Effects of Arbuscular Mycorrhizal Fungi and Biogas Slurry Application on Plant Growth, Soil Composition, and Microbial Communities of Hybrid Pennisetum
Abstract
1. Introduction
2. Material and Methods
2.1. Experiment Design
2.2. Determination of Plant Agronomic Characters
2.3. Collection and Determination of Soil Chemicals
2.4. Determination of Soil Microbial Community
2.5. Statistical Analysis
3. Result
3.1. Effects of AMF and Biogas Slurry on Agronomic Characters
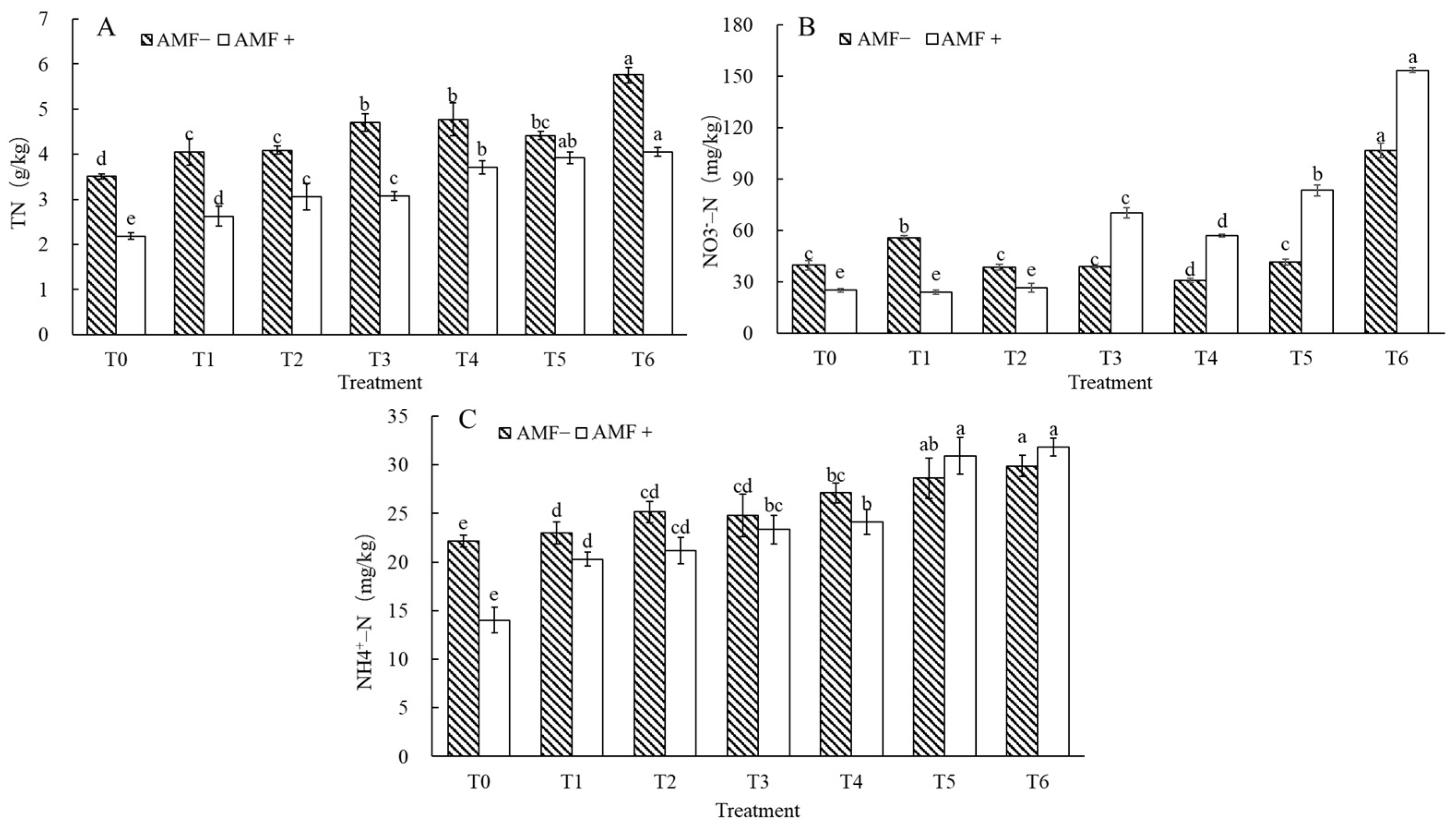
3.2. Effects of AMF and Biogas Slurry on Soil Chemical Properties
3.3. Clustering, Correlation, and PCA Analysis of Plant Growth and Soil Chemical Properties
3.4. Effects of AMF and Biogas Slurry on Soil Microbial Diversity and Composition
4. Discussion
5. Conclusions
Author Contributions
Funding
Institutional Review Board Statement
Informed Consent Statement
Data Availability Statement
Conflicts of Interest
References
- Bachmann, S.; Gropp, M.; Eichler-Loebermann, B. Phosphorus availability and soil microbial activity in a 3 year field experiment amended with digested dairy slurry. Biomass Bioenergy 2014, 70, 429–439. [Google Scholar] [CrossRef]
- de Godos, I.; Vargas, V.A.; Blanco, S.; González, M.C.G.; Soto, R.; García-Encina, P.A.; Becares, E.; Muñoz, R. A comparative evaluation of microalgae for the degradation of piggery wastewater under photosynthetic oxygenation. Bioresour. Technol. 2010, 101, 5150–5158. [Google Scholar] [CrossRef]
- Xu, Z.-M.; Wang, Z.; Gao, Q.; Wang, L.-L.; Chen, L.-L.; Li, Q.-G.; Jiang, J.-J.; Ye, H.-J.; Wang, D.-S.; Yang, P. Influence of irrigation with microalgae-treated biogas slurry on agronomic trait, nutritional quality, oxidation resistance, and nitrate and heavy metal residues in Chinese cabbage. J. Environ. Manag. 2019, 244, 453–461. [Google Scholar] [CrossRef] [PubMed]
- Ghimire, K.; Gautam, D.; Mishra, K.; Pande, K.; Gc, A. Influence of biogass slurry and urea on yield and quality of okra (Abelmoschus esculentus L.) fruits. J. Agric. Environ. 2015, 16, 161–169. [Google Scholar] [CrossRef]
- Xu, C.; Tian, Y.; Sun, Y.; Dong, L. Effects of Biogas Slurry Irrigation on Growth, Photosynthesis, and Nutrient Status of Perilla frutescens Seedlings. Commun. Soil Sci. Plant Anal. 2013, 44, 3381–3390. [Google Scholar] [CrossRef]
- Alejandro Iocoli, G.A.; Zabaloy, M.C.; Pasdevicelli, G.; Gómez, M.A. Use of biogas digestates obtained by anaerobic digestion and co-digestion as fertilizers: Characterization, soil biological activity and growth dynamic of Lactuca sativa L. Sci. Total Environ. 2019, 647, 11–19. [Google Scholar] [CrossRef]
- Bian, B.; Zhou, L.J.; Li, L.; Lv, L.; Fan, Y.M. Risk assessment of heavy metals in air, water, vegetables, grains, and related soils irrigated with biogas slurry in Taihu Basin, China. Environ. Sci. Pollut. Res. 2015, 22, 7794–7807. [Google Scholar] [CrossRef]
- Pu, C.; Liu, H.; Ding, G.; Sun, Y.; Yu, X.; Chen, J.; Ren, J.; Gong, X. Impact of direct application of biogas slurry and residue in fields: In situ analysis of antibiotic resistance genes from pig manure to fields. J. Hazard. Mater. 2017, 344, 441–449. [Google Scholar] [CrossRef]
- Premaratne, S.; Premalal, G.G.C. Hybrid Napier (Pennisetum perpureum × Pennisetum americarnum) VAR. CO-3: A resourceful fodder grass for dairy development in Sri Lanka. J. Agric. Sci. Sri Lanka 2006, 2, 22–33. [Google Scholar] [CrossRef]
- Li, X.; Geng, X.; Xie, R.; Fu, L.; Jiang, J.; Gao, L.; Sun, J. The endophytic bacteria isolated from elephant grass (Pennisetum purpureum Schumach) promote plant growth and enhance salt tolerance of Hybrid Pennisetum. Biotechnol. Biofuels 2016, 9, 190. [Google Scholar] [CrossRef]
- Jampeetong, A.; Muenrew, J. Interactive effects of NH4+ concentration and O2 availability on growth, morphology, and mineral allocation of hybrid Napier grass (Pennisetum purpureum × P. americanum cv. Pakchong1). Ecol. Eng. 2016, 91, 409–418. [Google Scholar] [CrossRef]
- Yang, Q.; Zhong, Z.M.; Weng, B.Q.; Huang, X.S.; You, X.F. Effects of Biogas Slurry on Yield of Pennisetum and Inorganic Nitrogen and Enzymatic Activities in Soil. Fujian J. Agric. Sci. 2016, 31, 1353. [Google Scholar] [CrossRef]
- Xu, W.; Zhu, Y.; Wang, X.; Ji, L.; Wang, H.; Yao, L.; Lin, C. The effect of biogas slurry application on biomass production and forage quality of Lolium multiflorum. Sustainability 2021, 13, 3605. [Google Scholar] [CrossRef]
- Huang, J.C.; Peng, Z.P.; Xu, P.Z.; Tu, Y.T.; Yang, L.X.; Wu, X.N.; Lin, Z.J. Effects of paddy field disposal of biogas slurry on rice production, soil fertility and environmental safety. Guangdong Agric. Sci. 2016, 43, 8. [Google Scholar] [CrossRef]
- Chen, Z.; Ma, J.; Ma, J.; Ye, J.; Yu, Q.; Zou, P.; Sun, W.; Lin, H.; Wang, F.; Zhao, X.; et al. Long-term biogas slurry application increases microbial necromass but not plant lignin contribution to soil organic carbon in paddy soils as regulated by fungal community. Waste Manag. 2024, 175, 254–264. [Google Scholar] [CrossRef]
- Sun, R.; Ding, J.; Li, H.; Wang, X.; Li, W.; Li, K.; Ye, X.; Sun, S. Mitigating nitrate leaching in cropland by enhancing microbial nitrate transformation through the addition of liquid biogas slurry. Agric. Ecosyst. Environ. 2023, 345, 108324. [Google Scholar] [CrossRef]
- Brundrett, M.C. Mycorrhizal associations and other means of nutrition of vascular plants: Understanding the global diversity of host plants by resolving conflicting information and developing reliable means of diagnosis. Plant Soil 2009, 320, 37–77. [Google Scholar] [CrossRef]
- Zhao, Y.; Naeth, M.A. Soil amendment with a humic substance and arbuscular mycorrhizal Fungi enhance coal mine reclamation. Sci. Total Environ. 2022, 823, 153696. [Google Scholar] [CrossRef]
- Ahammed, G.J.; Shamsy, R.; Liu, A.; Chen, S. Arbuscular mycorrhizal fungi-induced tolerance to chromium stress in plants. Environ. Pollut. 2023, 327, 121597. [Google Scholar] [CrossRef]
- Ma, X.; Li, X.; Ludewig, U. Arbuscular mycorrhizal colonization outcompetes root hairs in maize under low phosphorus availability. Ann. Bot. 2021, 127, 155–166. [Google Scholar] [CrossRef]
- Lourdes, G.-C.M.; Stéphane, D.; Maryline, C.-S. Impact of increasing chromium (VI) concentrations on growth, phosphorus and chromium uptake of maize plants associated to the mycorrhizal fungus. Heliyon 2021, 7, e05891. [Google Scholar] [CrossRef] [PubMed]
- Faithfull, N. Methods in Agricultural Chemical Analysis: A Practical Handbook. Grass Forage Sci. 2003, 58, 98. [Google Scholar] [CrossRef]
- Hata, T.; Kono, Y.; Banno, Y. Determination of Nitrogen Oxides of Low Concentration in Exhaust Gas by Improved Phenol Disulfonic Acid Method. Tetsu-to-Hagane 2010, 64, 297–302. [Google Scholar] [CrossRef] [PubMed]
- Gota, H.G.; Madalcho, A.B.; Kerse, B.L.; Szwagrzyk, J.; Solomon, T. The impact of native trees, Cordia africana and Ficus sur, and the economically valuable Manihot esculenta on soil chemical properties in an agroforestry system. Trees For. People 2024, 15, 100471. [Google Scholar] [CrossRef]
- Lavaee, P.; Taghdisi, S.M.; Abnous, K.; Danesh, N.M.; Khayyat, L.H.; Jalalian, S.H. Fluorescent sensor for detection of miR-141 based on target-induced fluorescence enhancement and PicoGreen. Talanta 2019, 202, 349–353. [Google Scholar] [CrossRef]
- Guo, G.; Guan, J.; Sun, S.; Liu, J.; Zhao, Y. Nutrient and heavy metal removal from piggery wastewater and CH4 enrichment in biogas based on microalgae cultivation technology under different initial inoculum concentration. Water Environ. Res. 2020, 92, 922–933. [Google Scholar] [CrossRef]
- Tang, J.; Davy, A.J.; Wang, W.; Zhang, X.; Wu, D.; Hu, L.; Yin, J. Effects of biogas slurry on crop yield, physicochemical properties and aggregation characteristics of lime concretion soil in wheat–maize rotation in the North China Plain. J. Soil Sci. Plant Nutr. 2022, 22, 2406–2417. [Google Scholar] [CrossRef]
- Kalkhajeh, Y.K.; He, Z.; Yang, X.; Lu, Y.; Zhou, J.; Gao, H.; Ma, C. Co-application of nitrogen and straw-decomposing microbial inoculant enhanced wheat straw decomposition and rice yield in a paddy soil. J. Agric. Food Res. 2021, 4, 100134. [Google Scholar] [CrossRef]
- Rahaman, A.; Zhan, X.; Zhang, Q.; Li, S.; Lv, S.; Long, Y.; Zeng, H. Ammonia Volatilization Reduced by Combined Application of Biogas Slurry and Chemical Fertilizer in Maize–Wheat Rotation System in North China Plain. Sustainability 2020, 12, 4400. [Google Scholar] [CrossRef]
- Du, Z.; Xiao, Y.; Qi, X.; Liu, Y.; Fan, X.; Li, Z. Peanut-Shell Biochar and Biogas Slurry Improve Soil Properties in the North China Plain: A Four-Year Field Study. Sci. Rep. 2018, 8, 13724. [Google Scholar] [CrossRef]
- Zheng, J.; Qi, X.; Shi, C.; Yang, S.; Wu, Y. Tomato comprehensive quality evaluation and irrigation mode optimization with biogas slurry based on the combined evaluation model. Agronomy 2022, 12, 1391. [Google Scholar] [CrossRef]
- Wang, Y.X.; Fu, J.R.; Wang, Q.; Wang, J.M.; Ma, J.W.; Jiang, L.N. Effect of biogas slurry farmland disposal and utilization on pepper’s yield, quality and soil fertility. Acta Agric. Zhejiangensis 2010, 22, 859–863. [Google Scholar] [CrossRef]
- Choudhary, V.; Machavaram, R. Need of automation in paddy nurseries for raising paddy seedlings in India: A Review. J. Biosyst. Eng. 2022, 47, 209–222. [Google Scholar] [CrossRef]
- Mukhtiar, A.; Mahmood, A.; Zia, M.A.; Ameen, M.; Dong, R.; Shoujun, Y.; Javaid, M.M.; Khan, B.A.; Nadeem, M.A. Role of biogas slurry to reclaim soil properties providing an eco-friendly approach for crop productivity. Bioresour. Technol. Rep. 2023, 25, 101716. [Google Scholar] [CrossRef]
- Cao, W.; Wang, X.; Sun, S.; Hu, C.; Zhao, Y. Simultaneously upgrading biogas and purifying biogas slurry using cocultivation of Chlorella vulgaris and three different fungi under various mixed light wavelength and photoperiods. Bioresour. Technol. 2017, 241, 701. [Google Scholar] [CrossRef]
- Kominko, H.; Gorazda, K.; Wzorek, Z. The Possibility of Organo-Mineral Fertilizer Production from Sewage Sludge. Waste Biomass Valorization 2017, 8, 1781–1791. [Google Scholar] [CrossRef]
- Liang, X.; Wang, C.; Wang, H.; Qiu, X.; Ji, H.; Ju, H.; Wang, J. Synergistic effect on soil health from combined application of biogas slurry and biochar. Chemosphere 2023, 343, 140228. [Google Scholar] [CrossRef]
- Koziol, L.; Bever, J.D. The missing link in grassland restoration: Arbuscular mycorrhizal fungi inoculation increases plant diversity and accelerates succession. J. Appl. Ecol. 2017, 54, 1301–1309. [Google Scholar] [CrossRef]
- Qin, M.; Zhang, Q.; Pan, J.; Jiang, S.; Liu, Y.; Bahadur, A.; Peng, Z.; Yang, Y.; Feng, H. Effect of arbuscular mycorrhizal fungi on soil enzyme activity is coupled with increased plant biomass. Eur. J. Soil Sci. 2020, 71, 84–92. [Google Scholar] [CrossRef]
- Faghihinia, M.; Jansa, J.; Halverson, L.J.; Staddon, P.L. Hyphosphere microbiome of arbuscular mycorrhizal fungi: A realm of unknowns. Biol. Fertil. Soils 2023, 59, 17–34. [Google Scholar] [CrossRef]
- Shintaro, H.; Masanori, S. Isolation of Inositol Hexaphosphate (IHP)-Degrading Bacteria from Arbuscular Mycorrhizal Fungal Hyphal Compartments Using a Modified Baiting Method Involving Alginate Beads Containing IHP. Microbes Environ. 2016, 31, 234–243. [Google Scholar] [CrossRef]
- Desirò, A.; Salvioli, A.; Ngonkeu, E.L.; Mondo, S.J.; Epis, S.; Faccio, A.; Kaech, A.; Pawlowska, T.E.; Bonfante, P. Detection of a novel intracellular microbiome hosted in arbuscular mycorrhizal fungi. ISME J. 2014, 8, 257–270. [Google Scholar] [CrossRef] [PubMed]
- Liang, X.; Wang, H.; Wang, C.; Yao, Z.; Qiu, X.; Ju, H.; Wang, J. Disentangling the impact of biogas slurry topdressing as a replacement for chemical fertilizers on soil bacterial and fungal community composition, functional characteristics, and co-occurrence networks. Environ. Res. 2023, 238, 117256. [Google Scholar] [CrossRef] [PubMed]
- Torres-Cortés, G.; Ghignone, S.; Bonfante, P.; Schüßler, A. Mosaic genome of endobacteria in arbuscular mycorrhizal fungi: Transkingdom gene transfer in an ancient mycoplasma-fungus association. Proc. Natl. Acad. Sci. USA 2015, 112, 7785–7790. [Google Scholar] [CrossRef]











| Characteristics | Soil | Biogas Slurry |
|---|---|---|
| Organic matter (%) | 18.62 | 0.35 |
| Total nitrogen (%) | 0.35 | 0.09 |
| Ammoniacal nitrogen (mg/kg) | 22.16 | - |
| Nitrate nitrogen (mg/kg) | 39.73 | - |
| Total phosphorus (mg/L) | - | 19.41 |
| Available phosphorus (mg/kg) | 6.20 | - |
| Total potassium (mg/L) | - | 833.6 |
| Available potassium (mg/kg) | 221.7 | - |
| Biogas Slurry Topdressing (L) | Total (t/hm2) | |||
|---|---|---|---|---|
| Amendment | t1 (21 May 2022) | t2 (15 July 2022) | t3 (16 September 2022) | |
| T0 | 0 | 0 | 0 | 0 |
| T1 | 0.5 | 0.5 | 0.5 | 150 |
| T2 | 1 | 1 | 1 | 300 |
| T3 | 1.5 | 1.5 | 1.5 | 450 |
| T4 | 2 | 2 | 2 | 600 |
| T5 | 2.5 | 2.5 | 2.5 | 750 |
| T6 | 3 | 3 | 3 | 900 |
| Treatment | Grey Correlative | Order | Weighted Grey Correlative | Order |
|---|---|---|---|---|
| AMF− T6 | 0.879 | 1 | 0.823 | 1 |
| AMF+ T6 | 0.861 | 2 | 0.798 | 2 |
| AMF+ T5 | 0.799 | 3 | 0.753 | 3 |
| AMF− T5 | 0.782 | 4 | 0.737 | 4 |
| AMF− T4 | 0.740 | 5 | 0.698 | 5 |
| AMF− T3 | 0.728 | 6 | 0.691 | 6 |
| AMF+ T4 | 0.694 | 7 | 0.657 | 7 |
| AMF+ T3 | 0.674 | 8 | 0.641 | 8 |
| AMF− T2 | 0.659 | 9 | 0.628 | 9 |
| AMF+ T2 | 0.635 | 10 | 0.604 | 10 |
| AMF− T1 | 0.587 | 11 | 0.557 | 11 |
| AMF+ T1 | 0.581 | 12 | 0.553 | 12 |
| AMF− T0 | 0.506 | 13 | 0.477 | 13 |
| AMF+ T0 | 0.450 | 14 | 0.425 | 14 |
Disclaimer/Publisher’s Note: The statements, opinions and data contained in all publications are solely those of the individual author(s) and contributor(s) and not of MDPI and/or the editor(s). MDPI and/or the editor(s) disclaim responsibility for any injury to people or property resulting from any ideas, methods, instructions or products referred to in the content. |
© 2024 by the authors. Licensee MDPI, Basel, Switzerland. This article is an open access article distributed under the terms and conditions of the Creative Commons Attribution (CC BY) license (https://creativecommons.org/licenses/by/4.0/).
Share and Cite
Cai, J.; Ran, Q.; Zhou, J.; Bi, M.; Liu, Y.; Yang, S.; Fan, Y.; Nie, G.; He, W. Effects of Arbuscular Mycorrhizal Fungi and Biogas Slurry Application on Plant Growth, Soil Composition, and Microbial Communities of Hybrid Pennisetum. Sustainability 2024, 16, 8416. https://doi.org/10.3390/su16198416
Cai J, Ran Q, Zhou J, Bi M, Liu Y, Yang S, Fan Y, Nie G, He W. Effects of Arbuscular Mycorrhizal Fungi and Biogas Slurry Application on Plant Growth, Soil Composition, and Microbial Communities of Hybrid Pennisetum. Sustainability. 2024; 16(19):8416. https://doi.org/10.3390/su16198416
Chicago/Turabian StyleCai, Jiabang, Qifan Ran, Jie Zhou, Ming Bi, Yang Liu, Sisi Yang, Yan Fan, Gang Nie, and Wei He. 2024. "Effects of Arbuscular Mycorrhizal Fungi and Biogas Slurry Application on Plant Growth, Soil Composition, and Microbial Communities of Hybrid Pennisetum" Sustainability 16, no. 19: 8416. https://doi.org/10.3390/su16198416
APA StyleCai, J., Ran, Q., Zhou, J., Bi, M., Liu, Y., Yang, S., Fan, Y., Nie, G., & He, W. (2024). Effects of Arbuscular Mycorrhizal Fungi and Biogas Slurry Application on Plant Growth, Soil Composition, and Microbial Communities of Hybrid Pennisetum. Sustainability, 16(19), 8416. https://doi.org/10.3390/su16198416

