Abstract
Accurate determination of fishing effort from Automatic Identification System (AIS) data improves catch per unit effort (CPUE) estimation and precise spatial management. By combining AIS data with catch information, a weighted distribution method is applied to allocate catches across various fishing trajectories, accounting for temporal dynamics. A Generalized Linear Model (GLM) and Generalized Additive Model (GAM) were used to examine the influence of spatial–temporal and environmental variables (year, month, Sea Surface Temperature (SST), Sea Surface Salinity (SSS), current velocity, depth, longitude, and latitude) and assess the quality of model fit for these effects on chub mackerel CPUE. Month, SST, and year exhibited the strongest relationship with CPUE in the GLM model, while the GAM model emphasizes the importance of month and year. CPUE peaked within specific temperature and salinity ranges and increased with longitude and specific latitudinal bands. Month emerged as the most influential variable, explaining 38% of the CPUE variance, emphasizing the impact of regulatory measures on fishery performance. The GAM model performed better, explaining 69.9% of the nominal CPUE variance. The time series of nominal and standardized indices indicated strong seasonal cycles, and the application of fine-scale fishing effort improved nominal and standardized CPUE estimates and model performance.
1. Introduction
The decline in major fish stocks has been attributed to the limitations in the Korean Conventional Fisheries Management regime, which has been in existence since the early 1900s, with subsequent implementation of alternative measures, i.e., input and technical regulations such as limited licenses and the vessel buy-back program [1]. For instance, marine fisheries production has dropped from 1.72 million tons reported in 1986 to below 1.0 million tons in 2016 [1,2]. The Total Allowable Catch (TAC) system, which provides the basis for a scientific-based and efficient management approach, was adopted and implemented in 1999 [1]. This output control measure was implemented for the management of four (4) fish species: chub mackerel, jack mackerel, sardine, and red snow crab, and two fisheries: large purse seine and offshore trap fisheries. Since then, the TAC system has evolved, with catch limits set for sixteen (16) species and eighteen (18) fisheries [3,4]. CPUE is the main source of information used to evaluate the performance of the TAC system and set production and biomass reference points. This is conducted by monitoring trends in CPUE and adjusting catch limits to avoid stock collapse [5]. In Korea, a closed season is imposed on the large purse seine fishery, and the landing of chub mackerel is prohibited for one month (usually between April and June). However, the TAC management system does not take into account spatial variations, resulting in high fishing pressure and chub mackerel in some areas [2].
One of the important components of fish stock assessment is the use of catch per unit effort (CPUE) as an index of relative abundance. CPUE, which indicates the stock status and represents the amount of fish caught by a unit of effort, is a widely used abundance index by fisheries managers in setting production and biomass reference points. This is achieved by monitoring the activities of fishing vessels when attempting to catch a given TAC. Fisheries managers evaluate the effectiveness of a TAC system and make adjustments by estimating, monitoring trends in CPUE, and making inferences based on these estimates. CPUE estimation and stock assessment utilize fishery-dependent data from commercial fishing activities, such as commercial logbooks, landing records, or onboard observers [6,7]. They complement fishery-independent surveys by providing real-time, context-specific data that reflect the actual fishing activities and catch composition and offer valuable insights into the dynamics of commercial fisheries, including changes in fishing pressure, target species, and fishing practices [6,7,8].
However, a significant limitation arises in the resolution of landing data, which can only be resolved to a daily level of fishing activity. This is due to the absence of per-haul recording, which restricts the spatial resolution of the data [9]. Consequently, the precise location of individual catches cannot be determined, limiting the ability to analyze fishing effort and catch distribution at a fine-scale spatial level. In addition to the challenge of spatial resolution, the unknown handling time involved in fishing operations affects the accuracy of data interpretation. The time required for deploying, hauling, and emptying fishing gear is influenced by factors such as catch quantity and can vary significantly. However, this crucial information remains unknown [9]. The variability in handling time introduces uncertainty in the estimation of fishing effort and further complicates the interpretation of CPUE data.
The integration of Automatic Identification System (AIS) data in fishing effort data estimation addresses various inconsistencies and challenges encountered with traditional methods of fishing effort estimation [7,8]. AIS data provide an objective and comprehensive record of vessel movements and offer wide spatial coverage by tracking vessels equipped with AIS transceivers, thereby facilitating the assessment of fishing efforts at a fine-scale spatial resolution. By providing an independent and verifiable record, AIS data reduces the potential for misreporting by fishermen, thereby improving the reliability of fishing effort estimates. The high temporal resolution captures vessel movements in near real-time and helps identify diel patterns, seasonal variations, and short-term fluctuations in fishing activity. In addition, it helps in the identification of specific fishing grounds, hotspots, or areas experiencing higher fishing pressure, enabling more targeted and spatially explicit management measures. Understanding the temporal dynamics of fishing efforts improves the accuracy of CPUE estimates and provides precise indices that support adaptive fisheries management. Studies have demonstrated the usefulness of integrating vessel mobility and logbook data in estimating CPUE and assessing the distribution patterns of target species. For instance, ref. [6] applied AIS data to estimate and predict CPUE in a trawl fishery, providing insights into the spatial–temporal dynamics of fishing effort and catch rates. Refs. [7,8,10] utilized AIS and VMS data in combination with logbook information to explore the spatial–temporal distribution of catch and effort at high resolution.
Nominal (raw) CPUE is subject to several sources of variability, including changes in fishing technology, fishing strategies, and environmental factors, which may not reflect changes in the actual abundance of the target species. To address this, the nominal index is usually standardized, which is the nominal CPUE adjusted for these sources of variability through statistical methods. The use of standardized CPUE as an index of relative abundance has been widely accepted in fisheries management and research. Several studies have shown that standardized CPUE is a useful indicator of stock status, which can be used to inform management decisions and monitor the effectiveness of management measures [11,12]. CPUE standardization aims to remove the confounding effects of factors influencing catch rates, such as fishing effort, gear selectivity, and environmental variability. Generalized Linear Models (GLMs) and Generalized Additive Models (GAMs) have emerged as powerful and flexible tools for CPUE standardization.
The aim of this study was to (1) evaluate the potential of vessel mobility data in deriving fine-scale fishing effort and providing estimates of chub mackerel CPUE by integrating AIS and logbook datasets of large purse seine fishing vessels; (2) estimate the impact of environmental and spatial–temporal variables on explaining variations in chub mackerel CPUE; (3) assess the quality of model fit from a GLM and GAM; and (4) examine spatial–temporal variations in the standardized index time series within the context of fisheries management.
2. Materials and Methods
2.1. Study Area
The waters of the East Sea, the East China Sea, the Yellow Sea, and the waters around Jeju Island have suitable conditions for commercial fish [2]. Chub mackerel, an economically important species, is subjected to high fishing pressure mainly from the large purse seine fleets and forms about 25% of the total catch from coastal and offshore fishing vessels [13]. Chub mackerel is known to live within a depth range of 10–100 m and a temperature range of 10–22 °C [14]. Together with the common squid, sardine, and anchovies, they constitute about three-quarters of the annual total catch harvested by the Korean coastal and offshore fishing vessels, with fishing grounds located within these areas [2,3,15,16,17]. The interactions of various water masses create conducive habitat conditions that support the growth of fish, creating suitable fishing grounds exploited by commercial fisheries.
The ecological dynamics of chub mackerel fishing areas in the East Asian Marginal Seas (EAMS) are influenced by the Tsushima Warm Current (TWC) and the Korean Strait Bottom Cold Current (KSBCC) [18,19,20] and climate-induced factors [18,21] (Figure 1). The TWC transports high-temperature water and fish larvae from the East China Sea. The KSBCC is known to originate from the deeper waters of the East Sea and transports cold waters below 10 °C and salinities in the range of 34–34.4‰ along the shallow coastal waters on the East coast of South Korea [22]. These influences have significant implications for the abundance and harvesting patterns of chub mackerel, which is categorized into distinct stocks based on variations in seasonal migration and spawning grounds: the Tsushima Current stock present in the East China Sea and the East Sea spawns from March to May in the East China Sea and from May to June in the Korean Strait, and the Pacific stock which inhabits the Pacific coast of Japan spawns from March to June in the waters around central Japan [23,24,25,26,27].
Figure 1.
Study area: (Left): Area showing the EAMS and schematic drawings of the currents that interact to create suitable spawning and wintering grounds for chub mackerel: KC, Kuroshio Current; TWC, Tsushima Warm Current; YSWC, Yellow Sea Warm Current; KSBCC, Korea Strait Bottom Cold Current; and NKCC, North Korean Cold Current. (Right): Study area showing the South Sea waters around Jeju Island and the Korea Strait, the main spawning and fishing grounds for the TWC stock of chub mackerel.
2.2. Fishery Data
Fish landing reports of coastal and offshore fishing vessels operating within the Exclusive Economic Zone (EEZ) are compiled by the Korean Fishery Union. Fish catch information included species, fish state/condition at landing (dry, refrigerated, frozen, or alive), port of sale, total weight of catch, and price provided by fishery unions for use by managers and regulators. In this study, we used chub mackerel data from the large purse seine fishing vessels from 2019 to 2022.
2.3. Estimation of Effective Fishing Effort from AIS Data
According to the regulations governing TAC, purse seiners are authorized to land chub mackerel species. The fusion of AIS and logbook datasets offers the potential to identify regions where mackerel species are specifically targeted. Through this integration, it becomes possible to calculate the CPUE for those targeted areas. This enhanced CPUE estimation offers a more dependable indicator of abundance, which can be harnessed for purposes of stock assessments and informed management recommendations. AIS data were obtained for large purse seine fishing vessels that operate within the territorial waters of Korea in the east and west and the waters around Jeju Island and the Jeju/Tsushima Strait in the South Sea. AIS records include the position (longitude and latitude), speed (in knots), course, MMSI (vessel identifier), and date and time (transmitted every 2–10 s from each fishing vessel). AIS data were obtained from the Ministry of Oceans and Fisheries and the General Information Center on Marine Safety and Security (GICOMS) at https://www.gicoms.go.kr/en/service_01.do (accessed on 29 January 2024) for the period of January 2019 to December 2022.
The logbook dataset encompasses details for every transaction, comprising the landing date, vessel’s name and identification, fish species, and fish quantity involved in each transaction, but lacks indications of fishing vessel departure times from the port. This knowledge is of paramount importance to effectively discern and formulate voyage-specific data for individual vessels, a process essential for accurately attributing catches to distinct fishing trajectories. To achieve this, we cross-referenced vessels in the AIS and the Korean Fishing Ship Register databases and scrutinized the data to eliminate redundant entries and aberrant positional values. The process also entailed the removal of potentially equivocal vessel names and the rectification of data entry inaccuracies, with the aim of discerning vessels that are actively participating in fishing activities. To detect port departures and arrivals, we predefined a geographical range for each port and scrutinized the locations of the fishing vessels. A fishing vessel was considered to have arrived at a port if its location remained within the designated port area for a duration exceeding four hours. It is important to note that vessels enter and exit ports for various reasons, such as resupply, crew changes, adverse weather conditions, etc. We aggregated fishing vessels by port, fishing vessel type, and trip based on the defined criteria and established distinct vessel statuses relating to in-port, port entry, and port exit. Our methodology focused on identifying fishing vessels that exhibited frequent trading patterns at the ports. This involved gathering data through the government of Korea’s monitoring surveys to ascertain details such as landing areas, methods, and timing of interactions at fishing harbors. Following the TAC regulations, all fishing vessels are required to trade at designated markets at the ports. Notably, all sales were found to be directly connected to port facilities, with an average transaction duration of four hours.
Categorizing fishing activity based on trajectory data holds significance in identifying specific regions where fishing vessels deploy their fishing gear to capture fish, ultimately leading to the accumulation of the total catch per vessel per trip. In Korea, fishers are not required to record the locations (positions) in which they fished. However, while landing refers to the retained catch that is reported by the fisher and corresponds to each trip, catches occur continuously throughout the entire trip. Fishing and navigation activities were determined by analyzing the average speed of the fishing vessel based on the speed profile information obtained from the Fishing Gears of Korea Guide Report issued by the National Fisheries Research and Development Institute. For the large purse seine vessels, fishing activity has been identified for fishing records with speeds between 1 and 4 knots. Specifically, if the average speed falls within the designated fishing speed range, the vessel is categorized as fishing. Conversely, if the average speed lies outside this range, the vessel is considered to be navigating (Figure 2).
Figure 2.
Map showing fishing segments within a trip: green squares indicate fishing trajectories used to determine where actual fishing took place.
The reconstruction of trajectories enabled us to determine the duration of the fishing segments within the trip. This capability enhances our ability to provide a more precise and authentic calculation of the time dedicated to fishing, thereby leading to a more accurate assessment of fishing effort. To apportion the cumulative landing across the discrete segments of a fishing trip, a multi-step procedure was undertaken. Initially, the identification of distinct fishing segments was conducted, followed by the computation of the temporal extent dedicated to fishing activities within each segment. This quantified fishing effort was represented by the effective fishing time derived from the temporal interval between the latest and earliest instances of fishing engagements within a given segment.
Employing a weighted distribution methodology, the temporal significance of each fishing segment was systematically integrated with the quantitative landing data. This intricate approach ensured a comprehensive and just allocation of catches across the array of segments, acknowledging the unique contributions of each segment’s fishing effort [12,13,28]. The summation of temporal durations for individual segments led to the establishment of the aggregate temporal span, referred to as the ‘total time per trip.’ In a per-trip context, the allocation process proceeded as follows: A weighted share was computed for each segment, calculated as the proportion of time dedicated to fishing activities within that specific segment relative to the overall duration of the entire trip. This weighted share, when multiplied by the total landing for the trip, yielded the catch attributed to the respective segment. This method facilitated a meticulous distribution of catches, accounting for the temporal dynamics inherent to each fishing segment and thereby recognizing their unique contributions to the fishing venture. To illustrate this, consider a vessel characterized by five distinct fishing segments, each with corresponding durations of 1.5, 2.5, 3, 2, and 1 h(s), respectively. Supposing this vessel captures a total of 1000 kg of chub mackerel, the weighted distribution procedure allocates catch quantities of 150 kg, 250 kg, 300 kg, 200 kg, and 100 kg to the respective segments in accordance with their respective temporal extents.
2.4. Environmental Datasets
Marine environmental data included three environmental predictors: Sea Surface Temperature (SST, °C), Sea Surface Salinity (SSS, ‰), and current velocity (knots); two temporal variables (year and month) and two spatial variables (longitude and latitude) were used as explanatory variables in the analyses. Daily SST, SSS, and current velocity data were obtained from the sea observation buoys and stations operated by the Korea Hydrographic and Oceanographic Agency’s Badanuri Marine Information Service: http://www.khoa.go.kr/oceangrid/gis/category/reference/distribution.do (accessed on 26 January 2023) for the period of January 2019 to December 2022. Data were extracted for the regions 32° N~28° N and 124° E~132° E, which correspond to the spatial coverage of AIS data for the large purse seine fishing vessels operating in Korean waters. Environmental data were aggregated into daily data consistent with fisheries data. To align marine environmental data with fishing grounds, we utilized the Inverse Distance Weighting (IDW) interpolation method. For the environmental data situated at a considerable geographical distance from the fishing area, the IDW calculates the values of the unknown data points by considering a weighted average derived from the known data points that are distributed across the area of interest.
2.5. Data Management and Exploration
All datasets were stored and managed on a server using the PostgreSQL (v11.3.0.6295, 2023) database. Data visualization and manipulation were performed in PostgreSQL and Python (v 3.7), and subsequent analyses were performed using R software (version 4.2.3; [29]) for Windows. The ‘glm’ function from the ‘stats’ package was utilized for fitting GLMs, while the ‘gam’ function from the ‘mgcv’ package [30] was employed for fitting GAMs. To check for misreported data points and missing values, we compared spatial–temporal plots of fishing vessel activity from AIS information and information provided in logbooks, and observations with inconsistent information were filtered out. Data exploration was performed using the Cleveland dotplots and boxplots to identify and remove extreme observations from the dataset [31]. Prior to model fitting, the CPUE data underwent a logarithmic transformation to meet the assumptions of the statistical models. As CPUE data may contain zero values, a common approach in fisheries research is to add a small constant to the raw CPUE values before taking the natural logarithm [16]. This transformation helps to stabilize variance and approximate the normal distribution of the CPUE data [32]. Since our data contained zero CPUE values, we added a constant of 1 and applied a logarithmic transformation, using the transformed values as the response variable.
2.6. GLM and GAM Model Building
GLMs offer a versatile approach for CPUE standardization by modeling the relationship between CPUE and relevant predictor variables. The GLM framework allows for the incorporation of categorical and continuous predictors while accounting for different error distributions [16]. By fitting appropriate link functions, GLMs accommodate the characteristics of CPUE data, including non-normality and heteroscedasticity. This enables the estimation of standardized CPUE values, which provide a measure of fish abundance unaffected by confounding factors. However, GLMs have limitations in capturing complex relationships that may exist between CPUE and predictor variables. GAMs provide a valuable extension and allow for flexible modeling of non-linear relationships between CPUE and predictors by incorporating smooth functions. The use of smoothing techniques, such as splines or penalized regression, facilitates capturing potential non-linear patterns and interactions in the data [33,34]. GAMs can account for complex variations in CPUE that may be missed by linear models, enhancing the accuracy of standardization. The incorporation of temporal and spatial autocorrelation structures within these models further improves the accuracy of CPUE standardization by accounting for potential dependencies among observations. In the model-building process, we incorporated interaction terms to highlight relationships among temporal changes, spatial variations, and environmental influences that account for the complexities inherent in fishery dynamics and enhance our understanding of how different factors interact and influence CPUE. The interactions considered include month × SST, month × SSS, month × longitude, month × latitude, SST × longitude, SST × latitude, SST × depth, and SST × SSS. The factors and interactions used in the model building and standardization process play integral roles in chub mackerel abundance and distribution.
A GLM with a Gaussian family and the identity link function was fitted to the log-transformed CPUE data, which followed the normal distribution pattern (Figure S1). The Gaussian distribution assumes that the response variable follows a normal distribution, while the identity link function ensures that the model estimates the mean of the transformed CPUE values directly. The initial model equation was of the form:
where Log (CPUE) represents the log-transformed CPUE, φ is the intercept, ωSST is the SST effect, µSSS is the SSS effect, λdepth is the depth effect, ηcurrent velocity is the current velocity effect, γlon is the longitude effect, σlat is the latitude effect, αyear is the year effect, βmonth is the month effect, and interactions represent the interaction terms. The GLM was fitted to the data, and the best-fitting model was selected based on the lowest Akaike Information Criterion (AIC) value [35].
Log (CPUE + 1) = ωSST + µSSS + λdepth + ηcurrent velocity +
γlon + σlat + αyear + βmonth + φ + interactions
γlon + σlat + αyear + βmonth + φ + interactions
In the case of GAM analysis, a smoothing function was applied to the predictor variables using cubic regression splines. The GAM equation, with the inclusion of smooth functions, can be expressed as:
where β represents the intercept term, g(μ) represents the link function applied to the mean response, denoted as μ, and the smooth functions fⱼ() associated with the predictor variables xj, interactions represent the interaction terms, and ε represents the error term. The initial model equation was similar to the GLM approach, but with additional smoothing terms expressed as:
where s is the cubic spline smoother. The explanatory variables used in the GLM are the same as those used in the GAM.
g(μi) = β + ∑(fj(xji)) + interactions + ε
Log (CPUE + 1) = s(SST) + s (SSS) + s (depth) + s (current velocity) +
s (longitude) + s (latitude) + year + month + interactions
s (longitude) + s (latitude) + year + month + interactions
The fitted models were evaluated based on goodness-of-fit measures such as deviance and residual analysis. To assess the performance of the GLM and GAM models in standardizing CPUE, diagnostic plots and time series plots were created for the yearly mean nominal and standardized CPUE to assess annual and monthly trends in abundance. Diagnostic plots were examined to assess the adequacy of the chosen models and identify any violations of assumptions. Residual plots and normal probability plots can help identify any systematic patterns or outliers in the data that were not accounted for by the models, checking for overfitting and assessing the goodness of fit. The mutual independence of the covariates was checked by the variance inflation factor (VIF). The VIF values for all the explanatory variables were less than 10 (Table S1), indicating there was no serious multicollinearity [36,37]. Hence, all explanatory variables were passed to both the GLM and GAM models.
3. Results
3.1. GLM and GAM Model Building
The best GLM model selected all predictor variables. The order in which they were added to the model and the summary statistics associated with each explanatory variable in the best-fitting model are shown in Table 1. The variable month is the most significant and accounted for about 28% of the variance in the nominal CPUE. The variable month had the greatest explanatory power, followed by SST and year for the GLM model, which together accounted for 38.7% of the variance in the nominal CPUE, while the remaining five variables and the interaction terms accounted for only about 10% of the variance. The majority of the variance in CPUE was accounted for by integrating the eight variables into the GLM model. The addition of interaction terms only contributed an additional 6% explanation for the deviance, with the interaction between month and SST explaining 4% of this increase. The best GAM model also selected all predictor variables. Table 2 provides the summary statistics associated with each explanatory variable in the best-fitting model. Month, year, and SST were the most influential variables in the GAM model. They accounted for about 50.6% of the variance in the nominal CPUE, and the remaining variables accounted for 19.3% of the variance (Table 2). The diagnostic plots for both GLM and GAM showed that the residuals were normally distributed, indicating that the assumption of normality was not violated, and the variance of the residuals was constant over the range of the fitted values, indicating homoscedasticity (Figure S2).
Table 1.
Summary of explanatory variables for the final selected model for GLM, with their deviance explained, p-value, AIC, and R2 values.
Table 2.
Summary of explanatory variables for the final selected model for GAM, with their deviance explained, p-value, AIC, and R2 values.
3.2. Effects of Environmental Variables on CPUE from GAM
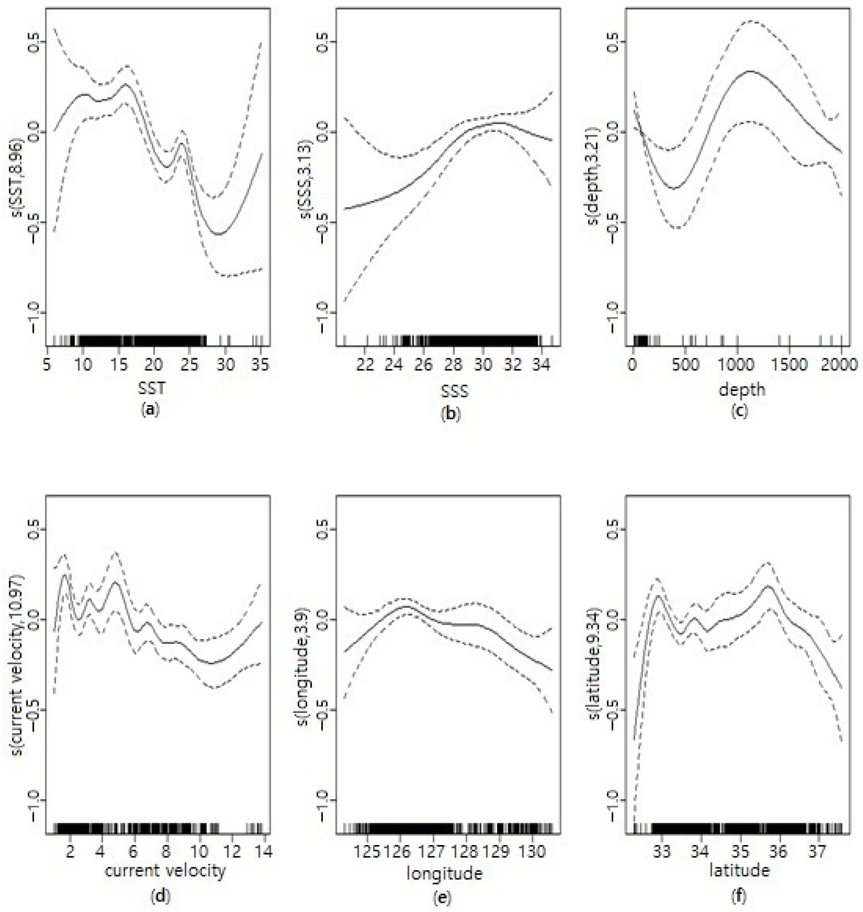
The importance of each explanatory variable, including interaction terms in the GAM model, was ranked based on the deviance explained (Table 2). The explanation of deviance by the GAM model significantly surpassed that of the GLM (21%), due to its ability to capture non-linear and intricate relationships between individual terms and CPUE, along with the consideration of interaction terms. Specifically, the GAM highlighted the importance of month-SST and month-SSS interactions in explaining chub mackerel CPUE, contributing to 6.1% and 6.2% of the variance, respectively. The effects of environmental variables on nominal CPUE with 95% confidence bands (Figure 3) indicate a non-linear relationship between these variables and chub mackerel abundance, and the rag on the x-axis indicates the relative density of points for different values. SST had a positive effect on CPUE between 6 °C and 19 °C and a negative effect between 19 °C and 35 °C. CPUE increased with SST from 6 °C, peaked at 16 °C, and declined steadily. A peak in CPUE occurred at 24°C and decreased at higher temperatures. The effect of SST greater than 27 °C is unclear, as CPUE decreased gradually to 30 °C and increased to 35 °C with wider confidence bands. Confidence bands were narrower for the SST range of 11 °C to 27 °C, which corresponds to the optimum thermal range for chub mackerel. CPUE increased with salinity from 21‰ to 32‰ and decreased gradually to 34‰. CPUE was greatest at a salinity range of 29‰ to 33‰. SSS had a negative effect on CPUE between 21‰ and 29‰ and a positive effect between 29‰ and 33.5‰. Though CPUE increased and decreased with depth beyond 100 m, these changes were unclear, as indicated by wider confidence bands. Current velocity had a positive effect on CPUE between 1.5 knots and 6 knots and a negative effect between 6 knots and 24 knots. The trend in CPUE was stable for current velocities between 2 knots and 6 knots but decreased steadily afterward.
Figure 3.
Effects of spatial and environmental variables on the chub mackerel CPUE derived from the GAM model: (a) SST, (b) SSS, (c) depth, (d) current velocity, (e) longitude, and (f) latitude. Solid lines represent effect of variables on CPUE and dashed lines represent 95% confidence limits.
Longitude had a positive effect on CPUE between 125.5° E and 127° E and a negative effect between 124° E and 125.5° E and between 127° E and 140° E. Chub mackerel CPUE increased from 124° E, peaked at 126° E, and declined steadily to 131° E. The effect of longitude on CPUE east of 127° E showed a minimum effect. Latitude had a positive effect on CPUE between 32.5° N and 33.3° N and 34.7° N and 36.2° N. While CPUE was stable between these locations, it declined to the north of 36° N. The effect of temporal variables on abundance is illustrated in Figure 4. CPUE increased within the months from July, with the greatest index recorded in December with narrower confidence bands, and decreased from January to April. CPUE increased year over year from 2019 to 2022, with the greatest index observed in 2021. A closed season is imposed on the Korean large purse seine fishery, and the landing of chub mackerel is prohibited for one month between April and June. Consequently, no CPUE was recorded for the months of May, and the increase in CPUE afterward indicates abundance associated with post-ban fishing pressure. The interannual seasonality in catch rates is seen in the monthly trend in nominal and standardized indices, indicating that CPUE peaked from summer to winter.
Figure 4.
Effects of temporal variables on the chub mackerel CPUE derived from the GAM model: (a) year, (b) month. Solid lines represent effect of variables on CPUE and dashed lines represent 95% confidence limits.
3.3. Standardized CPUE
Standardized CPUE was calculated for the GLM and GAM by standardizing the nominal CPUE for all independent variables. The standardized annual CPUE time series and the nominal CPUE time series indicated significant differences in abundance (Figure 5). The nominal CPUEs were higher than the standardized indices for all the years. Both nominal and standardized indices followed the same trend and indicated a moderate increase in abundance from 2019 to 2020 and a sharp rise in 2021, followed by a sharp decline in 2022. Both GLM and GAM standardized indices explained the peak in nominal CPUE in 2021, and all three showed that the greatest abundance occurred in 2021. The monthly nominal and standardized time series showed strong seasonal cycles. The nominal index and the GAM standardized index showed the same trend and differed moderately from the GLM standardized index between February and August. The monthly nominal and standardized time series showed strong seasonal cycles. The GLM standardized index showed a peak between February and August, which was not seen in the GAM standardized index. The nominal CPUE was higher than the standardized indices from mid-July to February for GLM and from mid-June to mid-February for GAM. Both nominal and standardized CPUE indices indicate an increasing trend since July, with the greatest abundance occurring in December.

Figure 5.
Comparison of GLM and GAM standardized CPUE index (kg per hour) with nominal CPUE as a function of time: (a) annual and (b) monthly for chub mackerel species.
The number of large purse seine fleets decreased from 24 in 2019 to 19 in 2020 due to the Korean government’s fishing vessel reduction program. Subsequently, fleet numbers remained constant until 2023. However, the catch rate was notably high in 2021, despite this trend. While catches of chub mackerel are regulated by the TAC system, the species has experienced substantial abundance fluctuations over the decades, with annual catch levels and CPUE corresponding to and following the same trend as allocated quotas [3,10]. Catch data obtained from quota allocation systems tend to bias CPUE estimates as fishing effort is concentrated before and after season and area closures, resulting in apparent abundance and high CPUES [38]. This underscores the limitation of using fishery-dependent data in CPUE analysis [39].
4. Discussion
AIS data have been pivotal in accurately characterizing fishing efforts by tracking vessel movement and fishing activities in real-time. Refs. [11,12,13] have shown how AIS data provide a comprehensive picture of fishing patterns, spatial distribution, and the association of specific fishing efforts with corresponding environmental conditions. For instance, vessels tend to concentrate in areas of favorable environmental attributes, such as optimal water temperature or nutrient-rich zones, leading to higher CPUE. Such analyses highlight the influence of marine environmental factors on fishing activities and resulting catches. The utilization of AIS data in assessing the influence of marine environmental factors on CPUE offers a wealth of spatial and temporal information that enables the exploration of fishing activity and their interactions with the marine environment, leading to valuable insights into the intricate relationships between fishing activities, environmental conditions, and catch outcomes. AIS data are enriched with information that offers a unique opportunity to merge fishing vessel trajectories with environmental variables, facilitating a more holistic understanding of how fishing activities respond to changing oceanographic parameters. Their spatial and temporal resolutions enhance understanding of the fine-scale variations in CPUE in relation to oceanographic factors by revealing intricate spatial patterns in abundance, elucidating how specific environmental niches influence fishing success. By employing these techniques, we are able to demonstrate how certain environmental variables create favorable conditions for aggregations of target species, thereby enhancing catch success.
By employing both GLM and GAM in modeling the relationship between CPUE and spatial–temporal and environmental variables, we demonstrate the robustness of these analytical methods and ensure comprehensive coverage of potential relationships, capturing linear and non-linear effects that might impact CPUE differently [16]. In this study, GLM and GAM were applied to produce standardized indices for chub mackerel accounting for associations between CPUE and environmental, spatial, and temporal variables. Both the GLM and GAM models underscored the significance (p < 0.01) of all variables in explaining CPUE variability. In their study, [40] employed GLM and GAM models to standardize the CPUE of chub mackerel in the East and Yellow Seas. Their findings indicated that temporal and spatial variables exerted highly significant influences on the CPUE of chub mackerel, with temporal factors exhibiting a more pronounced impact. Furthermore, the significance of spatial and temporal dimensions in normalizing and forecasting chub mackerel stocks has been emphasized by [41] and [42], contributing to the improved sustainability of the fishery over the long term. Our results correspond to the findings of [38], with our GLM and GAM models indicating that month is the most important factor influencing chub mackerel CPUE. Using our approach, our GAM model explained 69.9% of the variance in the nominal CPUE compared to the results from [40], where GAM explained only 27.78% of the variance in the nominal CPUE of chub mackerel. This emphasizes the potential application of vessel trajectory data in facilitating the analysis of fisheries data on finer spatial and temporal scales and in enhancing the sustenance of marine resources [12,13].
Our oceanographic variables indicate high nominal CPUE in the Tsushima/Jeju Strait, the waters around Jeju Island, and the coastal waters in the east and west corresponding to the East Sea and the Yellow Sea, consistent with large purse seine fisheries [18,40,43]. In the GLM analysis, SST was found to be the second most important factor influencing chub mackerel CPUE. The relationship between CPUE and SST revealed a non-linear trend, with positive and negative impacts observed across specific temperature ranges. CPUE was highest from 125° E to 127° E and 32.5° N to 33.5° N over an SST range of 6 °C to 28 °C. Also, chub mackerel CPUE was highest from 34.7° N to 36.2° N over the same temperature range. This is consistent with results by [40], who reported high chub mackerel CPUE in the central East China Sea over the SST range of 28 °C to 31 °C in summer and in the Yellow Sea at a temperature range of 12 °C to 16 °C in winter. The optimal thermal habitat of chub mackerel documented by [7,18,44,45,46] suggests that the high CPUE recorded at these temperatures reflects a strong correlation between CPUE and temperature, emphasizing the linkage between fishing activities and oceanographic conditions, resulting in substantial exploitation of chub mackerel habitat by the large purse seine gear [47]. The significance of SST-longitude and month-SST interactions underscores the importance of how spatial and temporal changes in temperature affect CPUE [48]. Chub mackerel is known to be well distributed in the Northwestern Pacific Ocean, with the two stocks having extensive spawning grounds in the EAMS [18,19,48,49]. The Tsushima Warm Current (TWC) stock is known to spawn in the southern part of the ECS and the Jeju/Tsushima Strait in the South Sea and East Sea (ES) [7,18,43]. Following this, the stock undergoes migrations across the ECS, Yellow Sea (YS), and the southern part of the ES [18]. Ref. [7] found hotspots of the TWC stock in the northern part of the ES related to various migration routes in response to spawning and wintering cues. Seasonal aggregations of chub mackerel resulting from feeding, spawning, and wintering migrations in the East China Sea, Yellow Sea, and South Sea influence longitudinal and latitudinal gradients in abundance. Temperatures experienced during the spawning season hold the potential to influence recruitment, encompassing the biomass of adult fish, eggs, and larvae [49,50]. This, in turn, contributes to the fluctuations observed in the overall abundance of chub mackerel.
Though the GAM model showed that current velocity was significant in explaining variations in CPUE, the effect was minimal. This observation may be due to the limited spatial extent of current velocity data obtained from sea observation buoys. Previous studies have documented the relationship between the current systems in the East Asian Marginal Seas and the long-term variations in salinity [51,52,53,54]. Regional differences in salinity have been reported due to these large-scale interactions with high salinities associated with the Kuoshio current and low salinity waters caused by the discharge and transport of diluted water from the Yangtze River. The annual surface water circulation pattern in the East China Sea is significantly influenced by interannual variations of the Yangtze (Changjiang) River, with discharges reported to flow directly towards Jeju Island with a mean speed of 21.2 cm s−1 [53,54]. Both the GLM and GAM models revealed that salinity did not have a strong effect on CPUE. The range of salinity encountered in our study is consistent with the findings of [55], where a high correlation between chub mackerel and CPUE was found for salinity ranges of 33.3 and 34.3‰. In addition, [7] reported that the variation in salinity ranges for chub mackerel in the South Sea and the East/Japan Sea has been reported to occur within the range of 31 to 35‰.
The pattern of vertical migration from shallow depths at night to greater depths during the day performed by chub mackerel, consistent with the foraging opportunity hypothesis [56,57], has been found to be exhibited by zooplankton and other mesopelagic fish that are consumed by chub mackerel [58]. For instance, the diurnal movement in Engraulis spp., a popular prey item for adult chub mackerel, is found to be present in shallow waters in spring and migrates into deeper waters in summer [59,60]. Also, the Euphausiacea, which are usually clustered with small fish like Engraulis spp. and consumed by chub mackerel, are known to inhabit depths of 0–50 m at night and migrate deeper (150–400 m) during the day [59,60]. These conditions closely align with the depths and temperatures associated with chub mackerel CPUE in our study. The GLM and GAM models showed that depth within 0 to 100 m was highly correlated with CPUE. However, in both models, the SST-depth interaction did not demonstrate significance. This lack of significance might suggest that behaviors related to depth exhibited by chub mackerel could be influenced by factors other than temperature. The timing of the ascent and descent in the migrations of prey items has been found to overlap with chub mackerel, and they vary seasonally [57]. Ref. [61] also reported seasonal variation in species composition of the stomach content of chub mackerel, with E. japonicus proportions increasing during the summer. The parallel vertical migration patterns in zooplankton and fish reveal a complex web of interactions and adaptations in relation to foraging opportunities, predator–prey interactions, and bioenergetic efficiency [56]. These variations highlight the complexity of the factors influencing their vertical movements. Even though chub mackerel have been found to utilize surface waters with low chlorophyll-a concentrations [62], high primary productivity has been found to play a significant role in determining the spatial–temporal distribution of chub mackerel [7,57]. However, chub mackerel has been shown to exhibit Short Vertical Migrations (SVM). These thermoregulated movements enable it to inhabit temperature layers that are not ideal for its physiology, potentially as a strategy to prevent excessive cooling or warming of its body temperature, indicating the existence of critical habitats in regions that are not physiologically optimal [57]. For instance, the TWC stock has been found to exhibit SVM in the western channel of the Tsushima Strait in connection with cold bottom waters with temperatures below 10 °C. These waters may serve as a conduit for the transport of organisms such as Maurolicus japonicus, which appear to be present seasonally in the Tsushima Strait, typically from late summer, and have been frequently identified in the stomachs of chub mackerel [63]. The habitat characteristics of this prey, including depth and temperature preferences, have been shown to be 140–220 m in depth and temperatures ranging from 1.5 to 14 °C [64].
Korean and Japanese purse seiners harvest chub mackerel stocks mainly in the East China Sea, Tsushima Strait, and the Sea of Japan during the winter [7,44,55], while Chinese vessels harvest them in the East China Sea and the Yellow Sea from July to December [7,43]. Chinese catches in the East China Sea and the southern part of the Sea of Japan were reported to be impacted by fishing intensity and spawning temperature suitability [18], with declines in temperatures leading to a decrease in stock recruitment. However, ref. [65] reported that density-dependent factors such as spawning stock biomass can influence the intensity of recruitment and patterns in the interannual and decadal variabilities, thereby emphasizing the need to incorporate biotic factors in estimating population parameters. The time-series plots illustrated the temporal dynamics of CPUE. The rise in CPUE from 2019 to its peak in 2021, followed by a decrease in 2022, exhibited the interplay between fishing pressures and environmental conditions. The influence of closed fishing seasons and an imposed fishing ban on chub mackerel during specific months, exemplified by the complete absence of CPUE records for May, further emphasized the link between regulatory measures and abundance trends. Post-ban landings from July to December showcased heightened fishing pressure due to increased fishing efforts (Figure S3). While this temporally sensitive relationship underscores the direct influence of regulatory measures on CPUE, restricting access areas and season-specific closures will solely contribute to managing chub mackerel on a local scale. The migratory habits of chub mackerel within the EAMS, along with multi-year and decadal changes in oceanographic elements and their interplay, require collaborative actions, considering the species’ widespread distribution across various blocks [66].
The abundance and distribution of chub mackerel are not only subjected to strong fishing effects but have been shown to be closely linked to major climate regime shifts [67,68] and latitudinal shifts of commercially exploited species in response to changes in salinity, water temperature, and dissolved oxygen [69]. These migrations influence the location and depth at which fish are harvested and their vulnerability to fishing gear [70]. Chub mackerel are known to aggregate and migrate in shoals, making them locatable regardless of high or low abundance. Therefore, catches may not accurately reflect true abundance due to species behavior and vulnerability to fishing gear [41], while the effects of temperature and salinity can differ between fishing grounds, resulting in different catchabilities [17,71]. The response of mackerel stocks to these changes and shifts, as well as the potential interference of regulatory measures in biasing CPUE estimates, hold significant implications for the management of these stocks on a regional scale.
5. Conclusions
In our study, we utilized spatial and temporal datasets to estimate CPUE, reconstructing vessel trajectories and aligning fishing records to derive fine-scale fishing effort estimates. This approach offers immense potential for refining CPUE estimation by identifying primary fishing locations and fish distribution patterns through the fusion of vessel trajectory data with logbooks, enabling analysis at finer spatial scales and opening avenues for spatial fisheries management. Significant fluctuations in catch quantities occurred distinctly in certain areas, highlighting the importance of high-quality data encompassing spatial and temporal scales to detect such changes. However, interpreting CPUE estimates requires careful consideration due to the complex interplay of factors influencing local abundance. Chub mackerel CPUE data from our study performed better with model fit compared to data from traditional methods. The correlation between chub mackerel catches and increased fishing effort emphasize the need for vessel mobility data in quantifying spatial–temporal fishing extents to provide a more realistic basis for CPUE estimation. The integration of AIS and logbook data offers enhanced spatial precision, which is crucial for assessing their impact on fishing grounds, especially where efforts concentrate. This is particularly relevant because fishermen often concentrate their efforts on hotspots. This integration significantly advances our understanding of fishing effort and catch distribution, facilitating informed decision-making in fisheries management for more sustainable practices and aligning with sustainable development goals. This study’s emphasis on the utilization of a multidisciplinary approach in addressing the effective management of chub mackerel species in Korean waters contributes to the sustainability discourse by addressing responsible resource utilization. While the TAC management system predefines target species for major fisheries, reporting catch per haul will improve the spatiotemporal resolution of catch data and enhance the estimation of CPUE for chub mackerel and other commercially important species. The results have greater relevance to the east and west coasts and the South Sea, particularly areas around Jeju Island, which is the major fishing grounds of the Korean large purse vessels. By enhancing our understanding of fishing effort and catch distribution, our study aids in identifying vulnerable marine areas, offering a comprehensive understanding of marine ecosystem impacts due to fishing activities essential for sustainable marine resource conservation. Future studies should expand these methodologies to incorporate broader temporal and spatial scales, integrating environmental and management factors for more reliable CPUE estimates.
Supplementary Materials
The following supporting information can be downloaded at: https://www.mdpi.com/article/10.3390/su16031307/s1, Figure S1: Log (CPUE) distribution of chub mackerel species from the Korean large purse seine fishery from 2019 to 2021; Table S1: Collinearity among explanatory variables using Variance Inflation Factor (VIF); Figure S2: Diagnostics plots derived from the (A) GLM and (B) GAM models; Figure S3: Monthly fishing effort of the large purse seine fishing vessels operating in Korean waters during the study period of January 2019 to December 2022; Figure S4: Yearly fishing effort of the large purse seine fishing vessels operating in Korean waters during the study period of January 2019 to December 2022.
Author Contributions
Conceptualization, S.A.O., K.-I.K., B.-Y.K. and K.-H.L.; methodology, S.A.O., K.-I.K., B.-Y.K. and K.-H.L.; software, S.A.O., K.-I.K., S.O.O. and E.-A.S.; validation, S.A.O. and K.-I.K.; formal analysis, S.A.O. and K.-I.K.; investigation, S.A.O., K.-I.K., S.O.O. and E.-A.S.; resources, S.A.O., K.-I.K., S.O.O. and E.-A.S.; data curation, S.A.O., K.-I.K., S.O.O. and E.-A.S.; writing—original draft preparation, S.A.O. and K.-I.K.; writing—review and editing, S.A.O. and K.-I.K.; visualization, S.A.O., K.-I.K., S.O.O. and E.-A.S.; supervision, K.-I.K., B.-Y.K. and K.-H.L.; project administration, K.-I.K., B.-Y.K. and K.-H.L.; funding acquisition, K.-I.K., B.-Y.K. and K.-H.L. All authors have read and agreed to the published version of the manuscript.
Funding
This study was supported by the National Research Foundation of Korea (NRF) grant funded by the Korean government (MSIT) (No. 2021R1C1C1013773) and was a part of the project titled “Development of AI Based Smart Fisheries Management System (20210499),” which is funded by the Ministry of Oceans and Fisheries, Korea, and supported by “Regional Innovation Strategy (RIS)” through the National Research Foundation of Korea (NRF) funded by the Ministry of Education (MOE) (2023RIS-009).
Institutional Review Board Statement
Not applicable.
Informed Consent Statement
Not applicable.
Data Availability Statement
Data are contained within the article and Supplementary Materials.
Conflicts of Interest
The authors declare no conflicts of interest.
References
- Ryu, J.G.; Nam, J.; Gates, J.M. Limitations of the Korean conventional fisheries management regime and expanding Korean TAC system toward output control systems. Mar. Policy 2006, 30, 510–522. [Google Scholar] [CrossRef]
- Kim, H.; Kang, H.; Zhang, C.I.; Seo, Y.I. Risk-based fisheries assessment considering spatio-temporal component for Korean waters. Ocean Coast. Manag. 2020, 192, 105209. [Google Scholar] [CrossRef]
- Korea Fisheries Resources Agency. 2022. Available online: https://www.fira.or.kr/fira/fira_030601.jsp (accessed on 25 November 2022).
- Ministry of Oceans and Fisheries. Master Plan for Ocean and Fisheries Development (2021–2030). 2023. Available online: https://www.mof.go.kr/ (accessed on 4 March 2023).
- Ameerbakhsh, O.; Maharaj, S.; Hussain, A.; McAdam, B. A comparison of two methods of using a serious game for teaching marine ecology in a university setting. Int. J. Hum.-Comput. Stud. 2019, 127, 181–189. [Google Scholar] [CrossRef]
- Adibi, P.; Pranovi, F.; Raffaetà, A.; Russo, E.; Silvestri, C.; Simeoni, M.; Soares, A.; Matwin, S. Predicting Fishing Effort and Catch Using Semantic Trajectories and Machine Learning. In Multiple-Aspect Analysis of Semantic Trajectories. MASTER 2019; Lecture Notes in Computer Science; Tserpes, K., Renso, C., Matwin, S., Eds.; Springer: Cham, Switzerland, 2020; Volume 11889. [Google Scholar] [CrossRef]
- Murray, L.G.; Hinz, H.; Hold, N.; Kaiser, M.J. The effectiveness of using CPUE data derived from Vessel Monitoring Systems and fisheries logbooks to estimate scallop biomass. ICES J. Mar. Sci. 2013, 70, 1330–1340. [Google Scholar] [CrossRef]
- Gerritsen, H.; Lordan, C. Integrating vessel monitoring systems (VMS) data with daily catch data from logbooks to explore the spatial distribution of catch and effort at high resolution. ICES J. Mar. Sci. 2011, 68, 245–252. [Google Scholar] [CrossRef]
- Allen-Jacobson, L.M.; Jones, A.W.; Mercer, A.J.; Cadrin, S.X.; Galuardi, B.; Christel, D.; Silva, A.; Lipsky, J.; Haugen, J.B. Evaluating Potential Impacts of Offshore Wind Development on Fishing Operations by Com-paring Fine-and Coarse-Scale Fishery-Dependent Data. Mar. Coast. Fish. 2023, 15, e10233. [Google Scholar] [CrossRef]
- Owiredu, S.A.; Kim, K.-I. Spatio-Temporal Fish Catch Assessments Using Fishing Vessel Trajectories and Coastal Fish Landing Data from around Jeju Island. Sustainability 2021, 13, 13841. [Google Scholar] [CrossRef]
- Maunder, M.N.; Punt, A.E. Standardizing catch and effort data: A review of recent approaches. Fish. Res. 2004, 70, 141–159. [Google Scholar] [CrossRef]
- Brodziak, J.; Walsh, W.A. Model selection and multimodel inference for standardizing catch rates of by-catch species: A case study of oceanic whitetip shark in the Hawaii-based longline fishery. Can. J. Fish. Aquat. Sci. 2013, 70, 1723–1740. [Google Scholar] [CrossRef]
- Kim, D.H.; Kim, D.J.; Yoon, S.J.; Hwang, H.G.; Kim, E.O.; Son, S.G.; Kim, J.K. Development of the eggs, larvae and juveniles by artificially matured pacific mackerel, Scomber japonicus in the Korean waters. Korean J. Fish. Aquat. Sci. 2008, 41, 471–477. [Google Scholar] [CrossRef]
- Lee, D.; Son, S.; Kim, W.; Park, J.M.; Joo, H.; Lee, S.H. Spatio-temporal variability of the habitat suitability index for Chub mackerel (Scomber japonicus) in the East/Japan sea and the South Sea of South Korea. Remote Sens. 2018, 10, 938. [Google Scholar] [CrossRef]
- Kim, S.; Kang, S. Ecological variations and El Niño effects off the southern coast of the Korean Peninsula during the last three decades. Fish. Oceanogr. 2000, 9, 239–247. [Google Scholar] [CrossRef]
- Cha, H.; Choi, Y.; Park, J.; Kim, J.; Sohn, M. Maturation and spawning of the chub mackerel Scomber japonicus (Houttuyn, 1782) in Korean waters. J. Korean Soc. Fish. Res. 2002, 5, 24–33. [Google Scholar]
- KOSIS. Korean Statistical Information System. 2022. Available online: https://kosis.kr/statisticsList/ (accessed on 19 February 2023).
- Wang, L.; Ma, S.; Liu, Y.; Li, J.; Sun, D.; Tian, Y. Climate-induced variation in a temperature suitability index of chub mackerel in the spawning season and its effect on the abundance. Front. Mar. Sci. 2022, 9, 996626. [Google Scholar] [CrossRef]
- Jung, K.M.; Kim, H.; Kang, S. A study of growth and age structure for chub mackerel, Scomber japonicus caught by a large purse seine in the Korean waters. Korean J. Ichthyol. 2021, 33, 64–73. [Google Scholar] [CrossRef]
- Na, H.; Kim, K.Y.; Chang, K.I.; Kim, K.; Yun, J.Y.; Minobe, S. Interannual variability of the Korea Strait Bottom Cold Water and its relationship with the upper water temperatures and atmospheric forcing in the Sea of Japan (East Sea). J. Geophys. Res. Ocean. 2010, 115, C09031. [Google Scholar] [CrossRef]
- Han, H.; Yang, C.; Jiang, B.; Shang, C.; Sun, Y.; Zhao, X.; Xiang, D.; Zhang, H.; Shi, Y. Construction of chub mackerel (Scomber japonicus) fishing ground prediction model in the northwestern Pacific Ocean based on deep learning and marine environmental variables. Mar. Pollut. Bull. 2023, 193, 115158. [Google Scholar] [CrossRef]
- Cho, Y.K.; Kim, K. Structure of the Korea Strait Bottom Cold Water and its seasonal variation in 1991. Cont. Shelf Res. 1998, 18, 791–804. [Google Scholar] [CrossRef]
- Watanabe, C.; Yatsu, A.; Watanabe, Y. Changes in Growth with Fluctuation of Chub Mackerel Abundance in the Pacific Waters off Central Japan from 1970 to 1997; PICES-GLOBEC International Program on Climate Change and Carrying Capacity; North Pacific Marine Science Organization (PICES): Sidney, BC, Canada, 2002; p. 60. [Google Scholar]
- Yukami, R.; Ohshimo, S.; Yoda, M.; Hiyama, Y. Estimation of the spawning grounds of chub mackerel Scomber japonicus and spotted mackerel Scomber australasicus in the East China Sea based on catch statistics and biometric data. Fish. Sci. 2009, 75, 167–174. [Google Scholar] [CrossRef]
- Kamimura, Y.; Takahashi, M.; Yamashita, N.; Watanabe, C.; Kawabata, A. Larval and juvenile growth of chub mackerel Scomber japonicus in relation to recruitment in the western North Pacific. Fish. Sci. 2015, 81, 505–513. [Google Scholar] [CrossRef]
- Lee, S.J.; Kim, J.B.; Han, S.H. Distribution of mackerel, Scomber japonicus eggs and larvae in the coast of Jeju Island, Korea in spring. J. Korean Soc. Fish. Ocean Technol. 2016, 52, 121–129. [Google Scholar] [CrossRef]
- Hwang, S.D.; Kim, J.Y.; Lee, T.W. Age, growth, and maturity of Chub Mackerel off Korea. N. Am. J. Fish. Manag. 2008, 28, 1414–1425. [Google Scholar] [CrossRef]
- Li, G.; Lu, Z.; Cao, Y.; Zou, L.; Chen, X. CPUE Estimation and Standardization Based on VMS: A Case Study for Squid-Jigging Fishery in the Equatorial of Eastern Pacific Ocean. Fishes 2023, 8, 2. [Google Scholar] [CrossRef]
- R Development Core Team. R: A Language and Environment for Statistical Computing; R Foundation for Statistical Computing: Vienna, Austria, 2023; Available online: http://www.R-project.org (accessed on 2 February 2023).
- Wood, S.; Wood, M.S. Package ‘mgcv’, R Package Version; 2015, Volume 1, p. 729.
- Zuur, A.F.; Ieno, E.N.; Smith, G.M. Analysing Ecological Data; Springer: New York, NY, USA, 2007; Volume 680. [Google Scholar] [CrossRef]
- Zuur, A.F.; Ieno, E.N.; Elphick, C.S. A protocol for data exploration to avoid common statistical problems. Methods Ecol. Evol. 2010, 1, 3–14. [Google Scholar] [CrossRef]
- Marra, G.; Wood, S.N. Practical variable selection for generalized additive models. Comput. Statis-Tics Data Anal. 2011, 55, 2372–2387. [Google Scholar] [CrossRef]
- Wood, S.N. Low-rank scale-invariant tensor product smooths for generalized additive mixed models. Biometrics 2006, 62, 1025–1036. [Google Scholar] [CrossRef]
- Burnham, K.P.; Anderson, D.R. Multimodel inference: Understanding AIC and BIC in model selection. Sociol. Methods Res. 2002, 33, 261–304. [Google Scholar] [CrossRef]
- Shi, Y.; Zhang, X.; Yang, S.; Dai, Y.; Cui, X.; Wu, Y.; Zhang, S.; Fan, W.; Han, H.; Zhang, H.; et al. Construction of CPUE standardization model and its simulation testing for chub mackerel (Scomber japonicus) in the Northwest Pacific Ocean. Ecol. Indic. 2023, 155, 111022. [Google Scholar] [CrossRef]
- O’Brien, R.M. A caution regarding rules of thumb for variance inflation factors. Qual. Quant. 2007, 41, 673–690. [Google Scholar] [CrossRef]
- Joseph, J. Management of tropical tunas in the eastern Pacific Ocean. Trans. Am. Fish. Soc. 1970, 99, 629–648. [Google Scholar] [CrossRef]
- Maunder, M.N.; Sibert, J.R.; Fonteneau, A.; Hampton, J.; Kleiber, P.; Harley, S.J. Interpreting catch per unit effort data to assess the status of individual stocks and communities. ICES J. Mar. Sci. 2006, 63, 1373–1385. [Google Scholar] [CrossRef]
- Li, G.; Chen, X.J.; Tian, S.Q. CPUE standardization of chub mackerel (Scomber japonicus) for Chinese large lighting purse seine fishery in the East China Sea and Yellow Sea. JFC 2009, 33, 1050–1059. [Google Scholar] [CrossRef]
- Fan, X.; Tang, F.; Cui, X.; Yang, S.; Zhu, W.; Huang, L. Habitat suitability index for chub mackerel (Scomber japonicus) in the Northwest Pacific Ocean. Haiyang Xuebao 2020, 42, 34–43. [Google Scholar] [CrossRef]
- Wu, S.; Chen, X.; Liu, Z. Establishment of forecasting model of the abundance index for chub mackerel (Scomber japonicus) in the northwest Pacific Ocean based on GAM. Haiyang Xuebao 2019, 41, 36–42. [Google Scholar] [CrossRef]
- Yu, W.; Guo, A.; Zhang, Y.; Chen, X.; Qian, W.; Li, Y. Climate-induced habitat suitability variations of chub mackerel Scomber japonicus in the East China Sea. Fish. Res. 2018, 207, 63–73. [Google Scholar] [CrossRef]
- Kurota, T.; Yoda, M.; Suzuki, K.; Takegaki, S.; Sassa, C.; Takahashi, M. Stock assessment and evaluation for Tsushima current stock of chub mackerel (fiscal year 2017/2018). In Marine Fisheries Stock Assessment and Evalu-Ation for Japanese Waters (Fiscal Year 2017/2018); Fisheries Agency and Fisheries Research Agency of Japan: Tokyo, Japan, 2018; pp. 201–237. [Google Scholar]
- Go, S.; Lee, K.; Jung, S. A temperature-dependent growth equation for larval chub mackerel (Scomber japonicus). Ocean Sci. J. 2020, 55, 157–164. [Google Scholar] [CrossRef]
- Gilbert, C.S.; Gentleman, W.C.; Johnson, C.L.; DiBacco, C.; Pringle, J.M.; Chen, C. Modelling dispersal of sea scallop (Placopecten magellanicus) larvae on Georges Bank: The influence of depth-distribution, planktonic duration and spawning seasonality. Prog. Oceanogr. 2010, 87, 37–48. [Google Scholar] [CrossRef]
- Bigelow, K.A.; Boggs, C.H.; He, X.I. Environmental effects on swordfish and blue shark catch rates in the US North Pacific longline fishery. Fish. Oceanogr. 1999, 8, 178–198. [Google Scholar] [CrossRef]
- Hong, J.B.; Kim, D.Y.; Kim, D.H. Stock Assessment of Chub Mackerel (Scomber japonicus) in the Northwest Pacific Ocean Based on Catch and Resilience Data. Sustainability 2022, 15, 358. [Google Scholar] [CrossRef]
- Li, G.; Chen, X.; Lei, L.; Guan, W. Distribution of hotspots of chub mackerel based on remote-sensing data in coastal waters of China. Int. J. Remote Sens. 2014, 35, 4399–4421. [Google Scholar] [CrossRef]
- Hiyama, Y.; Yoda, M.; Ohshimo, S. Stock size fluctuations in chub mackerel (Scomber japonicus) in the East China Sea and the Japan/East Sea. Fish. Oceanogr. 2002, 11, 347–353. [Google Scholar] [CrossRef]
- Takasuka, A.; Oozeki, Y.; Kubota, H. Multi-species regime shifts reflected in spawning temperature optima of small pelagic fish in the western North Pacific. Mar. Ecol. Prog. Ser. 2008, 360, 211–217. [Google Scholar] [CrossRef]
- Jung, H.K.; Rahman, S.M.; Kang, C.K.; Park, S.Y.; Lee, S.H.; Park, H.J.; Kim, H.W.; Lee, C.I. The influence of climate regime shifts on the marine environment and ecosystems in the East Asian Marginal Seas and their mechanisms. Deep Sea Res. Part II Top. Stud. Oceanogr. 2017, 143, 110–120. [Google Scholar] [CrossRef]
- Ichikawa, H.; Beardsley, R.C. The current system in the Yellow and East China Seas. J. Ocean. Raphy 2002, 58, 77–92. [Google Scholar] [CrossRef]
- Lin, K.; Guo, B.; Tang, Y. An analysis on observational surface current in the Yellow Sea and the East China Sea. In Proceedings of the 11th PAMS/JECSS Workshop, Cheju, Republic of Korea, 11–13 April 2001; pp. 67–71. [Google Scholar]
- Chen, X.; Li, G.; Feng, B.; Tian, S. Habitat suitability index of Chub mackerel (Scomber japonicus) from July to September in the East China Sea. J. Oceanogr. 2009, 65, 93–102. [Google Scholar] [CrossRef]
- Yoon, S.J.; Kim, D.H.; Baeck, G.W.; Kim, J.W. Feeding habits of chub mackerel (Scomber japonicus) in the South Sea of Korea. J. Korean Fish. Soc. 2008, 41, 26–31. [Google Scholar] [CrossRef]
- Scheuerell, M.D.; Schindler, D.E. Diel vertical migration by juvenile sockeye salmon: Empirical evidence for the antipredation window. Ecology 2003, 84, 1713–1720. [Google Scholar] [CrossRef]
- Ohshimo, S.; Tanaka, H.; Nishiuchi, K.; Yasuda, T. Trophic positions and predator–prey mass ratio of the pelagic food web in the East China Sea and Sea of Japan. Mar. Freshw. Res. 2015, 67, 1692–1699. [Google Scholar] [CrossRef]
- Beardsley, R.C.; Limeburner, R.; Yu, H.; Cannon, G.A. Discharge of the Changjiang into the East China sea. Cont. Shelf Res. 1985, 4, 57–76. [Google Scholar] [CrossRef]
- Sogawa, S.; Sugisaki, H.; Saito, H.; Okazaki, Y.; Ono, T.; Shimode, S.; Kikuchi, T. Seasonal and regional change in vertical distribution and diel vertical migration of four euphausiid species (Euphausia pacifica, Thysa-noessa inspinata, T. longipes, and Tessarabrachion oculatum) in the northwestern Pacific. Deep. Sea Res. Part I Oceanogr. Res. Pap. 2016, 109, 1–9. [Google Scholar] [CrossRef]
- Nakatsuka, S.; Kawabata, A.; Takasuka, A.; Kubota, H.; Okamura, H.; Oozeki, Y. Estimating gastric evacuation rate and daily ration of chub mackerel and spotted mackerel in the Kuroshio-Oyashio transition and Oyashio regions. Bull. Jpn. Soc. Fish. Oceanogr. 2010, 74, 105–117. [Google Scholar]
- Kodama, T.; Wagawa, T.; Ohshimo, S.; Morimoto, H.; Iguchi, N.; Fukudome, K.I.; Goto, T.; Takahashi, M.; Yasuda, T. Improvement in recruitment of Japanese sardine with delays of the spring phytoplankton bloom in the Sea of Japan. Fish. Oceanogr. 2018, 27, 289–301. [Google Scholar] [CrossRef]
- Okiyama, M. Early life history of the gonostomatid fish, Maurolicus muelleri (Gmelin), in the Japan Sea. Bull. Jpn. Sea Reg. Fish. Res. Lab. 1971, 23, 21–53. [Google Scholar]
- Fujino, T.; Miyashita, K.; Aoki, I.; Masuda, S.; Uji, R.; Shimura, T. Acoustic identification of scattering layer by Maurolicus japonicus around the Oki Islands, Sea of Japan. Nippon. Suisan Gakkaishi 2005, 71, 947–956. [Google Scholar] [CrossRef][Green Version]
- Furuichi, S.; Yasuda, T.; Kurota, H.; Yoda, M.; Suzuki, K.; Takahashi, M.; Fukuwaka, M.A. Disentangling the effects of climate and density-dependent factors on spatiotemporal dynamics of Japanese sardine spawn-ing. Mar. Ecol. Prog. Ser. 2020, 633, 157–168. [Google Scholar] [CrossRef]
- Yasuda, T.; Yukami, R.; Ohshimo, S. Fishing ground hotspots reveal long-term variation in chub mackerel Scomber japonicus habitat in the East China Sea. Mar. Ecol. Prog. Ser. 2014, 501, 239–250. [Google Scholar] [CrossRef]
- Kim, S.; Zhang, C.I.; Kim, J.Y.; Oh, J.H.; Kang, S.; Lee, J.B. Climate variability and its effects on major fisheries in Korea. Ocean. Sci. J. 2007, 42, 179–192. [Google Scholar] [CrossRef]
- Gong, Y.; Suh, Y.; Seong, K.; Han, I. Climate Change and Marine Ecosystem; Academy Books Press: Seoul, Republic of Korea, 2010; pp. 181–186. [Google Scholar]
- Jung, S.; Pang, I.C.; Lee, J.H.; Choi, I.; Cha, H.K. Latitudinal shifts in the distribution of exploited fishes in Korean waters during the last 30 years: A consequence of climate change. Rev. Fish Biol. Fish. 2014, 24, 443–462. [Google Scholar] [CrossRef]
- Bigelow, K.; Maunder, M.; Hinton, M. Comparison of deterministic and statistical habitat-based models to estimate effective longline effort and standardized CPUE for bigeye and yellowfin tuna. In Proceedings of the 16th meeting of the Standing Committee on Tuna and Billfish, Mooloolaba, Australia, 9–16 July 2003. 16p. [Google Scholar]
- Yatsu, A.; Watanabe, T.; Ishida, M.; Sugisaki, H.; Jacobson, L.D. Environmental effects on recruitment and productivity of Japanese sardine Sardinops melanostictus and chub mackerel Scomber japonicus with recommendations for management. Fish. Oceanogr. 2005, 14, 263–278. [Google Scholar] [CrossRef]
Disclaimer/Publisher’s Note: The statements, opinions and data contained in all publications are solely those of the individual author(s) and contributor(s) and not of MDPI and/or the editor(s). MDPI and/or the editor(s) disclaim responsibility for any injury to people or property resulting from any ideas, methods, instructions or products referred to in the content. |
© 2024 by the authors. Licensee MDPI, Basel, Switzerland. This article is an open access article distributed under the terms and conditions of the Creative Commons Attribution (CC BY) license (https://creativecommons.org/licenses/by/4.0/).





