The Impact of ESG Rating Events on Corporate Green Technology Innovation under Sustainable Development: Perspectives Based on Informal Environmental Regulation of Social Systems
Abstract
1. Introduction
2. Literature Review
2.1. Research on the ESG Rating
2.2. Research on the Corporate GTI
3. Theoretical Analysis and Research Hypothesis
3.1. ESG Ratings and GTI
3.2. ESG Ratings, Financing Constraints, and GTI
3.3. ESG Ratings, Corporate Internal Control, and GTI
3.4. ESG Ratings, R&D Investment, and GTI
4. Research Design
4.1. Data Source and Sample Processing
- Companies in the finance and real estate sectors are not included. Financial and real estate companies operate under unique regulatory environments and have distinct accounting practices that differ significantly from other industries. Including these sectors could potentially introduce bias into the analysis due to their specific capital structures and valuation methods, which are not directly comparable to companies in other sectors [69,70].
- Companies listed on PT, ST, and *ST are not included. PT (Particular Transfer), ST (Special Treatment), and *ST (Special Treatment with risk of delisting) designations indicate companies facing severe financial difficulties or regulatory issues. Including these firms could introduce extreme outliers and distort the overall picture of normal business operations, potentially leading to biased results [71].
- Listed companies with significant gaps in patent data and economic data are excluded. Companies with incomplete data could lead to inaccurate analyses and unreliable conclusions. Gaps in patent data may indicate inconsistent innovation activities or reporting issues, while missing economic data could suggest unstable financial reporting. By focusing on companies with complete datasets, we ensure a more robust and consistent analysis [72,73].
4.2. Variable Selection
4.2.1. Dependent Variable
4.2.2. Independent Variable
4.2.3. Control Variables
- Firm size (Size). Larger firms typically have more resources to invest in R&D activities. Firm size is generally associated with a positive relationship to green technology innovation capability, as larger firms may have stronger financial resources and more comprehensive R&D facilities [79].
- Gearing ratio (Lev). The gearing ratio may have complex effects on green technology innovation. Moderate debt levels might incentivize innovation, but excessive debt could inhibit it. The relationship might be non-linear, possibly exhibiting an inverted U-shape [80].
- Net profit margin on total assets (ROA). Firms with stronger profitability typically have more resources for innovation. ROA is often positively associated with green technology innovation, as high-ROA firms may have more capacity to engage in R&D investment.
- Firm age (FirmAge). Firm age may have a dual impact on green technology innovation. Older firms may have accumulated more experience, but may also be affected by organizational inertia. The relationship between firm age and green technology innovation is often uncertain and context dependent [81].
- Tobin’s Q value (TobinQ). A high Tobin’s Q typically indicates market optimism about a firm’s future growth potential. Tobin’s Q is often positively associated with green technology innovation, as it may reflect a firm’s innovation potential and market recognition [82].
- Insolvency (tot_liability). Higher debt levels may limit a firm’s innovation input. Total liabilities are often negatively associated with green technology innovation, as high debt may reduce resources available for innovation.
- Whether it is audited by a Big 4 accounting firm (Big 4). High-quality audits may increase the reliability of firm information, influencing investors’ assessment of innovation activities. Being audited by a Big 4 firm is often positively associated with green technology innovation [83].
- Percentage of Shares Held by the Firm’s Management (Mshare). Higher management shareholding may promote long-term investment decisions. Management shareholding is often positively associated with green technology innovation, as it may incentivize focus on long-term sustainable development.
- Percentage of shares held by institutional investors (INST). Institutional investors are often considered more concerned with long-term value creation, including environmental sustainability. Institutional ownership is frequently positively associated with green technology innovation [84].
- Percentage of fixed assets (FIXED). The fixed asset ratio reflects a firm’s asset structure, which may influence its innovation capability. The relationship between the fixed asset ratio and green technology innovation is often uncertain and requires empirical testing in specific contexts.
4.3. Modelling Design
5. Results of Empirical Analyses
5.1. Descriptive Statistical Analysis
5.2. Correlation Analysis
5.3. Benchmark Regression Results
5.4. Robustness Check
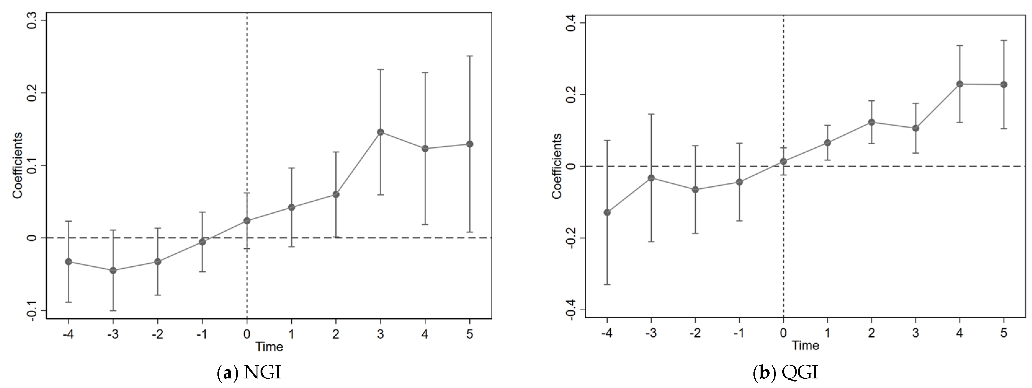
5.4.1. Parallel Trends Test
5.4.2. Placebo Testing
5.4.3. Counterfactual Testing: Advancing the Timing of Policy Implementation
5.4.4. PSM-DID
5.5. Heterogeneity Analysis
5.5.1. Heterogeneity Test Results Based on Property Rights
5.5.2. Heterogeneity Test Results Based on Property Area
6. Mechanical Testing
6.1. ESG Ratings and Financing Constraints
6.2. ESG Ratings and Corporate Internal Control
6.3. ESG Ratings and R&D Investment
7. Conclusions and Enlightenments
7.1. Conclusions and Replication
7.2. Enlightenments
7.3. Limitations and Future Prospects
Author Contributions
Funding
Institutional Review Board Statement
Informed Consent Statement
Data Availability Statement
Conflicts of Interest
References
- Guo, L.; Hu, C.; Fan, M.; Mao, J.; Tian, M.; Wang, Z.; Wei, Y. Does Informal Environmental REGULATION matter? Evidence on the Different Impacts of Communities and ENGOs on Heavy-Polluting Firms’ Green Technology Innovation. J. Environ. Plan. Manag. 2023, 67, 2668–2694. [Google Scholar] [CrossRef]
- Bai, L.; Wang, J.; Ma, X.; Lu, H. Air Pollution Forecasts: An Overview. Int. J. Environ. Res. Public Health 2018, 15, 780. [Google Scholar] [CrossRef] [PubMed]
- Wu, C.; Maurer, C.; Wang, Y.; Xue, S.; Davis, D.L. Water Pollution and Human Health in China. Environ. Health Perspect. 1999, 107, 251–256. [Google Scholar] [CrossRef] [PubMed]
- Xie, R.; Wei, D.; Han, F.; Lu, Y.; Fang, J.; Liu, Y.; Wang, J. The effect of traffic density on smog pollution: Evidence from Chinese cities. Technol. Forecast. Soc. 2019, 144, 421–427. [Google Scholar] [CrossRef]
- Tian, H.; Gao, J.; Hao, J.; Lu, L.; Zhu, C.; Qiu, P. Atmospheric Pollution Problems and Control Proposals Associated with Solid Waste Management in China: A review. J. Hazard. Mater. 2013, 252–253, 142–154. [Google Scholar] [CrossRef]
- Wang, X.; Wang, L. State-Enterprise Relation, Local Economic Priority, and Corporate Environmental Responsibility. Appl. Econ. 2019, 51, 995–1009. [Google Scholar] [CrossRef]
- Wang, Q.; Qu, J.; Wang, B.; Wang, P.; Yang, T. Green Technology Innovation Development in China in 1990–2015. Sci. Total Environ. 2019, 696, 134008. [Google Scholar] [CrossRef]
- Ganda, F. The impact of innovation and technology investments on carbon emissions in selected organisation for economic Co-operation and development countries. J. Clean. Prod. 2019, 217, 469–483. [Google Scholar] [CrossRef]
- D’Attoma, I.; Ieva, M. Determinants of Technological Innovation Success and Failure: Does Marketing Innovation Matter? Ind. Market. Manag. 2020, 91, 64–81. [Google Scholar] [CrossRef]
- Hu, J.; Hu, M.; Zhang, H. Has the Construction of Ecological Civilization Promoted Green Technology Innovation? Environ. Technol. Innov. 2023, 29, 102960. [Google Scholar] [CrossRef]
- Blackman, A.; Li, Z.; Liu, A.A. Efficacy of Command-and-Control and Market-Based Environmental Regulation in Developing Countries. Annu. Rev. Resour. Econ. 2018, 10, 381–404. [Google Scholar] [CrossRef]
- Cheng, Z.; Li, L.; Liu, J. The Emissions Reduction Effect and Technical Progress Effect of Environmental Regulation Policy Tools. J. Clean. Prod. 2017, 149, 191–205. [Google Scholar] [CrossRef]
- Cai, H.; Chen, Y.; Gong, Q. Polluting Thy Neighbor: Unintended Consequences of China’s Pollution Reduction Mandates. J. Environ. Econ. Manag. 2016, 76, 86–104. [Google Scholar] [CrossRef]
- Tietenberg, T. Disclosure strategies for pollution control. Environ. Resour. Econ. 1998, 11, 587–602. [Google Scholar] [CrossRef]
- Biswas, A.K.; Farzanegan, M.R.; Thum, M. Pollution, Shadow Economy and Corruption: Theory and Evidence. Ecolog. Econ. 2012, 75, 114–125. [Google Scholar] [CrossRef]
- Cheng, X.; Wu, F.; Long, R.; Li, W. Uncovering the Effects of Learning Capacity and Social Interaction on the Experienced Utility of Low-Carbon Lifestyle Guiding Policies. Energy Policy 2021, 154, 112307. [Google Scholar] [CrossRef]
- Yuan, H. Investigating the Nexus Between Environmental Information Disclosure and Green Development Efficiency: The Intermediary Role of Green Technology Innovation—A PSM-DID Analysis. J. Knowl. Econ. 2023, 1–31. [Google Scholar] [CrossRef]
- Zhang, Y.; Wang, J.; Xue, Y.; Yang, J. Impact of Environmental Regulations on Green Technological Innovative Behavior: An Empirical Study in China. J. Clean. Prod. 2018, 188, 763–773. [Google Scholar] [CrossRef]
- Zheng, S.Q.; Wan, G.H.; Sun, W.Z.; Luo, D.L. Public appeal and urban environmental governance. Manag. World 2013, 6, 72–84. [Google Scholar]
- Gao, D.; Wong, C.W.Y.; Lai, K. Development of Ecosystem for Corporate Green Innovation: Resource Dependency Theory Perspective. Sustainability 2023, 15, 5450. [Google Scholar] [CrossRef]
- Zheng, W. A Social Capital Perspective of Innovation from Individuals to Nations: Where Is Empirical Literature Directing Us? Int. J. Manag. Rev. 2010, 12, 151–183. [Google Scholar] [CrossRef]
- Alguezaui, S.; Filieri, R. Investigating the Role of Social Capital in Innovation: Sparse Versus Dense Network. J. Knowl. Manag. 2010, 14, 891–909. [Google Scholar] [CrossRef]
- Feng, S.; Chong, Y.; Yu, H.; Ye, X.; Li, G. Digital Financial Development and Ecological Footprint: Evidence from Green-Biased Technology Innovation and Environmental Inclusion. J. Clean. Prod. 2022, 380, 135069. [Google Scholar] [CrossRef]
- Hale, T.N. Transparency, Accountability, and Global Governance. Glob. Gov. A Rev. Multilater. Int. Organ. 2008, 14, 73–94. [Google Scholar] [CrossRef]
- Friede, G.; Busch, T.; Bassen, A. ESG and Financial Performance: Aggregated Evidence from More than 2000 Empirical Studies. J. Sustain. Financ. Investig. 2015, 5, 210–233. [Google Scholar] [CrossRef]
- Shanaev, S.; Ghimire, B. When ESG Meets AAA: The Effect of ESG Rating Changes on Stock Returns. Financ. Res. Lett. 2022, 46, 102302. [Google Scholar] [CrossRef]
- Oprean-Stan, C.; Oncioiu, I.; Iuga, I.C.; Stan, S. Impact of Sustainability Reporting and Inadequate Management of ESG Factors on Corporate Performance and Sustainable Growth. Sustainability 2020, 12, 8536. [Google Scholar] [CrossRef]
- He, F.; Ding, C.; Yue, W.; Liu, G. ESG Performance and Corporate Risk-Taking: Evidence from China. Int. Rev. Financ. Anal. 2023, 87, 102550. [Google Scholar] [CrossRef]
- Reber, B.; Gold, A.; Gold, S. ESG Disclosure and Idiosyncratic Risk in Initial Public Offerings. J. Bus. Ethic 2022, 179, 867–886. [Google Scholar] [CrossRef]
- Fu, C.; Yu, C.; Guo, M.; Zhang, L. ESG Rating and Financial Risk of Mining Industry Companies. Resour. Pol. 2024, 88, 104308. [Google Scholar] [CrossRef]
- van Duuren, E.; Plantinga, A.; Scholtens, B. ESG Integration and the Investment Management Process: Fundamental Investing Reinvented. J. Bus. Ethic 2016, 138, 525–533. [Google Scholar] [CrossRef]
- Kao, F.C. How Do ESG Activities Affect Corporate Performance? Manag. Decis. Econ. 2023, 44, 4099–4116. [Google Scholar] [CrossRef]
- Li, J.; Xu, X. Can ESG Rating Reduce Corporate Carbon Emissions?–An Empirical Study from Chinese Listed Companies. J. Clean. Prod. 2024, 434, 140226. [Google Scholar] [CrossRef]
- Nguyen, V.H.; Agbola, F.W.; Choi, B. Does Corporate Social Responsibility Reduce Information Asymmetry? Empirical Evidence from Australia. Aust. J. Manag. 2019, 44, 188–211. [Google Scholar] [CrossRef]
- Cui, J.; Jo, H.; Na, H. Does corporate social responsibility reduce information asymmetry. J. Bank. Financ. 2012, 5206, 1–43. [Google Scholar]
- Guo, Y.; Xia, X.; Zhang, S.; Zhang, D. Environmental Regulation, Government R&D Funding and Green Technology Innovation: Evidence from China Provincial Data. Sustainability 2018, 10, 940. [Google Scholar] [CrossRef]
- Du, K.; Cheng, Y.; Yao, X. Environmental Regulation, Green Technology Innovation, and Industrial Structure Upgrading: The Road to the Green Transformation of Chinese Cities. Energy Econ. 2021, 98, 105247. [Google Scholar] [CrossRef]
- Zhang, J.; Ouyang, Y.; Ballesteros-Pérez, P.; Li, H.; Philbin, S.P.; Li, Z.; Skitmore, M. Understanding the Impact of Environmental Regulations on Green Technology Innovation Efficiency in the Construction Industry. Sustain. Cities Soc. 2021, 65, 102647. [Google Scholar] [CrossRef]
- Zhang, W.; Li, G. Environmental Decentralization, Environmental Protection Investment, and Green Technology Innovation. Environ. Sci. Pollut. Res. 2022, 29, 12740–12755. [Google Scholar] [CrossRef]
- Shen, F.; Liu, B.; Luo, F.; Wu, C.; Chen, H.; Wei, W. The Effect of Economic Growth Target Constraints on Green Technology Innovation. J. Environ. Manag. 2021, 292, 112765. [Google Scholar] [CrossRef]
- Lee, C.-C.; Qin, S.; Li, Y. Does Industrial Robot Application Promote Green Technology Innovation in the Manufacturing Industry? Technol. Forecast. Soc. 2022, 183, 121893. [Google Scholar] [CrossRef]
- Sahoo, S.; Kumar, A.; Upadhyay, A. How Do Green Knowledge Management and Green Technology Innovation Impact Corporate Environmental Performance? Understanding the Role of Green Knowledge Acquisition. Bus. Strategy Environ. 2023, 32, 551–569. [Google Scholar] [CrossRef]
- Lv, C.; Shao, C.; Lee, C.-C. Green Technology Innovation and Financial Development: Do Environmental Regulation and Innovation Output Matter? Energy Econ. 2021, 98, 105237. [Google Scholar] [CrossRef]
- Li, G.; Xue, Q.; Qin, J. Environmental Information Disclosure and Green Technology Innovation: EMPIRICAL Evidence from China. Technol. Forecast. Soc. 2022, 176, 121453. [Google Scholar] [CrossRef]
- Li, Z.; Huang, Z.; Su, Y. New Media Environment, Environmental Regulation and Corporate Green Technology Innovation: Evidence from China. Energy Econ. 2023, 119, 106545. [Google Scholar] [CrossRef]
- Suchman, M.C. Managing Legitimacy: Strategic and Institutional Approaches. Acad. Manag. Rev. 1995, 20, 571. [Google Scholar] [CrossRef]
- Deegan, C.M. Legitimacy Theory. AAAJ 2019, 32, 2307–2329, ahead-of-print. [Google Scholar] [CrossRef]
- O’Donovan, G. Environmental Disclosures in the Annual Report. Account. Audit. Account. J. 2002, 15, 344–371. [Google Scholar] [CrossRef]
- Tajfel, H. An Integrative Theory of Intergroup Conflict. In The Social Psychology of Intergroup Relations; Brooks/Cole: Monterey, CA, USA, 1979. [Google Scholar]
- Hogg, M.A.; Reid, S.A. Social Identity, Self-Categorization, and the Communication of Group Norms. Commun. Theory 2006, 16, 7–30. [Google Scholar] [CrossRef]
- Al Amosh, H. From Home to Boardroom: MARITAL Status and its Influence on ESG Disclosure. Bus. Strat. Dev. 2024, 7, e402. [Google Scholar] [CrossRef]
- Song, W.; Yu, H. Green Innovation Strategy and Green Innovation: The Roles of Green Creativity and Green Organizational Identity. Corp. Soc. Responsib. Environ. 2018, 25, 135–150. [Google Scholar] [CrossRef]
- Liu, X. Substantial Innovation or Strategic Innovation: The Influence of ESG Performance on Corporate Innovation Strategy. In Proceedings of the SHS Web of Conferences; EDP Sciences: Les Ulis, France, 2023; Volume 169, p. 01063. [Google Scholar]
- Nie, L.; Gong, H.; Lai, X. Green Research Intensity and Diversified Performance: The Moderating Role of Environmental Regulation. EJIM 2024, 27, 447–473. [Google Scholar] [CrossRef]
- Florea, L.; Cheung, Y.H.; Herndon, N.C. For All Good Reasons: Role of Values in Organizational Sustainability. J. Bus. Ethic 2013, 114, 393–408. [Google Scholar] [CrossRef]
- Zhang, Y. From Courts to Markets: On the Effect of Judicial Efficiency on Financial Markets Development. Appl. Econ. Lett. 2024, 1–5. [Google Scholar] [CrossRef]
- Ko, K.-C.; Nie, J.; Ran, R.; Gu, Y. Corporate Social Responsibility, Social Identity, and Innovation Performance in China. Pac. Basin Financ. J. 2020, 63, 101415. [Google Scholar] [CrossRef]
- Guariglia, A.; Liu, P. To What Extent Do Financing Constraints Affect Chinese Firms’ Innovation Activities? Int. Rev. Financ. Anal. 2014, 36, 223–240. [Google Scholar] [CrossRef]
- Junior, R.M.; Best, P.J.; Cotter, J. Sustainability Reporting and Assurance: A Historical Analysis on a World-Wide Phenomenon. J. Bus. Ethics 2014, 120, 1–11. [Google Scholar] [CrossRef]
- Diouf, D.; Boiral, O. The Quality of Sustainability Reports and IMPRESSION management. AAAJ 2017, 30, 643–667. [Google Scholar] [CrossRef]
- The ESG Mirage-Bloomberg. Available online: https://www.bloomberg.com/news/audio/2021-12-10/the-esg-mirage-podcast (accessed on 14 August 2024).
- Delgado-Ceballos, J.; Ortiz-De-Mandojana, N.; Antolín-López, R.; Montiel, I. Connecting the Sustainable Development Goals to Firm-Level Sustainability and ESG Factors: The Need for Double Materiality. BRQ Bus. Res. Q. 2023, 26, 2–10. [Google Scholar] [CrossRef]
- Madison, N.; Schiehll, E. The Effect of Financial Materiality on ESG Performance Assessment. Sustainability 2021, 13, 3652. [Google Scholar] [CrossRef]
- Lockett, A.; Thompson, S.; Morgenstern, U. The Development of the Resource-Based View of the Firm: A Critical Appraisal. Int. J. Manag. Rev. 2009, 11, 9–28. [Google Scholar] [CrossRef]
- Schaltegger, S.; Hörisch, J.; Freeman, R.E. Business Cases for Sustainability: A Stakeholder Theory Perspective. Organ. Environ. 2019, 32, 191–212. [Google Scholar] [CrossRef]
- Maijoor, S. The Internal Control Explosion. Int. J. Audit. 2000, 4, 101–109. [Google Scholar] [CrossRef]
- Jones, C.I.; Williams, J.C. Measuring the Social Return to R&D. Quart. J. Econ. 1998, 113, 1119–1135. [Google Scholar] [CrossRef]
- Lee, K.-H.; Min, B. Green R&D for Eco-Innovation and its Impact on Carbon Emissions and Firm Performance. J. Clean. Prod. 2015, 108, 534–542. [Google Scholar] [CrossRef]
- FAMA, E.F.; FRENCH, K.R. The Cross-Section of Expected Stock Returns. J. Financ. 1992, 47, 427–465. [Google Scholar] [CrossRef]
- Demirgüç-Kunt, A.; Huizinga, H. Bank Activity and Funding Strategies: The Impact on Risk and Returns. J. Financ. Econ. 2010, 98, 626–650. [Google Scholar] [CrossRef]
- Jiang, G.; Wang, H. Should Earnings Thresholds Be Used as Delisting Criteria in Stock Market? J. Account. Public Policy 2008, 27, 409–419. [Google Scholar] [CrossRef]
- Hall, B.H. Market Value and Patent Citations: A First Look 2000. RAND J. Econ. 2005, 36, 16–38. [Google Scholar]
- Koh, P.-S.; Reeb, D.M. Missing R&D. J. Account. Econ. 2015, 60, 73–94. [Google Scholar] [CrossRef]
- Jiang, L.; Bai, Y.; Jiang, L.; Bai, Y. Strategic or substantive innovation? -The Impact of Institutional Investors’ Site Visits on Green Innovation Evidence from China. Technol. Soc. 2022, 68, 101904. [Google Scholar] [CrossRef]
- Delmas, M.A.; Burbano, V.C. The Drivers of Greenwashing. Calif. Manag. Rev. 2011, 54, 64–87. [Google Scholar] [CrossRef]
- Gatti, L.; Pizzetti, M.; Seele, P. Green Lies and Their Effect on Intention to Invest. J. Bus. Res. 2021, 127, 228–240. [Google Scholar] [CrossRef]
- Wang, J.; Ma, M.; Dong, T.; Zhang, Z. Do ESG Ratings Promote Corporate Green Innovation? A Quasi-Natural Experiment Based on SynTao Green Finance’s ESG Ratings. Int. Rev. Financ. Anal. 2023, 87, 102623. [Google Scholar] [CrossRef]
- Tan, Y.; Zhu, Z.; Tan, Y.; Zhu, Z. The Effect of ESG Rating Events on Corporate Green Innovation in China: The Mediating Role of Financial Constraints and Managers’ Environmental Awareness. Technol. Soc. 2022, 68, 101906. [Google Scholar] [CrossRef]
- Cohen, W.M.; Klepper, S. Firm Size and the Nature of Innovation within Industries: The Case of Process and Product R&D. Rev. Econ. Stat. 1996, 78, 232. [Google Scholar] [CrossRef]
- Chen, Y.; Zhang, J. The Interdependence of Debt and Innovation Sustainability: Evidence from the Onset of Credit Default Swaps. Sustainability 2019, 11, 2946. [Google Scholar] [CrossRef]
- Hansen, J.A. Innovation, Firm Size, and Firm Age. Small Bus. Econ. 1992, 4, 37–44. [Google Scholar] [CrossRef]
- Rubera, G.; Droge, C. Technology versus Design Innovation’s Effects on Sales and Tobin’s Q: The Moderating Role of Branding Strategy. J. Prod. Innov. Manag. 2013, 30, 448–464. [Google Scholar] [CrossRef]
- Eshleman, J.D.; Guo, P. Do Big 4 Auditors Provide Higher Audit Quality after Controlling for the Endogenous Choice of Auditor? Audit. A J. Pract. Theory 2014, 33, 197–219. [Google Scholar] [CrossRef]
- Zhao, J.; Qu, J.; Wei, J.; Yin, H.; Xi, X. The Effects of Institutional Investors on Firms’ GREEN innovation. J. Prod. Innov. Manag. 2023, 40, 195–230. [Google Scholar] [CrossRef]
- Berg, F.; Kölbel, J.F.; Rigobon, R. Aggregate Confusion: The Divergence of ESG Ratings. Rev. Financ. 2022, 26, 1315–1344. [Google Scholar] [CrossRef]
- Avramov, D.; Cheng, S.; Lioui, A.; Tarelli, A.; Avramov, D.; Cheng, S.; Lioui, A.; Tarelli, A. Sustainable investing with ESG rating uncertainty. J. Financ. Econ. 2022, 145, 642–664. [Google Scholar] [CrossRef]
- Santos, A.; Cincera, M. Determinants of Financing Constraints. Small Bus. Econ. 2022, 58, 1427–1439. [Google Scholar] [CrossRef]
- Christensen, D.M.; Serafeim, G.; Sikochi, A. Why is Corporate Virtue in the Eye of The Beholder? The Case of ESG Ratings. Account. Rev. 2022, 97, 147–175. [Google Scholar] [CrossRef]
- Hall, B.H. The Financing of Research and Development. Oxf. Rev. Econ. Policy 2002, 18, 35–51. [Google Scholar] [CrossRef]
- Qian, H. Talent, Creativity and Regional Economic Performance: The Case of China. Ann. Reg. Sci. 2010, 45, 133–156. [Google Scholar] [CrossRef]
- Zhao, S.; Zhang, B.; Shao, D.; Wang, S. Can Top Management Teams’ Academic Experience Promote Green Innovation Output: Evidence from Chinese Enterprises. Sustainability 2021, 13, 11453. [Google Scholar] [CrossRef]
- Ge, G.; Xiao, X.; Li, Z.; Dai, Q. Does ESG Performance Promote High-Quality Development of Enterprises in China? The Mediating Role of Innovation Input. Sustainability 2022, 14, 3843. [Google Scholar] [CrossRef]



| Characteristic | Formal Environmental Regulation | Informal Environmental Regulation |
|---|---|---|
| Objective | Achieve quality and efficiency in environmental governance | Achieve quality and efficiency in environmental governance |
| Regulatory Subjects | Government and official institutions | Public and civil society organizations |
| Regulatory Mechanisms | Laws, regulations, standards, permits, etc. | Information dissemination, negotiation, media exposure, lobbying, etc. |
| Implementation Method | Mandatory, top-down | Voluntary, bottom-up |
| Flexibility | Relatively fixed, complex modification procedures | More flexible, can quickly respond to social needs |
| Coverage | Comprehensive but may have regulatory blind spots | Targeted but may not be comprehensive |
| Implementation Cost | Usually higher | Relatively lower |
| Effectiveness | Has legal binding force | Mainly relies on moral and social pressure |
| Variable | Symbol | Definition |
|---|---|---|
| Dependent Variable | GTI | NGI: logarithm of (number of patents for green inventions filed independently by firms + 1) QGI: Logarithm of (number of citations of green patents filed independently by enterprises + 1) |
| Independent Variable | ESG rating | Whether the company was included in SynTao’s ESG rating system during the year |
| Intermediate variables | SA | Index for measuring corporate financing constraints |
| IC | This study selects the Dibble internal control index/100 | |
| R&D | Logarithm of corporate R&D expenditures | |
| Control variable | Size | The logarithm of the total population of individuals inside the organization |
| Lev | Total liabilities/total assets | |
| ROA | Calculating the net profit divided by the average balance of total assets. | |
| FirmAge | This year marks the establishment of the enterprise | |
| TobinQ | (Price per share multiplied by the number of shares outstanding, plus the net assets per share multiplied by the number of non-circulating shares, added to liabilities) divided by total assets | |
| tot_liability | Total assets at end of year—total equity at end of year | |
| Big 4 | If it is audited by a Big 4 accounting firm, Big 4 = 1, otherwise, Big 4 = 0 | |
| Mshare | The firm’s management holds a certain percentage of shares | |
| INST | The proportion of shares owned by institutional investors | |
| FIXED | The percentage of fixed assets |
| Variable | Obs | Mean | Std | Min | Max |
|---|---|---|---|---|---|
| ESG | 25,488 | 0.108 | 0.310 | 0.000 | 1.000 |
| QGI | 25,488 | 0.34 | 0.844 | 0.000 | 7.211 |
| NGI | 25,488 | 0.235 | 0.630 | 0.000 | 6.328 |
| ESG_R | 25,488 | 0.581 | 1.707 | 0.000 | 9.000 |
| Size | 25,488 | 22.112 | 1.297 | 14.942 | 28.636 |
| Lev | 25,488 | 0.406 | 0.207 | 0.007 | 1.957 |
| ROA | 25,488 | 0.043 | 0.078 | −1.859 | 1.285 |
| FirmAge | 25,488 | 2.885 | 0.359 | 0.000 | 4.174 |
| TobinQ | 25,488 | 2.130 | 4.479 | 0.625 | 715.945 |
| R&D | 25,488 | 17.843 | 1.575 | 0.000 | 28.408 |
| tot_liability | 25,488 | 21.042 | 1.690 | 11.602 | 28.310 |
| Big 4 | 25,488 | 0.057 | 0.231 | 0.000 | 1.000 |
| Mshare | 25,488 | 0.156 | 0.305 | 0.000 | 20.171 |
| INST | 25,488 | 0.367 | 0.240 | 0.000 | 3.267 |
| Variable | ESG | QGI | NGI | ESG_R | SA | Num | R&D |
|---|---|---|---|---|---|---|---|
| ESG | 1 | ||||||
| QGI | 0.2027 | 1 | |||||
| 0 | |||||||
| NGI | 0.1581 | 0.419 | 1 | ||||
| 0 | 0 | ||||||
| ESG_R | 0.9785 | 0.2171 | 0.1728 | 1 | |||
| 0 | 0 | 0 | |||||
| SA | 0.0084 | 0.0405 | 0.0794 | 0.0167 | 1 | ||
| 0.1018 | 0 | 0 | 0.0012 | ||||
| Num | 0.1394 | 0.1966 | 0.1618 | 0.1352 | −0.0901 | 1 | |
| 0 | 0 | 0 | 0 | 0 | |||
| R&D | 0.0395 | 0.0204 | 0.0194 | 0.0503 | 0.0445 | 0.0170 | 1 |
| 0 | 0.0007 | 0.0014 | 0 | 0 | 0.0051 |
| Variables | NGI | |||
|---|---|---|---|---|
| (1) | (2) | (3) | (4) | |
| ESG | 0.1036 *** (0.009) | 0.0799 *** (0.0118) | ||
| 0.0171 *** (0.0022) | 0.0137 * (0.004) | |||
| −0.0165 ** (0.161) | ||||
| −0.006 * (0.147) | ||||
| Controls | No | Yes | Yes | Yes |
| Cons | 0.2259 (0.0022) | −0.3217 * (0.205) | −0.305 (0.2047) | −0.2862 (0.2016) |
| Firm | Yes | Yes | Yes | Yes |
| Year | Yes | Yes | Yes | Yes |
| N | 25,488 | 25,488 | 25,488 | 25,488 |
| Adj-R2 | 0.6849 | 0.6635 | 0.6637 | 0.6758 |
| Variables | QGI | |||
|---|---|---|---|---|
| (1) | (2) | (3) | (4) | |
| ESG | 0.1766 *** (0.0105) | 0.1311 *** (0.014) | ||
| 0.0291 * (0.0026) | 0.0076 ** (0.013) | |||
| −0.0063 * (0.031) | ||||
| −0.003 * (0.0029) | ||||
| Controls | No | Yes | Yes | Yes |
| Cons | 0.3247 (0.0025) | −2.081 * (0.2445) | −2.0397 ** (0.2440) | −1.007 (0.097) |
| Firm | Yes | Yes | Yes | Yes |
| Year | Yes | Yes | Yes | Yes |
| N | 25,488 | 25,488 | 25,488 | 25,488 |
| Adj-R2 | 0.7326 | 0.7515 | 0.7519 | 0.7532 |
| Variables | 3 Year | 2 Year | 1 Year | |||
|---|---|---|---|---|---|---|
| NGI | QGI | NGI | QGI | NGI | QGI | |
| ESG | 0.053 (0.0219) | 0.0688 (0.0316) | 0.0631 (0.0203) | 0.1046 (0.0298) | 0.0625 (0.0201) | 0.1241 (0.0289) |
| Controls | Yes | Yes | Yes | Yes | Yes | Yes |
| Cons | −0.3946 (0.3499) | −2.2485 * (0.5164) | −0.3426 (0.3498) | −2.1128 * (0.5161) | −0.3491 (0.3479) | −2.0629 (0.5134) |
| Firm | Yes | Yes | Yes | Yes | Yes | Yes |
| Year | Yes | Yes | Yes | Yes | Yes | Yes |
| N | 25,488 | 25,488 | 25,488 | 25,488 | 25,488 | 25,488 |
| Adj-R2 | 0.6630 | 0.7507 | 0.6632 | 0.7511 | 0.6632 | 0.7514 |
| Variables | NGI | QGI |
|---|---|---|
| ESG | 0.0796 *** (0.0202) | 0.1305 *** (0.0268) |
| Controls | Yes | Yes |
| Cons | −0.3588 (0.3444) | −2.1106 *** (0.5139) |
| Firm | Yes | Yes |
| Year | Yes | Yes |
| N | 25,279 | 25,279 |
| Adj-R2 | 0.6637 | 0.7523 |
| Variables | State-Owned Enterprise | Nonstate-Owned Enterprise | ||
|---|---|---|---|---|
| NGI | QGI | NGI | QGI | |
| ESG | 0.0727 ** (0.034) | 0.175 *** (0.0398) | 0.0818 *** (0.0253) | 0.0684 ** (0.0329) |
| Controls | Yes | Yes | Yes | Yes |
| Cons | 1.8006 ** (0.9014) | 0.7706 (1.0749) | −1.1866 *** (0.3919) | −2.9296 *** (0.6103) |
| Firm | Yes | Yes | Yes | Yes |
| Year | Yes | Yes | Yes | Yes |
| N | 7143 | 18,274 | ||
| Adj-R2 | 0.7242 | 0.8176 | 0.6292 | 0.7136 |
| Variables | East | Central | West | |||
|---|---|---|---|---|---|---|
| NGI | QGI | NGI | QGI | NGI | QGI | |
| ESG | 0.094 ** (0.0242) | 0.1159 *** (0.0319) | 0.04869 (0.0526) | 0.1363 ** (0.0623) | −0.0229 (0.0451) | 0.0506 (0.0513) |
| Controls | Yes | Yes | Yes | Yes | Yes | Yes |
| Cons | −0.5341 (0.3941) | −2.2226 *** (0.5668) | 0.0907 (0.9382) | −0.8758 (1.4311) | 2.002 * (1.1451) | −3.5542 * (2.105) |
| Firm | Yes | Yes | Yes | Yes | Yes | Yes |
| Year | Yes | Yes | Yes | Yes | Yes | Yes |
| N | 18,511 | 18,511 | 3949 | 3949 | 3006 | 3006 |
| Adj-R2 | 0.6778 | 0.7526 | 0.6346 | 0.7276 | 0.6008 | 0.8013 |
| Variables | SA | NGI | QGI |
|---|---|---|---|
| (1) | (2) | (3) | |
| ESG | −0.055 *** (0.0035) | ||
| SA | −0.4176 *** (0.1301) | −0.6381 *** (0.1965) | |
| Controls | Yes | Yes | Yes |
| Cons | −3.0789 *** (0.0815) | 0.8134 * (0.4819) | −0.3706 *** (0.7159) |
| Firm | Yes | Yes | Yes |
| Year | Yes | Yes | Yes |
| N | 25,488 | 25,488 | 25,488 |
| Adj-R2 | 0.9807 | 0.6634 | 0.7512 |
| Variables | IC | NGI | QGI |
|---|---|---|---|
| (1) | (2) | (3) | |
| ESG | 0.0765 ** (0.1642) | ||
| IC | 0.0399 *** (0.0059) | 0.0327 *** (0.0077) | |
| Controls | Yes | Yes | Yes |
| Cons | −1.4966 ** (0.6152) | −0.4979 * (0.4165) | −2.6979 *** (0.6256) |
| Firm | Yes | Yes | Yes |
| Year | Yes | Yes | Yes |
| N | 25,488 | 25,488 | 25,488 |
| Adj-R2 | 0.7211 | 0.6229 | 0.6833 |
| Variables | Yftr | NGI | QGI |
|---|---|---|---|
| (1) | (2) | (3) | |
| ESG | 0.0953 ** (0.0369) | ||
| yftr | 0.0192 *** (0.005) | 0.0096 (0.0074) | |
| Controls | Yes | Yes | Yes |
| Cons | 1.0253 (0.6603) | −0.5479 (0.3447) | −2.4357 *** (0.5174) |
| Firm | Yes | Yes | Yes |
| Year | Yes | Yes | Yes |
| N | 25,488 | 25,488 | 25,488 |
| Adj-R2 | 0.8464 | 0.6631 | 0.7505 |
Disclaimer/Publisher’s Note: The statements, opinions and data contained in all publications are solely those of the individual author(s) and contributor(s) and not of MDPI and/or the editor(s). MDPI and/or the editor(s) disclaim responsibility for any injury to people or property resulting from any ideas, methods, instructions or products referred to in the content. |
© 2024 by the authors. Licensee MDPI, Basel, Switzerland. This article is an open access article distributed under the terms and conditions of the Creative Commons Attribution (CC BY) license (https://creativecommons.org/licenses/by/4.0/).
Share and Cite
Yuan, H.; Luan, H.; Wang, X. The Impact of ESG Rating Events on Corporate Green Technology Innovation under Sustainable Development: Perspectives Based on Informal Environmental Regulation of Social Systems. Sustainability 2024, 16, 8308. https://doi.org/10.3390/su16198308
Yuan H, Luan H, Wang X. The Impact of ESG Rating Events on Corporate Green Technology Innovation under Sustainable Development: Perspectives Based on Informal Environmental Regulation of Social Systems. Sustainability. 2024; 16(19):8308. https://doi.org/10.3390/su16198308
Chicago/Turabian StyleYuan, Haoqiang, Haiyan Luan, and Xi Wang. 2024. "The Impact of ESG Rating Events on Corporate Green Technology Innovation under Sustainable Development: Perspectives Based on Informal Environmental Regulation of Social Systems" Sustainability 16, no. 19: 8308. https://doi.org/10.3390/su16198308
APA StyleYuan, H., Luan, H., & Wang, X. (2024). The Impact of ESG Rating Events on Corporate Green Technology Innovation under Sustainable Development: Perspectives Based on Informal Environmental Regulation of Social Systems. Sustainability, 16(19), 8308. https://doi.org/10.3390/su16198308
