Abstract
The purpose of this study is to look into the differences in leaf functional traits between Cunninghamia lanceolata from different provenances, as well as to expose the response characteristics of leaf morphological and stoichiometric traits of Cunninghamia lanceolata from different provenances to diverse the environment of provenances. In this study, we chose 30 Cunninghamia lanceolata from different provenances as the research object and analyze the differences in leaf morphological and stoichiometric traits of Cunninghamia lanceolata from different provenances, the relationships among leaf functional traits, and the relationships between leaf functional traits and environmental factors of provenances. The results showed that the coefficient of variation of leaf morphological traits was 15.31% to 22.86%, and the coefficient of variation of stoichiometry provenances was 3.19% to 26.05%. The coefficient of variation of leaf carbon content was relatively small, indicating that carbon is the most stable element in the Cunninghamia lanceolata. And significant correlations are observed among different leaf functional traits. Using redundancy analysis to explore the relationship between leaf functional traits and environmental factors of provenances, it was found that the genetic effects of environmental factors explained 43.19% of the heterogeneity in leaf functional traits of Cunninghamia lanceolata. As a result, studying the variation of leaf functional traits of Cunninghamia lanceolata from different provenances, as well as how they correlate with environmental factors in provenances, is critical for understanding and predicting the responses and adaptations of Cunninghamia lanceolata from different provenances in the backdrop of global changes in the environment, and it additionally serves as a scientific basis for the sustainable development of Cunninghamia lanceolata and the selection of excellent Cunninghamia lanceolata provenances. Meanwhile, it makes scientific recommendations for China to do research on the sustainable development and productivity enhancement of cedar plantation forests.
1. Introduction
Cunninghamia lanceolata (Lamb.) Hook is a prominent fast–growing timber species in southern China. It is widely dispersed over 19 Chinese provinces, with a geographical distribution pattern characterized by “multi–centered origin” [1]. Cunninghamia lanceolata is distinguished by rapid growth, superior material quality, and yield, among other characteristics. It plays a vital role in forestry output [2,3,4], accounting for approximately one–fifth and one–fourth of the main dominant species in China’s plantation tree forests [2,3,5]. Recently, Cunninghamia lanceolata plantation forests have faced challenges such as diminished biodiversity, declining soil strength, and poor ecological performance [6]. Because of their extensive range and ecological diversity, Cunninghamia lanceolata have developed distinct regional provenances through long–term selection, and the leaf functional traits of different provenances have yet to be fully described.
“Plant functional traits” are measurable individual traits of plants that respond and adapt to their surroundings over time and are directly tied to their survival, growth, and reproduction [7,8]. Plant functional traits have a long research history and were first defined at the end of the twentieth century as core attributes that reflect plants’ adaptive mechanisms in response to environmental change and can influence ecosystem functioning [9,10]. In recent years, ecological research has focused on the temporal and spatial variation of plant functional traits, the link between traits and ecosystem functions, traits and resource–environmental changes, and adaptive mechanisms [11]. The leaf is the most exposed organ to the atmosphere, the organ most sensitive to the plant’s response to the environment [12,13,14], and the central site of transpiration and photosynthesis in the plant. Its intrinsic physiological and extrinsic morphological characteristics reflect plant function and condition [14,15,16,17].
When the environment changes, plants exhibit numerous obvious morphological, physiological, and behavioral adaptations via natural selection. Plants have been demonstrated to adapt to environmental changes by altering the leaf chemical element stoichiometry ratio and regulating leaf morphology [4,18,19,20,21,22,23]. Meanwhile, leaf functional traits are distinguished by ease of measurement, operability, and a more accurate representation of plant physiological processes [24,25]. As a result, leaf functional traits have steadily become a popular issue in ecological research.
Numerous scholars have studied the growth [26,27,28,29], wood properties [4,30], and functional traits of Cunninghamia lanceolata from different provenances [1,31,32,33,34,35,36,37,38,39]. However, little research has been undertaken to investigate the differences in functional traits and stoichiometric traits of Cunninghamia lanceolata leaves from diverse provenances, as well as the link between these functional trait characteristics and environmental parameters in the provenances. Leaf functional traits indicate the plant body’s adaptive strategies for varied settings [40] and are influenced by environmental variability. Dong et al. [41] discovered that pepper leaves in warmer places were larger than those in colder regions. Gong et al. [42] demonstrated that temperature was an important determinant in leaf phenotypic traits, with LA strongly inversely linked with air temperature and leaves from cooler regions being smaller.
Therefore, in this study, we took the Cunninghamia lanceolata provenance forests of Jiangxi Dagangshan Forest Ecosystem National Field Scientific Observatory (hereinafter referred to as “Dagangshan Station”) as the object of study, and analyzed the differences in morphological and stoichiometric traits of fir leaves from different provenances, the correlation between traits, and their relationship with environmental factors of provenance, with a view to providing a scientific basis for the selection of the fir plantation forests, and the seed source of high-quality fir, and to provide a scientific guide for the further exploration of the mechanism of the impacts of the sustainable development of fir plantation forests, the improvement of productivity of fir plantation forests, and the effects of the global change on the functional traits of the foliage of the plants in China.
2. Materials and Methods
2.1. Overview of the Study Area
The research area is the provenance forests of Cunninghamia lanceolata established in Dagangshan Station, Jiangxi Province, which is located in Fenyi County, Jiangxi Province, at 114°30′–114°45′ E and 27°30′–27°50′ N. Dagangshan Mountain serves as a tributary of the Wugong Mountains, situated near the northern extremity of the Luoxiao Mountains. The main bulk faces north−south, with the topography gradually decreasing from west to east. Dagangshan Station is situated in the central subtropical zone, with warm and humid weather conditions. The average annual temperature is 15.8–17.7 °C, and the average precipitation is 1591 mm per year, separated into obvious rainy and dry seasons, with April–June concentrated in both. The dry season lasts from April to June, accounting for 45% of total annual rainfall, and just 13% from October to December; the average annual frost-free period is 265 days, and the growth season is lengthy.
To investigate the effects of provenances’ environmental factors on leaf functional traits, the environmental factors selected included topographic factors (longitude and latitude) and meteorological factors (average annual temperature, average annual precipitation, January temperature, July temperature, precipitation during the growing season, and average temperature during the growing season). Meteorological factor data were obtained from the Meteorological Data Center of the China Meteorological Administration (http://data.cma.cn/ (accessed on 1 February 2024)) by calculating the multi-year averages of each indicator from 1980–2019 (Table 1).
Table 1.
Basic information of various provenances for sample plots.
2.2. Sampling and Measuring Techniques
In October 2023, 42-year-old Cunninghamia lanceolata from 30 provenances were chosen for leaf sampling in the study region. Three healthy, well-established individuals from each provenance were chosen for sampling. Branches containing leaves were taken at random from various directions of the canopy using high pruning shears, and well-grown, disease-free, and pest-free leaves were chosen as samples. To avoid damage, the leaf samples were carefully packed in self-sealing bags before being numbered and recorded for the measurement of leaf morphological traits and stoichiometric traits.
2.2.1. Determination of Morphological Traits
(1) Leaf area (LA/mm2): The 20 leaf samples collected were simply cleaned up before being placed in the CanoScan scanner to obtain scanned images of the leaves and save them as markers. The image processing software Image J was then used to measure the area of the leaves, and the average value was the leaf area, which was accurate to 0.01 mm2.
(2) Leaf dry matter content (LDMC/mg·mg−1): LDMC is determined by dividing the leaf’s dry weight by its fresh weight. The collected leaves were cleaned, weighed with an electronic scale, and the total fresh weight of 20 leaves, which were subsequently placed into a tagged paper bag and put into the oven, after being killed at 105 °C for 0.5 h, and then baked in the oven at 80 °C for 48 h to a constant weight. The dry weight of the leaves was determined using an electronic scale, and the dry matter content of the leaves was then computed.
(3) Leaf thickness (LT/mm): 20 leaves were randomly selected from each provenance and measured using electronic vernier calipers with an accuracy of 0.01 mm (avoiding the leaf veins when measuring). The leaf thickness was randomly measured and recorded in three different positions, and the average value was used to calculate the leaf thickness value.
(4) Specific leaf area (SLA/mm2·mg−1): SLA is calculated by dividing the leaf area (mm2) by its dry weight (mg).
(5) Specific leaf weight (SLW/mg·mm−2): SLW is calculated by dividing the leaf dry weight (mg) by its area (mm2).
2.2.2. Determination of Stoichiometric Traits
The leaf samples were killed at 105 °C for 0.5 h before being baked in an oven at 80 °C for 48 h to achieve a consistent mass. The dried leaf samples were ground into a powder with a sample pulverizer and sieved through a 100-mesh sieve to determine the C, N, and P contents and their stoichiometric ratios.
(1) Leaf carbon content (LCC g·kg−1): LCC is evaluated using oxidative external heating and potassium dichromate.
(2) Leaf nitrogen content (LNC g·kg−1): LNC is evaluated using a fully automated Kjeldahl analyzer (KD310 A KjelROC Automatic Kjeldahl Analyzer, OPSIS AB, Sweden) after H2SO4 decoction.
(3) Leaf phosphorus content (LPC g·kg−1): the stock solution after HNO3 and HCLO4 decoction was obtained and measured by plasma emission spectrometer inductively coupled plasma-optical emission spectroscopy, iCAP Pro XP, Thermo Fisher, Waltham, MA, USA).
(4) Leaf potassium content (LKC g·kg−1): the stock solution after HNO3 and HCLO4 boiling was obtained and measured using a plasma emission spectrometer (inductively coupled plasma-optical emission spectroscopy, iCAP Pro XP, Thermo Fisher, USA).
(5) The leaf carbon-nitrogen ratio (LC:N): LC:N is derived by dividing the leaf carbon content (g·kg−1) by the leaf nitrogen content.
(6) The leaf carbon-phosphorus ratio (LC:P): LC:P is derived by dividing the leaf carbon content (g·kg−1) by the leaf phosphorus content.
(7) The leaf nitrogen-phosphorus ratio (LN:P): LN:P is derived by dividing the leaf nitrogen content (g·kg−1) by the leaf phosphorus content.
2.3. Data Processing
The mean, standard deviation, and coefficient of variation (CV) of leaf functional trait data and environmental factor data were obtained.
In this study, the methods were one-way ANOVA to explore the significance of the functional traits of fir leaves from different provenances, Spearman’s correlation analysis to correlate the relationships among the functional traits of leaves, RDA (redundancy analysis) to explore the relationships between the functional traits and the environmental factors of the provenances, and Excel2021 and Origin2021 to create graphs and charts.
CV, for example, is a standardized measure of the probability distribution’s dispersion that captures the absolute value of the data’s dispersion. The formula is CV = (SD/mean) × 100%. The larger the CV, the greater the range of trait values [43]. It can be used to compare and quantify the degree of variation in various attributes [44]. All data were presented as the mean ± standard deviation (SD).
3. Results and Analysis
3.1. Correlation Studies on Leaf Functional Traits of Cunninghamia lanceolata
3.1.1. Correlation between Leaf Morphological Traits of Cunninghamia lanceolata
As Table 2 demonstrates, there is a correlation between leaf morphological traits of Cunninghamia lanceolata. LDMC was significantly positively correlated with LA (r = 0.206, p < 0.05) and SLW (r = 0.737, p < 0.01), and show a significant negative correlation with LT (r = −0.334, p < 0.01) and SLA (r = −0.733, p < 0.01).
Table 2.
Correlation of leaf morphological traits.
3.1.2. Correlations between Leaf Stoichiometric Traits of Cunninghamia lanceolata
As shown in Table 3, there are strong correlations between the stoichiometric traits of fir leaves.
Table 3.
Correlation of leaf stoichiometric traits.
LCC showed significant negative correlation with LPC (r = −0.321, p < 0.01) and LKC (r = −0.261, p < 0.05), and significant positive correlation with LC:N (r = 0.409, p < 0.01), LC:P (r = 0.439, p < 0.01), LN:P (r = 0.319, p < 0.01).
LNC showed significant positive correlation with LPC (r = 0.517, p < 0.01), LKC (r = 0.447, p < 0.01), and significant positive correlation with LC:N (r = −0.946, p < 0.01), LC:P (r = −0.491, p < 0.01) showed a significant negative correlation.
LPC showed a significant positive correlation with LKC (r = 0.644, p < 0.01), and a significant negative correlation with LCC (r = −0.321, p < 0.01) and LC:N (r= −0.555, p < 0.01), LC:P (r = −0.967, p < 0.01), and LN:P (r = −0.802, p < 0.01).
LKC showed a significant negative correlation with LC:N (r = −0.490, p < 0.01), LC:P (r = −0.646, p < 0.01), and LN:P (r = −0.464, p < 0.01) showed significant negative correlation.
LC:N showed a significant positive correlation with LC:P (r = 0.590, p < 0.01).
LC:P showed a significant positive correlation with LN:P (r = 0.818, p < 0.01).
3.1.3. Correlation between Leaf Morphological and Stoichiometric Traits of Cunninghamia lanceolata
As can be seen from Figure 1, there were certain correlations (p < 0.01, p < 0.05) between the morphological traits and stoichiometric traits of Cunninghamia lanceolata leaves. LT had significant positive correlations (p < 0.01, p < 0.05) with LCC, LC:P, and LN:P, and significant negative correlations (p < 0.01, p < 0.05) with LPC, LKC; LDMC had a significant positive correlation with LNC, LPC, LKC (p < 0.01), and a significant negative correlation with LC:N, LC:P (p < 0.01); SLA had significant negative correlations with LNC, LPC, LKC (p < 0.05), and significant positive correlations (p < 0.01, p < 0.05) with LCC, LC:N and LC:P; SLW has significant positive correlations with LNC, LPC, LKC (p < 0.05) and significant negative correlations (p < 0.05) with LCC, LC:N and LC:P.
Figure 1.
Correlation between leaf morphological and stoichiometric traits of Cunninghamia lanceolata.
3.2. Differences in Leaf Functional Traits of Cunninghamia lanceolata from Different Provenances
3.2.1. Differences in Leaf Morphological Traits of Cunninghamia lanceolata from Different Provenances
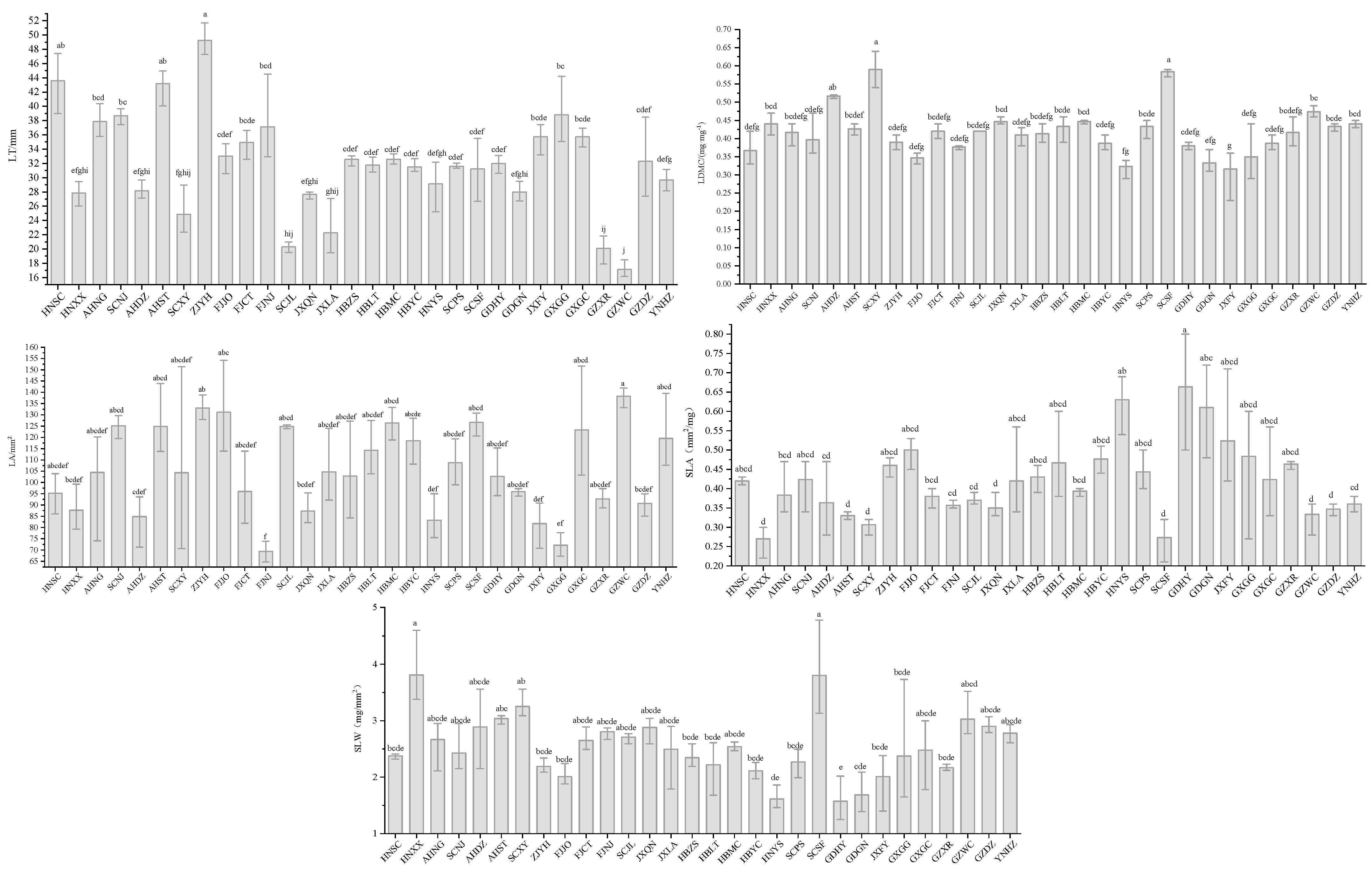
The coefficients of variation of leaf morphological traits among Cunninghamia lanceolata from different provenances ranged from 15.31% to 22.86% (Table 4), among which the coefficient of variation of SLA was the largest (22.86%), followed by LT (22.31%), SLW (21.42%), LA (18.02%), and LDMC was the smallest (15.31%). There were significant differences in LT, LDMC, LA, SLA, and SLW among Cunninghamia lanceolata from different provenances (Figure 2). The greatest LT of Cunninghamia lanceolata is from Yunhe, Zhejiang Province (ZJYH); the greatest LDMC of Cunninghamia lanceolata is from Xuyong, Sichuan Province (SCXY); the greatest LA of Cunninghamia lanceolata is from Shifang, Sichuan Province (SCSF); the greatest SLA of Cunninghamia lanceolata is from Heyuan, Guangdong Province (GDHY); the SLW of Cunninghamia lanceolata is from Henan Xinxian (HNXX).
Table 4.
Characteristics of the variation in leaf morphological traits of Cunninghamia lanceolata among different provenances.
Figure 2.
Differences in leaf morphological traits of Cunninghamia lanceolata from different provenances (significant differences (p < 0.05) are indicated with different letters).
3.2.2. Differences in Leaf Stoichiometric Traits of Cunninghamia lanceolata from Different Provenances
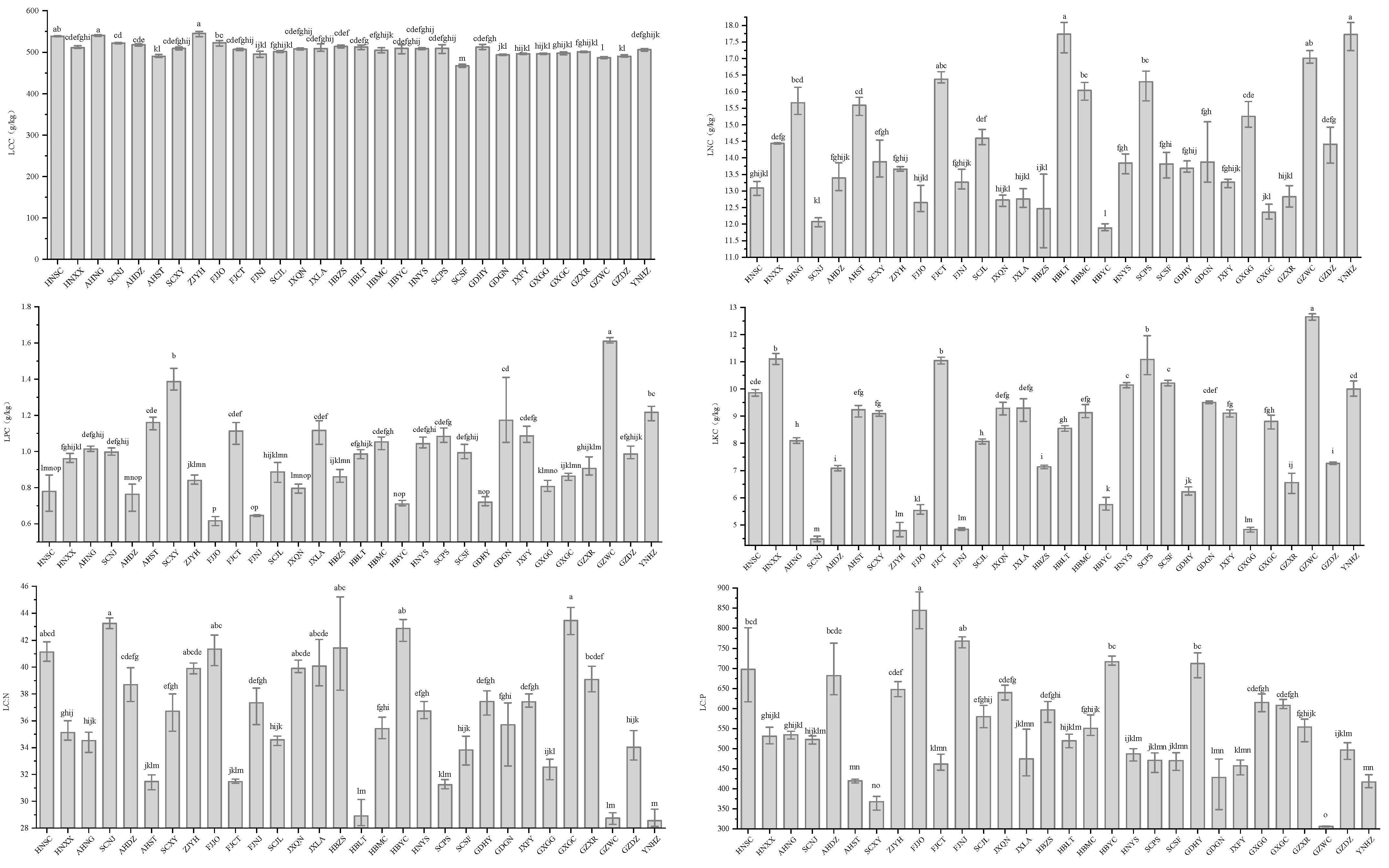
The coefficients of variation of leaf stoichiometric traits among different provenances of Cunninghamia lanceolata were 3.19–26.05% (Table 5), among which the coefficient of variation of LKC was the largest (26.05%), and LCC was the smallest (3.19%). There were remarkable differences in leaf stoichiometric traits among different provenances of Cunninghamia lanceolata (Figure 3), with Cunninghamia lanceolata from Yunhe, Zhejiang Province (ZJYH) having the largest LCC; Cunninghamia lanceolata from Luotian, Hubei Province (HBLT) having the largest LNC; and Cunninghamia lanceolata from Wuchuan, Guizhou Province (GZWC) having the largest LPC and leaf potassium content; The LC:N of Cunninghamia lanceolata leaves was the largest in Guangxi Gongcheng (GXGC); the LC:P of Cunninghamia lanceolata leaves and the LN:P of fir leaves were the largest in Fujian Jianou (FJJO).
Table 5.
Characteristics of variation in C, N, P stoichiometric traits of Cunninghamia lanceolata leaves from different provenances.

Figure 3.
Differences in the stoichiometric characteristics of Cunninghamia lanceolata leaves from different provenances (significant differences (p < 0.05) are indicated with different letters).
3.3. Redundancy Analysis of Leaf Functional Traits with Environmental Factors of Provenances
Leaf morphological and stoichiometric traits of Cunninghamia lanceolata from different provenances were subjected to RDA with longitude, latitude, average annual temperature, average annual precipitation, January’s temperature, July’s temperature, average growing season temperature, and growing season precipitation in the provenances, and the results were shown in Figure 4, which showed that the mean annual air temperature, mean annual precipitation, mean growing season temperature and growing season precipitation were highly and positively correlated with LN:P, and LC:P, and significantly and negatively correlated with LA, LPC, LDMC; latitude was significantly positively correlated with and LA, LPC, and LDMC, and highly negatively correlated with LN:P and LC:P.
Figure 4.
RDA analysis of leaf morphological and stoichiometry traits of Cunninghamia lanceolata from different provenances with geo-environmental factors. NOTE: LT: leaf thickness; LA: leaf area; SLA: specific leaf area; SLW: specific leaf weight; LDMC: Leaf dry matter content; LCC: leaf carbon content; LNC: leaf nitrogen content; LPC: leaf phosphorus content; LKC: leaf phosphorus content; Lon.: longitude; Lat.: latitude; Jan. T: January temperature; Jul. T: July temperature; AAT: average annual temperature; AAP: average annual precipitation; GAAP: precipitation during the growing season; GAAT: average temperature during the growing season.
4. Discussion
4.1. Correlations among Leaf Functional Traits
Plant functional traits often do not vary independently [45,46,47], but rather through coordinated changes in multiple traits to adapt to changes in the environment [48,49]. As an illustration, He et al. [50] investigated the leaf economic spectrum of 74 species of plants discovered in alpine meadows on the Tibetan Plateau of China. They discovered that there were correlations between the leaf traits of these species, with the leaf nitrogen content having a significant positive correlation with the rate of photosynthesis per unit of mass and a significant negative correlation with the leaf area ratio, which was consistent with the findings of global data. Plants in this region exhibited similar trends, according to Freschet et al. [51], which examined leaf functional traits of terrestrial and aquatic plants in three different environments in northern Sweden.
In this study, we discovered a link between fir leaf morphological and stoichiometric traits. Among the leaf morphological traits, there were significant negative correlations between LDMC, LT, and SLA, which was consistent with previous findings [1,52], and it was also sufficiently demonstrated that there was a general correlation between leaf morphological traits, which was a comprehensive result of the plant’s adaptations to the environment. There is a close relationship between the plant structural chemical element C and the functionally limiting chemical elements N and P, which work together to regulate plant growth [53]. A significant change in any of the components in the plant organism alters the stoichiometric properties of C, N, and P. Therefore, variations in the stoichiometric traits of C, N, and P can be utilized to detect the type of element that inhibits the organism’s growth, development, or reproduction [54]. Plant leaf nitrogen (N) and phosphorus (P) levels impede photosynthetic metabolic processes, growth, and productivity. Their stoichiometry and scaling relationships control nitrogen and phosphorus partitioning at the subcellular, organismal, and even ecological levels, and are essential for predicting plant development and nutrient cycling in terrestrial ecosystems. In this study, there was a general correlation between leaf carbon, nitrogen, and phosphorus stoichiometric characteristics, such as LCC, which had a significant positive correlation with the LC:N, LC:P, and LN:P but a significant negative correlation with LPC and LKC. This is due to the fact that carbon, nitrogen, and phosphorus are the most important life elements necessary for plants. When plants are limited by certain nutrient element during the growth process, they will regulate the ratio of each nutrient in the body to maintain the normal growth and physiological activities. Therefore, there is a significant correlation between leaf C, N, P and their ecological stoichiometric ratios, which in essence reflects the internal stability of plant ecological stoichiometry [55].
In this study, we discovered a broad relationship between plant leaf morphological and stoichiometric traits. For example, there was a substantial positive link between LT and LCC, LC:N, and LC:P, which supported Fu Yu’s findings [56]. This could be because plants with thicker leaves produce more structural organic components like cellulose and lignin, increasing LCC, as well as LC:N and LC:P [57].
As a result, the study, which investigates the links among leaf functional traits of Cunninghamia lanceolata, many of the findings further verify the results of earlier studies while also providing new probable conclusions for the association among leaf functional traits.
4.2. Variation in Leaf Functional Traits
Plants’ long-term adaptation to the environment of the provenance will inevitably result in the differentiation of physiological and ecological traits, resulting in the formation of different provenances [1,39], leading to significant differences in leaf functional traits with various provenances. The climatic, geomorphologic, soil, and other terrestrial conditions at the origin of different production areas differ. As a result of the influence of different factors, the genetic basis of different Cunninghamia lanceolata provenances appears to be different, and when they are introduced into homogeneous gardens for cultivation, this variability results in the differential response of different provenances to the climatic factors in the planting location [39]. Plants with a wide geographical distribution grow under widely varying environmental conditions for a long time, and to adapt to environmental changes in their regions, they produce variations in functional traits and physiological properties to cope with the environmental changes, resulting in provenances [58]. Numerous studies have revealed that plants are affected by their provenance environment throughout time, resulting in the genetic differentiation of functional properties. Liu et al. [59] discovered that the leaf morphology, or leaf nutritional traits, and photosynthetic traits of B. glabra from different provenances showed trait differentiation with coefficients of variation ranging from 3.41% to 80.09% when the functional traits of B. glabra leaves from eight different provenance locations were determined.
In this study, the corresponding coefficients of variation among provenances for the morphological traits of fir leaves ranged from 15.31% to 22.86%, and the coefficients of variation among provenances for the stoichiometric traits ranged from 3.19% to 26.05%, with the coefficients of variation for the LA, SLA, SLW, LT, LPC, LC:P, and LKC being larger and more significant. The coefficients of variation were substantial, and the differences between provenances were significant, implying that the functional qualities listed above were more sensitive to environmental responses. This is consistent with the findings of Ma et al. [60], Xue et al. [61], Chen et al. [62], and Wen Shanna [63]. Ma et al. [60] investigated camphor and discovered considerable changes in leaf characteristics between provenances. Xue et al. [61] discovered that the leaf traits of Quercus acutissima with various provenances differed substantially. Chen et al. [62] discovered that different provenances had a bigger impact on the leaf functional traits of Liaodong oak by studying the leaf morphological traits of Liaodong oak.
In this study, the coefficient of variation of LCC among different provenances was the smallest, reflecting its characteristic of ecological stoichiometry endo−stability, i.e., the ability to maintain the relative stability of its chemical element composition [1,64,65], which is consistent with the conclusion of Xu Rui et al. [1]. Plant LC:N and LC:P characterize the plant’s nutrient use efficiency and carbon assimilation capacity. Studies have shown that the higher the LC:N and LC:P, the lower the plant’s N and P use efficiency [66]. Plant growth is primarily limited by N and P, with N/P indicating the supply of nutrients from the environment. N/P < 14 indicates that plant growth is limited by N, while N/P > 16 indicates that plant growth is limited by P [67].
The reasons for these differences in leaf functional traits are related to the genetic and environmental factors of the various source fir trees [58,68]. Differences in the environmental factors of the various provenances, as well as long-term geographic isolation and natural selection, have resulted in variations in the physiological and ecological characteristics of the fir trees in the various provenances.
4.3. Effects of Environmental Factors of Provenances on Leaf Functional Traits
Wang et al. [69] discovered that mean annual temperature and precipitation were the most important environmental factors influencing leaf traits in white spurge; Cui et al. [70] found that mean annual temperature and precipitation were favorably connected with LC:N and negatively correlated with LPC in a study of young red bean trees. The findings of this study were mainly consistent with the conclusions indicated above. When mean annual temperature and precipitation increased, LA and LPC decreased. This is because increasing precipitation causes plants to produce huge amounts of chlorophyll and photosynthetic proteins to boost photosynthesis efficiency, resulting in increased N content but decreasing P content [1]. In this study, LA was found to be significantly negatively connected with longitude and positively correlated with latitude, but LT was significantly favorably correlated with longitude. However, this investigation did not fully support the findings of Li et al. [71] and Liu et al. [72]. Li et al. [71] demonstrated that LA decreased with increasing sea longitude and latitude, whereas Liu et al. discovered that LT of the Fujian cypress was strongly negatively linked with latitude. As a result, it appears that different plants’ response mechanisms to diverse ecological conditions are not identical.
5. Conclusions
The coefficients of variation of leaf morphological and stoichiometric traits of Cunninghamia lanceolata from different geographic provenances ranged from 3.19% to 26.05%, which indicated that the leaf functional traits of Cunninghamia lanceolata were plastic and varied markedly in response to the environment. Among them, the coefficient of variation of LCC was the smallest (3.19%), which was due to the fact that carbon is a structural substance composing the plant and one of the main basic elements in the plant body, reflecting the fact that it has the characteristic of ecological stoichiometric stability. Cunninghamia lanceolata does not act through a single leaf functional trait but through the covariation between multifunctional traits, constantly regulating its own condition and thus adapting to environmental changes.
In general, the current study first revealed differences in cedar leaf morphology and stoichiometry across provenances, as well as their interrelationships and associations with climatic and environmental factors. However, due to a lack of data on the number of provenances and climatic factors, the findings of this study do not fully clarify the impact of climate on the geographic distribution pattern of Cunninghamia lanceolata. In the future, we will improve the comprehensiveness and accuracy of the data by increasing the number of samples and supplementing the microtopographic and microenvironmental factors, such as soil nutrients, sunshine duration, and slope direction, in the provenances.
Author Contributions
Conceptualization, Y.W. and X.N.; methodology, Y.W.; software, Y.W.; validation, Y.W.; formal analysis, Y.W.; investigation, Y.W.; resources, B.W. and X.N.; data curation, Y.W.; writing—original draft preparation, Y.W.; writing—review and editing, Y.W. and X.N.; visualization, Y.W.; supervision, Y.W., X.N. and B.W.; project administration, X.N. and B.W.; funding acquisition, X.N. and B.W. All authors have read and agreed to the published version of the manuscript.
Funding
This research was funded by the National Key Research and Development Plan (No: 2021YFF0703905), the State Forestry and Grassland Administration Key Project: Study on hydrofunctional traits and water use efficiency of the forests of Cunninghamia lanceolata from different provenances in DagangshanMountain (No: CAFYBB2020ZE003).
Institutional Review Board Statement
Not applicable.
Informed Consent Statement
Not applicable.
Data Availability Statement
The data presented in this study are available on request from the corresponding author due to privacy.
Acknowledgments
We gratefully acknowledge Dagangshan National Key Field Observation and Research Station for Forest Ecosystem for providing the necessary equipment. The anonymous reviewers are acknowledged for their valuable comments.
Conflicts of Interest
The authors declare no conflicts of interest.
References
- Xu, R.; Liu, J.; Wang, L.; Yan, Y.; Ma, X.; Li, M. Analysis of Root and leaf functional traits and C, N, P stoichiometry of Cunninghamia lanceolate from different provenances. Acta Ecol. Sin. 2022, 42, 6298–6310. [Google Scholar]
- Xia, L.; Yu, J.; Deng, L.; Li, X.; Zhou, C.; Xu, Y. Researches on Soil Decline of Chinese Fir Plantations. World For. Res. 2018, 31, 37–42. [Google Scholar]
- Fei, Y.; Wu, Q.; Zhang, X.; Lu, J.; Ji, C.; Lin, K.; Cao, S.; Lin, S.; Cao, G. Effects of different undergrowth vegetation management measures on soil characteristics and timber outturn of a large–diameter, timber plantation of Cunninghamia lanceolate. Acta Appl. Environ. Biol. 2020, 26, 626–634. [Google Scholar]
- Yan, Y.; Li, B.; He, Z.; Liu, Y.; Li, M.; Yu, X.; Ma, X. Comparative Study on Wood Characteristics of Cunninghamia lanceolata from Different Provenances. For. Res. 2021, 34, 49–57. [Google Scholar]
- Sheng, W. Chinese’s Artificial Forestry and Its Silvicultural System; China Forestry Press: Beijing, China, 2014. [Google Scholar]
- Luo, H.; Luo, J.; Feng, H.; Xiao, M.; Yang, S.; Li, Y.; Liu, J.; Li, X. Restoration dynamics of medicinal plant species diversity in Cunninghamia. Agric. Technol. 2024, 30, 35–45. [Google Scholar]
- Violle, C.; Navas, M.L.; Vile, D.; Kazakou, E.; Fortunel, C.; Hummel, I.; Garnier, E. Let the concept of trait be functional! Oikos 2007, 116, 882–892. [Google Scholar] [CrossRef]
- Diaz, S.; Cabido, M.; Casanoves, F. Plant functional traits and environmental filters at a regional scale. J. Veg. Sci. 1998, 9, 113–122. [Google Scholar] [CrossRef]
- McIntyre, S.; Lavorel, S.; Landsberg, J. Forbes TDA Disturbance response in vegetation−towards a global perspective on functional traits. J. Veg. Sci. 1999, 10, 621–630. [Google Scholar] [CrossRef]
- Weiher, E.; Van Der Werf, A.; Thompson, K.; Roderick, M.; Garnier, E.; Eriksson, O. Challenging Theophrastus: A common core list of plant traits for functional ecology. J. Veg. Sci. 1999, 10, 609–620. [Google Scholar] [CrossRef]
- He, N.; Liu, C.; Piao, S.; Sack, L.; Xu, L.; Luo, Y.; He, J.; Han, X.; Zhou, G.; Zhou, X.; et al. Ecosystem Traits Linking Functional Traits to Macroecology. Trends Ecol. Evol. 2019, 34, 200–210. [Google Scholar] [CrossRef]
- Yu, H.; Zhong, Q.; Cheng, D.; Zhang, Z.; Xu, C.; Zheng, W.; Pei, P. Leaf C, N, P stoichiometry of Machilus pauhoi understory seedlings of different provenances. Sci. Silvae Sin. 2018, 54, 22–32. [Google Scholar]
- Wang, K.; Li, Y.; Jiang, T.; Yao, H.; Zhan, S. Effects of drought stress on N and P stoichiometry and allocation of poplar seedlings. Chin. J. Ecol. 2017, 36, 3116–3122. [Google Scholar]
- Jin, Y.; Wang, C. Trade-offs between plant leaf hydraulic and economic traits. Chin. J. Plant Ecol. 2015, 39, 1021–1032. [Google Scholar]
- Sardans, J.; Alonso, R.; Carnicer, J.; Fernández-Martínez, M.; Vivanco, M.; Peñuelas, J. Factors influencing the foliar elemental composition and stoichiometry in forest trees in Spain. Perspect. Plant Ecol. Evol. Syst. 2016, 18, 52–69. [Google Scholar] [CrossRef]
- Zhang, P.; Shen, Y.; Zhang, X.; Nie, M.; Wen, H.; Ma, H. Study on Leaf Carbon, Nitrogen and Phosphorus Eco-stoichiometric Characteristics and Community Stability of Dominant Plants in Ningxia Desert Steppe. Chin. J. Grassl. 2022, 44, 18–26. [Google Scholar]
- Han, R.; Tian, Q.; Sun, Y.; Li, J.; Zhu, Z. Stoichiometric characteristics of carbon, nitrogen and phosphorus in the leaves of 42 woody landscape plants in Lanzhou City of northwestern China. J. Beijing For. Univ. 2023, 45, 110–119. [Google Scholar]
- Chen, Y.; Han, W.; Tang, L.; Tang, Z.; Fang, J. Leaf nitrogen and phosphorus concentrations of woody plants differ in responses to climate, soil and plant growth form. Ecography 2013, 36, 178–184. [Google Scholar] [CrossRef]
- Roa−Fuentes, L.; Templer, P.; Campo, J. Effects of precipitation regime and soil nitrogen on leaf traits in seasonally dry tropical forests of the Yucatan Peninsula, Mexico. Oecologia 2015, 179, 585–597. [Google Scholar] [CrossRef]
- Zhang, K.; Hou, J.; He, N. Leaf functional trait distribution and controlling factors of Pinus tabuliformis. Acta Ecol. Sin. 2017, 37, 736–749. [Google Scholar]
- Zhang, L.; Lv, G.; Jiang, L.; Li, Z.; Zhang, Y. Relationship between Primary Productivity, Carbon Storage and Functional Traits of Desert Plants in Arid Regions. J. Xinjiang Univ. (Nat. Sci. Ed. Chin. Engl.) 2020, 37, 63–74. [Google Scholar]
- Ke, M.; Wang, W.; Zhou, Q.; Wang, Y.; Liu, Y.; Yu, Y.; Chen, Y.; Peng, Z.; Mo, Q. Response of leaf functional traits to precipitation change: A case study from tropical woody tree. Glob. Ecol. Conserv. 2022, 37, e02152. [Google Scholar] [CrossRef]
- Xiong, L.; Long, C.; Liang, S.; Wu, T.; Liu, Q.; Liao, Q.; Xue, F. Response of Leaf Functional Traits of Woody Plants to Soil Characteristics in Karst Forests. J. Trop. Subtrop. Bot. 2023, 1–10. Available online: https://link.cnki.net/urlid/44.1374.Q.20230901.1427.002 (accessed on 1 February 2024).
- Cornelissen, J.; Lavorel, S.; Garnier, E.; Díaz, S.; Buchmann, N.; Gurvich, D.; Reich, P.; ter Steege, H.; Morgan, H.D.; van der Heijden, M.G.A.; et al. A handbook of protocols for standardised and easy measurement of plant functional traits worldwide. Aust. J. Bot. 2003, 51, 335–380. [Google Scholar] [CrossRef]
- Sun, M.; Tian, K.; Zhang, Y.; Wang, X.; Guan, D.; Yue, H. Research on leaf functional traits and their environmental adaptation. Plant Sci. J. 2017, 35, 940–949. [Google Scholar]
- Wu, P.; Tigabu, M.; Ma, X.; Odén, P.; He, Y.; Yu, X.; He, Z. Variations in biomass, nutrient contents and nutrient use efficiency among Chinese fir provenances. Silvae Genet. 2011, 60, 95–105. [Google Scholar] [CrossRef]
- Wu, H.; Duan, A.; Zhang, J. Growth Variation and Selection Effect of Cunninghamia lanceolata Provenances at Different Stand Ages. Sci. Silvae Sin. 2019, 55, 181–192. [Google Scholar]
- Huang, L.; Wu, P.; Ma, X.; Lin, K.; Liu, Y.; He, Z. Comparative Study on Growth of Fine Chinese fir (Cunninghamia lanceolata) Forest Plantations. J. Fujian For. Sci. Technol. 2021, 48, 8–11+17. [Google Scholar]
- Tang, Z.; Yin, H.; Hou, H.; Liu, X.; Zhou, X.; Yi, X. Comparison Analysis of Growth on Chinese Fir from Different Provenances. Cent. South For. Inventory Plan. 2023, 42, 47–51+55. [Google Scholar]
- Zhang, S.; Liu, J.; Lou, X.; Liu, Y.; Tong, Z.; Huang, H. Morphological characteristics of cells and main metabolic components in xylem of Cunninghamia lanceolata compression wood. J. Beijing For. Univ. 2015, 37, 126–133. [Google Scholar]
- Wu, X.; Li, B.; Yan, Y.; Li, M.; Wu, P.; Ma, X. Analysis of differences in fine root anatomical traits of Chinese fir from different provenances. J. For. Environ. 2023, 43, 232–239. [Google Scholar]
- Xu, R.; Cheng, S.; Zhou, J.; Tigabu, M.; Ma, X.; Li, M. Intraspecific variations in leaf functional traits of Cunninghamia lanceolata provenances. BMC Plant Biol. 2023, 23, 92. [Google Scholar] [CrossRef]
- Zhu, A.; Duan, A.; Zhang, J.; Zhang, X. Response to Annual Value of Temperature and Humidity for Tree Ring Width of Cunninghamia lanceolata Provenance Trial Stand in Liuzhou, Guangxi. For. Res. 2017, 30, 53–62. [Google Scholar]
- Li, B.; Yan, Y.; Zhang, H.; He, Z.; Liu, Y.; Ma, X. Comparison of fine root morphology and carbon and nitrogen content in Chinese fir from different provenances. J. For. Environ. 2019, 39, 561–567. [Google Scholar]
- Wu, X.; Li, B.; Yan, Y.; Wu, P.; Li, M.; Ma, X. Fine root morphology and ecological stoichiometric characteristics of Cunninghamia lanceolata from different provenances. J. For. Environ. 2023, 43, 113–122. [Google Scholar]
- Xu, T.; Niu, X.; Wang, B.; Qiu, X.; Shou, Y.; Luo, J.; Guo, Y. Variations in Leaf Functional Traits and Photosynthetic Parameters of Cunninghamia lanceolata Provenances. Forests 2023, 14, 1708. [Google Scholar] [CrossRef]
- Akalusi, M.; Bourque, C. Physiological and Morphological Variation in Balsam Fir Provenances Growing in New Brunswick, Canada. Forests 2021, 12, 186. [Google Scholar] [CrossRef]
- Zhu, A. Response of Tree Ring to Climate Change of Different Provenances of Cunninghamia lanceolata. Ph.D. Thesis, Chinese Academy of Forestry, Beijing, China, 2016. [Google Scholar]
- Liu, X.; Duan, A.; Zhang, J.; Zhang, X.; Zhu, A. Responses of δ13C Value of Cellulose in Tree Ring of Chinese Fir Provenances to Annual Climate Factors. For. Res. 2020, 33, 9–18. [Google Scholar]
- Song, L.; Tian, Q.; Li, G.; Li, Z.; Liu, X.; Gui, J.; Li, Y.; Cui, Q.; Zhao, Y. Variation in characteristics of leaf functional traits of alpine vegetation in the Three-River Headwaters Region, China. Ecol. Indic. 2022, 145, 109557. [Google Scholar]
- Dong, X.; Shi, L.; Bao, S.; Fu, H.; You, Y.; Ren, Y.; Wang, J.; Li, Q.; Chen, Z. Leaf traits of prickly ash and its correlation with ecological and geographical factors of origin. Sci. Rep. 2024, 14, 6276. [Google Scholar] [CrossRef]
- Gong, H.; Yang, M.; Wang, C.; Tian, C. Leaf phenotypic variation and its response to environmental factors in natural populations of Eucommia ulmoides. BMC Plant Biol. 2023, 23, 562. [Google Scholar] [CrossRef]
- Hu, H.; Bao, W.; Li, F. Differential vertical distribution of functional traits of fine roots of four cultivated tree species in the upper reaches of Minjiang River. Chin. J. Ecol. 2020, 39, 46–56. [Google Scholar]
- Liu, Y.; Guo, S. Leaf functional traits of 41 chestnut germplasms in Qianxi region. J. Northeast For. Univ. 2020, 48, 8–14+19. [Google Scholar]
- Wright, I.; Reich, P.; Westoby, M. Strategy shifts in leaf physiology, structure and nutrient content between species of high- and low- rainfall and high- and low-nutrient habitats. Funct. Ecol. 2001, 15, 423–434. [Google Scholar] [CrossRef]
- Wright, I.; Reich, P.B.; Westoby, M.; Ackerly, D.D.; Baruch, Z.; Bongers, F.; Cavender-Bares, J.; Chapin, T.; Cornelissen, J.H.; Diemer, M.; et al. The worldwide leaf economics spectrum. Nature 2004, 428, 821–827. [Google Scholar] [CrossRef]
- Reich, P.; Wright, I.; Cavender-Bares, J.; Craine, J.M.; Oleksyn, J.; Westoby, M.; Walters, M.B. The evolution of plant functional variation: Traits, spectra, and strategie. Int. J. Plant Sci. 2003, 164, S143–S164. [Google Scholar] [CrossRef]
- Candeias, M.; Fraterrigo, J. Trait coordination and environmental filters shape functional trait distributions of forest understory herbs. Ecol. Evol. 2020, 10, 14098–14112. [Google Scholar] [CrossRef]
- Ma, F.; Xu, T.; Liu, J.; Xiao, G.; Li, M.; Bi, J.; Na, X. Variations in Carbon, Nitrogen and Phosphorus Stoichiometry of Caragana liouana Originated from Nine Provenances in a Common Garden. Acta Bot. Boreali-Occident. Sin. 2017, 37, 1381–1389. [Google Scholar]
- He, J.; Wang, Z.; Wang, X.; Schmid, B.; Zuo, W.; Zhou, M.; Zheng, C.; Wang, M.; Fang, J. A test of the generality of leaf trait relationships on the Tibetan Plateau. New Phytol. 2006, 170, 835–848. [Google Scholar] [CrossRef]
- Freschet, G.T.; Cornelissen, J.H.; van Logtestijn, R.S.; Aerts, R. Substantial nutrient resorption from leaves, stems and roots in a subarctic flora: What is the link with other resource economics traits? New Phytol. 2010, 186, 879–889. [Google Scholar] [CrossRef]
- Zhou, Z. Response of Leaf Traits of Two Closely Related Caragana Species to Environmental Changes. Ph.D. Thesis, Ningxia University, Ningxia, China, 2020. [Google Scholar] [CrossRef]
- Sun, M.; Guan, J.; Yue, J. Carbon, nitrogen, and phosphorus stoichiometry in plant organs and soil of coniferous forests on the western loess plateau. J. Soil Water Conserv. 2017, 31, 202–208. [Google Scholar]
- Zeng, D.; Chen, G. Ecological stoichiometry: A science to explore the complexity of living systems. Acta Phytoecol. Sin. 2005, 29, 1007–1019. [Google Scholar]
- Yu, Q.; Elser, J.; He, N.; Wu, H.; Chen, Q.; Zhang, G.; Han, X. Stoichiometric homeostasis of vascular plants in the Inner Mongolia grassland. Oecologia 2011, 166, 1–10. [Google Scholar] [CrossRef]
- Fu, Y. Leaf Functional Traits of Main Plants and Their Relationships with Environmental Factors on the Western Slope of Wuyi Mountains. Master’s Thesis, Jiangxi Agricultural University, Nanchang, China, 2023. [Google Scholar]
- Niinemets, Ü. Global-scale climatic controls of leaf dry mass per area, density, and thickness in trees and shrubs. Ecology 2001, 82, 453–469. [Google Scholar] [CrossRef]
- Ji, Z.; Quan, X.; Wang, C. Variations in leaf anatomy of Larix gmelinii reflect adaptation of its photosynthetic capacity to climate changes. Acta Ecol. Sin. 2013, 33, 6967–6974. [Google Scholar]
- Liu, J.; Wang, X.; Li, Z.; Manda, B.; Zhao, H.; Zhou, G.; Pi, Z.; Chen, J. Differentiation of leaf functional traits in Swida wilsoniana from different provenances and their effects on seed characteristics. Nonwood For. Res. 2023, 41, 124–135. [Google Scholar]
- Ma, Y. Study on growth difference and copper resistance of different species of Cinnamomum camphora (L.) Presl. Ph.D. Thesis, Nanchang Institute of Technology, Jiangxi, China, 2019. [Google Scholar]
- Xue, M.; Fang, Y.; Dai, C.; Yin, Z. Differences in Leaf Characteristics and Water Use Efficiency of Quercus acutissima Seedlings from Different Provenances. North. Hortic. 2019, 13, 101–109. [Google Scholar] [CrossRef]
- Chen, C.; Liu, D.; Wu, K.; Hong, M.; Zhang, J.; Liu, Q.; Liang, Y. Leaf traits of Quercus wutaishanica and their relationship with topographic factors in Mount Dongling. Chin. J. Ecol. 2015, 34, 2131–2139. [Google Scholar]
- Wen, S.; Zhong, C.; Jiang, Q.; Chen, Y.; Zhang, Y.; Li, Q. Phenotypic Diversity Analysis of Seedling Leaf Traits of Manglietia conifera Dandy. Bull. Bot. Res. 2017, 37, 288–297. [Google Scholar]
- Sterner, R.; Elser, J. Ecological Stoichiometry: The Biology of Elements from Molecules to the Biosphere; Princeton University Press: Princeton, NJ, USA, 2002. [Google Scholar]
- Zhao, Y.; Cao, Y.; Chen, Y.; Peng, S. Ecological stoichiometry in a forest ecosystem in the hilly–gully area of the Loess Plateau. Acta Ecol. Sin. 2017, 37, 5451–5460. [Google Scholar]
- Hao, Y.; Zhou, L.; Wu, H.; Wang, S. Comparison of ecological stoichiometric characteristics of leaf–litter–soil in four types of Fraxinus mandshurica plantations. J. Nanjing For. Univ. (Nat. Sci. Ed.) 2019, 43, 101–108. [Google Scholar]
- Zhang, K.; He, M.; Li, X.; Tan, H.J.; Gao, Y.H.; Li, G.; Han, G.; Wu, Y. Foliar carbon, nitrogen and phosphorus stoichiometry of typical desert plants across the Alashan Desert. Acta Ecol. Sin. 2014, 34, 6538–6547. [Google Scholar]
- Liu, K.; Guo, C.; Zhang, Y.; Man, D.; Fu, G. Phenophase and growth differences of Lycium ruthenicum from different provenances and their correlation analysis with geographical−climatic factors. J. Plant Resour. Environ. 2019, 28, 41–48. [Google Scholar]
- Wang, J.; Shan, L.; Xie, T. Research on the Variation of Functional Characteristics in Leaves of Wild Nitraria Tangutorum Introduced to a Common Garden. Chin. J. Grassl. 2024, 46, 47–55. [Google Scholar]
- Cui, J.; Sun, M.; Cheng, H.; Xu, J.; Liu, Y.; Pan, J. Analysis of Leaf Functional Characteristics and C, N, P Stoichi–ometry of Ormosia hosiei from Different Provenances. J. Kaili Univ. 2023, 41, 40–50. [Google Scholar]
- Li, D.; Wu, M.; Yu, R.; He, T.; Rong, J.; Zheng, Y.; Chen, L. Phenotypic diversity of Dendrocalamus latiflorus from different provenances and its correlations with environmental factors. J. Plant Resour. Environ. 2023, 32, 39–50. [Google Scholar]
- Liu, K.; Wu, J.; Han, Y.; Li, L.; Wang, G.; Shen, Q.; Rong, J.; Zheng, Y.; Chen, L. Leaf Morphological Variation and Chlorophyll Fluorescence Characteristics of Fokienia hodginsii from Different Provenances. Mol. Plant Breed. 2021, 1–25. Available online: http://kns.cnki.net/kcms/detail/46.1068.S.20211015.1924.028.html (accessed on 1 February 2024).
Disclaimer/Publisher’s Note: The statements, opinions and data contained in all publications are solely those of the individual author(s) and contributor(s) and not of MDPI and/or the editor(s). MDPI and/or the editor(s) disclaim responsibility for any injury to people or property resulting from any ideas, methods, instructions or products referred to in the content. |
© 2024 by the authors. Licensee MDPI, Basel, Switzerland. This article is an open access article distributed under the terms and conditions of the Creative Commons Attribution (CC BY) license (https://creativecommons.org/licenses/by/4.0/).




