showed that government regulation can encourage enterprises to adopt green behaviors and should give priority to the implementation of this mechanism for manufacturers. Li et al. [32] constructed a tripartite evolutionary game model to explore the interactive behavior of the government, enterprises, and customers by considering dual supervision under carbon trading. The dynamic of government supervision must be kept within a reasonable range to encourage enterprises to reduce carbon emissions and direct customers to buy low-carbon products.
Carbon reduction in the automotive industry has received special attention. Liu et al. [33] used an evolutionary game model between auto manufacturers and governments to analyze the effects of governmental emission taxations and subsidies on the decision-making of auto manufacturers. The authors argued that a policy of dynamic taxation and static subsidies was more effective on electric vehicle industry development than other policies. Liao and Tian [34] constructed an evolutionary game model to explore interplays between local governments and auto manufacturers by considering carbon-taxation mechanisms and post-subsidies. They found that under the subsidy phase-out scenario, a static carbon tax policy was better than phasing in a carbon tax policy. Zheng et al. [35] investigated the evolutionary strategies and mechanisms of the interaction between new energy vehicle manufacturers and local governments under static and dynamic carbon taxes. They argued that the dynamic carbon-tax mechanism was more favorable for the development of the new energy vehicle industry.
Similar to the above research, evolutionary game models are established in this study to investigate the interaction between the regulatory strategies of governments and the carbon-emission-reduction strategies of enterprises. Peer incentives between enterprises are used to coordinate the behavior of participants and the effects are discussed.
2.3. Incentives and Penalties for Enterprises
In order to encourage enterprises to implement carbon-emission-reduction strategies and consumers to choose low-carbon products, the government can use various intervention strategies including taxation, subsidies, carbon quotas, etc.
Subsidies for enterprises producing low-carbon products and consumers purchasing low-carbon products are effective means for regulators to guide carbon-emission reduction. For example, consumer subsidies are a sufficient mechanism to coordinate the government and the supplier [36]. Government subsidies will encourage manufacturers to invest in carbon-emission-reduction technologies more effectively to achieve the goal of carbon-emission reduction [37]. Correspondingly, Fan et al. [29] argued that the follow-up supervision of government subsidies should be strengthened for a variety of cheat subsidies.
A carbon tax can be seen as a punitive mechanism used by the government to prevent high carbon production by enterprises. For example, the tax level that maximizes social welfare motivates enterprises to select a low-carbon production strategy when the regulator is moderately concerned with environmental impacts [38]. In order to incentivize carbon-emission reduction, carbon taxes and subsidy mechanisms are often combined, such as Krass et al. [39], Mahmoudi and Rasti-Barzoki [40], and Shi et al. [28]. Liao and Tian [34] argued that governments should implement appropriate carbon-tax policies at different phases, supplemented by support policies paying the most attention to vigorously promoting low-carbon consumption or subsidizing low-carbon behaviors. Zhang et al. [23] found that when the subsidy policy is selected, it is superior to the tax policy in improving social welfare and economic benefit but may lead to heavier environmental burdens.
The cap-and-trade mechanism has been used to encourage enterprises to engage in product manufacturing and production to take measures to reduce carbon emissions. The carbon-emission cap and quota should be optimized by the government to encourage the emission-abatement decisions of enterprises, such as Li et al. [21], Li et al. [32], and Lessmann and Kramer [41]. The government also can trade off the static carbon trading price and the dynamic carbon trading price. Zhang et al. [42] found that the carbon tax rate, carbon trade price, and the proportion of paid quota all positively affected the emission reduction activities of enterprises. Drake et al. [43] found that emissions price uncertainty under cap-and-trade leads to greater expected profit than a constant emissions price under an emissions tax. Song et al. [44] argued that under the emission trading scheme, compared with increasing levels of carbon monitoring and non-financial incentives for building owners, intervention measures, including penalties, subsidies, and public scrutiny, were more efficient and important for the government.
In addition, financial instruments have also been introduced as incentives. An [45] said that green credit financing was a type of financial service provided by banks to encourage borrowers to commit to green investment and achieve sustainable development. The government also can provide reasonable green funds or green technologies to encourage enterprises to reduce emissions [46].
This study introduces peer incentives as another policy for government intervention in the carbon-emission-reduction strategies of enterprises. So far, peer incentives have not been seen in the game on carbon-emission reduction [47]. Peer-dependent incentives have been considered an effective incentive for stimulating workers to exert maximum effort [48]. Bandiera [49] studied the impact of team incentives on the average productivity of teams and found that exploiting social connections among workers was beneficial to the firms. Yang [50] presented various peer-dependent incentives deliberately designed to improve employee productivity and found that a prepaid reward combined with any peer-dependent incentive can remarkably raise worker productivity. Table 1 presents the positioning of this study.
Table 1.
Position of this study.
3. Problem Statement
With the increasing prominence of global climate change, carbon-emission reduction has become the core issue of the international community. In this context, as two key players, the interaction and decision-making between governments and enterprises are particularly important. As a representative of the public interest, governments need to formulate effective policies to guide enterprises to reduce carbon emissions. As the main body of economic activities, enterprises need to flexibly adjust their carbon-emission-reduction strategies within the policy framework of governments to adapt to the increasingly severe environmental challenges. Therefore, it is of great significance to study the carbon-emission-reduction game between governments and enterprises to promote the realization of carbon-emission-reduction goals.
In the carbon-emission-reduction game between governments and enterprises, as two different groups, governments and enterprises may adopt different strategic combinations, and their strategy choices will be affected by the behaviors of the other group. In order to understand this relationship more deeply, the evolutionary game model becomes a powerful analytical tool. Different from traditional game models, evolutionary game models pay more attention to the dynamic evolution process of groups rather than just the strategy choices of individual players [51]. This means that it doesn’t just focus on the strategy choices of governments and enterprises at a given moment, but also on how those strategies evolve over time and what stable strategies may eventually form. Therefore, evolutionary game models have certain applicability in the carbon-reduction process of governments and enterprises, which can simulate the real situation, consider group dynamics, analyze the diversity of strategies, and provide a long-term perspective.
Based on the above, this paper constructs evolutionary game models under the reward-and-punishment mechanism to deeply explore the interaction between enterprises’ carbon-emission reduction and governments’ regulation. In order to encourage enterprises to positively reduce carbon emissions and coordinate governments and enterprises, the peer incentive is introduced. By solving the evolutionary game models, the evolutionary stability strategies are obtained and the stability of equilibrium points under different situations is theoretically and numerically discussed. The interactive behavior strategies for the two parties are shown in Figure 1.
Figure 1.
Interactive strategic behavior framework between governments and enterprises.
Based on the above analysis of the game relationship between two parties, we can make the following assumptions:
Assumption 1.
The two parties of the game are the government group and the enterprise group, both of which are limited rational subjects. Considering the long-term nature of carbon-emission reduction and the non-information symmetry between governments and enterprises, the game strategy needs to be constantly and dynamically adjusted as the best decision. The strategy choices of the governments and enterprises will gradually evolve and stabilize into the optimal strategy over time.
There is non-information symmetry between governments and enterprises in the carbon-emission-reduction game. The governments cannot determine with certainty whether enterprises will positively reduce carbon emissions, and enterprises cannot determine with certainty whether the governments will implement positive regulatory strategies. Therefore, governments and enterprises are considered limited rational, and they will gradually learn and grasp information in games. Due to limited cognitive abilities, enterprises will refer to other enterprises when choosing carbon-emission-reduction strategies and adjust them over time. Similarly, the choice of regulatory strategies by governments is also influenced by other governments’ strategies and evolves over time. Then, an asymptotically stable equilibrium between regulatory strategies and carbon-reduction strategies will be achieved. This is why evolutionary games are used in this study.
It should be pointed out that the government group can be understood as the population of government employees in this study. Although the government is limited, the population of government employees can be large-scale. Therefore, the match between enterprises and government employees in each game can be considered random.
Assumption 2.
In order to simplify the problem, it is assumed that there are no individual or regional differences between the two populations of governments and enterprises and that each enterprise will invest the same amount of peer-incentive funds.
The governments’ behavioral strategy spaces are positive regulation and negative regulation. The enterprises’ behavioral strategy spaces are positive carbon-emission reduction and negative carbon-emission reduction. Both parties have complete information about the basic structure of the game and the game rules.
It should be pointed out that this paper studies the evolution of governments’ regulatory strategies and enterprises’ carbon-emission-reduction strategies under a non-cooperative framework. The governments and enterprises are assumed to be uncooperative. The purpose of the governments’ positive regulatory strategies is to drive enterprises to adopt positive carbon-emission-reduction strategies. If an enterprise decides to adopt the positive carbon-emission-reduction strategy, the government will choose the negative regulatory strategy. Similarly, the driving force behind enterprises adopting positive carbon-emission-reduction strategies is the governments’ positive regulatory strategies. If the government decides to adopt a negative regulatory strategy, enterprises will choose negative carbon-emission-reduction strategies. Governments and enterprises can also cooperate in carbon reduction [50]. The study of governments’ and enterprises’ strategy selection within a collaborative framework is left to be studied in future research.
Considering that both parties are limited rational subjects that can use positive and negative strategies, the proportion that the governments choose positive regulation is , and the proportion that the enterprises choose positive carbon-emission reduction is .
Positive regulation of governments means that the governments take the initiative to inspect the carbon-emission reduction of enterprises. At this point, the governments have to invest more in personnel and necessary equipment [52]. For example, governments regulate enterprises at short intervals. On the contrary, negative regulation of governments means that the governments regulate enterprises at long intervals or periodically [44]. Therefore, governments under negative regulation will invest less in personnel and necessary equipment. In the opinion of the authors, negative regulation does not mean that the governments do not regulate.
In order to achieve carbon-emission reduction, enterprises must improve their ability to reduce carbon emissions through the development of low-carbon technologies. Enterprises can take the initiative to address social responsibilities and improve technologies to decarbonize. At this point, enterprises under positive carbon-emission reduction have to invest more in low-carbon technologies. Correspondingly, enterprises under negative carbon-emission reduction can invest less in low-carbon technologies. In addition, positive carbon-emission reduction can also be considered as legal carbon-emission reduction while negative carbon-emission reduction can be considered as non-compliant carbon-emission reduction.
When governments choose positive regulation, they need to pay regulatory costs to regularly test the carbon emissions of enterprises. Governments will provide rewards to enterprises that meet the carbon reduction standards and can obtain environmental benefits , while governments will impose fines on enterprises that do not meet the carbon emission standards and obtain environmental benefits . Enterprises using positive carbon reduction require expenditure and obtain market benefits . Enterprises using negative carbon reduction require expenditure and obtain market benefits . The governments will bear the environmental losses caused by negative emission reduction by enterprises. When governments, after a certain period of positive regulation, report that the enterprises’ efforts to reduce emissions are very good, the governments will gradually slow down the frequency of inspections, reduce the cost of regulation, and switch to the strategy of negative regulation. At this time, the cost of regulation is .
In order to encourage enterprises to maintain positive carbon-emission reduction, the governments will charge a penalty for enterprises that do not meet carbon emission standards and also face environmental losses due to negative carbon reduction of enterprises. The major notations used in this paper are listed in Table 2. Without loss of generality, the parameters meet the following conditions: , , and .
Table 2.
Model parameters and definitions.
4. Game Models under the Reward-and-Punishment Mechanism
4.1. Evolutionary Game Model
Based on the above assumptions and parameter settings, we construct the evolutionary game model of governments and enterprises under the reward-and-punishment mechanism, as shown in Table 3.
Table 3.
Payment matrix for governments and enterprises under the reward-and-punishment mechanism.
According to the payment matrix above, when the governments adopt positive regulation, their expected return is represented by , as shown below:
The expected return of governments who adopt negative regulation is represented by , as shown below:
The governments’ average expected return is given below:
From Equations (1)–(3), we can obtain the replicator dynamic equations about the governments:
The expected return of enterprises who adopt positive carbon-emission reduction is represented by , as shown below:
The expected return of enterprises who adopt negative carbon-emission reduction is represented by , as shown below:
The enterprises’ average expected return is given below:
From Equations (5)–(7), we can obtain the dynamic equation of replication about the enterprise:
Based on the above replicator dynamics equations, we can obtain the two-dimensional dynamic system equation as follows:
4.2. The Solution of Evolutionary Stability Strategy
Let and . We know that there are five local equilibrium points in the system, namely, , , , , and , where and . Whether these local equilibrium points are the evolutionary stable strategy (ESS) should be further discussed. The stability of the local equilibrium point can be determined from the Jacobian matrix of the system according to Lyapunov stability analysis [53]. The standard Jacobian matrix is used to evaluate the asymptotic stability of equilibrium strategy pairs [46]. Any solution pair that satisfies the requirements and is asymptotically stable and hence is an ESS of the game, and the stability strategy must be disturbance rejection, which should satisfy , .
where
When and , we can say that the local equilibrium point is the ESS, which has asymptotical stability. We list the asymptotical stability results of local equilibrium points in Table 4.
Table 4.
The analysis of local stability between governments and enterprises under the reward-and- punishment mechanism.
According to the judgment condition of system evolution stable points, it can be seen from Table 4 that when local equilibrium points are and , and are not satisfied, so and are not the ESS of the system. The following analysis results can be achieved:
Scenario 1: When and , is the ESS of the system. Specifically, governments choose negative regulation, enterprises choose negative carbon-emission reduction. For governments, , that is, facing enterprises with negative carbon-emission reduction, the difference between fines and costs charged by the governments under negative regulation is greater than that between fines and costs charged under positive regulation, indicating that the costs faced by positive regulation are too high, and the governments are more inclined to negative regulation. For enterprises, , that is, the net profit of enterprises under negative carbon-emission reduction is greater than that under positive carbon-emission reduction, so enterprises will choose negative carbon-emission reduction. At this time, the evolution of the system will tend to the state of negative regulation by governments and negative carbon-emission reduction by enterprises. This is not an ideal social state, and governments should increase the fines to make up for the costs of governmental regulation, and increase the bonus for enterprises to positively reduce carbon emissions to mobilize the enthusiasm of enterprises to reduce carbon emissions.
Scenario 2: When , is the ESS of the system. Specifically, governments choose negative regulation and enterprises choose positive carbon-emission reduction. This is an ideal state of society. For governments, , that is, the costs of positive regulation and the total investment in bonuses for enterprises with positive carbon-emission reduction are greater than the input costs of negative regulation, so the governments will choose negative regulation to reduce expenditures. For enterprises, , that is, enterprises with negative carbon-emission reduction need to pay a higher penalty, which makes the net profit of enterprises with negative carbon-emission reduction less than that with positive carbon-emission reduction. Therefore, enterprises will spontaneously reduce emissions and reduce carbon dioxide emissions.
Scenario 3: When and , is the ESS of the system. Specifically, governments choose positive regulation and enterprises choose negative carbon-emission reduction. For governments, , that is, the difference between the fines and the regulation costs charged by governments for enterprises of negative carbon-emission reduction under positive regulation is greater than the difference between the fines and the regulation costs charged by the governments for enterprises of negative carbon-emission reduction under negative regulation. Therefore, the governments will choose positive regulation. For enterprises, , that is, the total profit of enterprises in positive carbon-emission reduction is less than that in negative emission reduction, so enterprises choose negative emission reduction. At this time, government regulation is ineffective, and governments can appropriately increase the bonus for enterprises that positively reduce carbon emissions to encourage enterprises to voluntarily reduce carbon emissions.
5. Game Models under Peer Incentives
The peer incentive or peer-dependent incentive is a mechanism in which each player distributes his or her share of the fund as a reward to other members of the community [47]. The peer incentive also can be seen as a team incentive or group incentive, which compels team members to compete with one another and offers a prize to only the best performer in the end [50]. The peer incentives based on the unique characteristics of teams to stimulate interaction among team members are developed [54]. In this study, peer incentives are applied to enterprises implementing carbon-reduction strategies. Without losing generality, we assume that each enterprise invests the same amount of money to establish a peer-incentive fund for carbon-emission reduction. The peer-incentive fund will be used to pay enterprises, which is dependent on enterprises’ carbon-reduction performance. At the same time, to encourage peer-incentive mechanisms, the governments will also provide corresponding subsidies for peer incentives.
As mentioned above, money from enterprises and government subsidies together form the peer-incentive fund. Enterprises will receive returns from a peer-incentive fund, which depends on their performance in reducing carbon emissions and the regulatory strategies of governments. The peer-incentive mechanism will only be activated when the governments adopt positive regulatory strategies. Then, only by implementing positive carbon-emission-reduction strategies can enterprises receive returns from a peer-incentive fund. On the contrary, governments with negative regulation will not introduce peer-incentive mechanisms.
When enterprises invest in a peer-incentive fund , they will invest in positive carbon-emission reduction as much as possible in order to not lose their profit. Then, the governments will get more environmental benefits and use more generous bonuses to encourage enterprises to positively reduce carbon emissions. The governments will form a certain proportion of the peer fund and their environmental benefits to reward enterprises with positive carbon-emission reduction. In this case, , where is the subsidy coefficient based on environmental benefits and is the subsidy coefficient based on the peer-incentive fund.
5.1. Evolutionary Game Model
Based on the above descriptions, we construct the profit and loss for governments and enterprises, as shown in Table 5.
Table 5.
Payment matrix for governments and enterprises under peer incentives.
According to the payment matrix above, when the governments adopt positive regulation, their expected return is represented by , as shown below:
The expected return of governments who adopt negative regulation is represented by , as shown below:
The governments’ average expected return is given below:
From Equations (11)–(13), we can obtain the replicator dynamic equations about the governments:
The expected return of enterprises who adopt positive carbon-emission reduction is represented by , as shown below:
The expected return of enterprises who adopt negative carbon-emission reduction is represented by , as shown below:
The enterprises’ average expected return is given below:
From Equations (15)–(17), we can obtain the replicator dynamic equations about enterprises:
Based on the above replicator dynamics equations, we can obtain the two-dimensional dynamic system equation as follows:
5.2. The Solution of Evolutionary Stability Strategy
Let and . We can obtain five local equilibrium points of the system as , , , , and , where and .
Next, the Jacobian matrix of the system is as follows:
where
When and , we can say that the local equilibrium point is the ESS, which has asymptotical stability. We list the asymptotical stability results of local equilibrium points in Table 6.
Table 6.
The analysis of local stability between governments and enterprises under peer incentives.
Scenario 4: The equilibrium point is the ESS when and . Specifically, governments choose negative regulation and enterprises choose negative carbon-emission reduction. For enterprises, indicates that the profit of enterprises under positive carbon-emission reduction is smaller than that under negative carbon-emission reduction. Enterprises then choose negative carbon-emission reduction. For governments, , that is, even with the peer-incentive fund, the profits of positive regulation are still smaller than that of negative regulation, so the governments choose negative regulation.
Scenario 5: The equilibrium point is the ESS when and . Specifically, governments choose negative regulation and enterprises choose positive carbon-emission reduction. For enterprises, indicates that the profit of enterprises under negative carbon-emission reduction is less than that under positive carbon-emission reduction. Enterprises then choose positive carbon-emission reduction. For governments, , indicates that when the governments positively regulate, the total expenditures of regulation costs and incentives to enterprises are greater than that when governments negatively regulate, and the governments will eventually choose negative regulation.
Comparing Scenario 4 and Scenario 5, we can argue that the existence of peer incentives makes enterprises more inclined to positively reduce emissions. The reason is that the peer fund makes the condition harder to meet and the condition easier to meet when .
Scenario 6: The equilibrium point is the ESS when and . Specifically, governments choose positive regulation and enterprises choose negative carbon-emission reduction. For enterprises, indicates that even with the bonus from the governments, the profits of enterprises in positive carbon-emission reduction are still smaller than that in negative carbon-emission reduction, so enterprises finally choose negative carbon-emission reduction. For governments, indicates that with the input of a peer-incentive fund, the profits under positive regulation are greater than that under negative regulation, so the governments choose positive regulation.
Comparing Scenario 4 and Scenario 6, we can argue that the existence of peer incentives makes governments more inclined to positively regulate. The reason is that the peer fund makes the condition harder to meet and the condition easier to meet.
Scenario 7: The equilibrium point is the ESS when and . Specifically, governments choose positive regulation and enterprises choose positive carbon-emission reduction. For enterprises, indicates that the profits of enterprises in positive carbon-emission reduction are greater than that in negative carbon-emission reduction. At this time, governmental rewards for enterprises using positive carbon-emission reduction are higher, and the penalties for enterprises using negative carbon-emission reduction are higher, so enterprises choose positive carbon-emission reduction. For governments, , indicates that when governments positively regulate, the total expenditures of regulation costs and incentives to enterprises are smaller than that when governments negatively regulate, and governments will eventually choose positive regulation. We can see that when , the two conditions are met by a sufficiently large . This indicates that a sufficiently large peer fund can always encourage enterprises to choose positive carbon-emission-reduction strategies, while governments choose positive regulation strategies.
The above analysis shows the following: ① When the profits of enterprises adopting positive carbon-emission-reduction strategies are higher than those of negative carbon-emission-reduction strategies, enterprises always choose positive carbon-emission-reduction strategies, and whether governments choose positive regulation or negative regulation strategies depends on the relationship between the peer-incentive fund and governments’ bonus for enterprises with positive carbon-emission reduction; ② When the profits of negative carbon-emission reduction are greater than that of positive carbon-emission reduction, enterprises will eventually choose negative carbon-emission reduction, and governments’ strategy choices depend on the relationship between the peer-incentive fund and the profits difference between the two strategies adopted by governments.
6. Numerical Simulation
This section simulates and analyzes models developed above using Matlab software 2022a in order to show the convergence tendency of two parties and the change of various parameters on the evolution of the system.
(1) Sensitivity analysis of initial values
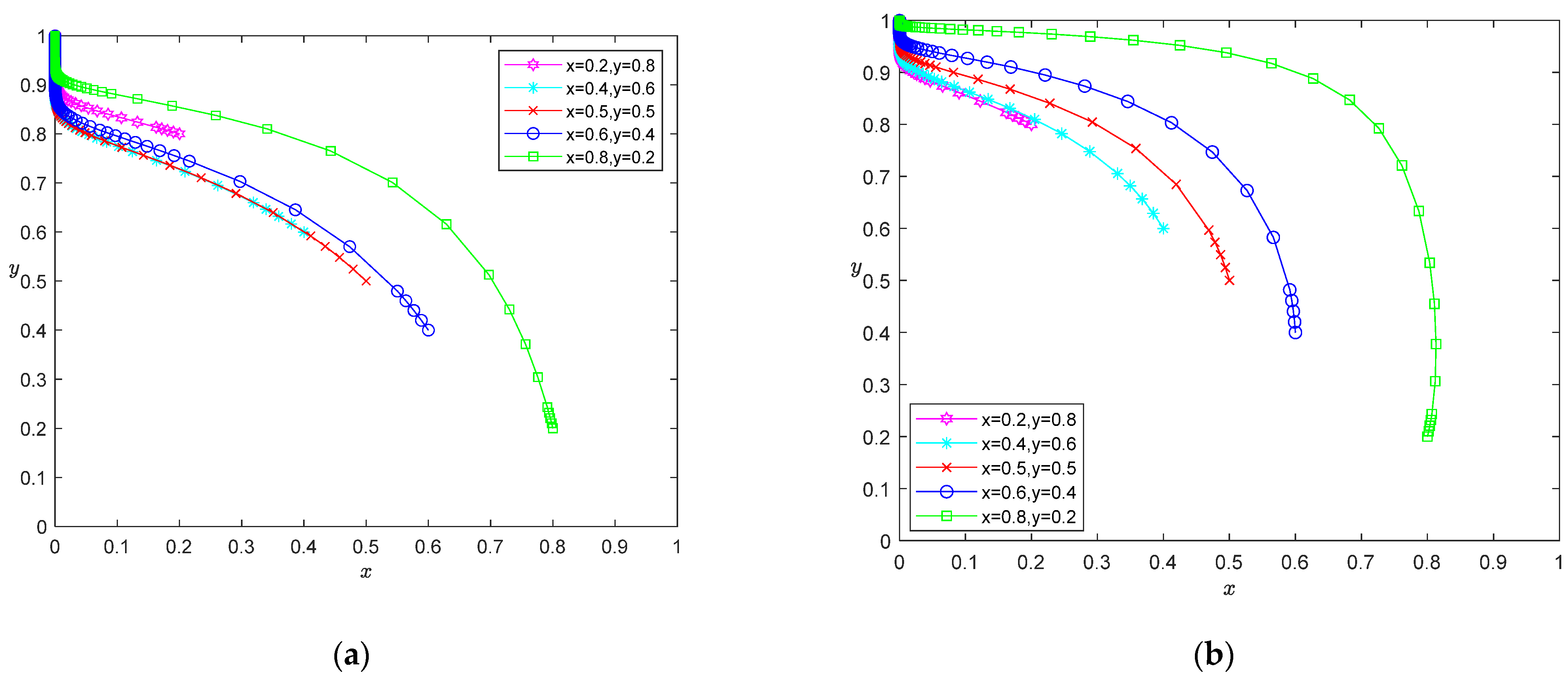
According to the model description and assumption in Section 3, the values must satisfy , , , , , and . By drawing lessons from Sun et al. [2], Meng et al. [27], and other methods for setting relevant parameters, parameters are set as follows: , , , , , , , , , , , and . In order to observe the effect of different initial strategy ratios on the evolution of the system, is set to be , , , , and for five proportions simulation. The evolution results are shown in Figure 2.
Figure 2.
Effects of different initial proportions on system evolution under the reward-and-punishment mechanism and peer incentive. (a) The reward-and-punishment mechanism; (b) The peer incentive.
It can be seen from Figure 2 that the initial proportion of both parties has a positive effect on the carbon-emission reduction of the system. The larger the proportion of positive regulation by the governments, the slower the convergence speed, indicating that the governments’ positive regulation time is longer. At this time, fewer enterprises tend to positively reduce emissions, and governments need a longer time to regulate the carbon emissions of enterprises through certain incentives and penalties. When the proportion of enterprises positively reducing emissions is large, the convergence speed is fast, indicating that most enterprises are honest in reducing emissions at this time, and the governments do not need to invest too much time, energy, and cost to achieve the expected effect.
Under the reward-and-punishment mechanism, no matter what the initial strategy of enterprises and governments are, it will eventually converge, that is, the governments do not need to invest too much time and energy, and even if they adopt negative regulation, enterprises can voluntarily achieve the ideal effect of positive carbon-emission reduction. Under the peer incentive, the convergence speed of enterprises is faster, so it can be seen that peer incentive has a more significant effect on the positive carbon-emission reduction behavior of enterprises. In other words, under the situation of shortage of government funds, enterprises with peer-incentive funds can complete the task of carbon-emission reduction, and both governments and enterprises will eventually converge to a stable state.
(2) Sensitivity analysis of fines
The initial values of are set to 0.2. Other initial values remain unchanged. The fines of positive and negative government regulation on enterprises with negative carbon-emission reduction are set as follows: , , , , , , and the evolution results are shown in Figure 3.
Figure 3.
Effect of changes in fine on game equilibrium under positive regulation and negative regulation of governments. (a) Positive regulation of governments; (b) Negative regulation of governments.
As can be seen in Figure 3a,b, regardless of whether the governments regulate positively or negatively, an increase in fines by the governments will always increase the willingness of enterprises to reduce carbon emissions positively, which will ultimately promote them to reduce carbon emissions positively. For governments, increasing fines will inhibit their regulatory behavior. Therefore, governments can push enterprises to implement carbon-emission-reduction strategies by increasing the fines imposed on them.
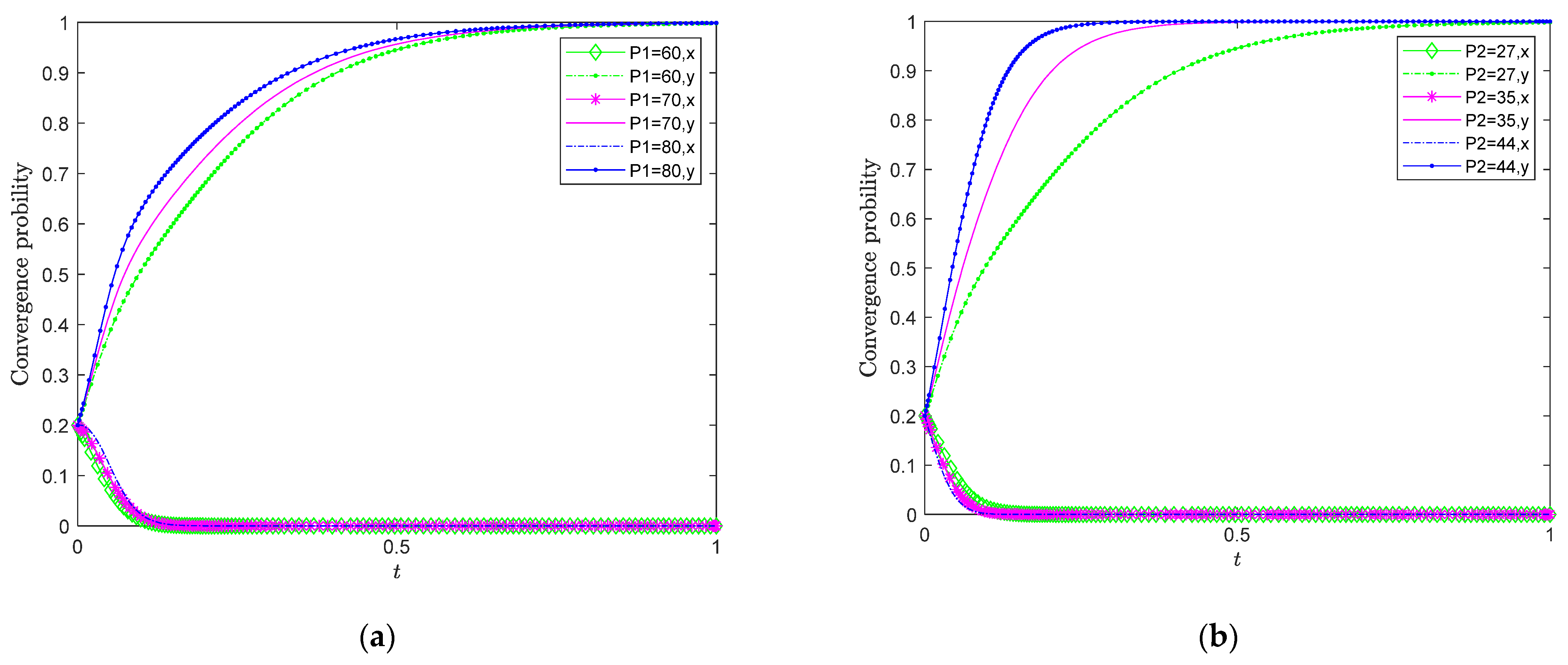
(3) Sensitivity analysis of the peer-incentive fund
In order to explore the law of influence of peer-incentive funds on governments and enterprises’ strategy choices, peer-incentive funds invested by enterprises are set as follows: , , , , and the evolution results are shown in Figure 4.
Figure 4.
Effect of the peer-incentive fund on game equilibrium.
As can be seen from Figure 4, the higher the peer-incentive funds invested by enterprises, the faster the convergence of the enterprises’ positive carbon-emission reduction, indicating that the addition of a peer-incentive fund has a positive effect on enterprises’ carbon-emission reduction. The higher the peer-incentive fund invested by enterprises, the more willing they are to cooperate with the call of governments for positive carbon-emission reduction, and the more likely they are to join the team of positive carbon-emission reduction. Similarly, each curve of positive government regulation shows a small spike, indicating that the larger the amount of peer-incentive funds invested by enterprises, the more positive the governments will be in verifying enterprises’ carbon emissions in order to live up to their trust. Over time, the governments will find that enterprises are positively reducing emissions to a large extent and will slow down the frequency of investigations in line with the trust of enterprises.
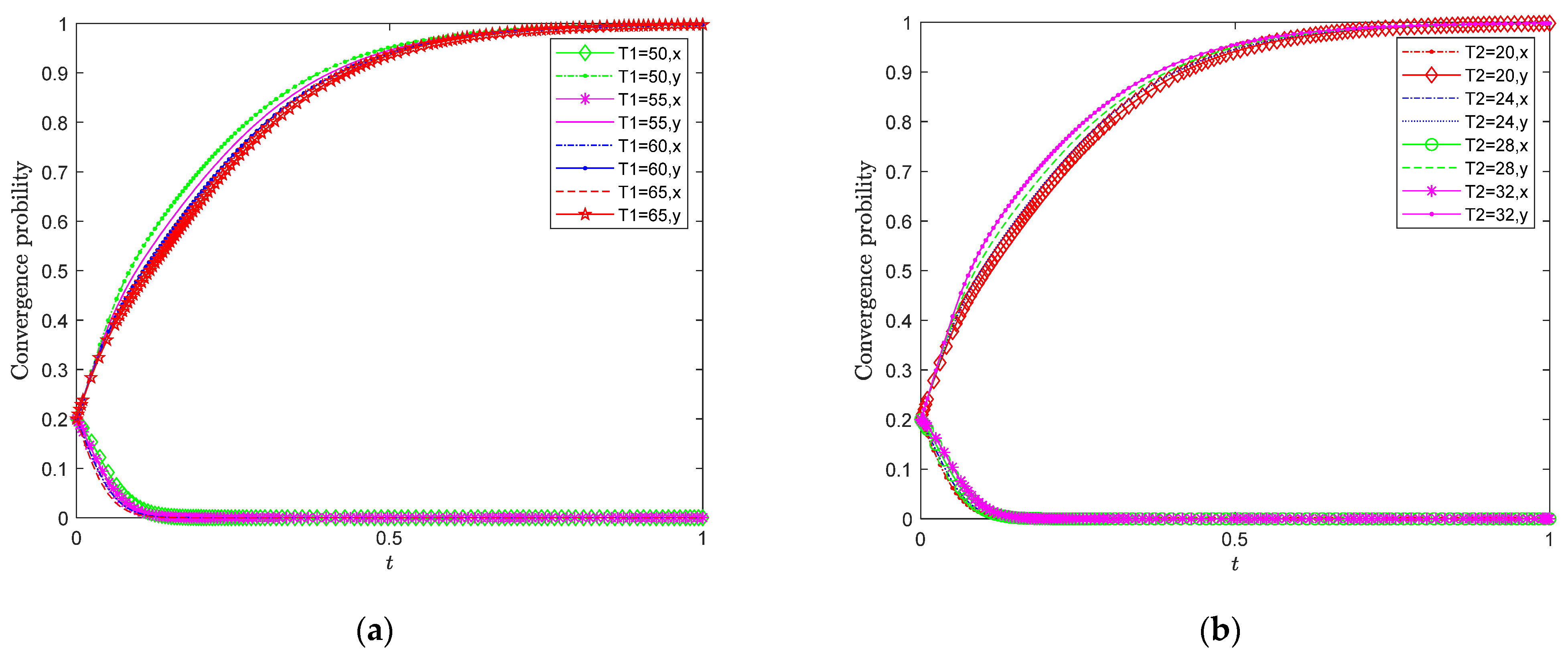
(4) Sensitivity analysis of the proportion of the bonus
The proportions of governments’ subsidy and the peer-incentive funds are set as follows:, , , , and . The evolution results are shown in Figure 5.
Figure 5.
Effect of bonus proportion on game equilibrium.
As can be seen from Figure 5, the larger the proportion of peer-incentive funds invested by enterprises, the faster the convergence rate of enterprises’ positive carbon-emission reduction, which indicates that the addition of peer-incentive funds has a positive effect on the carbon-emission reduction of enterprises. Regardless of the curve, the probability of positive regulation by governments will show a small spike, which indicates that governments may increase the degree of positive regulation at the beginning for the purpose of carefully verifying the carbon-emission reduction results and giving out fair and equitable bonuses. But gradually, they find that the carbon-emission reduction results of enterprises are very good and have achieved the expected effect, so the probability of positive regulation will be gradually reduced. The higher the proportion of investment by enterprises, the higher the governments’ trust in enterprises, and the faster it will converge on negative carbon-emission reduction.
(5) Sensitivity analysis of the cost of governments’ positive regulation
In order to explore the influence of positive-regulation costs on governments’ and enterprises’ decision-making under the reward-and-punishment mechanism and peer incentives, the costs of governments’ positive regulation are set as follows: , , , and . The evolution results are shown in Figure 6.
Figure 6.
Effects of costs of governments’ positive regulation on game equilibrium under the reward-and-punishment mechanism and peer incentive. (a) The reward-and-punishment mechanism; (b) The peer incentive.
As can be seen from Figure 5, the higher the costs of government regulation, the slower the convergence rate of enterprises, indicating that increasing the costs of government regulation is not conducive to the promotion of enterprises’ carbon-emission reduction process. The higher the costs of government regulation, the more reluctant governments and enterprises are to carry out positive regulation and carbon-emission reduction, and the cost has a negative effect on both parties of the game. Under the peer incentive, the convergence rate of enterprises is faster, indicating that the peer incentive can promote enterprises to positively reduce carbon emissions.
(6) Sensitivity analysis of the cost of enterprises’ carbon-emission reduction
In order to explore the influence of enterprises’ positive reduction costs on governments and enterprises decision-making, the costs of the enterprises’ positive reduction costs are set as follows: , , , . The evolution results are shown in Figure 7.
Figure 7.
Effect of costs of enterprises’ positive carbon-emission reduction on game equilibrium.
As can be seen in Figure 7, when enterprises converge to positive carbon-emission reduction, the governments converge to negative regulation. When enterprises converge to negative carbon-emission reduction, the governments converge to positive regulation. This indicates that the costs of enterprises’ positive carbon-emission reduction should be controlled within an appropriate range. If the costs of carbon-emission reduction of enterprises are too low, the carbon emission of enterprises cannot be effectively controlled, and enterprises will choose to positively reduce carbon emissions. The high-cost investment of enterprises may have a negative impact on their economic benefits, resulting in a negative psychological effect on enterprises. Enterprises will then turn to negative carbon-emission reduction. When the costs of the enterprises’ carbon-emission reduction are low, with the increase of carbon-emission reduction costs, the speed of enterprises to converge to positive carbon-emission reduction becomes slower, and the speed of governments to converge to negative regulation becomes slower. When the costs of carbon-emission reduction are high, with the increase of carbon-emission reduction costs, the speed of enterprises to converge to negative emission reduction becomes faster, and the speed of governments to converge to positive regulation becomes faster.
(7) Sensitivity analysis of enterprises’ market returns
The market profits of enterprises under positive and negative carbon-emission reduction are, respectively, set as follows: , , , , , , , and . The evolution results are shown in Figure 8.
Figure 8.
Effect of enterprises’ market profits on game equilibrium. (a) Positive carbon-emission reduction of enterprises; (b) Negative carbon-emission reduction of enterprises.
As can be seen from Figure 8, the greater the market profits of enterprises’ positive carbon-emission reduction, the faster the enterprises converge to positive carbon-emission-reduction strategies. When market profits of the enterprises’ positive carbon-emission reduction are too low, their income may be less than their expenditures, resulting in the loss of corporate interests, and they are more likely to choose negative carbon-emission reduction.
Therefore, the governments will increase the degree of regulation, restrain the occurrence of this situation, and subsidize enterprises as far as possible through subsidies so that enterprises can operate normally. When market profits of negative carbon-emission reduction are low, enterprises tend to positively reduce emissions, and the governments will choose negative regulation because of the enthusiasm of enterprises. When market profits obtained by enterprises during negative carbon-emission reduction are large enough, the fines imposed by the governments on them when they negatively reduce emissions are much smaller than the benefits obtained. At this time, enterprises may give up certain benefits and choose negative carbon-emission reduction to obtain greater benefits. Therefore, the governments will strengthen regulation on enterprises.
7. Conclusions
Under the background of advocating carbon-emission reduction, this study constructs evolutionary game models between governments and enterprises based on the basic assumption of limited rationality. In order to deeply explore the interaction between carbon-emission reduction of enterprises and government regulation, this paper establishes evolutionary game models between governments and enterprises under the reward-and-punishment mechanism. Considering the problem of governments’ financial pressure, the peer-incentive mechanism is introduced to coordinate governments and enterprises. By solving evolutionary game models, the evolutionary stability strategies are obtained and discussed. Finally, Matlab software is used to show the convergence tendency of governments and enterprises and the change of various parameters in the evolution of the system. The main conclusions are as follows:
- (1)
- Governments’ rewards and penalties, peer-incentive funds, the costs of government regulation, and the costs of enterprises’ carbon-emission reduction play a key role in the behavioral decisions of governments and enterprises. Governments’ penalties for enterprises with negative carbon-emission reduction, the ratio composition of bonuses, peer-incentive funds, and the environmental benefits generated by enterprises with positive emission reduction have a positive effect on enterprises’ carbon-emission reduction, but the governments’ regulatory costs play an inverse inhibitory effect on enterprises’ carbon-emission reduction, which suggests that governments should reduce the regulatory costs of enterprises, increase the penalties for enterprises with negative carbon-emission reduction within a reasonable range, and increase the pressure of environmental regulation and carbon emission costs. The impacts of enterprises’ emission reduction costs and market profits on enterprises’ carbon-emission reduction are an inverted U-shape.
- (2)
- Peer incentives make enterprises more inclined to choose positive carbon-emission-reduction strategies and governments more inclined to choose positive regulation strategies. A sufficiently large peer fund can always encourage enterprises to choose positive carbon reduction emission strategies, while governments choose positive regulation strategies. The larger the peer-incentive fund invested by enterprises, the more willing enterprises will be to respond to the call of governments for positive carbon-emission reduction, and in order not to lose their profits, they will choose positive carbon-emission reduction. At the same time, governments will more often check the carbon emissions of enterprises in order to live up to their trust.
- (3)
- Both the reward-and-punishment mechanism and peer incentives are effective in promoting positive carbon-emission reduction by enterprises. Peer incentives are more effective in promoting the positive emission reduction of enterprises compared with rewards and punishments. Governments can positively guide enterprises through rewards, punishments, and the peer-incentive fund, which can effectively encourage enterprises to reduce carbon emissions in the long term. Compared with the reward-and-punishment mechanism, the peer-incentive fund has higher parameter sensitivity and is more effective in encouraging enterprises to reduce carbon emissions. By adjusting the peer-incentive fund, the proportion composition of the bonus, and the costs of regulation, governments can balance the financial expenditures so that both parties can form a good evolutionary equilibrium.
Based on the above conclusions, we provide the following recommendations for governments and enterprises:
- (1)
- Governments should make comprehensive use of economic instruments such as rewards and punishments to encourage enterprises to positively reduce carbon emissions. Due to the high cost of technological innovation and green production, enterprises have a low willingness for energy-saving and low-carbon transformation, so the governments can increase the rewards for enterprises of positive carbon-emission reduction, such as increasing subsidies, giving more favorable loan conditions to emission reduction enterprises, and publicizing emission reduction enterprises in the society, etc. Governments can increase penalties on negative-emission-reduction enterprises, such as fines and environmental taxes, so that enterprises can enjoy the benefits of emission reduction and realize the severity of the penalty for negative emission reduction so that they can more consciously implement emission reduction actions.
- (2)
- The governments should rationalize the peer-incentive fund and subsidy coefficient to enhance the attractiveness of peer incentives. The governments should set the peer fund as high as possible to incentivize enterprises to positively reduce carbon emissions. The larger the peer fund invested by enterprises, the more willing they will be to respond to the call from governments for positive carbon-emission reduction, and enterprises will choose to positively reduce carbon emissions in order not to lose profits. At the same time, within acceptable limits, governments should increase subsidies to enterprises that positively participate in carbon-emission reduction, so as to better mobilize the enthusiasm of enterprises to reduce emissions and increase the amount of carbon-emission reduction by enterprises.
- (3)
- Governments should keep the cost of regulation within a reasonable range. If the costs of government regulation are reduced, governments will be able to enhance the initial willingness to regulate enterprises, thus improving the efficiency of regulation. The higher initial willingness of governments will promote the carbon-emission reduction of governments and enterprises to reach the optimal strategic state faster. When the costs of regulation decrease, enterprises will think that the initial willingness of governments to regulate is stronger in the game process, and then they will think that governments are more likely to choose the positive regulatory strategy. When governments adopt positive regulatory strategies, enterprises can get rewards for positive carbon-emission reduction. Rational enterprises will choose positive carbon-emission reduction through judgment, and the reduction of carbon emissions will help our country achieve its dual-carbon goal more quickly.
The research on the carbon-emission reduction game between governments and enterprises not only has theoretical value but also has practical significance. An in-depth analysis of the game relationship and strategy choice between governments and enterprises can provide guidance for governments and enterprises in the actual carbon-emission reduction work and promote the realization of sustainable development. Governments and enterprises should cooperate and work together to establish an effective regulatory system, efficiently enhance the efficiency of carbon-emission reduction, and further accomplish the ambitious goals and tasks of national energy conservation. However, several limitations exist in this work, which can be possible research directions in the future. Firstly, this paper does not carry out specific classifications of enterprises, and the size of enterprises and different industries will have a certain impact on the decision-making of enterprises. Therefore, the research models of this paper can be further expanded considering the heterogeneity of enterprises, so that the game results can be closer to reality. Secondly, this paper uses evolutionary games to study the carbon-emission reduction of governments and enterprises, which can be further studied by cooperative games in the future [55]. Thirdly, the reward-and-punishment mechanism used in this paper is static, and in the future, the impact of dynamic reward-and-punishment mechanisms on carbon-emission-reduction strategies of enterprises can be investigated [17].
Author Contributions
Conceptualization, L.G.; Methodology, J.L.; Software, L.G.; Formal analysis, J.T.; Writing—original draft, J.L.; Funding acquisition, J.T. All authors have read and agreed to the published version of the manuscript.
Funding
This study was supported by the National Natural Science Foundation of China (51704140), the Natural Science Foundation of Liaoning Province (2021-MS-340), and the Foundation of the Education Department of Liaoning Province (LJKZ0347).
Institutional Review Board Statement
Not applicable.
Informed Consent Statement
Not applicable.
Data Availability Statement
Data is contained within the article.
Conflicts of Interest
The authors declare no conflict of interest.
References
- BP Statistical Review of World Energy 2023, 72nd ed.; Energy Institute Statistical Review: London, UK, 2023.
- Sun, Z.; Wang, W.; Zhu, W.; Ma, L.; Dong, Y.; Lu, J. Evolutionary game analysis of coal enterprise resource integration under government regulation. Environ. Sci. Pollut. Res. 2022, 29, 7127–7152. [Google Scholar] [CrossRef]
- Lin, B.; Zhang, A. Impact of government subsidies on total factor productivity of energy storage enterprises under dual-carbon targets. Energy Policy 2024, 187, 114046. [Google Scholar] [CrossRef]
- Romasheva, N.; Ilinova, A. CCS projects: How regulatory framework influences their deployment. Resources 2019, 8, 181. [Google Scholar] [CrossRef]
- Beck, L. The US Section 45Q Tax Credit for Carbon Oxide Sequestration: An Update; Global CCS Institute: Melbourne, Australia, 2020. [Google Scholar]
- SDE++ 2021. Stimulation of Sustainable Energy Production and Climate Transitio. Available online: https://www.rvo.nl/sites/default/files/2023-08/Brochure%20SDE%2B%2B%202021%20-%20oktober%202021.pdf (accessed on 5 October 2021).
- Wagner, A.; Fischer-Kreer, D. The role of CEO regulatory focus in increasing or reducing corporate carbon emissions. Bus. Strategy Environ. 2023, 33, 1051–1065. [Google Scholar] [CrossRef]
- Wang, C.; Wang, W.; Huang, R. Supply chain enterprise operations and government carbon tax decisions considering carbon emission. J. Clean. Prod. 2017, 152, 271–280. [Google Scholar] [CrossRef]
- Zhang, X.; Xie, J.; Rao, R.; Liang, Y. Policy incentives for the adoption of electric vehicles across countries. Sustainability 2014, 6, 8056–8078. [Google Scholar] [CrossRef]
- Energy Policy Act of 2005; U.S. Department of Energy: Washington, DC, USA, 2005. Available online: http://www.afdc.energy.gov/laws/epact_2005 (accessed on 25 June 2014).
- Energy Independence and Security Act of 2007; U.S. Department of Energy: Washington, DC, USA, 2007. Available online: http://www.afdc.energy.gov/laws/eisa.html (accessed on 27 June 2014).
- The Carbon Capture and Storage Infrastructure Fund: An Update on Its Design. Available online: https://www.gov.uk/government/publications/design-of-the-carbon-capture-and-storage-ccs-infrastructure-fund/the-carbon-capture-and-storage-infrastructure-fund-an-update-on-its-design-accessible-webpage (accessed on 16 December 2022).
- Zero-Emission Vehicle Standards for 2018 and Subsequent Model Year Passenger Cars, Light-Duty Trucks, and Medium-Duty Vehicles. Available online: https://ww2.arb.ca.gov/sites/default/files/barcu/regact/2012/zev2012/fro2rev.pdf (accessed on 22 March 2012).
- Luo, Z.; Chen, X.; Wang, X. The role of co-opetition in low carbon manufacturing. Eur. J. Oper. Res. 2016, 253, 392–403. [Google Scholar] [CrossRef]
- Guo, L.; Zhang, Q.; Wu, J.; Gonzalez, E.D.S. An evolutionary game model of manufacturers and consumers’ behavior strategies for green technology and government subsidy in supply chain platform. Comput. Ind. Eng. 2024, 189, 109918. [Google Scholar] [CrossRef]
- Chen, W.; Hu, Z. Using evolutionary game theory to study governments and manufacturers’ behavioral strategies under various carbon taxes and subsidies. J. Clean. Prod. 2018, 201, 123–141. [Google Scholar] [CrossRef]
- Deng, J.; Su, C.; Zhang, Z.; Wang, X.; MA, J.; Wang, C. Evolutionary game analysis of chemical enterprises’ emergency management investment decision under dynamic reward and punishment mechanism. J. Loss Prev. Process Ind. 2024, 87, 105230. [Google Scholar] [CrossRef]
- Wang, Z.; Wang, Q.; Chen, B.; Wang, Y. Evolutionary game analysis on behavioral strategies of multiple stakeholders in e-waste recycling industry. Resour. Conserv. Recycl. 2020, 155, 104618. [Google Scholar] [CrossRef]
- Hafezalkotob, A. Competition of two green and regular supply chains under environmental protection and revenue seeking policies of government. Comput. Ind. Eng. 2015, 82, 103–114. [Google Scholar] [CrossRef]
- Yenipazarli, A. Managing new and remanufactured products to mitigate environmental damage under emissions regulation. Eur. J. Oper. Res. 2016, 249, 117–130. [Google Scholar] [CrossRef]
- Li, G.; Zheng, H.; Ji, X.; Li, H. Game theoretical analysis of firms’ operational low-carbon strategy under various cap-and-trade mechanisms. J. Clean. Prod. 2018, 197, 124–133. [Google Scholar] [CrossRef]
- Zhang, S.; Wang, C.; Yu, C.; Ren, Y. Governmental cap regulation and manufacturer’s low carbon strategy in a supply chain with different power structures. Comput. Ind. Eng. 2019, 134, 27–36. [Google Scholar] [CrossRef]
- Zhang, Y.; Hong, Z.; Chen, Z.; Glock, G. Tax or subsidy? Design and selection of regulatory policies for remanufacturing. Eur. J. Oper. Res. 2020, 287, 885–900. [Google Scholar] [CrossRef]
- Wang, J.; Song, Y.; Li, M.; Yuan, C.; Guo, F. Study on low-carbon technology innovation strategies through government–university–enterprise cooperation under carbon trading policy. Sustainability 2022, 14, 9381. [Google Scholar] [CrossRef]
- Wu, B.; Liu, P.; Xu, X. An evolutionary analysis of low-carbon strategies based on the government–enterprise game in the complex network context. J. Clean. Prod. 2017, 141, 168–179. [Google Scholar] [CrossRef]
- Zhang, C.; Zhang, X. Evolutionary game analysis of air pollution co-investment in emission reductions by steel enterprises under carbon quota trading mechanism. J. Environ. Manag. 2022, 317, 115376. [Google Scholar] [CrossRef] [PubMed]
- Meng, L.; Liu, K.; He, J.; Han, C.; Liu, P. Carbon emission reduction behavior strategies in the shipping industry under government regulation: A tripartite evolutionary game analysis. J. Clean. Prod. 2022, 378, 134556. [Google Scholar] [CrossRef]
- Shi, T.; Han, F.; Chen, L.; Shi, J.; Xiao, H. Study on value co-creation and evolution game of low-carbon technological innovation ecosystem. J. Clean. Prod. 2023, 414, 137720. [Google Scholar] [CrossRef]
- Fan, R.; Dong, L.; Yang, W.; Sun, J. Study on the optimal supervision strategy of government low-carbon subsidy and the corresponding efficiency and stability in the small-world network context. J. Clean. Prod. 2017, 168, 536–550. [Google Scholar] [CrossRef]
- Zhang, S.; Wang, C.; Yu, C. The evolutionary game analysis and simulation with system dynamics of manufacturer’s emissions abatement behavior under cap-and-trade regulation. Appl. Math. Comput. 2019, 355, 343–355. [Google Scholar] [CrossRef]
- Xu, J.; Cao, J.; Wang, Y.; Shi, X.; Zeng, J. Evolutionary game on government regulation and green supply chain decision-making. Energies 2020, 13, 620. [Google Scholar] [CrossRef]
- Li, F.; Guo, Y.; Dong, T.; Liu, B.; Geng, X. Tripartite evolutionary game analysis on corporate carbon reduction decisions considering dual supervision under carbon trading. Comput. Ind. Eng. 2024, 187, 109786. [Google Scholar] [CrossRef]
- Liu, C.; Huang, W.; Yang, C. The evolutionary dynamics of China’s electric vehicle industry–taxes vs. subsidies. Comput. Ind. Eng. 2017, 113, 103–122. [Google Scholar] [CrossRef]
- Liao, D.; Tan, B. An evolutionary game analysis of new energy considering carbon tax in post-subsidy era. Energy 2023, 264, 24–33. [Google Scholar] [CrossRef]
- Zheng, P.; Pei, W.; Pan, W. Impact of different carbon tax conditions on the behavioral strategies of new energy vehicle manufacturers and governments-A dynamic analysis and simulation based on prospect theory. J. Clean. Prod. 2023, 407, 137132. [Google Scholar] [CrossRef]
- Cohen, M.; Lobel, R.; Perakis, G. The impact of demand uncertainty on consumer subsidies for green technology adoption. Manag. Sci. 2016, 62, 1235–1258. [Google Scholar] [CrossRef]
- Zhou, H.; Liu, M.; Tan, Y. Long-term emission reduction strategy in a three-echelon supply chain considering government intervention and Consumers’ low-carbon preferences. Comput. Ind. Eng. 2023, 186, 109697. [Google Scholar] [CrossRef]
- Aflaki, S.; Netessine, S. Strategic investment in renewable energy sources: The effect of supply intermittency. Manuf. Serv. Oper. Manag. 2017, 19, 489–507. [Google Scholar] [CrossRef]
- Krass, D.; Nedorezov, T.; Ovchinnikov, A. Environmental taxes and the choice of green technology. Prod. Oper. Manag. 2013, 22, 1035–1055. [Google Scholar] [CrossRef]
- Mahmoudi, R.; Rasti-Barzoki, M. Sustainable supply chains under government intervention with a real-world case study: An evolutionary game theoretic approach. Comput. Ind. Eng. 2018, 116, 130–143. [Google Scholar] [CrossRef]
- Lessmann, C.; Kramer, N. The effect of cap-and-trade on sectoral emissions: Evidence from California. Energy Policy 2024, 188, 114066. [Google Scholar] [CrossRef]
- Zhang, L.; Ren, J.; Zhang, G. Optimal dynamic strategy for emission reduction and operation considering hybrid carbon policy with carbon tax and cap-and-trade. Comput. Ind. Eng. 2024, 187, 109820. [Google Scholar] [CrossRef]
- Drake, D.F.; Kleindorfer, P.R.; Van Wassenhove, L.K. Technology choice and capacity portfolios under emissions regulation. Prod. Oper. Manag. 2016, 25, 1006–1025. [Google Scholar] [CrossRef]
- Song, X.; Shen, M.; Lu, Y.; Shen, L.; Zhang, H. How to effectively guide carbon reduction behavior of building owners under emission trading scheme? An evolutionary game-based study. Environ. Impact Assess. Rev. 2021, 90, 106624. [Google Scholar] [CrossRef]
- An, S.; Li, B.; Song, D.; Chen, X. Green credit financing versus trade credit financing in a supply chain with carbon emission limits. Eur. J. Oper. Res. 2021, 292, 125–142. [Google Scholar] [CrossRef]
- Chen, Y.; Li, L. Differential game model of carbon emission reduction decisions with two types of government contracts: Green funding and green technology. J. Clean. Prod. 2023, 389, 135847. [Google Scholar] [CrossRef]
- Yang, C.; Zhang, B.; Charness, G.; Li, C.; Lien, J.W. Endogenous rewards promote cooperation. Proc. Natl. Acad. Sci. USA 2018, 115, 9968–9973. [Google Scholar] [CrossRef]
- Dohmen, T.; Falk, A. Performance pay and multidimensional sorting: Productivity, preferences, and gender. Am. Econ. Rev. 2011, 101, 556–590. [Google Scholar] [CrossRef]
- Bandiera, O.; Barankay, I.; Rasul, I. Team incentives: Evidence from a firm level experiment. J. Eur. Econ. Assoc. 2013, 11, 1079–1114. [Google Scholar] [CrossRef]
- Yang, F. Peer-dependent incentives and prepaid bonuses: An experimental investigation of productivity improvement. J. Behav. Exp. Econ. 2019, 81, 152–163. [Google Scholar] [CrossRef]
- Xia, X.; Zeng, X.; Wang, W.; Liu, C.; Li, X. Carbon constraints and carbon emission reduction: An evolutionary game model within the energy-intensive sector. Expert Syst. Appl. 2024, 244, 122916. [Google Scholar] [CrossRef]
- Jiang, B.; Wang, X.; Xue, H.; Li, J.; Gong, Y. An evolutionary game model analysis on emission control areas in China. Mar. Policy 2020, 118, 104010. [Google Scholar] [CrossRef]
- Weinstein, M.I. Lyapunov stability of ground states of nonlinear dispersive evolution equations. Commun. Pure Appl. Math. 1986, 39, 51–67. [Google Scholar] [CrossRef]
- Kosfeld, M.; von Siemens, F.A. Competition, cooperation, and corporate culture. RAND J. Econ. 2011, 42, 23–43. [Google Scholar] [CrossRef]
- Madani, K.; Farhidi, F.; Gholizadeh, S. Bargaining power in cooperative resource allocations games. Algorithms 2022, 15, 445. [Google Scholar] [CrossRef]
Disclaimer/Publisher’s Note: The statements, opinions and data contained in all publications are solely those of the individual author(s) and contributor(s) and not of MDPI and/or the editor(s). MDPI and/or the editor(s) disclaim responsibility for any injury to people or property resulting from any ideas, methods, instructions or products referred to in the content. |
© 2024 by the authors. Licensee MDPI, Basel, Switzerland. This article is an open access article distributed under the terms and conditions of the Creative Commons Attribution (CC BY) license (https://creativecommons.org/licenses/by/4.0/).







