Characteristics of Soil Moisture and Heat Change during Freeze–Thaw Process in the Alpine Grassland of Duogerong Basin in the Source of the Yellow River
Abstract
1. Introduction
2. Materials and Methods
2.1. Overview of the Study Area
2.2. Data Acquisition
2.3. Data Analysis Methods
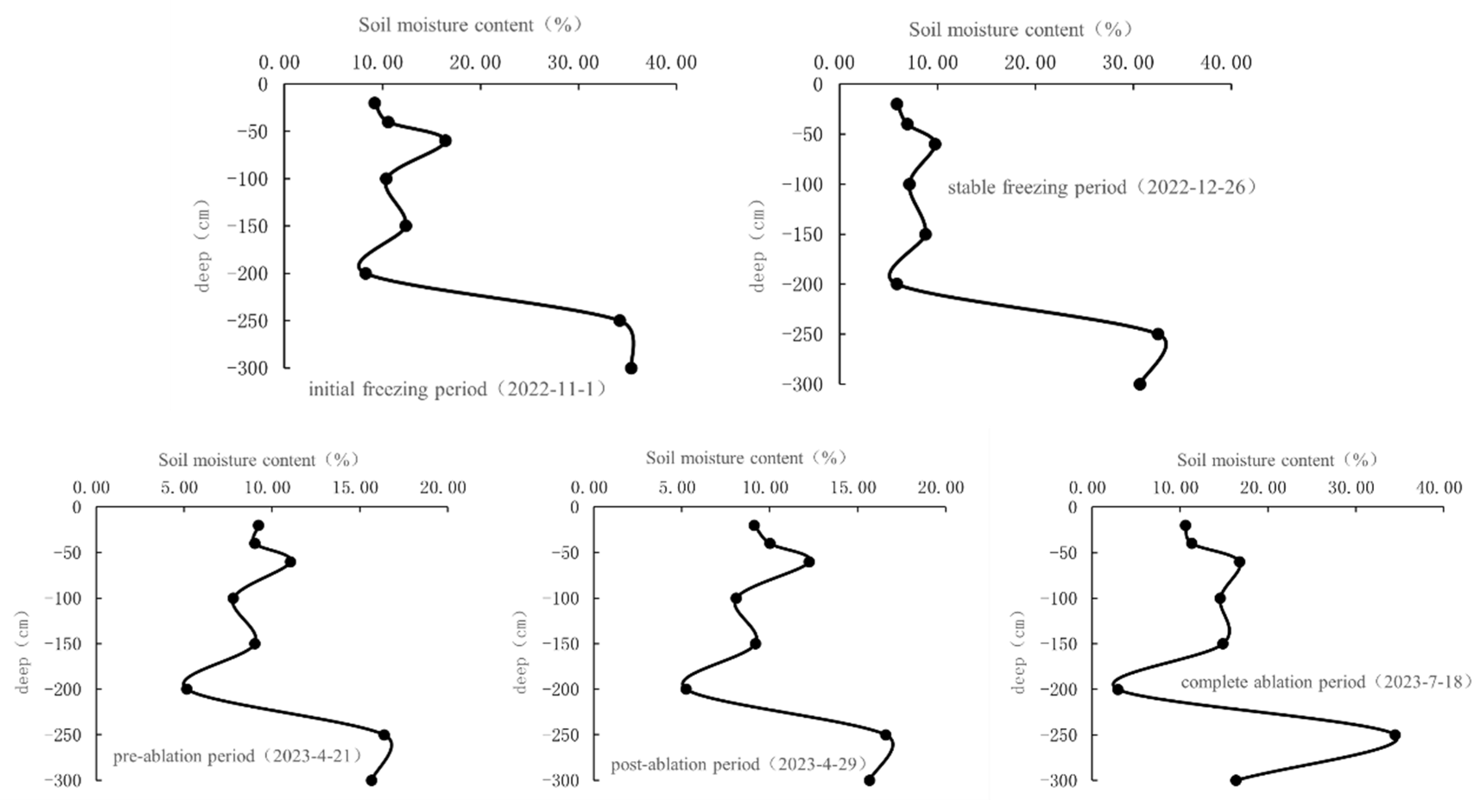
3. Results and Analysis
3.1. Variation in Water and Heat in Freeze–Thaw Cycle of Surface Soil
3.1.1. Changes in Air Temperature and Soil Temperature
3.1.2. Seasonal Variation in Precipitation and Soil Moisture Content
3.2. Characteristics of Daily Freeze–Thaw Cycle of Soil
3.2.1. Division of Freeze–Thaw Stage
3.2.2. Daily Variation Characteristics
3.2.3. Variation Characteristics of Soil Profile Temperature and Humidity
3.3. Mechanism of Coupling Change in Water and Heat in Soil Freeze–Thaw Process
4. Conclusions
- (1)
- By analyzing and organizing the data from monitoring stations, this paper effectively provides the annual meteorological data of this region, which can be used as the authoritative meteorological data of this region. Through the analysis of soil temperature and moisture content, the characteristics of the freeze–thaw cycle of soil in the alpine meadow in the source region of the Yellow River were accurately grasped, which laid a good foundation for the subsequent comparative study of freeze–thaw characteristics of alpine meadow.
- (2)
- The soil and water content changes in each layer change periodically with the near-ground air temperature, and the degree of influence gradually weakens with the increase in depth. There is a certain lag in the transfer process of soil temperature.
- (3)
- In the seasonal frozen soil area of the alpine grassland in the Dugelong Basin at the source of the Yellow River, the maximum freezing depth is about 250 cm below the surface. The freezing time mainly lasts from early November to early May, including five stages: initial freezing period, stable freezing period, early ablation period, late ablation period, and complete ablation period.
- (4)
- The daily freeze–thaw cycle in the seasonal frozen soil of the alpine grassland in the Dugelong Basin at the source of the Yellow River mainly occurred on the soil surface during the initial freezing period, and the pre-melting period, solar radiation, and near-earth temperature were the main influencing factors.
- (5)
- The variation trend of the soil moisture content at different freezing and thawing stages in the alpine grassland of Dugelong Basin in the Yellow River source showed consistency with the depth. The soil moisture content increased with the depth increasing in the range of 60 cm, fluctuated and decreased in the range of 60–200 cm, and increased significantly in the range of 200–300 cm.
- (6)
- There is a significant correlation between soil temperature and water content in each subsurface layer in the seasonal frozen soil area of the alpine grassland in the Dugelong Basin, the source of the Yellow River, especially in the range of 40 cm near the surface. The change in soil temperature gradient has a specific effect on soil water distribution, and the soil temperature is negatively affected during the phase transition of soil water.
Author Contributions
Funding
Data Availability Statement
Acknowledgments
Conflicts of Interest
References
- Lin, Z.; Zuo, Z.; Xiao, D.; You, Q. Soil moisture associated with freeze–thaw process modulated growing-season temperature rise in the Tibetan Plateau. Clim. Dyn. 2023, 61, 3619–3631. [Google Scholar] [CrossRef]
- Zhang, Z.; Wang, Y.; Ma, Z.; Lv, M. Response mechanism of soil structural heterogeneity in permafrost active layer to freeze–thaw action and vegetation degradation. Catena 2023, 230, 107250. [Google Scholar] [CrossRef]
- Shen, Q.; Liu, X.; Zhou, X.; Zhang, Z.; Chen, Q. Spatio-temporal variation patterns of diurnal freeze-thaw cycles of the near-surface soil on the Qinghai-Tibet Plateau between 2002 and 2020. Acta Geogr. Sin. 2023, 78, 587–603. [Google Scholar]
- Wang, Q.; Yang, Q.; Guo, H.; Xiao, X.; Jin, H.; Li, L.; Zhang, T.; Wu, Q. Hydrothermal variations in soils resulting from the freezing and thawing processes in the active layer of an alpine grassland in the Qilian Mountains, northeastern Tibetan Plateau. Theor. Appl. Climatol. 2019, 136, 929–941. [Google Scholar] [CrossRef]
- Wu, T.; Li, H.; Lyu, H. Effect of freeze–Thaw process on heat transfer and water migration between soil water and groundwater. J. Hydrol. 2023, 617, 128987. [Google Scholar] [CrossRef]
- Gao, Y.; Luo, D.; Chen, F.; Lei, W.; Jin, H. Characteristics of the thermal regime and freeze-thaw cycles on the ground surface in permafrost regions in the Headwater Area of the Yellow River. Acta Geogr. Sin. 2023, 78, 604–619. [Google Scholar]
- Wang, L.; Wu, Q.; Zhang, W.; Fu, Z.; Gao, S. Aeolian sand cover affects the soil hydrothermal state and permafrost degradation on the Qinghai-Tibet Plateau. Geoderma 2023, 435, 116515. [Google Scholar] [CrossRef]
- Xiao, X.; Wu, H.; Zhang, F.; Zhang, C.; Yu, Z.; Wang, G.; Qaiser, F.R. Subsurface mixing of different soil water pools in a permafrost-underlain headwater catchment, Qilian Mountains, Northeastern Tibetan Plateau. J. Hydrol. 2023, 628, 130478. [Google Scholar] [CrossRef]
- Li, T.; Tian, D.; He, Y.; Zhang, R.; Wang, J.; Wang, F.; Niu, S. Threshold response of ecosystem water use efficiency to soil water in an alpine meadow. Sci. Total Environ. 2023, 908, 168345. [Google Scholar] [CrossRef] [PubMed]
- Gao, Z.; Lin, Z.; Niu, F.; Luo, J. Soil water dynamics in the active layers under different land-cover types in the permafrost regions of the Qinghai–Tibet Plateau, China. Geoderma 2020, 364, 114176. [Google Scholar] [CrossRef]
- Wang, Q.; Jin, H.; Yuan, Z.; Yang, C. Synergetic variations of active layer soil water and salt in a permafrost-affected meadow in the headwater area of the Yellow River, northeastern Qinghai–Tibet plateau. Int. Soil Water Conserv. Res. 2022, 10, 284–292. [Google Scholar] [CrossRef]
- Jiao, Y.; Li, R.; Zhao, L.; Wu, T.; Xiao, Y.; Hu, G.; Qiao, Y. Processes of soil thawing-freezing and features of soil moisture migration in the permafrost active layer. J. Glaciol. Geocryol. 2014, 36, 237–247. [Google Scholar]
- Fu, Q.; Hou, R.; Li, T.; Wang, M.; Yan, J. The functions of soil water and heat transfer to the environment and associated response mechanisms under different snow cover conditions. Geoderma 2018, 325, 9–17. [Google Scholar] [CrossRef]
- Hu, G.; Zhao, L.; Wu, X.; Wu, T.; Li, R.; Xie, C.; Xiao, Y.; Pang, Q.; Liu, G.; Hao, J.; et al. A mathematical investigation of the air-ground temperature relationship in permafrost regions on the Tibetan Plateau. Geoderma 2017, 306, 244–251. [Google Scholar] [CrossRef]
- Liu, X.; Wang, Y.; Yang, W.; Lv, M.; Zhao, H. Effects of freezing–thawing cycle on the daily evapotranspiration of alpine meadow soil in Qinghai–Tibet Plateau. Environ. Earth Sci. 2020, 79, 533. [Google Scholar] [CrossRef]
- Yang, K.; Wang, C. Water storage effect of soil freeze-thaw process and its impacts on soil hydro-thermal regime variations. Agric. For. Meteorol. 2019, 265, 280–294. [Google Scholar] [CrossRef]
- Wang, G.; Hu, H.; Li, T. The influence of freeze–thaw cycles of active soil layer on surface runoff in a permafrost watershed. J. Hydrol. 2009, 375, 438–449. [Google Scholar] [CrossRef]
- Wei, C.; Yu, S.; Jichun, W.; Yaling, C.; Erxing, P.; Leonid, G. Soil hydrological process and migration mode influenced by the freeze-thaw process in the activity layer of permafrost regions in Qinghai-Tibet Plateau. Cold Reg. Sci. Technol. 2021, 184, 103236. [Google Scholar] [CrossRef]
- Cheng, H.; Wang, G.; Hu, H.; Wang, Y. The variation of soil temperature and water content of seasonal frozen soil with different vegetation coverage in the headwater region of the Yellow River, China. Environ. Geol. 2008, 54, 1755–1762. [Google Scholar] [CrossRef]
- Ran, H.; Fan, J.; Huang, J. Characteristics of water and heat change during the freezing-thawing process of soil profiles in the alpine cold steppe, Northern Tibetan Plateau. Pratacultural Sci. 2019, 36, 980–990. [Google Scholar]
- Cui, J.; Xin, Z.; Huang, Y. The spatiotemporal variations in freeze-thaw erosion in 2003–2020 on the Qinghai-Tibet Plateau. Acta Ecol. Sin. 2023, 43, 4515–4526. [Google Scholar]
- Tian, X.; Zhang, L.; Zhang, X.; Chen, Z.; Zhao, L.; Li, Q.; Gu, S. Evapotranspiration characteristics of degraded meadow and effects of freeze—Thaw changes in the Three-River Source Region. Acta Ecol. Sin. 2020, 40, 5649–5662. [Google Scholar]
- Li, Y.; Wen, J.; Liu, W.; Chen, Y.; Chen, Y.; Zhang, Q.; Liu, Z. The Spatio-temporal Distribution of the Start-end Date and Freezing Depth and their Relationships with Air Temperature over the Western China. Plateau Meteorol. 2023, 42, 657–670. [Google Scholar]
- Liang, B.; Li, X.; Zhang, D.; Shen, Y. Study on spatiotemporal changes of the freeze-thaw status of seasonally frozen ground and influencing factors in the Three Rivers Source Region from 1961 to 2019. J. Glaciol. Geocryol. 2023, 45, 382–394. [Google Scholar]
- Hu, G.J.; Zhao, L.; Li, R.; Wu, T.-H.; Pang, Q.-Q.; Wu, X.-D.; Shi, J. Characteristics of Hydro-thermal Transfer During Freezing and Thawing Period in Permafrost Regions. Soils 2014, 46, 355–360. [Google Scholar]
- Lan, A.; Lin, Z.; Fan, X.; Yao, M. Differences of Surface Energy and Shallow Soil Temperature and Humidity at Sunny and Shady Slopes in Permafrost Region, Beiluhe Basin, Qinghai-Tibet Plateau. Adv. Earth Sci. 2021, 36, 962–979. [Google Scholar]
- Ma, J.; Li, R.; Liu, H.; Wu, T.; Xiao, Y.; Du, Y.; Yang, S.; Shi, J.; Qian, Y. A review on the development of study on hydrothermal characteristics of active layer in permafrost areas in Qinghai-Tibet Plateau. J. Glaciol. Geocryol. 2020, 42, 195–204. [Google Scholar]
- Wei, W.; Liu, Y.; Ma, H.; Li, J. Freeze-Thaw Action Characteristics of Shallow Soil on Degraded Alpine Meadow in the Source Region of Three Rivers. J. Ecol. Rural. Environ. 2019, 35, 352–359. [Google Scholar]
- Zhang, G.; Lai, X.; Liu, K. Characteristics of Surface Water and Heat Exchange during Soil Freezing And Thawing of Maqu Station in the Source Area of the Yellow River. Plateau Meteorol. 2023, 42, 575–589. [Google Scholar]
- Chen, S.; Mao, X.; Shang, S. Response and contribution of shallow groundwater to soil water/salt budget and crop growth in layered soils. Agric. Water Manag. 2022, 266, 107574. [Google Scholar] [CrossRef]
- Meng, F.; Hou, R.; Li, T.; Fu, Q. Variability of Soil Water Heat and Energy Transfer Under Different Cover Conditions in a Seasonally Frozen Soil Area. Sustainability 2020, 12, 1782. [Google Scholar] [CrossRef]
- Wu, Y.; Wen, J.; Wang, Z.; Jia, D.; Liu, W.; Jiang, Y.; Lu, X. The Characteristics of Land-Atmospheric Water and Heat Exchange during Soil Freezing-Thawing Process over the Underlying Surface of the Alpine Grassland in the Source Region of the Yellow River. Plateau Meteorol. 2022, 41, 132–142. [Google Scholar]














| Freeze–Thaw Stage | Date (y-m-d) | Duration of Days | Trait | |
|---|---|---|---|---|
| Initiation | Finish | |||
| initial freezing period | 31 October 2022 | 3 November 2022 | 4 d | Maximum surface soil temperature >0 °C, Minimum temperature <0 °C |
| stable freezing period | 4 November 2022 | 8 April 2023 | 166 d | Maximum daily surface soil temperature <0 °C |
| pre-ablation period | 9 April 2023 | 26 April 2023 | 8 d | Maximum daily surface soil temperature >0 °C, Mean soil temperature <0 °C |
| post-ablation period | 27 April 2023 | 30 April 2023 | 4 d | Daily minimum surface soil temperature <0 °C, Mean soil temperature >0 °C |
| complete ablation period | 1 May 2023 | 10 September 2023 | 177 d | Minimum surface soil temperature >0 °C |
| 11 September 2022 | 30 October 2023 | |||
| Depth/cm | 20 | 40 | 60 | 100 | 150 | 200 | 250 | 300 |
|---|---|---|---|---|---|---|---|---|
| Correlation coefficient | 0.953 | 0.972 | 0.948 | 0.94 | 0.954 | 0.279 | 0.909 | 0.885 |
Disclaimer/Publisher’s Note: The statements, opinions and data contained in all publications are solely those of the individual author(s) and contributor(s) and not of MDPI and/or the editor(s). MDPI and/or the editor(s) disclaim responsibility for any injury to people or property resulting from any ideas, methods, instructions or products referred to in the content. |
© 2024 by the authors. Licensee MDPI, Basel, Switzerland. This article is an open access article distributed under the terms and conditions of the Creative Commons Attribution (CC BY) license (https://creativecommons.org/licenses/by/4.0/).
Share and Cite
Li, B.; Zhang, Y.; Chen, L.; Liu, J.; Xie, F.; Zhu, L.; Zhou, B.; Chen, X. Characteristics of Soil Moisture and Heat Change during Freeze–Thaw Process in the Alpine Grassland of Duogerong Basin in the Source of the Yellow River. Sustainability 2024, 16, 1541. https://doi.org/10.3390/su16041541
Li B, Zhang Y, Chen L, Liu J, Xie F, Zhu L, Zhou B, Chen X. Characteristics of Soil Moisture and Heat Change during Freeze–Thaw Process in the Alpine Grassland of Duogerong Basin in the Source of the Yellow River. Sustainability. 2024; 16(4):1541. https://doi.org/10.3390/su16041541
Chicago/Turabian StyleLi, Bei, Yuxi Zhang, Liang Chen, Jingtao Liu, Fie Xie, Liang Zhu, Bing Zhou, and Xi Chen. 2024. "Characteristics of Soil Moisture and Heat Change during Freeze–Thaw Process in the Alpine Grassland of Duogerong Basin in the Source of the Yellow River" Sustainability 16, no. 4: 1541. https://doi.org/10.3390/su16041541
APA StyleLi, B., Zhang, Y., Chen, L., Liu, J., Xie, F., Zhu, L., Zhou, B., & Chen, X. (2024). Characteristics of Soil Moisture and Heat Change during Freeze–Thaw Process in the Alpine Grassland of Duogerong Basin in the Source of the Yellow River. Sustainability, 16(4), 1541. https://doi.org/10.3390/su16041541
