Assessment of the Applicability of Compact Aerating Reactors for the Improvement of Water Quality in a Small Water Body Functioning in an Agricultural Catchment
Abstract
1. Introduction
2. Materials and Methods
2.1. Aerating Reactors
2.2. Study Area
2.3. Field Research
2.4. Laboratory Analyses and Calculations
3. Results and Discussion
3.1. Physico-Chemical Water Properties: Continuous Monitoring
3.2. Monthly Changes in Physico-Chemical Water Properties
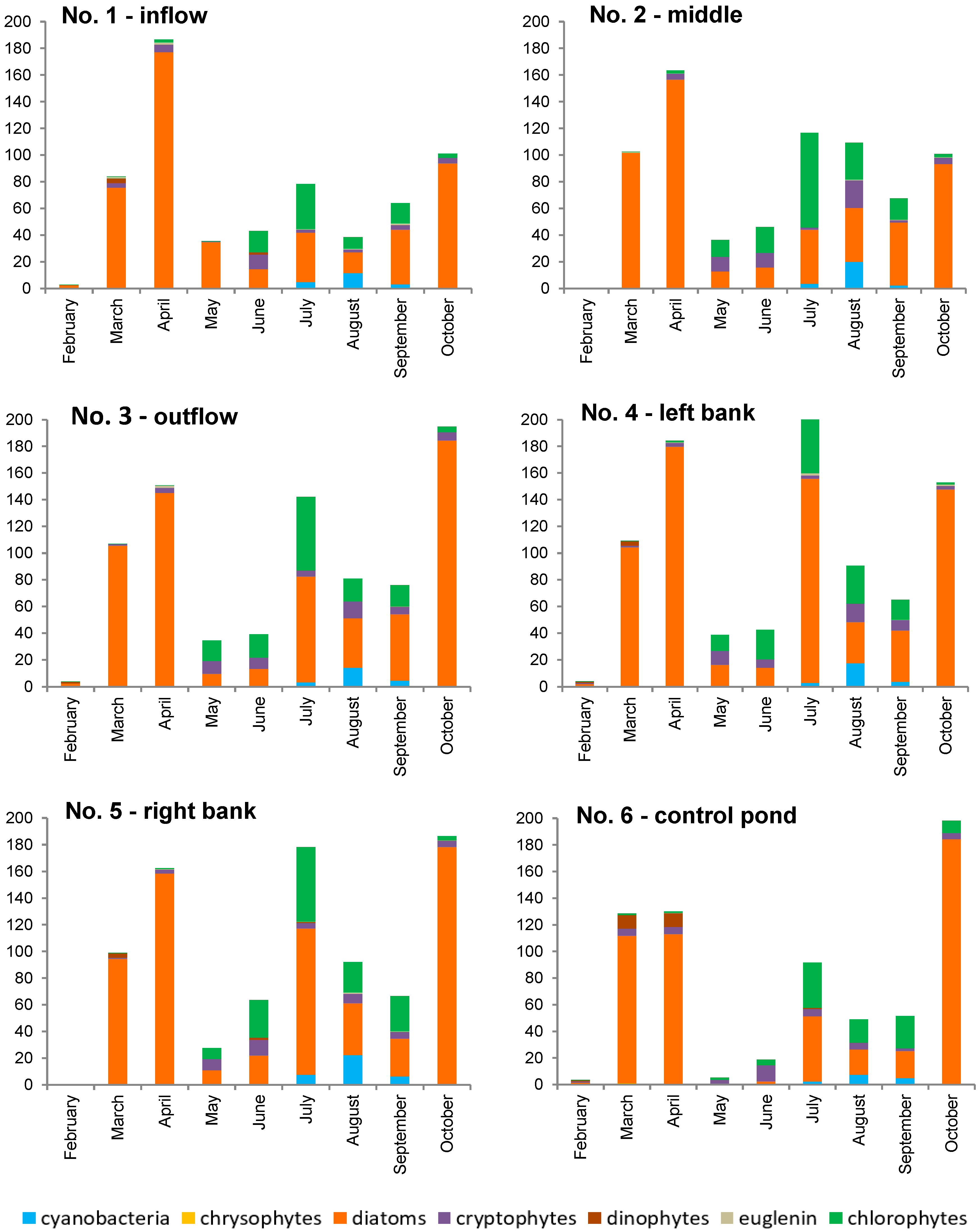
3.3. Monthly Changes in Phytoplankton
3.4. Water Trophic Status
3.5. Nitrogen and Phosphorus Load Supplied to the Pond
3.6. Costs and Perspectives
4. Conclusions
Supplementary Materials
Author Contributions
Funding
Institutional Review Board Statement
Informed Consent Statement
Data Availability Statement
Conflicts of Interest
References
- Carpenter, S.R. Eutrophication of Aquatic Ecosystems: Bistability and Soil Phosphorus. Proc. Natl. Acad. Sci. USA 2005, 102, 10002–10005. [Google Scholar] [CrossRef] [PubMed]
- Górniak, A.; Kajak, Z. Hydrobiology Limnology; PWN: Warsaw, Poland, 2020. [Google Scholar]
- Kończak, M.; Huber, M. Application of the Engineered Sewage Sludge-Derived Biochar to Minimize Water Eutrophication by Removal of Ammonium and Phosphate Ions from Water. J. Clean. Prod. 2022, 331, 129994. [Google Scholar] [CrossRef]
- Li, X.; Nan, R. A Bibliometric Analysis of Eutrophication Literatures: An Expanding and Shifting Focus. Environ. Sci. Pollut. Res. 2017, 24, 17103–17115. [Google Scholar] [CrossRef] [PubMed]
- Reynolds, C.S. The Development of Perceptions of Aquatic Eutrophication and Its Control. Int. J. Ecohydrol. Hydrobiol. 2003, 3, 149–163. [Google Scholar]
- Vollenweider, R.A. Advances in Defining Critical Loading Levels for Phosphorus in Lake Eutrophication. Mem. Dell’istituto Ital. Di Idrobiol. Dott. Marco De. Marchi Verbania Pallanza 1976, 33, 53–83. [Google Scholar]
- Chmiel, S.; Sposób, J.; Mięsiak-Wójcik, K.; Michalczyk, Z.; Głowacki, S. The Effect of a Dam Reservoir on Water Trophic Status and Forms of River Transport of Nutrients. In Polish River Basins and Lakes—Part I: Hydrology and Hydrochemistry; Korzeniewska, E., Harnisz, M., Eds.; The Handbook of Environmental Chemistry; Springer International Publishing: Cham, Switzerland, 2020; pp. 305–320. ISBN 978-3-030-12123-5. [Google Scholar]
- Chmiel, S.; Głowacki, S.; Michalczyk, Z.; Sposób, J. Some Issues in the Assessment of Eutrophication of River Waters as a Consequence of the Construction of a Storage Reservoir (on the Example of the Bystrzyca River). Ecohydrol. Hydrobiol. 2009, 9, 175–179. [Google Scholar] [CrossRef]
- Ignatius, A.R.; Rasmussen, T.C. Small Reservoir Effects on Headwater Water Quality in the Rural-Urban Fringe, Georgia Piedmont, USA. J. Hydrol. Reg. Stud. 2016, 8, 145–161. [Google Scholar] [CrossRef]
- Szczykowska, J.; Siemieniuk, A.; Wiater, J. Agricultural Pollution and Water Quality in Small Retention Reservoir in Korycin. J. Ecol. Eng. 2014, 16, 141–146. [Google Scholar] [CrossRef] [PubMed][Green Version]
- Smith, V.H.; Schindler, D.W. Eutrophication Science: Where Do We Go from Here? Trends Ecol. Evol. 2009, 24, 201–207. [Google Scholar] [CrossRef] [PubMed]
- Cheung, M.Y.; Liang, S.; Lee, J. Toxin-Producing Cyanobacteria in Freshwater: A Review of the Problems, Impact on Drinking Water Safety, and Efforts for Protecting Public Health. J. Microbiol. 2013, 51, 1–10. [Google Scholar] [CrossRef]
- Schindler, D.W.; Vallentyne, J.R. The Algal Bowl: Overfertilization of the World’s Freshwaters and Estuaries; Routledge: Oxford, UK, 2008. [Google Scholar]
- Rousso, B.Z.; Bertone, E.; Stewart, R.; Hamilton, D.P. A Systematic Literature Review of Forecasting and Predictive Models for Cyanobacteria Blooms in Freshwater Lakes. Water Res. 2020, 182, 115959. [Google Scholar] [CrossRef]
- Bucka, H. Ecology of Selected Planktonic Algae Causing Water Blooms. Acta Hydrobiol. 1989, 31, 207–258. [Google Scholar]
- Han, Z.; Cui, B. Performance of Macrophyte Indicators to Eutrophication Pressure in Ponds. Ecol. Eng. 2016, 96, 8–19. [Google Scholar] [CrossRef]
- Søndergaard, M.; Jensen, J.P.; Jeppesen, E. Role of Sediment and Internal Loading of Phosphorus in Shallow Lakes. Hydrobiologia 2003, 506, 135–145. [Google Scholar] [CrossRef]
- Zamparas, M.; Zacharias, I. Restoration of Eutrophic Freshwater by Managing Internal Nutrient Loads. A Review. Sci. Total Environ. 2014, 496, 551–562. [Google Scholar] [CrossRef] [PubMed]
- Glibert, P.M. Eutrophication, Harmful Algae and Biodiversity—Challenging Paradigms in a World of Complex Nutrient Changes. Mar. Pollut. Bull. 2017, 124, 591–606. [Google Scholar] [CrossRef] [PubMed]
- Gong, Z.; Xie, P. Impact of Eutrophication on Biodiversity of the Macrozoobenthos Community in a Chinese Shallow Lake. J. Freshw. Ecol. 2001, 16, 171–178. [Google Scholar] [CrossRef][Green Version]
- Helminen, H.; Karjalainen, J.; Kurkilahti, M.; Rask, M.; Sarvala, J. Eutrophication and Fish Biodiversity in Finnish Lakes. SIL Proc. 1922–2010 2000, 27, 194–199. [Google Scholar] [CrossRef]
- Ibelings, B.W.; Chorus, I. Accumulation of Cyanobacterial Toxins in Freshwater “Seafood” and Its Consequences for Public Health: A Review. Environ. Pollut. 2007, 150, 177–192. [Google Scholar] [CrossRef]
- Kobos, J.; Błaszczyk, A.; Hohlfeld, N.; Toruńska-Sitarz, A.; Krakowiak, A.; Hebel, A.; Sutryk, K.; Grabowska, M.; Toporowska, M.; Kokociński, M.; et al. Cyanobacteria and cyanotoxins in Polish freshwater bodies. Oceanol. Hydrobiol. Stud. 2013, 42, 358–378. [Google Scholar] [CrossRef]
- Abell, J. Ecofish—Shallow Lakes Restoration Review—Final Shallow Lakes: A Literature Review; Waikato Regional Council Technical Report. 2018. Available online: https://www.waikatoregion.govt.nz/assets/WRC/WRC-2019/TR201813.pdf (accessed on 13 June 2024).
- Gołdyn, R.; Podsiadłowski, S.; Dondajewska, R.; Kozak, A. The Sustainable Restoration of Lakes—Towards the Challenges of the Water Framework Directive. Ecohydrol. Hydrobiol. 2014, 14, 68–74. [Google Scholar] [CrossRef]
- Jurczak, T.; Wojtal-Frankiewicz, A.; Kaczkowski, Z.; Oleksińska, Z.; Bednarek, A.; Zalewski, M. Restoration of a Shady Urban Pond—The Pros and Cons. J. Environ. Manag. 2018, 217, 919–928. [Google Scholar] [CrossRef] [PubMed]
- Klapper, H. Technologies for Lake Restoration. J. Limnol. 2003, 62, 73–90. [Google Scholar] [CrossRef]
- Pęczuła, W. Methods Applied in Cyanobacterial Bloom Control in Shallow Lakes and Reservoirs. Ecol. Chem. Eng. A Chem. I Inz. Ekol. A 2012, 19, 795–806. [Google Scholar] [CrossRef]
- Siwek, H.; Włodarczyk, M.; Czerniawski, R. Trophic State and Oxygen Conditions of Waters Aerated with Pulverising Aerator: The Results from Seven Lakes in Poland. Water 2018, 10, 219. [Google Scholar] [CrossRef]
- With, J.S.; Wright, D.I. Lake Restoration by Biomanipulation: Round Lake, Minnesota, the First Two Years. Freshw. Biol. 1984, 14, 371–383. [Google Scholar] [CrossRef]
- Zalewski, M. Ecohydrology—The Use of Ecological and Hydrological Processes for Sustainable Management of Water Resources. Hydrol. Sci. J. 2002, 47, 825–834. [Google Scholar] [CrossRef]
- Zalewski, M.; Wagner, I. Ecohydrology of Urban Aquatic Ecosystems for Healthy Cities. In Aquatic Habitats in Sustainable Urban Water Management; CRC Press: Boca Raton, FL, USA, 2008; ISBN 978-0-429-19246-3. [Google Scholar]
- Bajkiewicz-Grabowska, E.; Markowski, M.; Lemańczyk, K. Application of geoinformation techniques to determine zones of sediment resuspension induced by wind waves in lakes (using two lakes from Northern Poland as examples). Limnol. Rev. 2016, 16, 3–14. [Google Scholar] [CrossRef]
- Li, L.; Li, Y.; Biswas, D.K.; Nian, Y.; Jiang, G. Potential of Constructed Wetlands in Treating the Eutrophic Water: Evidence from Taihu Lake of China. Bioresour. Technol. 2008, 99, 1656–1663. [Google Scholar] [CrossRef]
- Tang, X.; Huang, S.; Scholz, M.; Li, J. Nutrient Removal in Pilot-Scale Constructed Wetlands Treating Eutrophic River Water: Assessment of Plants, Intermittent Artificial Aeration and Polyhedron Hollow Polypropylene Balls. Water Air Soil. Pollut. 2009, 197, 61–73. [Google Scholar] [CrossRef]
- Beutel, M.W.; Horne, A.J. A Review of the Effects of Hypolimnetic Oxygenation on Lake and Reservoir Water Quality. Lake Reserv. Manag. 1999, 15, 285–297. [Google Scholar] [CrossRef]
- Visser, P.M.; Ibelings, B.W.; Bormans, M.; Huisman, J. Artificial Mixing to Control Cyanobacterial Blooms: A Review. Aquat. Ecol. 2016, 50, 423–441. [Google Scholar] [CrossRef]
- Boyd, C.E. Pond Water Aeration Systems. Aquac. Eng. 1998, 18, 9–40. [Google Scholar] [CrossRef]
- Hao, A.; Kobayashi, S.; Xia, D.; Mi, Q.; Yan, N.; Su, M.; Lin, A.; Zhao, M.; Iseri, Y. Controlling Eutrophication via Surface Aerators in Irregular-Shaped Urban Ponds. Water 2021, 13, 3360. [Google Scholar] [CrossRef]
- Wiśniewski, R. The Condition and Potential Methods of Restoration of Shallow, Urban Lake Jelonek. Environ. Prot. Eng. 2007, 33, 231–240. [Google Scholar]
- Chen, C.; Wang, Y.; Pang, X.; Long, L.; Xu, M.; Xiao, Y.; Liu, Y.; Yang, G.; Deng, S.; He, J.; et al. Dynamics of Sediment Phosphorus Affected by Mobile Aeration: Pilot-Scale Simulation Study in a Hypereutrophic Pond. J. Environ. Manag. 2021, 297, 113297. [Google Scholar] [CrossRef] [PubMed]
- Lürling, M.; Mucci, M. Mitigating Eutrophication Nuisance: In-Lake Measures Are Becoming Inevitable in Eutrophic Waters in the Netherlands. Hydrobiologia 2020, 847, 4447–4467. [Google Scholar] [CrossRef]
- Lawson, R.; Anderson, M.A. Stratification and Mixing in Lake Elsinore, California: An Assessment of Axial Flow Pumps for Improving Water Quality in a Shallow Eutrophic Lake. Water Res. 2007, 41, 4457–4467. [Google Scholar] [CrossRef] [PubMed]
- Wang, Y.; He, Q.; Tang, H.; Han, Y.; Li, M. Two-Year Moving Aeration Controls Cyanobacterial Blooms in an Extremely Eutrophic Shallow Pond: Variation in Phytoplankton Community and Microcystis Colony Size. J. Water Process Eng. 2021, 42, 102192. [Google Scholar] [CrossRef]
- Zębek, E. Response of cyanobacteria to the fountain-based water aeration system in Jeziorak Mały urban lake. Limnol. Rev. 2014, 14, 51–60. [Google Scholar] [CrossRef][Green Version]
- Jurik, Ľ.; Húska, D.; Halászová, K.; Bandlerová, A. Small Water Reservoirs—Sources of Water or Problems? J. Ecol. Eng. 2015, 16, 22–28. [Google Scholar] [CrossRef]
- Elliott, J.A. Is the Future Blue-Green? A Review of the Current Model Predictions of How Climate Change Could Affect Pelagic Freshwater Cyanobacteria. Water Res. 2012, 46, 1364–1371. [Google Scholar] [CrossRef] [PubMed]
- Kosten, S.; Huszar, V.L.M.; Bécares, E.; Costa, L.S.; van Donk, E.; Hansson, L.-A.; Jeppesen, E.; Kruk, C.; Lacerot, G.; Mazzeo, N.; et al. Warmer Climates Boost Cyanobacterial Dominance in Shallow Lakes. Glob. Change Biol. 2012, 18, 118–126. [Google Scholar] [CrossRef]
- Mioduszewski, W. Small Water Reservoirs—Their Function and Construction. J. Water Land. Dev. 2012, 17, 45–52. [Google Scholar] [CrossRef]
- Cooke, G.D.; Welch, E.B.; Peterson, S.; Nichols, S.A. Restoration and Management of Lakes and Reservoirs, 3rd ed.; CRC Press: Boca Raton, FL, USA, 2005; ISBN 978-0-429-18923-4. [Google Scholar]
- Lerminiaux, J.; Norton, B.; Wilson, R.J.; Rimas, R.; Lavender, T.M.; Finlay, K. Effects of Aeration on Water Quality in Agricultural Reservoirs in the Northern Great Plains. Lake Reserv. Manag. 2024, 1–21. [Google Scholar] [CrossRef]
- PN-EN ISO 5667-1:2022-07. Water Quality—Sampling—Part 1: Guidelines for Developing Sampling Programs and Sampling Techniques. Technical Committee: Washington, DC, USA, 2022.
- PN-EN ISO 5667-3:2018-08. Water Quality—Sampling—Part 3: Guidelines for the Preservation and Handling of Water Samples. Technical Committee: Washington, DC, USA, 2022.
- Carlson, R.E. A Trophic State Index for Lakes1. Limnol. Oceanogr. 1977, 22, 361–369. [Google Scholar] [CrossRef]
- Kratzer, C.R.; Brezonik, P.L. A Carlson-Type Trophic State Index for Nitrogen in Florida Lakes1. JAWRA J. Am. Water Resour. Assoc. 1981, 17, 713–715. [Google Scholar] [CrossRef]
- Hutorowicz, A.; Pasztaleniec, A. Handbook for Monitoring Biological Elements and Classification of the Ecological Status of Surface Waters, Phytoplankton in Lakes; Environment Monitoring Library: Urbana, IL, USA, 2020; (In Polish). Available online: https://www.gios.gov.pl/images/dokumenty/pms/monitoring_wod/Podrecznik_Monitoringu_Wod.pdf (accessed on 13 June 2024).
- Gizińska, J.; Sojka, M. How Climate Change Affects River and Lake Water Temperature in Central-West Poland—A Case Study of the Warta River Catchment. Atmosphere 2023, 14, 330. [Google Scholar] [CrossRef]
- Hammer, K.J.; Kragh, T.; Sand-Jensen, K. Inorganic Carbon Promotes Photosynthesis, Growth, and Maximum Biomass of Phytoplankton in Eutrophic Water Bodies. Freshw. Biol. 2019, 64, 1956–1970. [Google Scholar] [CrossRef]
- Singh, S.P.; Singh, P. Effect of CO2 Concentration on Algal Growth: A Review. Renew. Sustain. Energy Rev. 2014, 38, 172–179. [Google Scholar] [CrossRef]
- Nguyen, V.D.; Bac, N.; Hoang, T.H. Dissolved Oxygen as an Indicator for Eutrophication in Freshwater Lakes. 2016, p. 47. Available online: https://www.researchgate.net/profile/Duc-Viet-Nguyen-7/publication/308991144_Dissolved_Oxygen_as_an_Indicator_for_Eutrophication_in_Freshwater_Lakes/links/57fcee4208aec496a42b2838/Dissolved-Oxygen-as-an-Indicator-for-Eutrophication-in-Freshwater-Lakes.pdf (accessed on 13 June 2024).
- Łopata, M.; Grochowska, J.K.; Augustyniak-Tunowska, R.; Tandyrak, R. Possibilities of Improving Water Quality of Degraded Lake Affected by Nutrient Overloading from Agricultural Sources by the Multi-Point Aeration Technique. Appl. Sci. 2023, 13, 2861. [Google Scholar] [CrossRef]
- YSI Environmental Environmental Dissolved Oxygen Values above 100% Air Saturation. Available online: https://cdn.ioos.noaa.gov/media/2017/12/super_saturation.pdf (accessed on 13 June 2024).
- Wiśnios, M.; Kanownik, W. Thermal and oxygen conditions in carp ponds during the summer period. J. Ecol. Eng. 2015, 16, 144–150. [Google Scholar] [CrossRef] [PubMed]
- Górski, J.; Dragon, K.; Kaczmarek, P.M.J. Nitrate Pollution in the Warta River (Poland) between 1958 and 2016: Trends and Causes. Environ. Sci. Pollut. Res. 2019, 26, 2038–2046. [Google Scholar] [CrossRef] [PubMed]
- Lawniczak, A.E.; Zbierska, J.; Kupiec, J. Changes of Nutrient Concentrations in Water Sensitive to Nitrate Pollution from Agricultural Sources in the Samica Steszewska River Catchment. Ann. Wars. Univ. Life Sci.—SGGW. Land. Reclam. 2008, 40, 15–25. [Google Scholar] [CrossRef]
- Ivanova, A.P.; Vrba, J.; Potužák, J.; Regenda, J.; Strunecký, O. Seasonal Development of Phytoplankton in South Bohemian Fishponds (Czechia). Water 2022, 14, 1979. [Google Scholar] [CrossRef]
- Chambers, P.A.; McGoldrick, D.J.; Brua, R.B.; Vis, C.; Culp, J.M.; Benoy, G.A. Development of Environmental Thresholds for Nitrogen and Phosphorus in Streams. J. Environ. Qual. 2012, 41, 7–20. [Google Scholar] [CrossRef] [PubMed]
- Yang, Z.; Zhang, M.; Yu, Y.; Shi, X. Temperature Triggers the Annual Cycle of Microcystis, Comparable Results from the Laboratory and a Large Shallow Lake. Chemosphere 2020, 260, 127543. [Google Scholar] [CrossRef] [PubMed]
- Rosińska, J.; Kozak, A.; Dondajewska, R.; Gołdyn, R. Cyanobacteria Blooms before and during the Restoration Process of a Shallow Urban Lake. J. Environ. Manag. 2017, 198, 340–347. [Google Scholar] [CrossRef] [PubMed]
- Galvez, R.; Sanchez, M. Trophic Status Evaluation for 154 Lakes in Quebec, Canada: Monitoring and Recommendations. Water Qual. Res. J. Can. 2007, 42, 252–268. [Google Scholar] [CrossRef]
- Kajak, Z. Hydrobiology—Limnology. Inland Water Ecosystems; PWN: Warsaw, Poland, 2001. [Google Scholar]
- Vollenweider, R.A. Scientific Fundamentals of the Eutrophication of Lakes and Flowing Waters, with Particular Reference to Nitrogen and Phosphorus as Factors in Eutrophication; Organisation for Economic Co-Operation and Development: Paris, France, 1968. [Google Scholar]
- Rokicki, T.; Bórawski, P.; Gradziuk, B.; Gradziuk, P.; Mrówczyńska-Kamińska, A.; Kozak, J.; Guzal-Dec, D.J.; Wojtczuk, K. Differentiation and Changes of Household Electricity Prices in EU Countries. Energies 2021, 14, 6894. [Google Scholar] [CrossRef]
- Novas, N.; Garcia, R.M.; Camacho, J.M.; Alcayde, A. Advances in Solar Energy towards Efficient and Sustainable Energy. Sustainability 2021, 13, 6295. [Google Scholar] [CrossRef]






| Number and Name of Location | 1—Inflow | 2—Middle | 3—Outflow | 4—Left Bank | 5—Right Bank | 6—Control Pond |
|---|---|---|---|---|---|---|
| Sampling date | II–X.2021 | |||||
| Water stage [cm] | 90–94/90 | |||||
| Indices characterizing the physical state, including thermal conditions | ||||||
| Temperature [°C] | 0.46–20.6/12.3 | 0.80–26.3/16.4 | 0.05–26.8/15.5 | 0.06–26.8/15.4 | 1.05–27.3/16.4 | 0.68–26.5/15.7 |
| Suspended solids [mg/dm3] | <2.5–19.0/10.8 | <2.5–21.0/12.5 | <2.5–21.0/13.9 | <2.5–19.0/13.2 | <2.5–19.0/12.9 | <2.5–24.0/13.0 |
| Visibility [m] | 0.22–0.76/0.41 | 0.19–0.60/0.35 | 0.20–0.78/0.39 | 0.19–0.80/0.37 | 0.19–0.68/0.34 | 0.23–1.05/0.50 |
| Turbidity [NTU] | 2.10–19.4/11.1 | 2.00–41.3/14.5 | 1.7–21.2/11.5 | 1.30–17.1/9.92 | 0.20–16.9/9.93 | 0.10–15.1/8.99 |
| Indices characterizing acidification | ||||||
| Reaction [pH] | 6.84–8.54/7.70 | 7.37–9.18/8.43 | 6.93–9.03/8.26 | 6.78–9.16/8.15 | 7.27–9.03/8.28 | 7.02–8.80/8.08 |
| ALK [mgCaCO3/dm3] | 141–310/226 | 127–306/202 | 126–309/210 | 132–300/209 | 134–309/210 | 138–311/211 |
| Indices characterizing oxygen conditions and organic pollutants | ||||||
| Oxygen [mgO2/dm3] | 8.38–29.4/14.0 | 11.4–30.8/20.2 | 9.02–30.1/17.6 | 9.13–30.1/9.92 | 9.75–29.6/17.2 | 0.97–28.8/13.3 |
| Oxygen [% saturation] | 84.1–270/134.6 | 89.5–369.7/209 | 87.7–285/177.9 | 84.1–370/188.8 | 69.9–276/176.7 | 10.2–263.6/131 |
| TOC [mgC/dm3] | 0.7–5.9/3.5 | 0.8–6.2/3.7 | 0.7–6.1/3.7 | 0.9–7.0/3.7 | 0.9–6.0/3.8 | 1.2–8.3/3.9 |
| BOD5 [mgO2/dm3] | 1.4–8.9/5.4 | 2.7–9.3/5.8 | 2.6–9.4/5.8 | 2.6–10.3/5.9 | 3.0–8.8/5.8 | 3.00–12.30/6.2 |
| CODCr [mgO2/dm3] | 5.7–19.2/12.4 | 6.80–20.8/13.5 | 6.3–20.9/13.4 | 6.7–22.8/13.4 | 6.9–19.8/13.5 | 7.9–27.2/14.3 |
| Chlorophyll a [µg/dm3] | 0.3–214.0/102.5 | 0.2–234.8/172.0 | 0.2–217.0/144.1 | 0.2–145.8/139.0 | 0.4–248.0/158.4 | 0.2–226.7/118.0 |
| Cyanobacteria chl a [µg/dm3] | <0.1–14.1/3.6 | <0.1–21.4/6.7 | <0.01–19.5/6.7 | <0.01–18.9/6.7 | <0.01–17.2/6.1 | <0.01–11.5/4.6 |
| Indices characterizing nutrient conditions | ||||||
| Ammonium [mgN–NH4+/dm3] | <0.01–0.76/0.13 | <0.01–0.87/0.21 | <0.01–0.78/0.22 | <0.01–0.82/0.20 | <0.01–0.69/0.20 | <0.01–1.43/0.30 |
| Nitrates [mgN–NO3−/dm3] | 0.30–4.46/1.95 | <0.01–4.34/1.21 | 0.01–4.57/1.36 | 0.02–4.5/1.36 | <0.01–4.43/1.26 | 0.01–3.67/0.99 |
| Nitrites [mgN–NO2−/dm3] | <0.01–0.17/0.06 | <0.01–0.08/0.04 | <0.01–.47/0.05 | <0.01–0.20/0.06 | <0.01–0.21/0.06 | <0.01–0.19/0.05 |
| Total nitrogen [mgN/dm3] | 1.90–5.86/3.47 | 1.71–5.52/2.70 | 1.45–5.95/2.71 | 1.33–5.93/2.65 | 1.65–5.63/2.65 | 1.59–5.21/2.54 |
| Orthophosphates [mgP–PO43−/dm3] | 0.02–0.49/0.15 | 0.01–0.57/0.11 | 0.01–0.49/0.13 | 0.01–0.51/0.12 | 0.01–0.50/0.10 | 0.01–0.68/0.17 |
| Total phosphorus [mgP/dm3] | 0.21–0.57/0.36 | 0.17–0.67/0.35 | 0.22–0.49/0.13 | 0.16–0.70/0.34 | 0.16–0.30/0.58 | 0.18–0.74/0.32 |
| Indices characterizing salinity | ||||||
| COND [µS/cm] | 460–755/686 | 439–741/551 | 453–764/567 | 416–766/565 | 456–745/559 | 460–768/567 |
| Total Dissolved Solids [mg/dm3] | 364–675/510 | 338–659/466 | 331–677/482 | 341–666/479 | 361–670/480 | 368–678/480 |
| HCO3− [mg/dm3] | 172–378/275 | 156–373/247 | 152–377/256 | 158–366/255 | 175–377/258 | 168–380/258 |
| Chlorides [mgCl−/dm3] | 36.2–40.1/38.0 | 35.6–39.5/37.9 | 35.9–39.7/38.0 | 36.5–39.5/38.0 | 36.4–40.7/38.3 | 36.3–40.7/38.5 |
| Sulphates [mgSO42−/dm3] | 53.7–76.6/62.7 | 54.2–71.6/60.3 | 53.9–76.3/61.4 | 54.2–76.0/61.5 | 53.7–72.7/60.8 | 53.1–77.2/60.7 |
| Sodium [mgNa+/dm3] | 10.9–13.9/12.6 | 10.5–13.7/12.6 | 10.6–13.9/12.5 | 10.9–13.4/12.6 | 10.9–14.2/12.7 | 10.5–13.4/12.4 |
| Potassium [mgK+/dm3] | 4.76–6.74/5.65 | 5.03–7.03/5.94 | 4.99–6.92/5.87 | 4.95–7.28/5.93 | 4.98–7.31/6.04 | 4.57–6.65/5.66 |
| Calcium [mgCa2+/dm3] | 67.5–135.5/99.1 | 62.5–129.3/88.7 | 61.3–136.8/91.5 | 64.6–136.7/91.4 | 65.2–131.6/91.1 | 70.2–136.0/92.0 |
| Magnesium [mgMg2+/dm3] | 6.60–8.24/7.38 | 7.08–8.08/7.50 | 7.15–8.27/7.56 | 7.11–8.33/7.57 | 7.06–8.17/7.58 | 7.05–8.43/7.62 |
| Physico–chemical indices—specific synthetic and non–synthetic pollutant substances | ||||||
| Fluorides [mgF/dm3] | 0.15–0.42/0.28 | 0.12–0.39/0.25 | 0.16–0.41/0.26 | 0.11–0.41/0.25 | 0.17–0.38/0.27 | 0.15–0.36/0.22 |
Disclaimer/Publisher’s Note: The statements, opinions and data contained in all publications are solely those of the individual author(s) and contributor(s) and not of MDPI and/or the editor(s). MDPI and/or the editor(s) disclaim responsibility for any injury to people or property resulting from any ideas, methods, instructions or products referred to in the content. |
© 2024 by the authors. Licensee MDPI, Basel, Switzerland. This article is an open access article distributed under the terms and conditions of the Creative Commons Attribution (CC BY) license (https://creativecommons.org/licenses/by/4.0/).
Share and Cite
Chmiel, S.; Ziółek, M.; Kończak, M.; Pliżga, M.; Zielińska, B.; Maliszewski, G.; Biruk, M.; Duda-Saternus, S. Assessment of the Applicability of Compact Aerating Reactors for the Improvement of Water Quality in a Small Water Body Functioning in an Agricultural Catchment. Sustainability 2024, 16, 5629. https://doi.org/10.3390/su16135629
Chmiel S, Ziółek M, Kończak M, Pliżga M, Zielińska B, Maliszewski G, Biruk M, Duda-Saternus S. Assessment of the Applicability of Compact Aerating Reactors for the Improvement of Water Quality in a Small Water Body Functioning in an Agricultural Catchment. Sustainability. 2024; 16(13):5629. https://doi.org/10.3390/su16135629
Chicago/Turabian StyleChmiel, Stanisław, Marta Ziółek, Magdalena Kończak, Mariusz Pliżga, Beata Zielińska, Grzegorz Maliszewski, Mirosław Biruk, and Sylwia Duda-Saternus. 2024. "Assessment of the Applicability of Compact Aerating Reactors for the Improvement of Water Quality in a Small Water Body Functioning in an Agricultural Catchment" Sustainability 16, no. 13: 5629. https://doi.org/10.3390/su16135629
APA StyleChmiel, S., Ziółek, M., Kończak, M., Pliżga, M., Zielińska, B., Maliszewski, G., Biruk, M., & Duda-Saternus, S. (2024). Assessment of the Applicability of Compact Aerating Reactors for the Improvement of Water Quality in a Small Water Body Functioning in an Agricultural Catchment. Sustainability, 16(13), 5629. https://doi.org/10.3390/su16135629

