Research on Intercity Railway Subsidy Mechanism Optimization from the Perspective of a Government–Company Game Model: A Case Study of Henan Intercity Railway
Abstract
1. Introduction
- (1)
- For the government, intercity railway operation requires long-term investment, but the subsidy efficiency is not good, which is not conducive to the sustainable development of the railway industry;
- (2)
- For railway companies, the passenger transport income is far lower than the railway cost. The ticket revenue can hardly make up for the deficit gap. The balance of payments can only be maintained by government subsidies. At the same time, railways may have problems such as a lack of enthusiasm and the reporting of false information to obtain more subsidies under the loss subsidy strategy.
- (1)
- We propose a performance subsidy model and compare the feasibility to the traditional loss subsidy. In addition, we formulate a performance evaluation method related to passenger flow and pairs of trains which are related to the characteristics of intercity railways, which could arouse the enthusiasm of railway companies.
- (2)
- We also consider the game relationship between the government and the companies. Different from the traditional government’s unilateral subsidies, a dynamic subsidy strategy is proposed, and the influence of social capitals is considered.
2. Literature Review
2.1. Research on the Optimization of the Railway Subsidy Mechanism
2.2. Research on Game and Subsidy Mechanism Optimization
2.3. Summary
3. Materials and Methods
3.1. Problem Description
3.2. Model Assumption
- (1)
- The three participants—governments, railway companies and social capitals—all have bounded rationality and lack the ability to predict. When making decisions, they usually use their reasoning abilities to constantly learn through trial and error according to existing information to maximize the benefits.
- (2)
- Participants in decision-making have two behavioral strategies. The governments have “positive subsidy” and “conventional subsidy”. The railway companies have “positive operation” and “negative operation”. The social capitals have “invest” and “do not invest”. The positive subsidy strategy of the government will have certain expectations of the behavior of railway companies, and is willing to pay a certain cost to supervise the operation of a railway company. The supervision cost is . The conventional subsidy strategy will lead to the reduction of the basic subsidy to the railway company. Positive operation of a railway company can reduce operating loss on the condition that the number of running trains remains the same, and at the same time bring higher positive external railway benefits. Negative operation strategies lead to increased loss from improper operation, and this loss is likely to be included in the consideration of subsidies, and the increase in income is . Social investment can bring a certain return , assuming that the company and social capital are each allocated 50 per cent of the return, with the return being higher when the company is active, at , and vice versa, at ().
- (3)
- The positive external benefit of railways depends on the behavior of railway companies, which affects the income of the government. The positive external benefit of railways under the positive operation of companies is R, and the positive external benefit of railways under the negative operation of companies is ().
- (4)
- The basic subsidy belongs to the category of loss subsidy, which is related to the loss of railway companies. It can be obtained from the difference between the income and cost of railway companies by a certain loss subsidy ratio, and is related to government behavior. The basic subsidy under positive subsidy behavior is S, and the basic subsidy under conventional subsidy behavior is ().
- (5)
- The investment interest of social capitals changes according to government policies. Social capitals will invest more when the government is actively funding the project, and may invest conservatively when it is not. The discount factor is ().
- (6)
- Performance subsidy has two influencing factors: passenger flow and pairs of trains.
- (7)
- Loss of railway companies includes loss during construction and operation, which is affected by company behaviors. Operating loss of positive railway companies is C and operating loss of negative railway companies is .
- (8)
- The subsidy methods considered by the model are loss subsidy and performance subsidy.
3.3. Performance Subsidy
3.4. Model Framework
3.5. Calculation of Expected Payoff
3.6. Expected Payoff of Governments
3.7. Expected Payoff of Railway Companies
3.8. Expected Payoff of Social Capitals
3.9. Conclusion and Simplification
4. Results and Discussion
4.1. Background
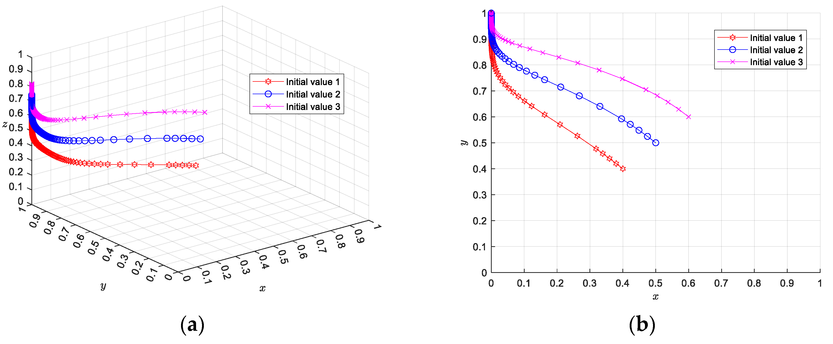
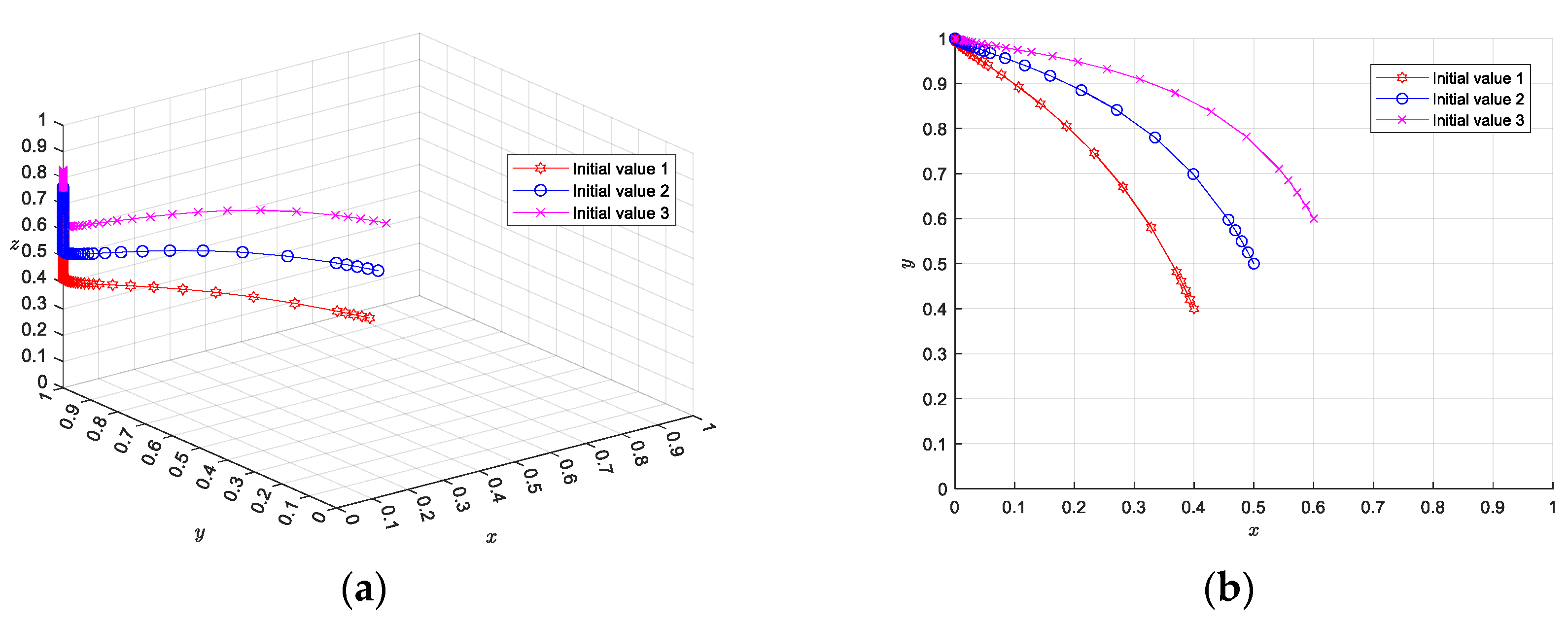
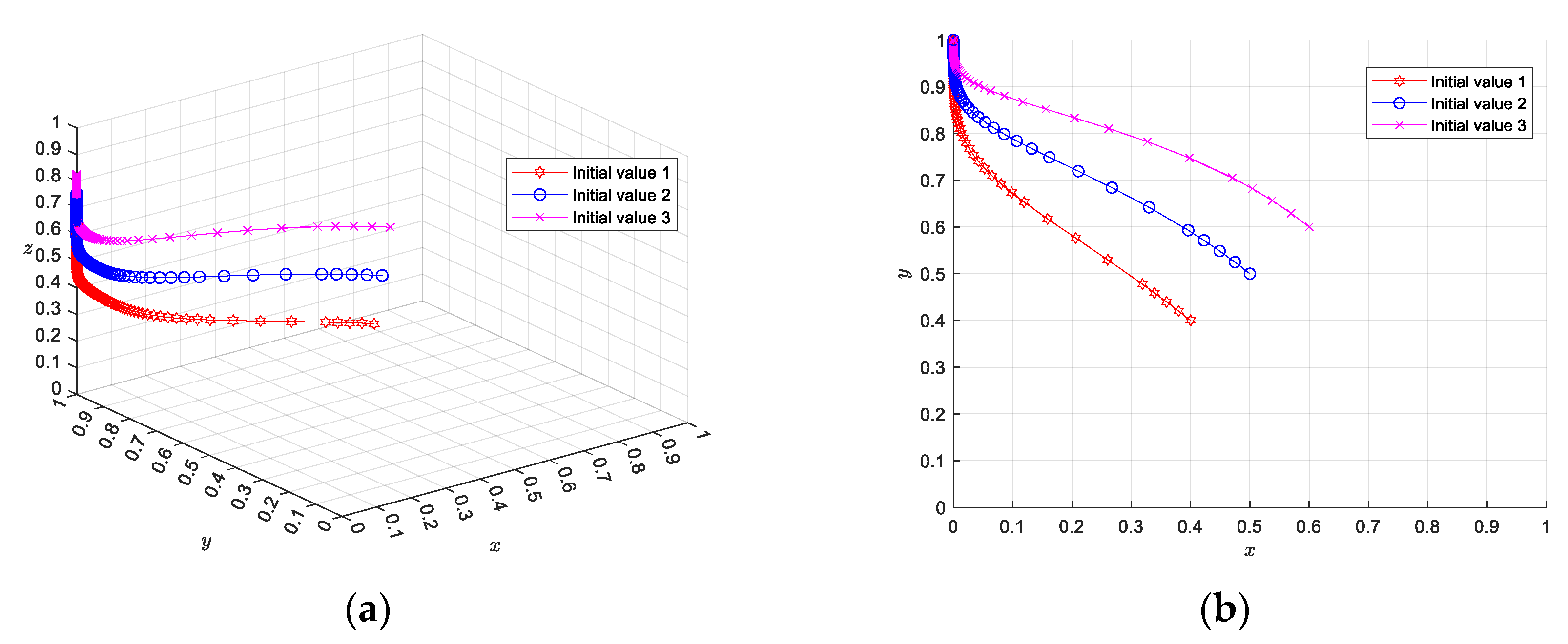
4.2. Simulation Results without Performance Subsidy
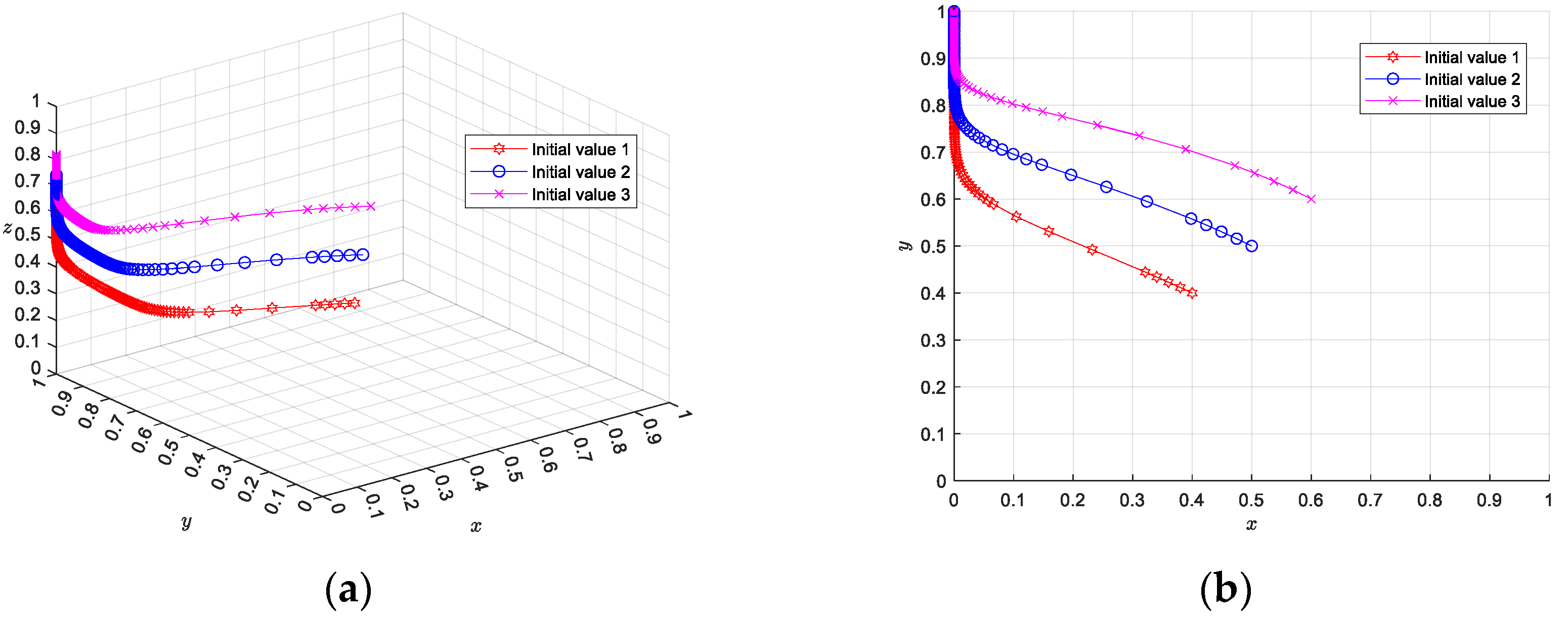
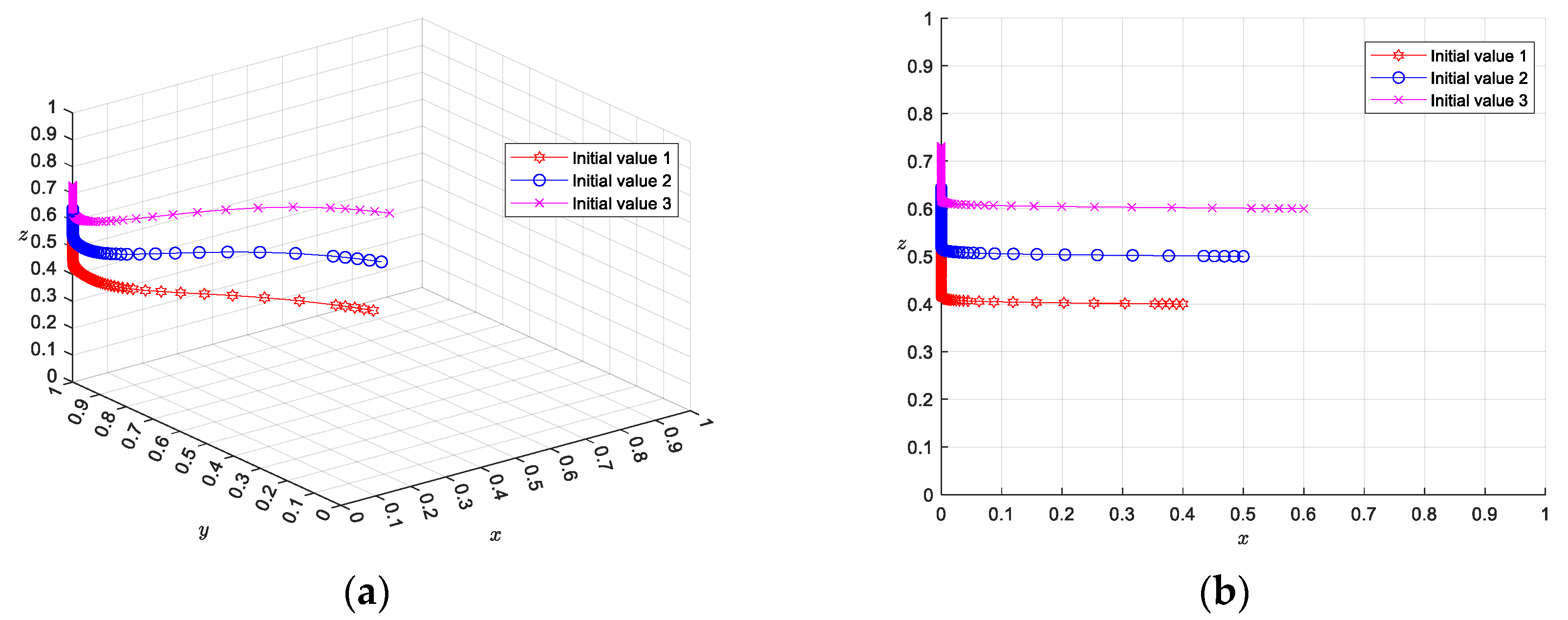
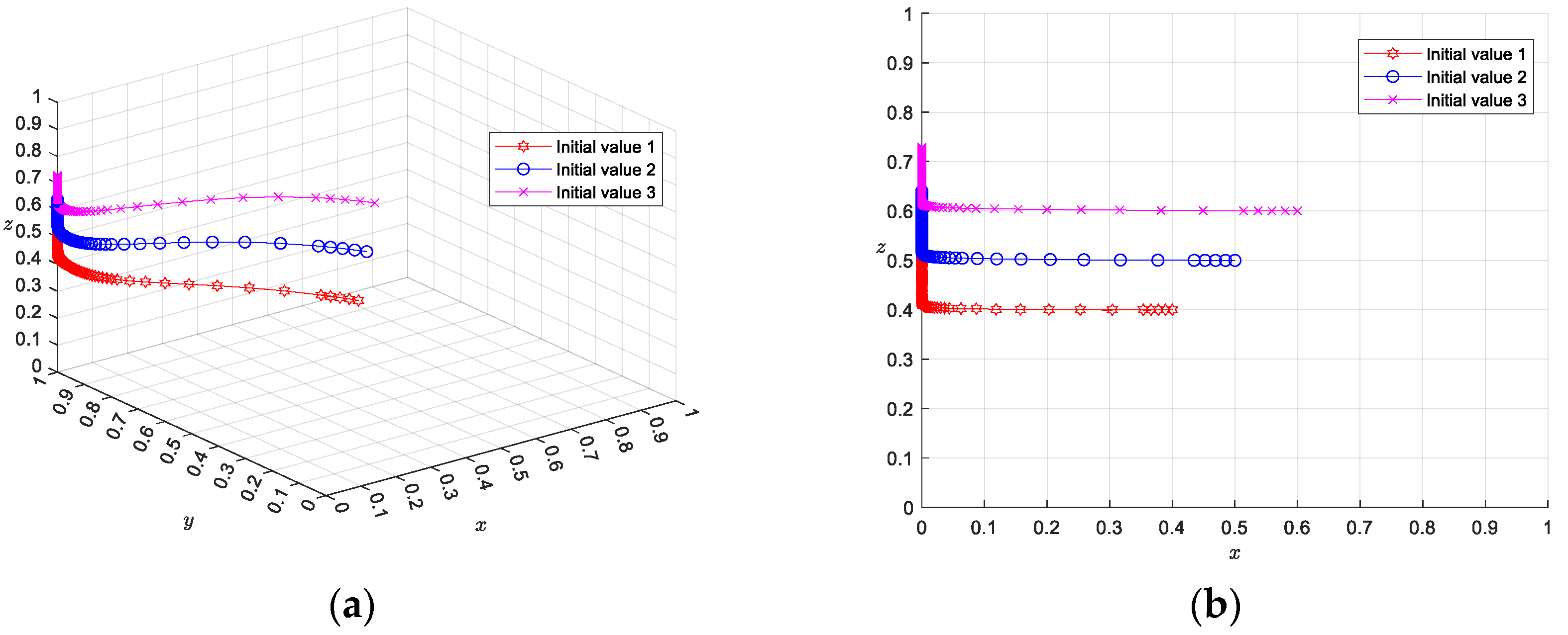
4.3. Simulation Results with Performance Subsidy
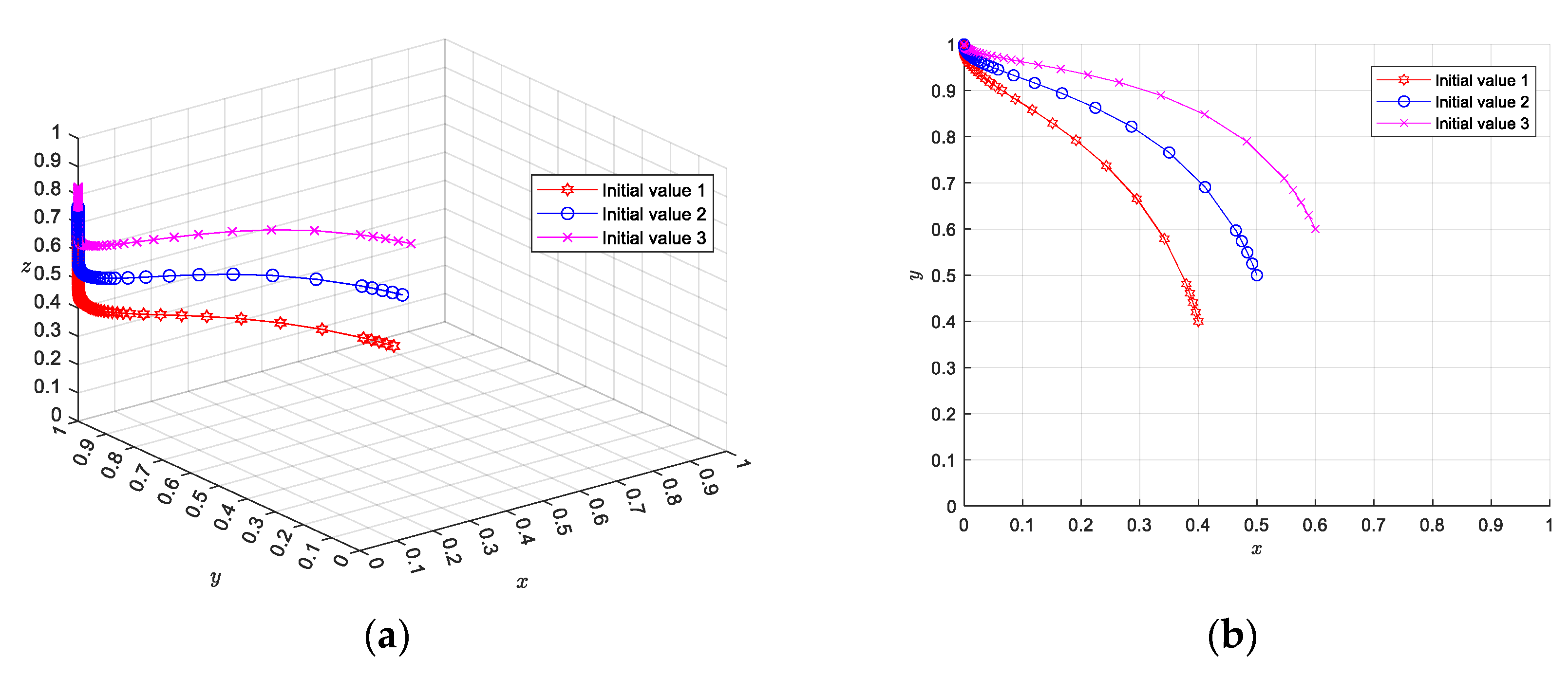
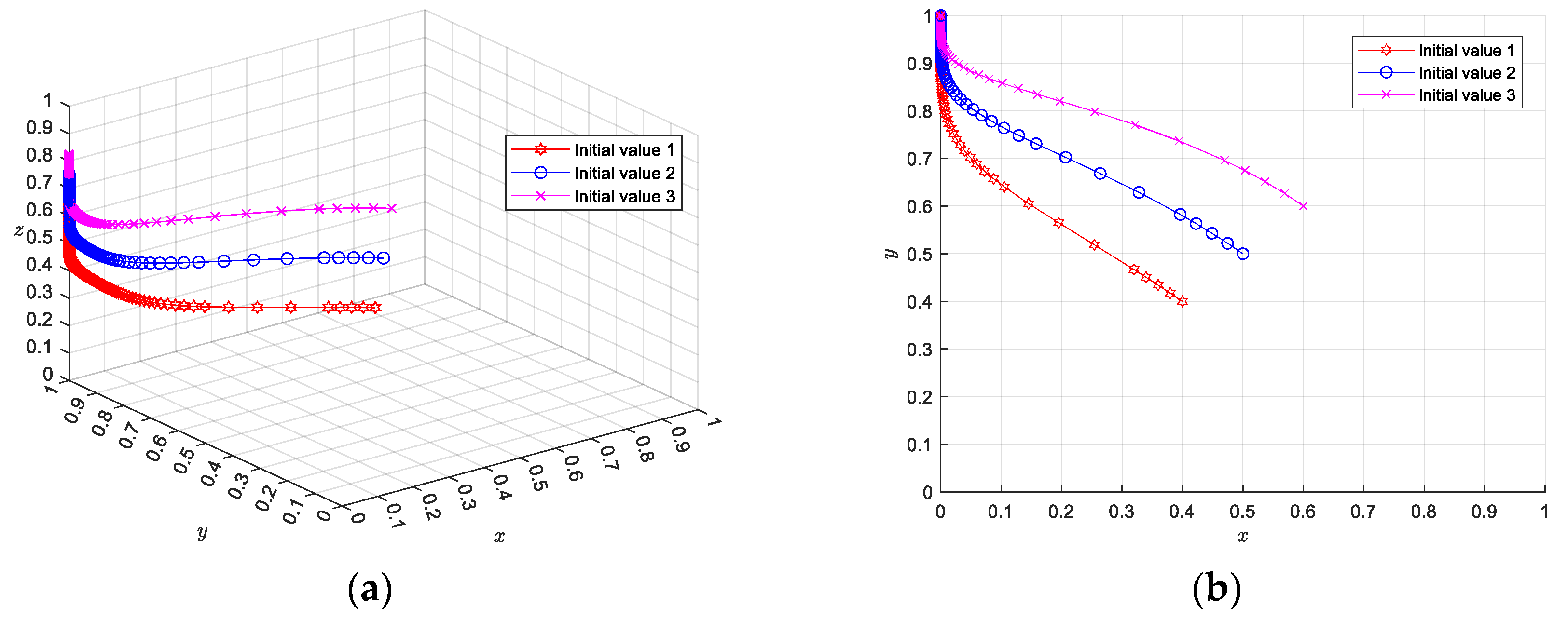
4.4. Sensitivity Analysis and Discussion
- (1)
- The coefficient of influence degree
- (2)
- Difference of passage flow between actual value and government expectation
- (3)
- Difference of pairs of trains between actual value and government expectations
- (4)
- Returns on investment
5. Conclusions and Policy Suggestion
5.1. Conclusions
- (1)
- The performance and loss subsidy models can be combined to introduce a more dynamic subsidy model that maximizes the benefits to subsidy participants according to the actual situation. In the general case presented in the paper, when passenger traffic is at 1.64 million, the number of train pairs is at 27.5 and the annual loss of the company is at RMB 280 million, this new subsidy model still generates an annual revenue of RMB 50 million for the railway company and RMB 4 million for the social capitals. An increase in subsidy can even increase this value.
- (2)
- Varying the size of the parameters of the performance allowance affects the final choice of participants, and choosing other parameters not mentioned may also have a role in assessing performance, depending on the different circumstances of different intercity railways. In the case in this paper, if the coefficients for the influence of passenger flow and the number of train pairs are all chosen to be 0.2, and after discounting they are all chosen to be 0.1, the payoff of companies will be RMB 50 million. If the coefficients are changed to 0.3 and 0.1, the payoff will be stable. If the coefficients are changed to 0.3 and 0.2, the payoff of companies will be 2.21.
5.2. Policy Suggestions
- (1)
- Innovate subsidy approach
- (2)
- Consider performance subsidy indicators from different aspects
Author Contributions
Funding
Institutional Review Board Statement
Informed Consent Statement
Data Availability Statement
Acknowledgments
Conflicts of Interest
References
- Tang, L. Research on Public Welfare Measurement and Subsidy Mechanism of Public Welfare Railway; Southwest Jiaotong University: Chengdu, China, 2021. [Google Scholar]
- Dai, L. Research on Incentive Subsidy Model of Municipal Railway; Southwest Jiaotong University: Chengdu, China, 2021. [Google Scholar]
- Wang, Z.; Li, Y. Analysis on subsidy mechanism of railway public welfare transportation based on mixed strategy game model. J. Chongqing Jiaotong Univ. (Soc. Sci. Ed.) 2022, 22, 42–51. [Google Scholar]
- Thackway, R.; Olsson, K. Public/private partnerships and protected areas: Selected Australian case studies. Landsc. Urban Plan. 1999, 44, 87–97. [Google Scholar] [CrossRef]
- Proost, S.; Dender, K.V. Optimal urban transport pricing in the presence of congestion, economies of density and costly public funds. Transp. Res. Part A 2008, 42, 1220–1230. [Google Scholar] [CrossRef]
- Ou, X. Research on Development Situation and Policies of Urban (Suburban) Railways in China. Railway Transport and Economy. pp. 1–6. Available online: http://kns.cnki.net/kcms/detail/11.1949.U.20230920.1608.008.html (accessed on 16 October 2023).
- Hu, Y.; Wang, J.; Sun, H. Optimization of pricing and subsidies for urban rail transit PPP projects based on satisfaction of main stakeholders. J. Environ. Prot. Ecol. 2018, 19, 435–449. [Google Scholar]
- Harrod, S. Auction pricing of network access for North American railways. Transp. Res. Part E Logist. Transp. Rev. 2013, 49, 176–189. [Google Scholar] [CrossRef]
- Xu, S.X.; Liu, T.L.; Huang, H.J.; Liu, R. Mode choice and railway subsidy in a congested monocentric city with endogenous population distribution. Transp. Res. Part A Policy Pract. 2018, 116, 413–433. [Google Scholar] [CrossRef]
- Tsamboulas, D. Evaluation of rail infrastructure investments related to the new rail regulatory environment in some countries. Transp. Res. Rec. 2014, 2411, 1–9. [Google Scholar] [CrossRef]
- Yang, J.; Luo, M.; Shi, M. Optimal subsidies for rail containers: A bi-level programming solution. Marit. Policy Manag. 2020, 47, 172–187. [Google Scholar] [CrossRef]
- Yuan, J.; Ji, W.; Guo, J.; Skibniewski, M.J. Simulation-based dynamic adjustments of prices and subsidies for transportation PPP projects based on stakeholders’ satisfaction. Transportation 2019, 46, 2309–2345. [Google Scholar] [CrossRef]
- Jiang, Y.; Sheu, J.-B.; Peng, Z.; Yu, B. Hinterland patterns of China Railway (CR) express in China under the Belt and Road Initiative: A preliminary analysis. Transp. Res. Part E Logist. Transp. Rev. 2018, 119, 189–201. [Google Scholar] [CrossRef]
- Teng, J.; Wu, T.; Yang, Y.; Li, H. Analysis and Revelation of Operating Subsidy Method for Regional Expressed Railway. Railw. Transp. Econ. 2022, 44, 29–35. [Google Scholar]
- Ho, S.P. Model for financial renegotiation in public-private partnership projects and its policy implications: Game theoretic view. J. Constr. Eng. Manag. 2006, 132, 678–688. [Google Scholar] [CrossRef]
- Kundu, T.; Sheu, J.-B. Analyzing the effect of government subsidy on shippers’ mode switching behavior in the Belt and Road strategic context. Transp. Res. Part E Logist. Transp. Rev. 2019, 129, 175–202. [Google Scholar] [CrossRef]
- Feng, F.; Zhang, T.; Liu, C.; Fan, L. China Railway Express Subsidy Model Based on Game Theory under “the Belt and Road” Initiative. Sustainability 2020, 12, 2083. [Google Scholar] [CrossRef]
- Liu, Y.; Wang, X.; Guo, S.; Chen, J. Using Bargaining Game Model to Negotiate Government Subsidy for PPP Infrastructure Projects. In Proceedings of the Construction Research Congress 2020, Tempe, AZ, USA, 8–10 March 2020. [Google Scholar]
- Xie, N.; He, H.; Tong, Y. Game Model of Green Financial Supply Chain Based on Government Subsidy Analysis. IEEE Access 2022, 10, 60929–60945. [Google Scholar] [CrossRef]
- Zhang, R.; Li, Z. Stackelberg game model of green tourism supply chain with governmental subsidy. Inf. Syst. Oper. Res. 2023, 61, 141–168. [Google Scholar] [CrossRef]
- Ji, S.; Zhao, D.; Luo, R. Evolutionary game analysis on local governments and manufacturers’ behavioral strategies: Impact of phasing out subsidies for new energy vehicles. Energy 2019, 189, 116064. [Google Scholar] [CrossRef]
- Zhang, L.; Long, R.; Huang, Z.; Li, W.; Wei, J. Evolutionary game analysis on the implementation of subsidy policy for sustainable transportation development. J. Clean. Prod. 2020, 267, 122159. [Google Scholar] [CrossRef]
- Liu, Y.; Cai, D.; Guo, C.; Huang, H. Evolutionary Game of Government Subsidy Strategy for Prefabricated Buildings Based on Prospect Theory. Math. Probl. Eng. 2020, 10, 1–10. [Google Scholar]
- Zheng, S.; Yu, L. The government’s subsidy strategy of carbon-sink fishery based on evolutionary game. Energy 2022, 254 Pt B, 124282. [Google Scholar] [CrossRef]
- Zhang, X.; Wang, L.; Zhao, N.; Dunn, D.W.; Yu, X.; Ye, X. How to promote terrestrial herbivores’ conservation in areas where small-scale agriculturalists set up fences−An analysis based on evolutionary game theory. Glob. Ecol. Conserv. 2023, 43, e02457. [Google Scholar] [CrossRef]
- Koryagin, M. Urban planning: A game theory application for the travel demand management. Period. Polytech. Transp. Eng. 2018, 46, 171–178. [Google Scholar] [CrossRef]
- Stoilova, S. Application of game theory in planning passenger rail and road transport on parallel routes. Engineering for Rural Development. In Proceedings of the International Scientific Conference (Latvia), Jelgava, Latvia, 20–22 May 2020. [Google Scholar]
- Ahmad, F.; Almarri, O.; Shah, Z.; Al-Fagih, L. Game theory applications in traffic management: A review of authority-based travel modelling. Travel Behav. Soc. 2023, 32, 100585. [Google Scholar] [CrossRef]
- Ahmad, F.; Al-Fagih, L. Game Theory Applications in Micro and Macroscopic Simulation in Transportation Network: A Comprehensive Review. IEEE Access 2023, 11, 93635–93663. [Google Scholar] [CrossRef]
- Kotsi, A.; Politis, I.; Mitsakis, E. The Impacts of Centralized Control on Mixed Traffic Network Performance: A Strategic Games Analysis. Sustainability 2024, 16, 6343. [Google Scholar] [CrossRef]













| Author | Methods | Using No-Subsidy for Comparison | References of Subsidy | 
|---|---|---|---|
| Hu et al., 2018. [7] | Multi-objective programming model | No | - 1 | 
| Harrod S., 2013 [8] | Schedule optimization model | Yes | Loss | 
| Xu et al., 2018 [9] | Spatial equilibrium model | Yes | Ticket price | 
| Tsamboulas D., 2014 [10] | Comprehensive evaluation method | Yes | - | 
| Yang et al., 2020 [11] | Double-layer programming model | Yes | Loss, Environment | 
| Yuan et al., 2019 [12] | System dynamics model | No | Loss, Satisfaction | 
| Jiang et al., 2018 [13] | Binary Logit model | Yes | Loss | 
| Author | Methods | Using No-Subsidy for Comparison | References of Subsidy | 
|---|---|---|---|
| Kundu et al., 2019 [7] | Non-cooperative game | Yes | Environment | 
| Feng et al., 2020 [17] | Non-cooperative game | No | - 1 | 
| Stoilova, 2020 [27] | Non-cooperative game | No | Profit, Passenger traffic | 
| Xie et al., 2022 [19] | Stackelberg game | No | - | 
| Zhang et al., 2023 [20] | Stackelberg game | Yes | Environment | 
| Ji et al., 2019 [21] | Evolutionary game | Yes | Loss | 
| Zhang et al., 2020 [22] | Evolutionary game | No | Loss | 
| Main Parameter | Meaning | 
|---|---|
| Performance subsidy | |
| Positive external benefits of positive railway | |
| Positive external benefits of negative railway | |
| Basic subsidy under positive subsidy behavior | |
| Basic subsidy under conventional subsidy behavior | |
| Operating loss of positive railway companies | |
| Operating loss of negative railway companies | |
| Social capitals’ investment | |
| Return on investment for positively operated projects | |
| Return on investment for negatively operated projects | |
| Investment income discount factor | |
| Supervision cost | |
| Income increase under negative operation of railway companies | |
| Difference of passage flow between actual value and government expectation | |
| Difference of pairs of trains between actual value and government expectation | 
| Railway Companies | |||
|---|---|---|---|
| Positive Operation (y) | Negative Operation (1 − y) | ||
| Governments | |||
| Railway Companies | |||
| Positive Operation (y) | Negative Operation (1 − y) | ||
| Governments | 0 | ||
| Disclaimer/Publisher’s Note: The statements, opinions and data contained in all publications are solely those of the individual author(s) and contributor(s) and not of MDPI and/or the editor(s). MDPI and/or the editor(s) disclaim responsibility for any injury to people or property resulting from any ideas, methods, instructions or products referred to in the content. | 
© 2024 by the authors. Licensee MDPI, Basel, Switzerland. This article is an open access article distributed under the terms and conditions of the Creative Commons Attribution (CC BY) license (https://creativecommons.org/licenses/by/4.0/).
Share and Cite
Yue, G.; Zhao, Z.; Dai, L.; Hu, H. Research on Intercity Railway Subsidy Mechanism Optimization from the Perspective of a Government–Company Game Model: A Case Study of Henan Intercity Railway. Sustainability 2024, 16, 7631. https://doi.org/10.3390/su16177631
Yue G, Zhao Z, Dai L, Hu H. Research on Intercity Railway Subsidy Mechanism Optimization from the Perspective of a Government–Company Game Model: A Case Study of Henan Intercity Railway. Sustainability. 2024; 16(17):7631. https://doi.org/10.3390/su16177631
Chicago/Turabian StyleYue, Guoyong, Zijian Zhao, Lei Dai, and Hao Hu. 2024. "Research on Intercity Railway Subsidy Mechanism Optimization from the Perspective of a Government–Company Game Model: A Case Study of Henan Intercity Railway" Sustainability 16, no. 17: 7631. https://doi.org/10.3390/su16177631
APA StyleYue, G., Zhao, Z., Dai, L., & Hu, H. (2024). Research on Intercity Railway Subsidy Mechanism Optimization from the Perspective of a Government–Company Game Model: A Case Study of Henan Intercity Railway. Sustainability, 16(17), 7631. https://doi.org/10.3390/su16177631
 
        



 
       