Abstract
Green transformation is an effective way for supply chains to achieve sustainable development. In the heterogeneous substitute product coexistence environment, it is valuable to explore the motivation behind CSR implementation as well as the advantages and differences associated with different members’ CSR implementations. In this study, we consider that the manufacturer produces both green products and ordinary products that are substitutes for each other and construct a CSR-absence scenario (Model N), a retailer implementing CSR scenario (Model R), and a manufacturer implementing CSR scenario (Model M). Applying a game-theory-based method, we obtain the optimal pricing, green decision, and supply chain profit under different scenarios. We analyze the effects of consumers’ green preference, green product function coefficient, and CSR level on decision making and performance. Through comparison and numerical analysis, we find the following: (1) Although the CSR behaviors of the manufacturer and the retailer squeeze the market demand space of the ordinary products, the greenness of the green product increases, and the retail price decreases. This not only enhances the consumer surplus of green products but also increases the profit and social welfare of the supply chain system. (2) The eco-friendliness of green products, product demand, and social welfare levels are the highest when the retailer implements CSR, followed by when the manufacturer implements CSR, and are the lowest in the CSR-absence scenario. In addition, the following retailer can enhance both its and the manufacturer’s profits through implementing CSR within a reasonable range. (3) The numerical analysis results show that, when the functional attributes of the green products meet a certain level, supply chain members implementing CSR does not affect consumers’ choice of green products.
1. Introduction
With the rapid development of the industrial economy, the increasingly serious problems of resource shortages and environmental pollution have attracted extensive attention from all walks of life. On one hand, the continuous discussion of environmental problems in the public media has promoted consumer environmental awareness (CEA), which has led to higher expectations and requirements for the eco-friendly performance of products. Empirical research has shown that consumers are willing to pay 5% to 25% higher prices for green products than ordinary products [1]. On the other hand, as the main subject of market balance regulation, the government has also issued opinions and plans related to energy saving and environmental protection to supervise enterprises, as well as adopting policies such as subsidies, carbon tax, and carbon trading to incentivize enterprises to provide more eco-friendly products to the market [2,3]. Therefore, faced with the change in consumers’ conceptions and the external pressure of governmental environmental regulations, a growing number of enterprises have begun to implement green production and management modes to satisfy consumers’ green demands and improve their market survival.
The formation of consumers’ low-carbon concepts, the government’s strong support for green production technologies, and the great concern for environmental problems are forcing manufacturers to expand traditional non-green product lines to research and develop green products with higher environmental attributes, in order to attract more potential consumers and stabilize their economic revenue. For example, as a leading manufacturer of lead–acid batteries in China, Tianneng Power has started to produce lithium batteries for new energy vehicles. Similar situations exist in other industries. Many home appliance industries (such as Philips in Eindhoven, Netherlands, Gree in Zhuhai, China, and Haier in Qingdao, China) have produced green alternatives that use less energy than ordinary products. In the garment industry, in addition to the existing regular products, Hailan House and Tebu have also introduced environmentally friendly fabrics for the production of biodegradable and recyclable products. The emergence of these green alternatives has enriched the product categories in the market and provided consumers with more choices. Although the carbon emissions of the ordinary product are significantly higher than those of the green product, the two products are similar in functionality and can be substituted. This also leads to fierce competition for market share.
At the same time, the lack of corporate social responsibility (CSR) has led to the frequent occurrence of social issues such as labor disputes, quality defects, and food safety, which has aroused high public concern about enterprises’ CSR behaviors. Based on Freeman’s (1984) stakeholder theory [4], corporate social responsibility entails that, in addition to the traditional economic responsibility for shareholders during production and operation, enterprises should also positively focus on the appeal of their stakeholders (consumers and supply chain members) to improve the overall social benefits. Under the increasingly severe pressure of social responsibility management, enterprises have begun to gradually transform their strategic direction and actively undertake corporate social responsibility to achieve sustainable development. For example, the sports brand Erke donated CNY 50 million in supplies to the disaster-stricken areas of Henan Province, which led to a sharp increase in product sales and enhanced the brand’s influence. The definition of CSR indicates that the CSR behavior of a single node enterprise will be transmitted and fed back to each other through the contractual trading relationship among the node enterprises in the supply chain and trigger changes in the economic performance of each node enterprise as well as the supply chain system. This means that, in the supply chain background, who should take responsibility for CSR becomes a critical problem that must be clarified in the supply chain operation.
Most of the existing studies in the literature have focused on discussing the problem of product substitution in supply chains and the impact of CSR implementations on supply chain performance. It is worth noting that the operational goal of enterprises is to maximize profits. Therefore, when implementing CSR, the cost of its responsibility and profit will be considered together. This further affects the game and decisions among members. Although several studies have explored the implementation of CSR [5,6,7,8], they have mainly studied the impact of CSR fulfillment by a single member in the supply chain. There is a lack of research on the motivation of enterprises implementing CSR and a comparison of the differences and advantages of different members’ CSR implementation. In addition, few studies have explored the coexistence of green and ordinary products in the supply chain, instead focusing on the sale of a single product. However, in real market environments, green and ordinary products commonly coexist.
Based on the above development background of a green supply chain and an actual case analysis of different industries, this study considers the coexistence of heterogeneous substitutes in the supply chain and researches product pricing and green decision making under different members’ CSR methodologies, in order to answer the following questions:
- (1)
- How does the CSR implementation of different members affect the pricing, greenness, and market share of heterogeneous products, compared with the CSR-absence scenario?
- (2)
- How do different enterprises implementing CSR set the level of CSR implementation?
- (3)
- What are the effects of consumer green preference and the green product functional coefficient on the pricing of heterogeneous substitutes and the economic benefits of supply chain members?
- (4)
- Which CSR implementation model is most conducive to maximizing green product environmental friendliness and social welfare?
To solve the above problems, we incorporated consumer surplus into the green and ordinary product coexistence supply chain. We explored the product pricing and green decision-making problem of heterogeneous alternative supply chains under different CSR implementation subjects. First, a valuation-based demand function was constructed for both products. Second, considering the CSR implementation of different members in the supply chain channel, three different models were constructed: CSR-absence, retailer implementing CSR, and the manufacturer implementing CSR. Using game theory, the optimal product pricing, greenness level, and supply chain profit under different models were obtained. Finally, we analyzed the effects of consumer green preferences, CSR implementation levels, and green product function coefficients on supply chain decisions and performance and compared optimal decisions, consumer surplus, and social welfare under the three different CSR implementation scenarios.
The results of this study show that, in a heterogeneous product coexistence supply chain, compared with the scenario without CSR implementation, both the manufacturer and the retailer can improve the sustainability of the green product, squeeze the market demand for the ordinary product, and enhance the economic revenue of the supply chain system through the implementation of CSR. In addition, through comparing the performance results under three different scenarios, it can be seen that, as the follower, the retailer is more efficient in implementing CSR due to the advantage of proximity to the consumer terminal. This supports the retailer enterprise in actively implementing CSR, which is the most beneficial for enhancing the partnership within the supply chain channel and maintaining sustainable development. This study further found that implementing CSR does not mean a loss of profit, and correspondingly, abandoning CSR does not mean an increase in profit. Through undertaking CSR within a reasonable range, the following retailer can not only enhance its own profit but also increase the manufacturer’s profit. This conclusion provides motivation and a supportive basis for the retailer to implement CSR. Finally, the numerical analysis results show that with the increase in green products’ functionality, the economic benefits of both the manufacturer and retailer are improved, and when the functional attributes of green products reach a certain level of requirements, implementing CSR does not affect the consumers’ choice of green products.
The rest of the article is organized as follows. Section 2 provides a review of the relevant literature. Section 3 describes the research problem, proposes relevant assumptions, obtains different products’ demand functions, and deduces green products’ CSR. Section 4 presents three CSR implementation models, equilibrium decision making, and analysis. Section 5 compares the performance under different decision models. Section 6 presents the numerical analysis. Section 7 reveals the management implications. Section 8 summarizes the main conclusions of this study and proposes directions for future research.
2. Literature Review
The relevant literature in this study includes four aspects: the green supply chain, the CSR supply chain, a supply chain considering product substitution, and a supply chain considering both CSR and product substitution.
2.1. Green Supply Chain
With the advent of the low-carbon era, the green supply chain has gradually become a solution for the sustainable management of enterprises, and scholars have studied it from different perspectives. In terms of pricing decisions, Rahmani and Yavari [9] explored the pricing problem of products in a green dual-channel supply chain under demand disruption scenarios. Wang et al. [10] introduced green logistics into green supply chains and constructed a game model consisting of the manufacturer, the 3PL supplier, and the retailer. They investigated the pricing and green decision-making problems of supply chain members. Pei et al. [11] took a two-level dual-channel supply chain as the research object, described the uncertainty of demand distribution based on the type-2 fuzzy theory, and analyzed the impact of fuzzy demand on the price of green products in the retail channel and direct sales channel. As for the government policies in the green supply chain, Shen et al. [12] constructed a low-carbon e-commerce supply chain game decision model by considering the carbon-trading mechanism and consumers’ low-carbon preferences and discussed the effects of commissions and carbon trading on the optimal decision of supply chains. Han et al. [13] explored the effects of a carbon tax, certified emission-abatement (CEA) costs, and consumers’ low-carbon preferences on low-carbon decision making, and the results of the study showed that supply chains benefited from increased consumer environmental awareness, but increased CEA costs were detrimental to supply chain profit growth. Wu et al. [14] constructed a model of supply chain decision making under three different regulatory policies, namely, pure carbon tax, pure low-carbon subsidy, and a mixture of carbon tax and low-carbon subsidy, and comparatively analyzed their impacts. The authors of [15,16] studied the coordination problems of green supply chains and designed contracts to promote the cooperation of green supply chain members and improve supply chain performance.
2.2. CSR Supply Chain
Research on CSR is mainly focused on both empirical and theoretical aspects. Empirical studies have centered on the question of “whether CSR contributes to improving the economic performance and branding effect of the firm in the supply chain” [17,18]. The theoretical research has examined the impact of CSR behaviors on supply chain enterprises’ decision making or operations by endogenizing and exogenizing CSR behaviors, respectively. The studies that regard CSR as an endogenous variable include the power structure, government policy, and information asymmetry [19,20]. In contrast, in the studies that regard CSR as an exogenous variable, scholars have portrayed CSR behavior as a concern for consumer surplus based on the stakeholder theory. Panda et al. [21] studied a three-layer supply chain in which the manufacturer undertook CSR and proposed a Nash bargaining contract to distribute residual profits among channel members and resolve channel conflicts. Li et al. [5] studied a dual-channel supply chain consisting of a socially responsible manufacturer and a retailer, compared and analyzed the equilibrium solutions under centralized and decentralized decision-making models, and designed a revenue-sharing contract with royalties to achieve supply chain coordination. Yan et al. [22] discussed the interaction between manufacturers’ CSR behaviors and retailers’ CSR investments in a closed-loop supply chain and found that both are beneficial in reducing the wholesale price of new products, increasing the recycling rate of used products, and improving the performance of CSR-CLSC members.
In addition, some scholars have comprehensively considered the economic, environmental, and social responsibilities of enterprises—that is, the principle of the “triple bottom line”—to study the problems related to the green CSR supply chain. Biswas et al. [23] explored four combination scenarios of supply chain members’ green manufacturing and CSR implementation and found that it is most beneficial to improve supply chain performance when retailers simultaneously engage in green manufacturing and take on CSR. He et al. [6] constructed a dispersion model with and without subsidies to reveal the effects of government subsidy strategies and corporate social responsibility on the performance of omnichannel supply chains (OSCs). They also designed a cost-sharing contract to achieve Pareto improvement in the profits of OSC members. Ma and Lu [24] examined the decision-making problem of a low-carbon supply chain with the triple bottom line under the carbon tax policy. The results of their study showed that the environmental performance impact decreases with the increase in carbon tax. Tian et al. [7] applied a revenue-sharing contract to a two-echelon green supply chain composed of a supplier and a multinational corporation. The results of the study showed that the changes in suppliers’ economic profits are jointly influenced by the level of corporate social responsibility and green production efficiency.
2.3. Supply Chain Considering Product Substitution
Product-substitution supply chain decision making has received continuous attention from scholars, and related research is also deepening. A reasonable pricing strategy is the key for products to gain market share. Some scholars have studied the optimal pricing strategy for substitutable products in the supply chain. Wei and Zhao [25] discussed the pricing and re-engineering strategies of products in two supply chains selling substitutes and analyzed the factors affecting pricing decisions and supply chain performance. Giri et al. [26] studied the sale of two substitutable products and one complementary product in a two-level supply chain system and developed various pricing strategies for manufacturers and retailers. Zhao et al. [27] investigated the pricing of substitutable products in the supply chain of a manufacturer and two competing retailers in a fuzzy environment. Ranjan and Jha [28] used the dual-channel supply chain (in which manufacturers sell alternative green (environmental protection) products through direct sales channels and non-green (traditional) products through offline retail channels as research objects) and analyzed the influence of the green quality level coefficient on the pricing strategies and coordination mechanisms of members in the supply chain.
Some scholars have also studied the impact of product substitution on supply chain performance. Chen et al. [29] considered the effects of product substitution and complementation on optimal decision making in the distribution channel consisting of manufacturers and retailers. They proposed three strategies, namely, fully mixed bundling, partially mixed bundling, and pure bundling, to increase the profitability of supply chain members. Cao et al. [30] analyzed the impact of product substitution and consumer green awareness on manufacturer encroachment strategies, green innovation efforts, and supply chain performance based on the environmental attributes of the different products in the two categories. Wang et al. [31] developed a two-chain model for selling heterogeneous products under an asymmetric channel structure. They found that as the degree of product substitutability increases, the green supply chain improves the greenness of the products, the retail price and demand of both products increase, and the performance of the supply chain system is improved. In addition, some other scholars have proposed various contracts, such as the product return contract [32], multilateral compensated wholesale price contract [33], and marketing cost-sharing contract [34], to study the cooperation mechanism among members in the product-substitution supply chain.
2.4. Supply Chain Considering Both CSR and Product Substitution
The above studies explore the impact of corporate social responsibility and product substitution on supply chain decision making. Some scholars have also considered both CSR and product substitution. Fanti and Buccella [35] investigated the classical price–quantity competition comparison problem with CSR implementation. The results of their constructed two-stage game showed that for enterprises considering CSR, the situation of a lower product quantity and a higher price does not occur in Cournot competition. Supply chain profits are maximized when the two products are substitutes. Nie et al. [36] examined the interactions between CSR, environmental responsibility, and product substitutability and found that the production of the product decreases with its substitutability, regardless of whether the CSR objective is profit maximization; moreover, the effect of CSR on the performance of CSR enterprises is uncertain. Kopel [37] analyzed the endogenous choice problem of price or quantity contracts for mixed duopoly CSR firms and showed that the impact of CSR firms on the pattern of competition in the market mainly depends on the interaction between consumer surplus weights and the degree of product substitution. Sumitro and Luc [38] discussed the impact of corporate social responsibility on corporate strategy (especially product quality and price). They pointed out that CSR can replace product quality (for example, companies with lower quality invest more in CSR), and CSR affects the market competition between different products. In this study, CSR and product substitution were also considered. However, we focus on the impact of changes in the enterprise implementing CSR on the pricing and green decisions of the two alternative products.
2.5. Research Gap
First, as far as the research object is concerned, the existing literature is mostly limited to a single product and has less consideration for the impact of green substitutes on the pricing, market share, and profits of ordinary products. In addition, the existing literature mainly constructs the demand function of green products and ordinary products based on price and greenness, ignoring the different functional attributes of the two products. This study incorporates the differences in functional attributes between the two products into the market demand in order to construct a more realistic and accurate model. Second, previous research on CSR implementation mainly discusses the impact of single-member CSR implementation on the performance of the supply chain, the lack of research on enterprise CSR investment motivation, and the comparison of different members’ CSR implementation. Therefore, this study applies the Stackelberg game method to study the pricing and green decision making of green and ordinary products, explores the different impacts of different CSR implementations on the two products, and illustrates the most favorable CSR implementation mode to support the environmental and economic benefits of a heterogeneous product coexistence supply chain. Finally, this study places consumer green preferences, green product functional coefficients, and different members’ social responsibilities under a single research framework. The combination of multiple factors can complicate the analysis of decision results. In the numerical analysis, we clearly show the combined impacts of consumer green preference and CSR on the performance of the heterogeneous product coexistence supply chain. In summary, our study provides a reference for supply chain enterprises that produce alternative products regarding whether to implement CSR and how to do so.
The differences between this study and others are shown in Table 1.
Table 1.
A comparison of studies.
Closely related studies can be divided into two main types. The first type of study focuses on decision making under heterogeneous substitutes. For example, refs. [31,39] studied the green decision problem for heterogeneous substitutes in a two-chain system with asymmetric and symmetric structures, respectively. Hong et al. [41] discussed the impact of consumers’ differentiated purchasing behaviors (that is, different levels of environmental awareness and reference identification) on the design of green products and the pricing strategies for substitutable products. Similar to their studies, this one also considers the mutual substitution of two products and places them in a single supply chain. However, we mainly discuss the impact of the CSR behavior of supply chain members on the market share for alternative products and supply chain performance. We found that CSR implementation by both the manufacturer and the retailer increases social welfare. This result is different from that found in their study.
The second type of study focuses on the impact of CSR implementation on pricing and profits in the green or ordinary supply chain. For example, Meng et al. [43] examined the impact of manufacturers’ CSR implementation on the coordination of non-green dual-channel supply chains. He et al. [6] studied an omnichannel supply chain (OSC) that produces only green products, revealed the interaction of subsidies and CSR on emissions, and designed cost-sharing contracts to achieve Pareto improvements in OSC member revenues. These studies only took a single product as the research object, ignoring the needs of different consumer groups in the market, as well as the actual situation of enterprises simultaneously producing green products and ordinary products. In addition, different from the above, our research mainly compares and analyzes the decision results of the heterogeneous product coexistence supply chain under three different CSR implementation scenarios to reveal the best way to implement corporate social responsibility to maximize the social welfare of the entire supply chain and provide a theoretical basis for the green transformation of enterprises.
3. Problem Description, Assumptions, and Demand Analysis
3.1. Problem Description and Assumptions
This study focuses on a two-echelon supply chain consisting of a manufacturer and a retailer. The manufacturer produces both green and ordinary products, which are substitutes for each other as they have similar functional attributes but are heterogeneous in environmental attributes. For example, the large automobile enterprises Ford and Toyota offer the same model of traditional fuel vehicles and new energy vehicles to the market simultaneously, which satisfies the diversity of customer demands. In the above decision system, the manufacturer acts as the dominant player in the Stackelberg game. It firstly determines two products’ unit wholesale prices, and , and the greenness of the green product. Then, the retailer determines the different products’ unit retail prices and . In order to ensure that supply chain members can make profits, the relationship between prices must meet and . In addition, we consider that in the above supply chain channel, the manufacturer and retailer separately implement CSR, and both only fulfill CSR for green products. This is in line with the actual situation that enterprises vigorously research and promote green products in order to achieve sustainable development goals and relevant government policies [44]. The notations are shown in Table 2.
Table 2.
Notation definition.
Assumption 1.
Consistent with He et al. [6], the manufacturer’s green investment cost function is assumed as , where h is the green investment cost coefficient. It can be seen that the green investment cost is characterized by convexity and an increasing marginal cost, which is consistent with the actual situation.
Assumption 2.
The manufacturer produces the green product and the ordinary product at unit costs and . We suppose that denotes that the green product cost is higher than that of the ordinary product [43]. Without a loss of generality, to facilitate the calculation and make the results comparable, the production cost of the ordinary product is normalized to 0, that is, . This simplification does not affect the conclusions, similar to research by Huang et al. [45] and Zhang et al. [46].
Assumption 3.
Referring to Tian et al. [7], social welfare is defined as the sum of the total profit of the supply chain system and the consumer surplus, that is, . This can be seen in the related literature.
Assumption 4.
All supply chain members are risk-neutral. The information shared between them is completely symmetric, so the parameters involved in the model are determined and transparent.
Assumption 5.
All parties in the game are rational. The decisions under different scenarios follow the profit- or utility-maximization principle.
Assumption 6.
In order to ensure the concavity of the objective function and avoid the trial result, we make the following assumptions: , , . For ease in notation, the superscript “k” denotes the different modes of corporate social responsibility. Subscripts “i” and “j” refer to product types and different supply chain members. The notations are shown in Table 2.
3.2. Demands Analysis
Consumers are environmentally conscious and have homogeneity in the environmental utility from the green product but heterogeneity attributes for the functional evaluation of the two products [41,47]. Let be the utility function of the green product and be the utility function of the ordinary product, where refers to the consumer’s product valuation based on functional attributes, which has a uniform distribution [0, 1]. Similarly, the number of consumers is also uniformly distributed in this interval. indicates the consumer’s evaluation of the functional attributes of green products; in general, compared with ordinary products, the green product usually has higher functional attributes, which enable the consumer to obtain a better use experience [42]. Therefore, we hypothesize . and are the retail prices of green and regular products. Furthermore, consumers can obtain environmental utility from purchasing the green product [40], where is the coefficient of consumers’ green preference, and denotes the product’s greenness. The market size is assumed to be one. The market demands of the two products depend on the consumer’s selection behavior.
Based on the utility functions of the two products, we define the critical values of whether to purchase the green and ordinary products as and , and the prioritization critical value of the green product is . It can be further deduced that when , is satisfied. When , is satisfied. The market demand in the supply chain can be segmented into the following three scenarios:
- (1)
- When , is satisfied; the consumer in the valuation interval chooses to buy an ordinary product, and the consumer in the valuation interval chooses to buy a green product, while the consumer in the valuation interval does not buy any products. The demand for the two products are and .
- (2)
- When , is satisfied. The consumer in the valuation interval chooses to buy the ordinary product. In this scenario, the consumer abandons purchase of the green product due to the high retail price. The demand functions of the two products are and .
- (3)
- When , is satisfied. The consumer in the valuation interval chooses to buy the green product. In this scenario, the retail price of the ordinary product is too high, while the green product has both price and environmental advantages; hence, no consumer is willing to buy the non-green product. The demand functions of the two products are and .
In summary, the two products’ demand functions are as follows:
This study concerns the effect of CSR behavior on supply chain decisions when heterogeneous substitutes simultaneously exist in the market. When or , consumers’ acceptance of the functional attribute of the green product is too small or too large, resulting in the demand for the green or regular product being 0. Therefore, we only consider the scenario in which both green and ordinary products coexist in the consumer market. The structure of the substitute product supply chain is shown in Figure 1.
Figure 1.
The substitute product supply chain structure.
3.3. Corporate Social Responsibility for Green Products
Following Panda et al. [21] and Biswas et al. [23], we consider the supply chain members’ concern for green product consumer surplus as a measure of the CSR investment of the enterprise, where consumer surplus is the difference between the maximum price consumers are willing to pay for the green product and the price they actually pay for the green product (the market price). Figure 2 shows the consumer surplus of green products.
Figure 2.
Green product consumer surplus.
Given the demand function for the green product, consumer surplus can be thus determined as
where , and .
Similar to research by Meng et al. [43], this study adopts the form of multiplying h and consumer surplus to depict supply chain members’ CSR implementations, expressed as
where . When , supply chain members are perfect profit maximizers; meanwhile, when , the supply chain members are perfect welfare maximizers.
4. Model Construction and Analysis
In this section, under the environment with the two products’ coexistence, we constructed three models: the CSR-absence scenario (N), the retailer implementing CSR scenario (R), and the manufacturer implementing CSR scenario (M). In addition, we also analyzed the sensitivity of relevant parameters to the performance of supply chain members.
4.1. CSR-Absence Scenario (Model N)
In the CSR-absence scenario, supply chain members pursue the maximization of profits. Based on the two products’ demand functions, the decision-making objective functions of the manufacturer and the retailer are as follows:
Proposition 1.
(i) In the N model, the optimal greenness, the optimal wholesale price, and the retail price of the two products are as follows:
(ii) The optimal demands of the two products are as follows:
(iii) The supply chain members’ profits, consumer surplus, and social welfare are as follows:
The proof of Proposition 1 is shown in Appendix A.
Corollary 1.
(i) , , , , .
(ii) , , , , .
The proof of Corollary 1 is shown in Appendix A.
Given Proposition 1, under scenario N, no matter how the production and operation environments change, the wholesale and retail prices of ordinary products are constant. Corollary 1 indicates that when consumers’ green preference improves, the manufacturer will increase green investment to enhance the product’s greenness, increasing consumer demand and profit for the manufacturer. The increased cost of green investment leads the manufacturer to set a higher wholesale price. To protect its profit, the retailer increases the retail price of the green product in response to the manufacturer’s wholesale price improvement. Since the improvement in the wholesale price and demand introduces a greater increase in revenue than the increase in costs created by the increase in the product’s greenness, the manufacturer improves profits due to the green product. Although the price of the ordinary product does not change, the consumer’s green preference has a chain reaction on the ordinary product, resulting in the ordinary product market demand shrinking. Under the coexistence environment of the two products, an increased green preference coefficient promotes the eco-friendly product’s market growth. The supply chain members’ profit improvement is mainly due to the increase in the green product profit over the loss of the ordinary product revenue. In addition, the growth in demand for green products will contribute to consumer surplus and ultimately improve social welfare.
Corollary 2.
(i) , , , , .
(ii) , , , , .
The proof of Corollary 2 is shown in Appendix A.
Corollary 2 indicates that in a heterogeneous substitute coexistence environment, with the increase in the green product’s functional coefficient, the manufacturer will produce greener products. At this point, some consumers who buy ordinary products turn to green products, resulting in a corresponding decrease in the low environmental attributes of ordinary product demand. To cope with the increase in production cost, the manufacturer increases the green product’s wholesale price to maintain its revenue. At the same time, as a downstream follower, the retailer transfers the manufacturer’s production cost to the consumer by increasing the retail price. Corollary 2 also indicates that increasing the green product’s functional coefficient improves overall supply chain benefits and consumer surplus. Due to the joint positive effect of total profit and consumer surplus, the social welfare level is also improved.
Corollary 3.
(i) , , , , .
(ii) , , , , .
The proof of Corollary 3 is shown in Appendix A.
Corollary 3 shows that, when the unit production cost of the green product increases, the manufacturer responds to consumer demand by decreasing green production standards and raising the wholesale price. Continuously increasing green production costs provides an opportunity for the ordinary product to expand its market demand space; “quality reduction and price increase” measures restrain the market’s demand for green products and cause a decline in the consumer surplus. The decrease in the manufacturer’s profit is mainly due to the negative impact of the reduction in green product demand exceeding the decrease in the green investment cost. At the same time, the increase in profit from the production of the ordinary product cannot offset the loss of profit from the green product; therefore, the total profit of the manufacturer decreases. Similarly, the retailer’s profit, as well as the social welfare, are negatively affected.
4.2. The Retailer Undertaking CSR Scenario (Model R)
The retailer implementing CSR pursues the maximization of utility, while the manufacturer has no awareness of CSR, simply making decisions to maximize profit. Based on the demand functions of the two products, the decision-making objective functions of the manufacturer and the retailer are as follows:
Proposition 2.
(i) In the R model, the optimal greenness, the optimal wholesale price, and retail price of the two products are as follows:
(ii) The optimal demands of the two products are as follows:
(iii) The supply chain members’ profits, consumer surplus, and social welfare are as follows:
The proof of Proposition 2 is shown in Appendix A.
Corollary 4.
(i) , , , , .
(ii) when , ; and when , .
(iii) , , , .
The proof of Corollary 4 is shown in Appendix A.
Given Proposition 2, it is clear that, in the R scenario, the wholesale and retail prices of the ordinary product do not change with the production operating environment. Corollary 4 indicates that the retailer implementing CSR chooses to decrease the retail price of the green product to benefit the consumer. At the same time, the manufacturer will also enhance the green R&D investment to improve the product’s greenness. The retailer’s CSR behavior influences the purchasing choice of the ordinary product consumer group, leading to an increase in the green product market share. In addition, the profits of the manufacturer and the supply chain system are improved and contribute to the increase in social welfare, which reflects the stakeholders’ concern for the CSR enterprise (the manufacturer and consumers). Particularly, the retailer implementing CSR in a reasonable range () can simultaneously improve the economic profits of channel members. This realization extends the conclusion of Chen et al. [48] that a manufacturer implementing CSR individually in a dual-channel green supply chain leads to a loss of economic profit, which also corroborates the point of Vickers [17] that maximizing non-economic profit objectives enhances the firm’s economic profit. Although an excessive level of corporate social responsibility hurts the retailer’s profit, the improvement in the environment due to CSR behavior cannot be neglected.
4.3. The Manufacturer Undertaking CSR Scenario (Model M)
The manufacturer implementing CSR pays attention to profit and the consumer surplus of green products simultaneously, while the retailer makes decisions to maximize profit. Based on the demand functions of the two products, the decision-making objective functions of the manufacturer and the retailer are as follows:
Proposition 3.
(i) In the M model, the optimal greenness, the optimal wholesale price, and the retail price of the two products are as follows:
(ii) The optimal demands of the two products are as follows:
(iii) The supply chain members’ profits, consumer surplus, and social welfare are as follows:
The proof of Proposition 3 is shown in Appendix A.
Corollary 5.
(i) , , , .
(ii) , , , , .
The proof of Corollary 5 is shown in Appendix A.
Proposition 3 shows that, under scenario M, the pricing of the ordinary product does not change with the production and operation environment. Corollary 5 shows that the CSR manufacturer will strive to promote the product’s green attributes, which will drive up the demand for the green product. From the retailer’s perspective, although the wholesale and retail prices of the green product decrease, the retailer’s marginal profit improves with the increase in the manufacturer’s CSR level, that is, . As the joint positive effect of the green product demand and the marginal profit outweighs the loss caused by the demand decline for the regular product, the total profit of the retailer increases. In addition, the decline in the green product’s retail price widens the gap between consumers’ willingness to pay and the price they actually pay, which leads to an increase in consumer surplus. From the manufacturer’s point of view, although the demand for the green product increases, the essence of the manufacturer’s CSR behavior is to compress the profit space of the green product and transfer part of the economic benefits to the retailer. Therefore, the manufacturer who implements CSR cannot benefit from the green product, and the decline in demand for the ordinary product also aggravates the loss of the manufacturer’s profit; thus, the total profit of the manufacturer decreases. The above conclusion further confirms the opinion of Yoon and Chung [49] that CSR behavior harms financial performance. As the increase in the retailer’s total profit dominates the loss of the manufacturer’s total profit, the supply chain system profits increase, and social welfare is enhanced.
5. Comparison and Analysis
In this section, we compare and analyze the equilibrium results under three different CSR implementation modes, further explore the influence of different subjects fulfilling corporate social responsibility on the performance of the substitute product supply chain, and reveal the optimal CSR-implementation strategy.
Proposition 4.
, , .
The proof of Proposition 4 is shown in Appendix A.
Proposition 4 shows that when the retailer implements CSR, the product’s greenness and the wholesale price are the highest, but the retail price is the lowest. When the manufacturer implements CSR, although the greenness and retail price of green products are lower than when the retailer implements CSR, from the perspective of consumers and the environment, it is still superior to the mode in which none of the supply chain members implement CSR.
The reasons for the above results are as follows. In order to increase consumer surplus, both the manufacturer and the retailer with corporate social responsibility strive to provide “high-quality and low-price” green products to the market. Compared with the manufacturer, the downstream retailer can grasp the market demand dynamics more quickly and accurately by taking advantage of the proximity to the consumer market; therefore, its efficiency in fulfilling CSR is higher than that of the manufacturer. In addition, we find that the wholesale price is highest when the retailer implements CSR and lowest when the manufacturer implements CSR. This is because the CSR manufacturer actively lowers the wholesale price to attract consumers to pay more attention to green products. In contrast, under the profit-giving behavior of the CSR retailer, the dominant manufacturer chooses to increase the wholesale price to protect its profit.
Proposition 5.
, .
The proof of Proposition 5 is shown in Appendix A.
Proposition 5 shows that under a heterogeneous product coexistence environment, the market demand for green products is highest when the retailer implements CSR, followed by when the manufacturer implements CSR, and is the lowest during CSR absence. In contrast, the trend of ordinary products’ demand is opposite to that of green products.
This result is attributed to the high efficiency of the retailer’s fulfillment of CSR. Under the retailer’s CSR, “high-quality and low-price” green products attract more consumers, which promotes the coverage of green products in the market. Similarly, compared with the CSR-absence mode, the manufacturer’s CSR implementation can also attract consumers to choose more eco-friendly products to a certain degree. In the three different scenarios, although the retail and wholesale price of the ordinary product do not change, under the influence of the supply chain members’ CSR behavior, the green products’ retail price decreases, leading to the ordinary product losing the price advantage. Thus, the demand accordingly decreases.
Proposition 6.
(i) When , ; and when , .
(ii) .
(iii) .
The proof of Proposition 6 is shown in Appendix A.
Proposition 6 shows that, in a heterogeneous product coexistence environment, supply chain members achieve maximum profit when the other member implements CSR. For the retailer, implementing CSR within a reasonable range can improve its economic benefits, but excessive CSR implementation damages its profits. For the manufacturer, implementing CSR is also detrimental to its economic benefits. For supply chain systems, supply chain members’ CSR implementation behavior can improve the overall revenue, and it is most effective when the retailer implements CSR.
The reasons for the above results are as follows. In a competitive market environment, the enterprise fulfills CSR to enhance its brand reputation, and its essence is altruistic behavior. Therefore, the economic benefits of each member of the supply chain are the greatest when the other member implements CSR. It is worth noting that the retailer implementing CSR in a small range is not only beneficial to its profit but also contributes to the manufacturer’s profit increase. This result is inseparable from its accurate capture of market demand change information.
Proposition 7.
, .
The proof of Proposition 7 is shown in Appendix A.
Proposition 7 shows that consumer surplus and social welfare reach their maximum when the retailer implements CSR, followed by the manufacturer, and reach their minimum when none of the supply chain members implement CSR.
The reasons for the above results are as follows. Although enterprises implement CSR as a public welfare behavior, under the influence of this behavior, the green product becomes more sustainable, and the retail price also decreases; the above changes indirectly increase the consumer surplus. Social welfare is also effectively improved under the joint effect of the consumer surplus and the supply chain system profit. The changing trend under different scenarios also corresponds to the CSR implementation efficiency of supply chain members.
Summarizing Propositions 4–7, it can be concluded that regardless of which member in the supply chain fulfills CSR, the sustainability of the green product can be improved, which increases its competitiveness and accelerates the elimination of the ordinary product. Therefore, in a real business environment, the manufacturer and the retailer can guide consumers to green consumption by taking corporate social responsibility for green products so as to adjust the industrial structure and perform a green transformation. From the perspective of achieving sustainable development goals, the following retailer should implement CSR. In addition, implementing CSR poses a challenge to the financial performance of the enterprise. Thus, to avoid an imbalance in economic benefits’ distribution in the supply chain channel, as the regulator of economic leverage, the government should take measures such as subsidies to protect the profit of enterprises implementing CSR.
6. Numerical Analysis
The above theoretical analysis shows that consumer green preferences, the green product functional coefficient, and the CSR level have an important impact on supply chain performance. In this section, we verify the correctness of the results through numerical analysis. All parameter values satisfy the relevant assumptions.
6.1. The Impact of Consumer Green Preference on the Supply Chain Performance
According to the data in [6,42], set , , , , and let change from 0.1 to 0.9 with a step of 0.2. The results under the three scenarios are shown in Table 3, Table 4 and Table 5.
Table 3.
The impact of on the product greenness, wholesale price, and retail price.
Table 4.
The impact of on the demand for the two products and consumer surplus.
Table 5.
The impact of on supply chain profits.
First, we analyzed the impact of consumers’ green preferences on supply chain performance. According to Table 3, Table 4 and Table 5, under a coexistence environment of two alternative products, regardless of whether the supply chain members fulfill CSR in the green product, the supply chain performance under different scenarios has the same trend with the change in the consumer green preference coefficient. Specifically, with the increase in , the greenness of the green product, market demand, and supply chain profit all increase, but the demand for the ordinary product decreases. The above conclusion verifies Corollary 1, which also means that consumers’ green preferences contribute to the eco-friendliness of the green product, accelerating the development of the green market and expediting the elimination of the ordinary product. The increase in the wholesale price and retail price of the green product also shows that, when the environmental friendliness of the green product can meet the consumer’s requirements, raising the price within a reasonable range is acceptable to consumers, which provides supply chain members with room to implement price-adjustment strategies.
Second, we compared the supply chain performance under three scenarios in the heterogeneous product coexistence supply chain. Table 3, Table 4 and Table 5 show that the green product is the most eco-friendly and has the lowest retail price when the retailer implements CSR. Although its wholesale price is also the highest, the CSR retailer is willing to pay a premium for environmentally friendly products. At this point, such high-quality and inexpensive products quickly occupy the market, earn the most profits for the manufacturer and the supply chain system, and optimize consumer surplus and social welfare. Based on the sustainable development and economic benefits of the supply chain system, compared with the effect of the retailer implementing CSR, although the manufacturer implementing CSR is not dominant, it performs better than the supply chain members abstaining from CSR. The above results further verify Propositions 4–7.
Taking product greenness, green product demand, and ordinary product demand as an example, when the consumer green preference coefficient increases from 0.1 to 0.9, the product greenness increases by 10.51, 11.06, and 10.77 times in N, R, and M scenarios, respectively. Likewise, the demand for the green product grows by 15.40%, 23.6%, and 18.66%, but the ordinary product’s demand decreases by 10.28%, 31.65%, and 16.65%. Obviously, when the supply chain members invest in CSR, the impact of the consumer’s green preference on the above decisions is greater than that without CSR, and the impact is greatest when the retailer invests in CSR. In addition, the retail price of the green product, the consumer surplus, and the supply chain system profit experience similar changes. The above results show that the enterprise’s implementation of CSR and the different CSR-undertaking subjects have a differentiated impact on the implementation effect of consumers’ green preferences. Thus, CSR behavior has a synergistic effect on consumers’ green preferences.
Further, the degree of change in manufacturer and retailer profits with in the three scenarios is different from that indicated above. As both the altruistic behavior of implementing CSR and the consumer green preference have a positive impact on the green product, the manufacturer’s degree of profit improvement with consumer green preferences is greatest when the retailer invests in CSR (2.44%), followed by no CSR investment (1.185%), and minimal when it invests in CSR (1.039%). While the retailer’s degree of profit improvement with the consumer green preference is greatest when the manufacturer invests in CSR (4.178%), the degree of change when the retailer invests in CSR itself (3.3%) is higher than that without CSR implementation (2.519%). The reason for this different change may be, as Corollary 4 proposes, that by investing in CSR within a reasonable range, the retailer can improve its own economic benefit. It is this part of economic benefit improvement that makes the degree of impact of consumer green preferences on the retailer’s profit higher than that in the absence of CSR implementation.
Finally, the demand for green and ordinary products under the same scenario was compared. In the N scenario, the demand for the ordinary product is consistently higher than for the green product. In the M scenario, when consumer preference is less than a certain value (), the demand for the ordinary product is greater than that for the green product. Conversely, the green product is in higher demand than the ordinary product. In the R scenario, the demand for the green product is consistently higher than for the ordinary product. The above results indicate that CSR has a greater impact on the demand for the green product than the consumers’ green preference, which also suggests that the retailer’s investment in CSR is more effective in enhancing the demand for green products.
6.2. The Impact of CSR Level on Supply Chain Performance
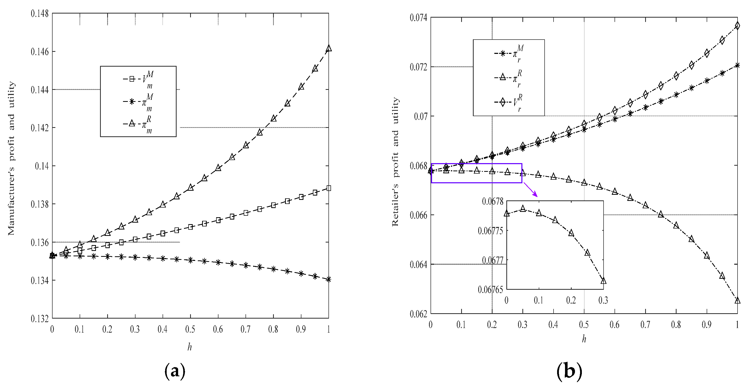
Set , , , , and let change from 0 to 1 with a step of 0.1. The results under different scenarios are shown in Figure 3 and Figure 4.
Figure 3.
The impact of h on demand.
Figure 4.
The impact of h on the supply chain members’ profits and utilities. (a) The impact of h on the manufacturer’s profits and utility. (b) The impact of h on the retailer’s profits and utility.
Figure 3 shows that the change in the CSR level has a different influence on the demand for the two products. When the manufacturer and the retailer invest in CSR separately, the increased CSR level has a positive impact on the green product’s demand but has a negative impact on the ordinary product’s demand. In addition, the retailer’s CSR behavior has a greater impact than the manufacturer’s. Specifically, the green product’s market demand is the highest in the retailer-invested CSR scenario, followed by the manufacturer-invested CSR scenario, and is lowest in the CSR-absence scenario. The market demand for the ordinary product is highest in the absence of CSR and reaches the minimum when the retailer invests in CSR. In the R scenario, as the retailer’s CSR level increases, the two products’ relationship gradually shifts from to . When , the threshold for h is 0.3466. Similarly, in the M scenario, with the improvement in the manufacturer’s CSR level, the demand for the green product gradually exceeds that of the ordinary product. When the threshold for h is 0.6933, . When the manufacturer and the retailer, respectively, fulfill CSR, the increase in the h threshold further verifies that as the closest member to the consumer market, the retailer investing in CSR is the most efficient in improving the market share of the green product and is more conducive to expanding the market space for the green product.
Figure 4a shows that with the increase in the CSR level, the manufacturer’s profit decreases, but its utility increases. When the retailer invests in CSR, the manufacturer’s profit consistently increases. Figure 4b shows that with the increase in the CSR level, the retailer’s utility always increases, but its profit first increases and then decreases. The turning point CSR level is 0.053. When the manufacturer invests in CSR, the retailer’s profit consistently increases. When each member in the supply chain fulfills CSR, the intrinsic reasons that drive the change in profit and utility are different.
From the profit point of view, in the coexistence environment of two alternative products, the manufacturer invests CSR in green products to expand consumer surplus. Such profit-giving behavior enables the retailer to gain more revenue than no CSR implementation from selling the green product. The manufacturer’s undertaking of CSR also squeezes the market share of the ordinary product in the channel, with neither wholesale nor retail prices changing, and the supply chain members’ economic benefits from the ordinary product shrink. The combined decline in the two products’ profits results in a decrease in the manufacturer’s total profit. The above results prove Corollary 5. However, because the profit growth of the green product is much higher than the decline in the ordinary product, the retailer’s economic revenue continues to increase. When the retailer implements CSR, the change in the supply chain members’ profits follows a similar principle. In addition, the retailer’s implementation of CSR is not necessarily detrimental to its profit; within a reasonable range, it can simultaneously improve the profits of supply chain members.
From a utility point of view, the behavior of fulfilling corporate social responsibility beyond the traditional operation philosophy of taking profit as the only goal emphasizes one’s contribution to society, consumers, and the environment. Therefore, the manufacturer and the retailer’s investment in CSR will always benefit their utility.
6.3. The Impact of Green Product Functional Coefficient on Supply Chain Performance
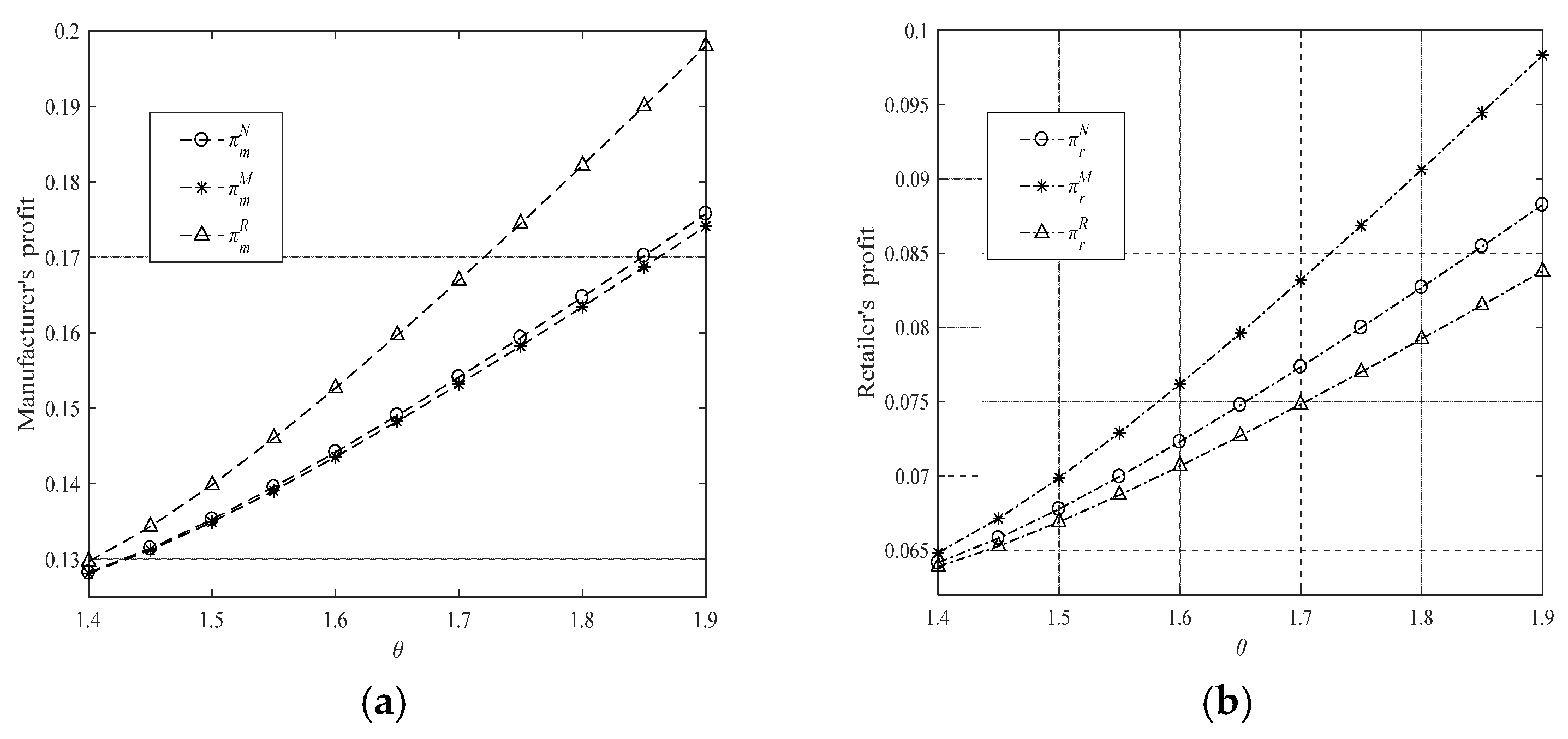
Set , , , , and let change from 1.4 to 1.9 with a step of 0.1. The results under different scenarios are shown in Figure 5 and Figure 6.
Figure 5.
The impact of on demand.
Figure 6.
The impact of on the supply chain members’ profits. (a) The impact of on the manufacturer’s profits. (b) The impact of on the retailer’s profits.
Figure 5 shows that with the increase in , the green product demand in three scenarios continues to rise, which satisfies the relationship . Contrary to the demand for the green product, the ordinary product demand is negatively affected, and the relationship of demands satisfies . The above results prove the relevant proposition.
In the N scenario, when the demand for the green product and the ordinary product is equal, the threshold of is 1.5866. Similarly, under R and M scenarios, the thresholds of are 1.4513 and 1.5101. The threshold of increases in the order of the retailer’s implementation of CSR, the manufacturer’s implementation of CSR, and the absence of CSR. This is due to the behavior of the manufacturer and retailer investing in CSR positively affecting the product’s greenness, which is more effective when the retailer invests in it. To increase the market share of the green product, when there is no CSR investment, the manufacturer needs to increase efforts to improve the functionality of the green product, followed by the manufacturer investing in CSR, and the least effort is needed when the retailer invests in CSR. In addition, when the green product function coefficient is less than 1.4513, regardless of whether members in the supply chain channel implement corporate social responsibility in the green product, based on the price advantage, the ordinary product will be chosen by more consumers. In the same way, when the function coefficient of the green product is greater than 1.5866, consumers prefer the green product.
Figure 6 shows that both the manufacturer’s and the retailer’s profits increase as the green product’s functional coefficient grows. The profit of the manufacturer is consistently higher than that of the retailer. Figure 6a shows that when the retailer implements CSR, the manufacturer’s degree of profit growth is the greatest, with a similar degree of growth in the other two scenarios, which is slightly higher in the absence of CSR in the supply chain. Figure 6b shows that when the manufacturer implements CSR, the retailer’s degree of profit growth is the greatest with the increase in , the lowest when the manufacturer implements CSR, and the profit in the absence of CSR is in the middle.
The reason for the above changes is that the member undertakes corporate social responsibility in the supply chain and sacrifices its profit to increase the revenue of the other members and improve its utility. As a result, in the three scenarios, both the manufacturer and the retailer receive a higher profit when the other member invests in CSR. In contrast, the minimum profit is attained when it invests in CSR. In addition, the manufacturer occupies a dominant position in the supply chain and can hold more profit shares in the entire supply chain channel via priority pricing power. Therefore, no matter how the green product function coefficient varies, the manufacturer’s profit is always higher than that of the retailer in all three scenarios.
6.4. The Combined Influence of CSR, Product Function Coefficient, and Green Preference on Social Welfare
Set , , , and . The combined influence of the CSR level and green preference on social welfare is shown in Figure 7a. The combined influence of the product function coefficient and the CSR level on social welfare is shown in Figure 7b.
Figure 7.
The combined effects of different parameters on social welfare. (a) The combined effects of h and on social welfare. (b) The combined effects of h and on social welfare.
Figure 7 shows that, when the two alternative products are simultaneously produced and sold in the supply chain, social welfare is improved the most in the R scenario, and there is the least improvement in the N scenario. This means that the retailer investing in CSR is the most effective approach to enhance social welfare. Meanwhile, Figure 7a shows that CSR and consumer green preference can simultaneously contribute to the growth of social welfare in the supply chain system; the optimal social welfare strategy is to maximize the retailer’s CSR level and consumer green preference. According to Figure 7b, both increases in the CSR level and the green product functional coefficient have a positive impact on the social welfare of the supply chain system, and the impact of the green product function coefficient is greater.
7. Implications for Management
This study has important theoretical and managerial implications. We propose the following management suggestions for different members of the supply chain system.
For the manufacturer, although investing in CSR is not conducive to the growth of its economic benefit, such altruistic behavior can enhance the enterprise’s brand influence and competitiveness while promoting the sustainable development of the enterprise. In addition, considering the negative impact of production costs on promoting the greening of the consumer market, the manufacturer should continue to innovate in green production technology, improve the efficiency of green investment, and control green production costs.
For the retailer, implementing CSR within a reasonable range can achieve a Pareto improvement in economic benefits for supply chain members. However, excessive CSR investment is detrimental to its profit. Therefore, the retailer should reasonably control the level of CSR implementation according to the actual situation and trade off the benefits between itself and the supply chain system.
For the government, first, to incentivize more enterprises to implement CSR and avoid the imbalance in the distribution of economic benefits in supply chain channels, the government can take measures such as reducing taxes or increasing subsidies for green products to indirectly compensate for the profit losses caused by the enterprise’s CSR investment, thus comprehensively improving social welfare. Second, the government should introduce relevant policies to standardize the environmental labels of eco-friendly products; the disclosure of green information can stimulate consumers to make more environmentally friendly selections. Finally, the government should strengthen macro-control and encourage enterprises to improve the heterogeneity and service level of the alternative green product, emphasizing the product characteristics. This is conducive to environmental protection and increases the profits of the supply chain members.
Improving the consumer environmental protection concept is crucial to supporting enterprises in investing in green production. The government should fully support the marketing and promotion role of the media, leading more consumers to establish a green consumption concept. In addition, when a retailer invests in CSR, the consumer can purchase “high-quality, low-price” green products, obtaining the highest utility.
8. Conclusions and Future Work
A green transformation supports the sustainable development of supply chain systems. In this paper, the influence of different members’ CSR implementation on the heterogeneous product coexistence supply chain was discussed. The main contributions are as follows: (1) Placing consumer green preferences, green product functional coefficients, and CSR under a research framework, the demand functions of the two products were constructed through the utility model. (2) Considering three different CSR implementation models, the Stackelberg game method was used to obtain pricing and optimal green decisions, compare and analyze the differences between different models, and reveal the input model most conducive to the social welfare of the supply chain system. (3) Through numerical analysis, the combined influence of consumer green preferences, the green product function coefficient, and CSR on supply chain performance was discussed. The main conclusions of the study can be summarized as follows:
- (1)
- Both manufacturer and retailer CSR behavior enhance the product’s greenness, reducing the retail price, promoting green product market demand, and ultimately improving the supply chain system’s economic performance, consumer surplus, and social welfare. Although the price of the ordinary product does not change with the market environment, its market demand shrinks due to CSR.
- (2)
- The behavior of a supply chain member implementing CSR has positive externalities that contribute to economic performance for the other member but negatively affect its profit. Only when the follower retailer implements CSR to a smaller degree can the original member experience improved profit.
- (3)
- Compared with the manufacturer, the retailer has the advantage of being close to the consumer market. When it implements CSR, the green product is more sustainable, has a lower retail price, and occupies a greater market share. In addition, the economic benefit of the supply chain system is also higher.
- (4)
- Regardless of whether the manufacturer and the retailer implement CSR, an increase in consumer green preferences can improve the price and green attributes of the product, which is conducive to the growth of the economic performance of supply chain members. However, the market demand space of the ordinary product will be squeezed.
- (5)
- Besides the profits of the manufacturer and retailer, the CSR behavior has different degrees of synergistic effects on the impacts of consumer green preferences. Furthermore, the numerical analysis results show that the CSR behavior of supply chain members has a greater effect on the improvement in green product demand than the consumer’s green preferences.
- (6)
- When the functional attribute of the green product is high, consumers are inclined to buy the green product regardless of whether the supply chain members invest in CSR; this also indicates that, compared with the brand effect introduced by CSR, consumers are more concerned about the product’s functionality.
This study also has some limitations. First, this study only considers the manufacturer taking a dominant role; in the future, substitute product decision making under differentiated power structures can be discussed. Second, this study only involves the manufacturer and the retailer, ignoring the regulatory role of the government. Hence, it is necessary to explore the impact of government policies on heterogeneous product coexistence CSR supply chain decisions. Third, this study focuses on three general cases in which the manufacturer and the retailer invest in CSR separately, as well as a lack of CSR implementation. However, there is also a special case in which the supply chain members jointly implement CSR. Therefore, the interaction mechanism between heterogeneous substitutes, consumer green preferences, and the CSR share ratio of supply chain members can be further explored.
Author Contributions
W.L. proposed the topic and was involved in the simulation analysis and writing of the paper. L.L. provided guidance during the writing of the paper. Z.L. designed the research content. All authors have read and agreed to the published version of the manuscript.
Funding
This study is supported by National Natural Science Foundation of China (Nos. 71361018 and 71671079).
Institutional Review Board Statement
Not applicable.
Informed Consent Statement
Not applicable.
Data Availability Statement
The data presented in this study are available in [MDPI] at [10.3390/su132212446], reference number [42].
Conflicts of Interest
The authors declare no conflict of interest.
Appendix A
Proof of Proposition 1.
Using the reverse solution method of the Stackelberg game, the first and second derivatives of relative to and are as follows:
Thus, the Hessian matrix of w.r.t. and is as follows:
Because of , then , . Hence, the Hessian matrix H is negative definite. Therefore, is jointly concave w.r.t. and . Solving the following equations simultaneously, , , the optimal response functions of and can be obtained as follows: , .
Substituting and into (3), we can obtain the manufacturer’s profit function as follows:
From functions (A1), the first and second derivatives of relative to , and are as follows:
Thus, the Hessian matrix of w.r.t. , and is as follows:
From the conditions that and , we can obtain , , . Hence, the Hessian matrix H is negative definite. Therefore, is jointly concave w.r.t. , and . Solving the following equations simultaneously,, , , the optimal response functions of , and can be obtained. Then, they are substituted into and to obtain and . Finally, the corresponding optimal profits, consumer surplus and social welfare are obtained. □
Proofs of Proposition 2 and Proposition 3 are similar to the proof of Proposition 1.
Proof of Corollary 1.
Since and , we have
□
Proof of Corollary 2.
Since and , we have
We need to further determine whether , , , is positive or negative.
Because of , .
Similarly, it is proved that . From the above, we can obtain , , , .
From , we can take .
Therefore, , then we can obtain .
Because of , , we can obtain . □
Proof of Corollary 3.
Since and , we have
□
Proof of Corollary 4.
Since and , we have
, when , , and when , . □
Proof of Corollary 5.
Since and , we have
□
Proof of Proposition 4.
Since and , we have
□
Proof of Proposition 5.
Since and , we have
□
Proof of Proposition 6.
Since and , we have
From the above, we can obtain .
We need to further determine whether , is positive or negative.
Because of , . Similarly, it is proved that . From the above, we can obtain , .
When , , and when , .
From the above, we can obtain when , , and when , .
We need to further determine whether , is positive or negative.
By , we can take , .
Because of , . Similarly, it is proved that . From the above, we can obtain . □
Proof of Proposition 7.
Since and , we have
We need to further determine whether , is positive or negative.
Because of , . Similarly, it is proved that .
From the above, we can obtain .
By , we can take .
Because of , . Similarly, it is proved that . From the above, we can obtain . □
References
- Roheim, C.A.; Asche, F.; Santos, J.I. The elusive price premium for ecolabelled products: Evidence from seafood in the UK market. J. Agric. Econ. 2011, 62, 655–668. [Google Scholar] [CrossRef]
- Mondal, C.; Giri, B.C. Analyzing a manufacturer-retailer sustainable supply chain under cap-and-trade policy and revenue sharing contract. Oper. Res. 2021, 22, 4057–4092. [Google Scholar] [CrossRef]
- Hu, Z.; Wang, S. An evolutionary game model between governments and manufacturers considering carbon taxes, subsidies, and consumers’ low-carbon preference. Dyn. Games Appl. 2022, 12, 513–551. [Google Scholar] [CrossRef]
- Freeman, R.E. Strategic Management: A Stakeholder Approach; Pitman/Ballinger: Boston, MA, USA, 1984. [Google Scholar]
- Li, S.Y.; Li, M.L.; Zhou, N. Pricing and coordination in a dual-channel supply chain with a socially responsible manufacturer. PLoS ONE 2020, 15, e0236099. [Google Scholar] [CrossRef] [PubMed]
- He, X.H.; Jiang, J.X.; Hu, W.F. Cross effects of government subsidies and corporate social responsibility on carbon emissions reductions in an omnichannel supply chain system. Comput. Ind. Eng. 2023, 175, 108872. [Google Scholar] [CrossRef]
- Tian, G.; Liu, J.J.; Gong, Y. Multinational companies’ coordination mechanism for extending corporate social responsibility to Chinese suppliers. J. Clean. Prod. 2020, 267, 121896. [Google Scholar] [CrossRef]
- Li, W.X.; Liu, L.Z.; Li, Y. Decision-making and coordination of green supply chain with corporate social responsibility under loss aversion. Evol. Intell. 2023, 17, 399–415. [Google Scholar] [CrossRef]
- Rahmani, K.; Yavari, M. Pricing policies for a dual-channel green supply chain under demand disruptions. Comput. Ind. Eng. 2019, 127, 493–510. [Google Scholar] [CrossRef]
- Wang, S.; Wang, G.; Zhao, S. Pricing and green decision-making in a three-echelon supply chain considering fairness concern with the participation of green logistics. Evol. Intell. 2022, 16, 1285–1307. [Google Scholar] [CrossRef]
- Pei, H.L.; Liu, Y.K.; Li, H.L. Robust Pricing for a Dual-Channel Green Supply Chain Under Fuzzy Demand Ambiguity. IEEE Trans. Fuzzy Syst. 2022, 31, 53–66. [Google Scholar] [CrossRef]
- Shen, L.; Wang, X.; Liu, Q.; Wang, Y.; Lv, L.; Tang, R. Carbon trading mechanism, lowcarbon e-commerce supply chain and sustainable development. Mathematics 2021, 9, 1717. [Google Scholar] [CrossRef]
- Han, C.Q.; Gu, H.Y.; Sui, L.H.; Shao, C.P. Carbon emission reduction decision and revenue sharing contract with consumers’ low-carbon preference and CER cost under carbon tax. Math. Probl. Eng. 2021, 2021, 3458607. [Google Scholar] [CrossRef]
- Wu, H.B.; Sun, Y.X.; Su, Y.T. Which Is the Best Supply Chain Policy: Carbon Tax, or a Low-Carbon Subsidy? Sustainability 2022, 14, 6312. [Google Scholar] [CrossRef]
- Aslani, A.; Heydari, J. Transshipment contract for coordination of a green dual-channel supply chain under channel disruption. J. Clean. Prod. 2019, 223, 596–609. [Google Scholar] [CrossRef]
- Lin, J.C.; Fan, R.G.; Tan, X.C. Dynamic decision and coordination in a low-carbon supply chain considering the retailer’s social preference. Socio-Econ. Plan. Sci. 2021, 77, 85–101. [Google Scholar] [CrossRef]
- Vickers, J. Delegation and the Theory of the Firm; Cambridge University Press: Cambridge, UK, 2009; pp. 389–401. [Google Scholar]
- Leng, J.; Gao, Y. Information disclosure quality of corporate social responsibility and innovation sustainability under financing constraints-data analysis based on small and medium-sized board enterprises. Sci. Technol. Prog. Policy 2019, 36, 77–84. [Google Scholar]
- Liu, Y.; Ren, W.W.; Xu, Q. Decision analysis of supply chains considering corporate social responsibility and government subsidy under different channel power structures. Ann. Oper. Res. 2022, 315, 1841–1869. [Google Scholar] [CrossRef]
- Ma, P.; Shang, J.; Wang, H. Enhancing corporate social responsibility: Contract design under information asymmetry. Omega 2017, 52, 19–30. [Google Scholar] [CrossRef]
- Panda, S.; Modak, N.M. Exploring the effects of social responsibility on coordination and profit division in a supply chain. J. Clean. Prod. 2016, 139, 25–40. [Google Scholar] [CrossRef]
- Yan, Y.L.; Yao, F.M.; Sun, J.Y. Manufacturer’s cooperation strategy of closed-loop supply chain considering corporate social responsibility. RAIRO—Oper. Res. 2021, 55, 3639–3659. [Google Scholar] [CrossRef]
- Biswas, I.; Raj, A.; Srivastava, S.K. Supply chain channel coordination with triple bottom line approach. Transp. Res. Part E 2018, 115, 213–226. [Google Scholar] [CrossRef]
- Ma, P.; Lu, Y.J. Operational decisions of low-carbon supply chains with triple bottom line under carbon tax policy. Kybernetes 2023, 53, 1888–1919. [Google Scholar] [CrossRef]
- Wei, J.; Zhao, J. Pricing and remanufacturing decisions in two competing supply chains. Int. J. Prod. Res. 2015, 53, 258–278. [Google Scholar] [CrossRef]
- Giri, R.N.; Mondal, S.K.; Maiti, K. Analysis of pricing decision for substitutable and complementary products with a common retailer. Pac. Sci. Rev. A Nat. Sci. Eng. 2016, 18, 3190–3202. [Google Scholar] [CrossRef]
- Zhao, J.; Tang, W.S.; Wei, J. Pricing decision for substitutable products with retail competition in a fuzzy environment. Int. J. Prod. Econ. 2012, 135, 144–153. [Google Scholar] [CrossRef]
- Ranjan, A.; Jha, J.K. Pricing and coordination strategies of a dual-channel supply chain considering green quality and sales effort. J. Clean. Prod. 2019, 218, 409–424. [Google Scholar] [CrossRef]
- Chen, T.; Yang, F.; Guo, X.L. Optimal bundling in a distribution channel in the presence of substitutability and complementarity. Int. J. Prod. Res. 2021, 59, 1145–1165. [Google Scholar] [CrossRef]
- Cao, D.; Li, J.; Liu, G.; Mei, R. Can Decentralization Drive Green Innovation? A Game Theoretical Analysis of Manufacturer Encroachment Selection with Consumer Green Awareness. Processes 2021, 9, 990. [Google Scholar] [CrossRef]
- Wang, S.J.; Liu, L.Z.; Wen, J. Product pricing and green decision-making considering consumers’ multiple preferences under chain-to-chain competition. Kybernetes 2022, 53, 152–187. [Google Scholar] [CrossRef]
- Zhang, L.H.; Wang, J.G.; You, J.X. Consumer environmental awareness and channel coordination with two substitutable products. Eur. J. Oper. Res. 2015, 241, 63–73. [Google Scholar] [CrossRef]
- Hosseini-Motlagh, S.M.; Nematollahi, M.; Nouri, M. Coordination of green quality and green warranty decisions in a two-echelon competitive supply chain with substitutable. J. Clean. Prod. 2018, 196, 961–984. [Google Scholar] [CrossRef]
- Fadavi, A.; Jolai, F.; Taleizadeh, A. Green product design in a supply chain with considering marketing under competition and coordination. Environ. Dev. Sustain. 2022, 24, 11721–11759. [Google Scholar] [CrossRef]
- Fanti, L.; Buccella, D. Corporate Social Responsibility and the choice of price versus quantities. Jpn. World Econ. 2018, 48, 71–78. [Google Scholar] [CrossRef]
- Nie, P.Y.; Wang, C.; Meng, Y. An analysis of environmental corporate social responsibility. Manag. Decis. Econ. 2019, 40, 384–393. [Google Scholar] [CrossRef]
- Kopel, M. Price and quantity contracts in a mixed duopoly with a socially concerned firm. Manag. Decis. Econ. 2015, 36, 559–566. [Google Scholar] [CrossRef]
- Sumitro, B.; Luc, W. Corporate social responsibility and product quality: Complements or substitutes? Int. J. Res. Mark. 2017, 34, 734–745. [Google Scholar]
- Jamali, M.B.; Rasti-Barzoki, M. A game theoretic approach for green and non-green product pricing in chain-to-chain competitive sustainable and regular dual-channel supply chains. J. Clean. Prod. 2018, 170, 1029–1043. [Google Scholar] [CrossRef]
- Ge, G.; Wang, D.; Epede, M.B. Pricing policies of green dual-channel supply chain with fairness concerns and altruistic preferences based on consumers’ environmental awareness and channel preference. Int. J. Environ. Res. Public Health 2022, 19, 13564. [Google Scholar] [CrossRef] [PubMed]
- Hong, Z.; Wang, H.; Yu, Y. Green product pricing with non-green product reference. Transp. Res. Part E Logist. Transp. Rev. 2018, 115, 1–15. [Google Scholar] [CrossRef]
- Xue, K.L.; Sun, G.H.; Wang, Y.Y. Optimal pricing and green product design strategies in a sustainable supply chain considering government subsidy and different channel power structures. Sustainability 2021, 13, 12446. [Google Scholar] [CrossRef]
- Meng, Q.; Li, M.; Liu, W. Pricing policies of dual-channel green supply chain: Considering government subsidies and consumers’ dual preferences. Sustain. Prod. Consum. 2021, 26, 1021–1030. [Google Scholar] [CrossRef]
- Sana, S. Price competition between green and non green products under corporate social responsible firm. J. Retail. Consum. Serv. 2020, 55, 102118. [Google Scholar] [CrossRef]
- Huang, J.; Wang, X.; Luo, Y. Joint green marketing decision-making of green supply chain considering power structure and corporate social responsibility. Entropy 2021, 23, 564. [Google Scholar] [CrossRef] [PubMed]
- Zhang, R.; Liu, J.; Qian, Y. Wholesale-price vs cost-sharing contracts in a green supply chain with reference price effect under different power structures. Kybernetes 2023, 52, 1879–1902. [Google Scholar] [CrossRef]
- Hong, Z.; Wang, H.; Gong, Y. Green product design considering functional-product reference. Int. J. Prod. Econ. 2019, 210, 155–168. [Google Scholar] [CrossRef]
- Chen, X.; Zhang, R.; Lv, B. Dual-channel green supply chain decision-making and coordination considering CSR and consumer green preferences. Discret. Dyn. Nat. Soc. 2021, 2021, 5301461. [Google Scholar] [CrossRef]
- Yoon, B.; Chung, Y. The effects of corporate social responsibility on firm performance: A stakeholder approach. J. Hosp. Tour. Manag. 2018, 37, 89–96. [Google Scholar] [CrossRef]
Disclaimer/Publisher’s Note: The statements, opinions and data contained in all publications are solely those of the individual author(s) and contributor(s) and not of MDPI and/or the editor(s). MDPI and/or the editor(s) disclaim responsibility for any injury to people or property resulting from any ideas, methods, instructions or products referred to in the content. |
© 2024 by the authors. Licensee MDPI, Basel, Switzerland. This article is an open access article distributed under the terms and conditions of the Creative Commons Attribution (CC BY) license (https://creativecommons.org/licenses/by/4.0/).






