The Content and Stratification of SOC and Its Humified Fractions Using Different Soil Tillage and Inter-Cropping
Abstract
1. Introduction
2. Materials and Methods
2.1. Study Site Description
2.2. Experiment Design and Soil Sampling
2.3. Methods of Analyses
2.4. Statistical Analysis
3. Results
3.1. Changes in the Content and Stratification of SOC
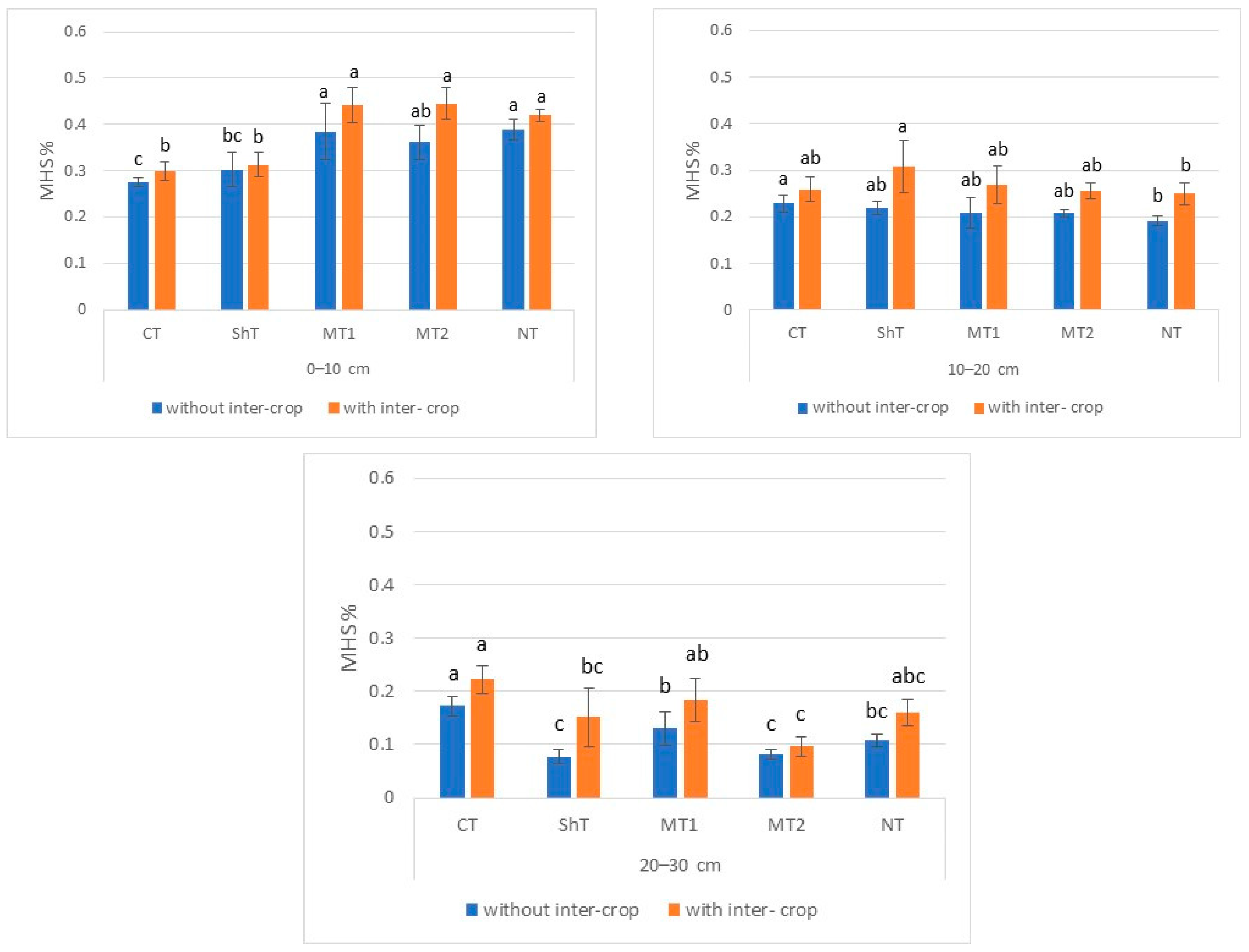
3.2. Changes in Mobile Humic Substances of the Soil
4. Discussion
5. Conclusions
Author Contributions
Funding
Institutional Review Board Statement
Informed Consent Statement
Data Availability Statement
Acknowledgments
Conflicts of Interest
References
- Bernoux, M.; Cerri, C.E.P. Geochemistry. Soil, Organic Components. In Encyclopedia of Analytical Science, 2nd ed.; Worsfold, P., Townshend, A., Poole, C., Eds.; Elsevier: Amsterdam, The Netherlands, 2005; pp. 203–208. [Google Scholar]
- Shamshitov, A.; Decorosi, F.; Viti, C.; Fornasier, F.; Kadžienė, G.; Supronienė, S. Characterisation of Cellulolytic Bacteria Isolated from Agricultural Soil in Central Lithuania. Sustainability 2023, 15, 598. [Google Scholar] [CrossRef]
- Chevallier, T.; Hamdi, S.; Gallali, T.; Brahim, N.; Cardinel, R.; Bou nouara, Z.; Cournac, L.; Chenu, C.; Bernoux, M. Soil car bon as an indicator of Mediterranean soil quality. In The Mediterranean Region under Climate Change: A Scientific Update “Sub-Chapter 3.5.3”; Moatti, J.P., Thiébault, S., Eds.; National Alliance for Environmental Research: Marseille, French, 2016; pp. 627–636. [Google Scholar]
- Tayebi, M.; Fim Rosas, J.T.; Mendes, W.d.S.; Poppiel, R.R.; Ostovari, Y.; Ruiz, L.F.C.; dos Santos, N.V.; Cerri, C.E.P.; Silva, S.H.G.; Curi, N.; et al. Drivers of organic car bon stocks in different LULC history and along soil depth fora 30 years image time series. Remote Sens. 2021, 13, 2223. [Google Scholar] [CrossRef]
- Wiesmeier, M.; Urbanski, L.; Hobley, E.; Lang, B.; Von Lutzow, M.; Ma rin-Spiotta, E.; Van Wasemael, B.; Rabot, E.; Liess, M.; Garcia-Franco, N.; et al. Soil or ganic carbon storage as a key function of soils—A review of drivers and indicators at various scales. Geoderma 2019, 333, 149–169. [Google Scholar] [CrossRef]
- Pavlů, L.; Kodešová, R.; Fér, M.; Nikodem, A.; Němec, F.; Prokeš, R. The impact of various mulch types on soil properties controlling water regime of the Haplic Fluvisol. Soil Till. Res. 2021, 205, 104748. [Google Scholar] [CrossRef]
- Pavlů, L.; Kodešová, R.; Vašát, R.; Fér, M.; Klement, A.; Niko dem, A.; Kapička, A. Estimation of the stability of topsoil aggregates in areas affected by water erosion using selected soil and terrain properties. Soil Till. Res. 2022, 219, 105348. [Google Scholar] [CrossRef]
- Mohinuzzaman, M.; Yuan, J.; Yang, X.; Senesi, N.; Li, S.L.; Ellam, R.M.; Mostofa, K.M.G.; Liu, C.Q. Insights into solubility of soil humic substances and their fluorescence characterisation in three characteristic soils. Sci. Total Environ. 2020, 720, 137395. [Google Scholar] [CrossRef] [PubMed]
- Aleksandrova, L.N.; Naidenova, O.A. Laboratory Praxis in Soil Science; Kolos: Leningrad, Russia, 1976; p. 294. [Google Scholar]
- Nardi, S.; Schiavon, M.; Francioso, O. Chemical Structure and Biological Activity of Humic Substances Define Their Role as Plant Growth Promoters. Molecules 2021, 26, 2256. [Google Scholar] [CrossRef]
- Kelleher, B.P.; Simpson, A.J. Humic Substances in Soils: Are They Really Chemically Distinct? Environ Sci Technol. 2006, 40, 4605–4611. [Google Scholar] [CrossRef]
- Swift, R.S. Organic matter characterization. In Methods of Soil Analysis. Part 3: Chemical Methods, 5th ed.; Sparks, D.L., Page, A.L., Helmke, P.A., Eds.; Soil Science Society of America and American Society of Agronomy: Madison, WI, USA, 1996; pp. 1011–1069. [Google Scholar]
- Ikeya, K.; Watanabe, A. Direct expression of an index for the degree of humification of humic acids using organic carbon concentration. Soil Sci. Plant Nutr. 2003, 49, 47–53. [Google Scholar] [CrossRef]
- Kleber, M.; Lehmann, J. Humic substances extracted by alkali are invalid proxies for the dynamics and functions of organic matter in terrestrial and aquatic ecosystems. J. Environ. Qual. 2019, 48, 207. [Google Scholar] [CrossRef]
- Rakesh, S.; Sarkar, D.; Shikha; Sankar, A.; Sinha, A.K.; Mukhopadhyay, P.; Rakshit, A. Protocols for determination and evaluation of organic carbon pools in soils developed under contrasting pedogenic processes and subjected to varying management situations. In Soil Analysis: Recent Trends and Applications; Rakshit, A., Ghosh, S., Chakraborty, S., Philip, V., Datta, A., Eds.; Springer: Singapore, 2020; pp. 87–105. [Google Scholar]
- Ramesh, T.; Bolan, N.S.; Kirkham, M.B.; Wijesekara, H.; Kanchikerimath, M.; Srinivasa Rao, C.; Sandeep, S.; Rinklebe, J.; Ok, Y.S.; Choudhury, B.U.; et al. Soil Organic Carbon Dynamics: Impact of Land Use Changes and Management Practices: A Review. In Advances in Agronomy; Academic Press: Cambridge, MA, USA, 2019; Volume 156, pp. 1–107. [Google Scholar]
- Inagaki, T.M.; Possinger, A.R.; Grant, K.E.; Schweizer, S.A.; Mueller, C.W.; Derry, L.A.; Kögel-Knabner, I. Subsoil organo-mineral associations under contrasting climate conditions. Geochim. Cosmochim. Acta 2020, 270, 244–263. [Google Scholar] [CrossRef]
- Guo, Y.F.; Fan, R.Q.; Zhang, X.P.; Zhang, Y.; Wu, D.H.; McLaughlin, N.; Zhang, S.X.; Chen, X.W.; Jia, S.X.; Liang, A.Z. Tillage-induced effects on SOC through changes in aggregate stability and soil pore structure. Sci. Total Environ. 2019, 703, 134617. [Google Scholar] [CrossRef] [PubMed]
- Babu, S.; Singh, R.; Avasthe, R.; Kumar, S.; Rathore, S.S.; Singh, V.K.; Ansari, M.A.; Valente, D.; Petrosillo, I. Soil carbon dynamics under organic farming: Impact of tillage and cropping diversity. Ecol. Indic. 2023, 147, 109940. [Google Scholar] [CrossRef]
- Kunlanit, B.; Butnan, S.; Vityakon, P. Land–Use Changes Influencing C Sequestration and Quality in Topsoil and Subsoil. Agronomy 2019, 9, 520. [Google Scholar] [CrossRef]
- IPCC. Agriculture, forestry and other land use. In IPCC Guidelines for National Greenhouse Gas Inventories 2006; Eggleston, H.S., Buendia, L., Miwa, K., Ngara, T., Tanabe, K., Eds.; IGES: Hayama, Japan, 2006. [Google Scholar]
- Veršulienė, A.; Kadžienė, G.; Kochiieru, M.; Pranaitienė, S.; Meškauskienė, L.; Auškalnienė, O. Response of spring barley root and soil physical properties to changes under cover crop and different tillage. Zemdirbyste 2022, 109, 291–296. [Google Scholar] [CrossRef]
- Bhattacharyya, S.S.; Leite, F.F.G.D.; France, C.L.; Adekoya, A.O.; Ros, G.H.; de Vries, W.; Melchor-Martínez, E.M.; Iqbal, H.M.N.; Parra-Saldívar, R. Soil Carbon Sequestration, Greenhouse Gas Emissions, and Water Pollution under Different Tillage Practices. Sci. Total Environ. 2022, 826, 154161. [Google Scholar] [CrossRef] [PubMed]
- Doyeni, M.O.; Suproniene, S.; Versuliene, A.; Kadziene, G. Influence of long-term application of management practices (tillage, cover crop and glyphosate) on greenhouse gas emissions and soil physical properties. Plants 2023, submitted.
- Hu, L.; Huang, R.; Deng, H.; Li, K.; Peng, J.; Zhou, L.; Ou, H. Effects of Different Intercropping Methods on Soil Organic Carbon and Aggregate Stability in Sugarcane Field. Pol. J. Environ. Stud. 2022, 31, 3587–3596. [Google Scholar] [CrossRef]
- Prudil, J.; Pospíšilová, L.; Dryšlová, T.; Barančíková, G.; Smutný, V.; Sedlák, L.; Ryant, P.; Hlavinka, P.; Trnka, M.; Halas, J.; et al. Assessment of carbon sequestration as affected by different management practices using the RothC model. Plant Soil Environ. 2023, 69, 532–544. [Google Scholar] [CrossRef]
- Franzluebbers, A.J. Soil organic matter stratification ratio as an indicator of soil quality. Soil Till. Res. 2002, 66, 95–106. [Google Scholar] [CrossRef]
- Kucharik, C.J.; Brye, K.R.; Norman, J.M.; Foley, J.A.; Gower, S.T.; Bundy, L.G. Measurements and modeling of carbon and nitrogen cycling in agroecosystems of southern Wisconsin: Potential for SOC sequestration during the next 50 years. Ecosystems 2001, 4, 237–258. [Google Scholar] [CrossRef]
- Haddaway, N.R.; Hedlund, K.; Jackson, L.E.; Kätterer, T.; Lugato, E.; Thomsen, I.K.; Jørgensen, H.B.; Isberg, P.E. How does tillage intensity affect soil organic carbon? A systematic review. Environ. Evid. 2017, 6, 30. [Google Scholar] [CrossRef]
- Yu, Z.; Lu, C.; Hennessy, D.A.; Feng, H.; Tian, H. Impacts of tillage practices on soil carbon stocks in the US corn-soybean cropping system during 1998 to 2016. Environ. Res. Lett. 2020, 15, 014008. [Google Scholar] [CrossRef]
- Sartori, F.; Piccoli, I.; Polese, R.; Berti, A. A multivariate approach to evaluate reduced tillage systems and cover crop sustainability. Land 2021, 11, 55. [Google Scholar] [CrossRef]
- Kottek, M.; Grieser, J.; Beck, C.; Rudolf, B.; Rubel, F. World Map of the Köppen-Geiger climate classification updated. Meteorolog. Z. 2006, 15, 259–263. [Google Scholar] [CrossRef]
- Kavaliauskas, A.; Žydelis, R.; Castaldi, F.; Auškalnienė, O.; Povilaitis, V. Predicting Maize Theoretical Methane Yield in Combination with Ground and UAV Remote Data Using Machine Learning. Plants 2023, 12, 1823. [Google Scholar] [CrossRef]
- IUSS Working Group WRB. World Reference Base for Soil Resources. International Soil Classification System for Naming SOILS and Creating Legends for Soil Maps, 4th ed.; International Union of Soil Sciences (IUSS): Vienna, Austria, 2022; Available online: https://www.isric.org/sites/default/files/WRB_fourth_edition_2022-12-18.pdf (accessed on 6 December 2023).
- Nikitin, B.A. A method for soil humus determination. Agric. Chem. 1999, 3, 156–158. [Google Scholar]
- Ponomareva, V.V.; Plotnikova, T.A. Humus and Soil Formation; Nauka: Leningrad, Russia, 1980; p. 220. [Google Scholar]
- Lal, R. Global Potential of Soil Carbon Sequestration to Mitigate the Greenhouse Effect. Crit. Rev. Plant Sci. 2003, 22, 151–184. [Google Scholar] [CrossRef]
- Poeplau, C.; Don, A. Carbon sequestration in agricultural so ils via cultivation of cover-crops. A meta-analysis. Agric. Ecosys. Environ. 2015, 200, 33–41. [Google Scholar] [CrossRef]
- Valkama, E.; Kunypiyaeva, G.; Zhapayev, R.; Karabayev, M.; Zhusupbekov, E.; Perego, A.; Schillaci, C.; Sacco, D.; Moretti, B.; Grignani, C.; et al. Can conservation agriculture in crease soil carbon sequestration? A modelling approach. Geoderma 2020, 369, 114298. [Google Scholar] [CrossRef]
- Seitz, D.; Fischer, L.; Dechow, R.; Wiesmeier, M.; Don, A. The potential of cover crops to increase soil organic carbon storage in German croplands. Plant Soil 2022, 488, 157–173. [Google Scholar] [CrossRef]
- Arlauskiene, A.; Maiksteniene, S. The effect of cover crop and straw applied for manuring on spring barley yield and agrochemical soil properties. Zemdirbyste 2010, 97, 61–72. [Google Scholar]
- Olk, D.C.; Bloom, P.R.; De Nobili, M.; Chen, Y.; McKnight, D.M.; Wells, M.J.M.; Weber, J. Using Humic Fractions to Understand Natural Organic Matter Processes in Soil and Water: Selected Studies and Applications. J. Environ. Qual. 2019, 48, 1633–1643. [Google Scholar] [CrossRef]
- Olk, D.C.; Cassman, K.G.; Fan, T.W.M. Characterization of two humic acid fractions from a calcareous vermiculitic soil: Implications for the humification process. Geoderma 1995, 65, 195–208. [Google Scholar] [CrossRef]
- Liaudanskiene, I.; Zukaitis, T.; Velykis, A.; Satkus, A.; Parasotas, I. The impact of tillage practices on the distribution of humified organic carbon in a clay loam. Zemdirbyste 2021, 108, 11–18. [Google Scholar] [CrossRef]
- Mockeviciene, I.; Karcauskiene, D.; Slepetiene, A.; Vilkiene, M.; Repsiene, R.; Braziene, Z.; Anne, O. Influence of Liming Intensity on Fractions of Humified Organic Carbon in Acid Soil: A Case Study. Sustainability 2022, 14, 5297. [Google Scholar] [CrossRef]
- Hayns, R.J. Labile organic matter fractions as central components of the quality of agricultural soils: An overview. In Advances in Agronomy; Academic Press: Cambridge, MA, USA, 2005; Volume 85, pp. 221–268. [Google Scholar]
- Stevenson, F.J. Humus Chemistry: Genesis, Composition, Reactions; John Wiley: New York, NY, USA, 1994; p. 512. [Google Scholar]
- Huang, P.M. Soil mineral-organic matter microorganisms interactions: Fundamentals and impacts. Adv. Agron. 2004, 82, 391–472. [Google Scholar]
- Kwiatkowska-Malina, J. Qualitative and quantitative soil organic matter estimation for sustainable soil management. J. Soils Sediments 2018, 18, 2801–2812. [Google Scholar] [CrossRef]
- Mondini, C.; Sequi, P. Implication of soil C sequestration on sustainable agriculture and environment. Waste Manag. 2008, 28, 678–684. [Google Scholar] [CrossRef]
- Gerke, J. The Central Role of Soil Organic Matter in Soil Fertility and Carbon Storage. Soil Syst. 2022, 6, 33. [Google Scholar] [CrossRef]
- Hou, D.; Bolan, N.S.; Tsang, D.C.W.; Kirkham, M.B.; O’Connor, D. Sustainable soil use and management: An interdisciplinary and systematic approach. Sci. Total Environ. 2020, 729, 138961. [Google Scholar] [CrossRef] [PubMed]




| Soil Parameter | 0–10 cm | 10–20 cm | 20–30 cm |
|---|---|---|---|
| pH | 7.0 | 7.0 | 6.9 |
| Available phosphorous, P2O5, mg kg−1 | 256 | 201 | 206 |
| Available potassium, K2O, mg kg−1 | 272 | 228 | 216 |
| Humus, g kg−1 | 22.1 | 21.1 | 20.1 |
| Tillage Treatments (Factor A) | Applied Since | Abbreviation |
|---|---|---|
| Conventional ploughing at 22–24 cm | 1956 | CT |
| Shallow ploughing at 16–18 cm | 1956 | ShT |
| Harrowing at 8–10 cm (minimal tillage) | 2003 | MT1 |
| Harrowing at 14–16 cm (minimal tillage) | 2012 | MT2 |
| Direct sowing (no tillage) | 2003 | NT |
| Inter-crop management (Factor B) | ||
| Without inter-crop | – | |
| With inter-crop | 2013 | CC |
| Crop sequence: | ||
| Spring wheat (±white mustard), 2013, 2018 | ||
| Spring barley (±white mustard), 2014, 2019 | ||
| Field pea, 2015, 2020 | ||
| Winter wheat, 2015–2016, 2020–2021 | ||
| Winter oilseed rape (±white clover), 2016–2017 | ||
| Treatment | SR1 | SR2 |
|---|---|---|
| Without inter-crops | ||
| CT | 0.97 | 1.02 |
| ShT | 1.00 | 1.39 |
| MT1 | 1.16 | 1.31 |
| MT2 | 1.17 | 1.99 |
| NT | 1.22 | 1.55 |
| With inter-crops | ||
| CT | 1.01 | 1.07 |
| ShT | 1.35 | 1.29 |
| MT1 | 1.17 | 1.38 |
| MT2 | 1.21 | 1.95 |
| NT | 1.24 | 1.53 |
Disclaimer/Publisher’s Note: The statements, opinions and data contained in all publications are solely those of the individual author(s) and contributor(s) and not of MDPI and/or the editor(s). MDPI and/or the editor(s) disclaim responsibility for any injury to people or property resulting from any ideas, methods, instructions or products referred to in the content. |
© 2024 by the authors. Licensee MDPI, Basel, Switzerland. This article is an open access article distributed under the terms and conditions of the Creative Commons Attribution (CC BY) license (https://creativecommons.org/licenses/by/4.0/).
Share and Cite
Slepetiene, A.; Kadziene, G.; Suproniene, S.; Skersiene, A.; Auskalniene, O. The Content and Stratification of SOC and Its Humified Fractions Using Different Soil Tillage and Inter-Cropping. Sustainability 2024, 16, 953. https://doi.org/10.3390/su16030953
Slepetiene A, Kadziene G, Suproniene S, Skersiene A, Auskalniene O. The Content and Stratification of SOC and Its Humified Fractions Using Different Soil Tillage and Inter-Cropping. Sustainability. 2024; 16(3):953. https://doi.org/10.3390/su16030953
Chicago/Turabian StyleSlepetiene, Alvyra, Grazina Kadziene, Skaidre Suproniene, Aida Skersiene, and Ona Auskalniene. 2024. "The Content and Stratification of SOC and Its Humified Fractions Using Different Soil Tillage and Inter-Cropping" Sustainability 16, no. 3: 953. https://doi.org/10.3390/su16030953
APA StyleSlepetiene, A., Kadziene, G., Suproniene, S., Skersiene, A., & Auskalniene, O. (2024). The Content and Stratification of SOC and Its Humified Fractions Using Different Soil Tillage and Inter-Cropping. Sustainability, 16(3), 953. https://doi.org/10.3390/su16030953

