Suitability of Foamed Concrete for the Composite Floor System in Mid-to-High-Rise Modular Buildings: Design, Structural, and Sustainability Perspectives
Abstract
1. Introduction
2. Methods
2.1. Data Collection
2.2. Sustainability Assessment
2.3. Design of Composite Floor Systems
3. Material Characteristics and Optimum Mix Design of FC
3.1. Material Properties
3.1.1. Physical Properties
3.1.2. Mechanical Properties
3.1.3. Durability Properties
3.1.4. Alternative Supplementary Materials
3.2. Sustainability Characteristics of FC
3.3. Optimum FC’s Mix Design for Floor Construction
3.4. Life Cycle Assessment
3.4.1. Impacts on Human Health
3.4.2. Impacts on Ecosystem Quality
3.4.3. Impacts on Ecosystem Quality
4. Design Verification of Composite Floor
4.1. Overview of Composite Floor Systems
4.2. Analytical Method Design Outlines
4.2.1. Design Outline of CFSFCC
4.2.2. Design Outline of TFCC
4.2.3. Design Outline of SDFCC
4.3. CFSFCC Floor System Results and Discussion
4.3.1. Effect of Concrete Density
4.3.2. Effect of Concrete Flange Thickness
4.3.3. Effect of CFS Joist Section
4.3.4. Effect of Joist Spacing
4.4. TFCC Floor System Results and Discussion
4.5. SDFCC Floor System Results and Discussion
4.5.1. Effect of Concrete Density and Steel Deck Thickness
4.5.2. Effect of Concrete Flange Thickness
4.5.3. Effect of Steel Deck Section and Grade
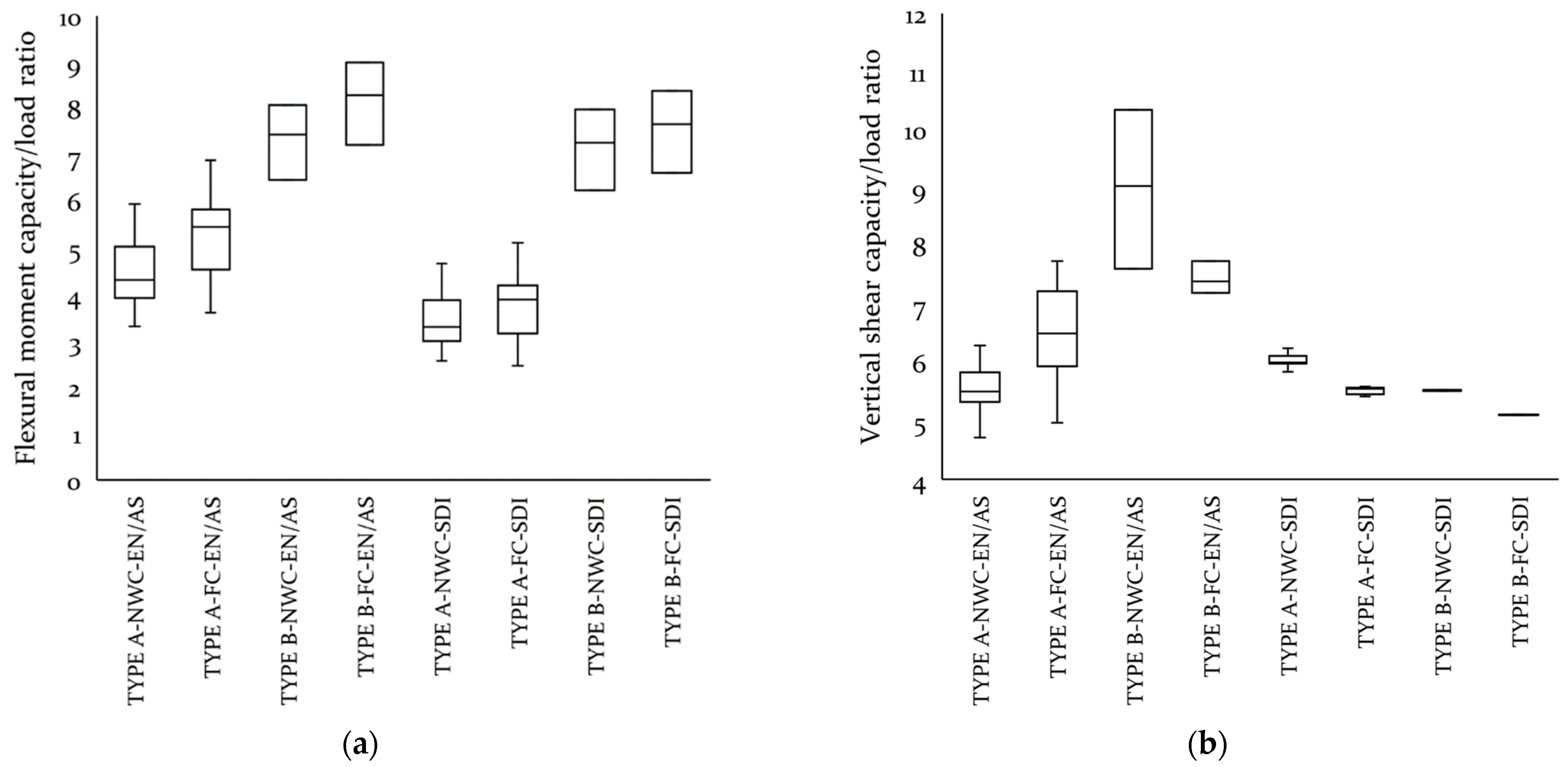
4.6. Discussion on Design Verification Results
5. Summary, Conclusions, and Recommendations
6. Future Research and Recommendations
Author Contributions
Funding
Institutional Review Board Statement
Informed Consent Statement
Data Availability Statement
Acknowledgments
Conflicts of Interest
Appendix A

References
- Navaratnam, S.; Ngo, T.; Gunawardena, T.; Henderson, D. Performance review of prefabricated building systems and future research in Australia. Buildings 2019, 9, 38. [Google Scholar] [CrossRef]
 - Lawson, R.M.; Ogden, R.G.; Bergin, R. Application of modular construction in high-rise buildings. J. Archit. Eng. 2012, 18, 148–154. [Google Scholar] [CrossRef]
 - Lawson, M.; Ogden, R.; Goodier, C. Design in Modular Construction; CRC Press: Boca Raton, FL, USA, 2014. [Google Scholar]
 - Liew, J.; Chua, Y.; Dai, Z. Steel concrete composite systems for modular construction of high-rise buildings. Structures 2019, 21, 135–149. [Google Scholar] [CrossRef]
 - Jones, M.; McCarthy, A. Preliminary views on the potential of foamed concrete as a structural material. Mag. Concr. Res. 2005, 57, 21–31. [Google Scholar] [CrossRef]
 - Ibrahim, I.; Elliott, K.; Abdullah, R.; Kueh, A.; Sarbini, N. Experimental study on the shear behaviour of precast concrete hollow core slabs with concrete topping. Eng. Struct. 2016, 125, 80–90. [Google Scholar] [CrossRef]
 - Thai, H.-T.; Ngo, T.; Uy, B. A review on modular construction for high-rise buildings. Structures 2020, 28, 1265–1290. [Google Scholar] [CrossRef]
 - Hickory Building Innovation. Hickory Building Systems: Overview of Prefabricated Structural System. Available online: https://www.hickory.com.au/hickory-building-systems/#:~:text=The%20Hickory%20System%20is%20a,parallel%20with%20on%2Dsite%20works (accessed on 12 September 2023).
 - CTBUH. Two 40-Story Towers Completed in Singapore. Available online: https://www.ctbuh.org/news/two-40-story-towers-completed-in-singapore/ (accessed on 12 September 2023).
 - Kan, A.; Demirboğa, R. A novel material for lightweight concrete production. Cem. Concr. Compos. 2009, 31, 489–495. [Google Scholar] [CrossRef]
 - Adhikary, S.K.; Ashish, D.K.; Sharma, H.; Patel, J.; Rudžionis, Ž.; Al-Ajamee, M.; Thomas, B.S.; Khatib, J.M. Lightweight self-compacting concrete: A review. Resour. Conserv. Recycl. Adv. 2022, 15, 200107. [Google Scholar] [CrossRef]
 - Gupta, N.; Siddique, R.; Belarbi, R. Sustainable and greener self-compacting concrete incorporating industrial by-products: A review. J. Clean. Prod. 2021, 284, 124803. [Google Scholar] [CrossRef]
 - Revilla-Cuesta, V.; Skaf, M.; Faleschini, F.; Manso, J.M.; Ortega-López, V. Self-compacting concrete manufactured with recycled concrete aggregate: An overview. J. Clean. Prod. 2020, 262, 121362. [Google Scholar] [CrossRef]
 - Sakir, S.; Raman, S.N.; Safiuddin, M.; Kaish, A.A.; Mutalib, A.A. Utilization of by-products and wastes as supplementary cementitious materials in structural mortar for sustainable construction. Sustainability 2020, 12, 3888. [Google Scholar] [CrossRef]
 - Santos, S.; Da Silva, P.; De Brito, J. Self-compacting concrete with recycled aggregates–A literature review. J. Build. Eng. 2019, 22, 349–371. [Google Scholar] [CrossRef]
 - Ramamurthy, K.; Nambiar, E.K.; Ranjani, G.I.S. A classification of studies on properties of foam concrete. Cem. Concr. Compos. 2009, 31, 388–396. [Google Scholar] [CrossRef]
 - Amran, Y.M.; Farzadnia, N.; Ali, A.A. Properties and applications of foamed concrete; A review. Constr. Build. Mater. 2015, 101, 990–1005. [Google Scholar] [CrossRef]
 - Amran, Y.M.; Rashid, R.S.; Hejazi, F.; Safiee, N.A.; Ali, A.A. Response of precast foamed concrete sandwich panels to flexural loading. J. Build. Eng. 2016, 7, 143–158. [Google Scholar] [CrossRef]
 - Raj, A.; Sathyan, D.; Mini, K. Physical and functional characteristics of foam concrete: A review. Constr. Build. Mater. 2019, 221, 787–799. [Google Scholar] [CrossRef]
 - Zollo, R.F. Fiber-reinforced concrete: An overview after 30 years of development. Cem. Concr. Compos. 1997, 19, 107–122. [Google Scholar] [CrossRef]
 - Zollo, R.F.; Hays, C.D. Engineering material properties of a fiber reinforced cellular concrete (FRCC). Mater. J. 1998, 95, 631–635. [Google Scholar]
 - Bing, C.; Zhen, W.; Ning, L. Experimental research on properties of high-strength foamed concrete. J. Mater. Civ. Eng. 2012, 24, 113–118. [Google Scholar] [CrossRef]
 - Ahmed, I.M.; Tsavdaridis, K.D. The evolution of composite flooring systems: Applications, testing, modelling and eurocode design approaches. J. Constr. Steel Res. 2019, 155, 286–300. [Google Scholar] [CrossRef]
 - Yeoh, D.; Fragiacomo, M.; De Franceschi, M.; Heng Boon, K. State of the art on timber-concrete composite structures: Literature review. J. Struct. Eng. 2011, 137, 1085–1095. [Google Scholar] [CrossRef]
 - Richard, A.O.; Ramli, M.B. A qualitative study of green building indexes rating of lightweight foam concrete. J. Sustain. Dev. 2011, 4, 188. [Google Scholar] [CrossRef]
 - EN 1994-1-1; Eurocode 4: Design of Composite Steel and Concrete Structures–Part 1-1: General Rules and Rules for Buildings. European Committee for Standardization (CEN): Brussels, Belgium, 2004.
 - AS/NZS 2327; Composite Structures-Composite Steel-Concrete Construction in Buildings. Standards Australia: Sydney, Australia, 2017.
 - EN 1995-1-1; Eurocode 5: Design of Timber Structures–Part 1-1: General–Common Rules and Rules for Buildings. European Committee for Standardization (CEN): Brussels, Belgium, 2004.
 - AS 1720.1-2010; Timber Structures Design Methods. Standards Australia: Sydney, Australia, 2010.
 - ACI 318; Building Code Requirements for Structural Concrete: (ACI 318-14); and Commentary (ACI 318R-14). American Concrete Institute: Farmington Hills, MI, USA, 2014.
 - Jahan, I.; Zhang, G.; Bhuiyan, M.; Navaratnam, S. Circular economy of construction and demolition wood waste—A theoretical framework approach. Sustainability 2022, 14, 10478. [Google Scholar] [CrossRef]
 - Huijbregts, M.A.J.; Steinmann, Z.J.N.; Elshout, P.M.F.; Stam, G.; Verones, F.; Vieira, M.; Zijp, M.; Hollander, A.; van Zelm, R. ReCiPe2016: A harmonised life cycle impact assessment method at midpoint and endpoint level. Int. J. Life Cycle Assess. 2017, 22, 138–147. [Google Scholar] [CrossRef]
 - Goedkoep, M.O.M.; Leijting, J.; Ponsioen, T.; Meijer, E. Introduction to LCA with SimaPro Colophon. 2016. Available online: www.pre-sustainability.com (accessed on 30 August 2023).
 - AS ISO 14040; Environmental Management-Life Cycle Assessment-Principles and Framework. Standards Australia: Sydney, Australia, 2019.
 - DS/EN 15978; Sustainability of Construction Works-Assessment of Environmental Performance of Buildings-Calculation Method. NSAI: Dublin, Ireland, 2012.
 - ELCD, European Reference Life Cycle Database (ECLD), EU SCIENCE HUB. 2016. Available online: www.ec.europa.eu (accessed on 12 September 2023).
 - AusLCI, Australian National Life Cycle Inventory Database (AusLCI), alcas.asn.au, Australia. 2016. Available online: https://www.auslci.com.au/ (accessed on 12 September 2023).
 - Selvaranjan, K.; Navaratnam, S.; Gamage, J.; Thamboo, J.; Siddique, R.; Zhang, J.; Zhang, G. Thermal and environmental impact analysis of rice husk ash-based mortar as insulating wall plaster. Constr. Build. Mater. 2021, 283, 122744. [Google Scholar] [CrossRef]
 - Sathurshan, M.; Yapa, I.; Thamboo, J.; Jeyakaran, T.; Navaratnam, S.; Siddique, R.; Zhang, J. Untreated rice husk ash incorporated high strength self-compacting concrete: Properties and environmental impact assessments. Environ. Chall. 2021, 2, 100015. [Google Scholar] [CrossRef]
 - Navaratnam, S.; Tushar, Q.; Jahan, I.; Zhang, G. Environmental Sustainability of Industrial Waste-Based Cementitious Materials: A Review, Experimental Investigation and Life-Cycle Assessment. Sustainability 2023, 15, 1873. [Google Scholar] [CrossRef]
 - Tushar, Q.; Bhuiyan, M.A.; Zhang, G.; Maqsood, T.; Tasmin, T. Application of a harmonized life cycle assessment method for supplementary cementitious materials in structural concrete. Constr. Build. Mater. 2022, 316, 125850. [Google Scholar] [CrossRef]
 - Lukačević, I.; Ćurković, I.; Rajić, A.; Bartolac, M. Lightweight Composite Floor System—Cold-Formed Steel and Concrete—LWT-FLOOR Project. Buildings 2022, 12, 209. [Google Scholar] [CrossRef]
 - Yeoh, D.E.C. Behaviour and Design of Timber-Concrete Composite Floor System. Ph.D. Dissertation, University of Canterbury, Christchurch, New Zealand, 2010. [Google Scholar]
 - Gaunt, D.; Penellum, B. Phase 1 Truform In-Grade Testing for Carter Holt Harvey; Report TE03-037; New Zealand Forest Research Institute Limited: Christchurch, New Zealand, 2004; 6p. [Google Scholar]
 - TR60+ Technical Data Sheet. Available online: https://smdltd.co.uk/wp-content/uploads/2015/12/SMD.DAT_.119.V11-SMD-Technical-Data-Sheet-TR60.pdf (accessed on 30 August 2023).
 - BONDEK® Structural Steel Decking: Design and Construction Guide for Building Professionals. Available online: https://cdn.dcs.lysaght.com/download/lysaght-bondek-design-and-construction-manual (accessed on 30 August 2023).
 - Amran, M.; Fediuk, R.; Vatin, N.; Lee, Y.H.; Murali, G.; Ozbakkaloglu, T.; Klyuev, S.; Alabduljabber, H. Fibre-reinforced foamed concretes: A review. Materials 2020, 13, 4323. [Google Scholar] [CrossRef]
 - Ruiwen, K. Properties of High-Strength Foam Concrete. Master’s Thesis, National University of Singapore, Singapore, 2004. [Google Scholar]
 - Song, Y.; Lange, D. Influence of fine inclusions on the morphology and mechanical performance of lightweight foam concrete. Cem. Concr. Compos. 2021, 124, 104264. [Google Scholar] [CrossRef]
 - Kearsley, E.; Wainwright, P. The effect of porosity on the strength of foamed concrete. Cem. Concr. Res. 2002, 32, 233–239. [Google Scholar] [CrossRef]
 - Mehta, P. Pore size distribution and permeability of hardened cement pastes. In Proceedings of the 7th International Congress on Cement Chemistry, Paris, France, 30 June–4 July 1980; pp. 1–5. [Google Scholar]
 - Hughes, D. Pore structure and permeability of hardened cement paste. Mag. Concr. Res. 1985, 37, 227–233. [Google Scholar] [CrossRef]
 - Kunhanandan Nambiar, E.; Ramamurthy, K. Fresh state characteristics of foam concrete. J. Mater. Civ. Eng. 2008, 20, 111–117. [Google Scholar] [CrossRef]
 - Agarwal, S.; Masood, I.; Malhotra, S. Compatibility of superplasticizers with different cements. Constr. Build. Mater. 2000, 14, 253–259. [Google Scholar] [CrossRef]
 - Jones, M.; McCarthy, A. Heat of hydration in foamed concrete: Effect of mix constituents and plastic density. Cem. Concr. Res. 2006, 36, 1032–1041. [Google Scholar] [CrossRef]
 - Kearsley, E.; Wainwright, P. The effect of high fly ash content on the compressive strength of foamed concrete. Cem. Concr. Res. 2001, 31, 105–112. [Google Scholar] [CrossRef]
 - Jones, M.R.; McCarthy, M.J.; McCarthy, A. Moving fly ash utilisation in concrete forward: A UK perspective. In Proceedings of the 2003 International Ash Utilization Symposium, Wrocław, Poland, 20 October 2003; University Press of Kentucky: Lexington, KY, USA, 2003; pp. 20–22. [Google Scholar]
 - Kearsley, E. The use of foamed cement for affordable development in third world countries. Appropriate cement technology. In Proceedings of the International Conference Concrete in the Service of Mankind, Dundee, UK, 24–28 June 1996; E&FN Spon: London, UK, 1996; pp. 233–243. [Google Scholar]
 - Valore, R.C. Cellular concretes part 2 physical properties. J. Proc. 1954, 50, 817–836. [Google Scholar]
 - Aldridge, D. Introduction to foamed concrete: What, why, how? In Proceedings of the Use of Foamed Concrete in Construction: Proceedings of the International Conference, Dundee, UK, 5 July 2005; pp. 1–14. [Google Scholar]
 - Hamidah, M.; Azmi, I.; Ruslan, M.; Kartini, K.; Fadhil, N. Optimisation of foamed concrete mix of different sand-cement ratio and curing conditions. In Proceedings of the Use of Foamed Concrete in Construction: Proceedings of the International Conference, Dundee, UK, 5 July 2005; pp. 37–44. [Google Scholar]
 - Castillo-Lara, J.; Flores-Johnson, E.; Valadez-Gonzalez, A.; Herrera-Franco, P.; Carrillo, J.; Gonzalez-Chi, P.; Agaliotis, E.; Li, Q. Mechanical behaviour of composite sandwich panels with foamed concrete core reinforced with natural fibre in four-point bending. Thin-Walled Struct. 2021, 169, 108457. [Google Scholar] [CrossRef]
 - Flores-Johnson, E.; Li, Q. Structural behaviour of composite sandwich panels with plain and fibre-reinforced foamed concrete cores and corrugated steel faces. Compos. Struct. 2012, 94, 1555–1563. [Google Scholar] [CrossRef]
 - Frazão, C.; Barros, J.; Toledo Filho, R.; Ferreira, S.; Gonçalves, D. Development of sandwich panels combining sisal fiber-cement composites and fiber-reinforced lightweight concrete. Cem. Concr. Compos. 2018, 86, 206–223. [Google Scholar] [CrossRef]
 - Abd, S.M.; Ismail, D.K.; Ghalib, D. Mechanical properties of the light weight foamed concrete with steel fiber of different aspect ratio. In Proceedings of the 2018 1st International Scientific Conference of Engineering Sciences-3rd Scientific Conference of Engineering Science (ISCES), Diyala, Iraq, 10–11 January 2018; pp. 305–310. [Google Scholar]
 - Kearsley, E. Just foamed concrete–An overview. In Proceedings of the Creating with Concrete: Proceedings International Conference (and Seminars), Dundee, UK, 6–10 September 1999; p. 227. [Google Scholar]
 - Zhou, G.; Su, R.K.L. A review on durability of foam concrete. Buildings 2023, 13, 1880. [Google Scholar] [CrossRef]
 - Namsone, E.; Šahmenko, G.; Korjakins, A. Durability properties of high performance foamed concrete. Procedia Eng. 2017, 172, 760–767. [Google Scholar] [CrossRef]
 - Park, B.; Choi, Y.C. Investigation of carbon-capture property of foam concrete using stainless steel AOD slag. J. Clean. Prod. 2021, 288, 125621. [Google Scholar] [CrossRef]
 - Raj, B.; Sathyan, D.; Madhavan, M.K.; Raj, A. Mechanical and durability properties of hybrid fiber reinforced foam concrete. Constr. Build. Mater. 2020, 245, 118373. [Google Scholar] [CrossRef]
 - Gencel, O.; Kazmi, S.M.S.; Munir, M.J.; Kaplan, G.; Bayraktar, O.Y.; Yarar, D.O.; Karimipour, A.; Ahmad, M.R. Influence of bottom ash and polypropylene fibers on the physico-mechanical, durability and thermal performance of foam concrete: An experimental investigation. Constr. Build. Mater. 2021, 306, 124887. [Google Scholar] [CrossRef]
 - Awang, H.; Ahmad, M.H. Durability properties of foamed concrete with fiber inclusion. Int. J. Civ. Struct. Constr. Archit. Eng. 2014, 8, 273–276. [Google Scholar]
 - Ortiz, O.; Castells, F.; Sonnemann, G. Sustainability in the construction industry: A review of recent developments based on LCA. Constr. Build. Mater. 2009, 23, 28–39. [Google Scholar] [CrossRef]
 - Castillo-Lara, J.F.; Flores-Johnson, E.A.; Valadez-Gonzalez, A.; Herrera-Franco, P.J.; Carrillo, J.G.; Gonzalez-Chi, P.; Li, Q. Mechanical properties of natural fiber reinforced foamed concrete. Materials 2020, 13, 3060. [Google Scholar] [CrossRef]
 - Pickering, K.L.; Efendy, M.A.; Le, T.M. A review of recent developments in natural fibre composites and their mechanical performance. Compos. Part A Appl. Sci. Manuf. 2016, 83, 98–112. [Google Scholar] [CrossRef]
 - Mahzabin, M.S.; Hock, L.J.; Hossain, M.S.; Kang, L.S. The influence of addition of treated kenaf fibre in the production and properties of fibre reinforced foamed composite. Constr. Build. Mater. 2018, 178, 518–528. [Google Scholar] [CrossRef]
 - Adamczyk, J.; Dylewski, R. The impact of thermal insulation investments on sustainability in the construction sector. Renew. Sustain. Energy Rev. 2017, 80, 421–429. [Google Scholar] [CrossRef]
 - Asdrubali, F.; D’Alessandro, F.; Schiavoni, S. A review of unconventional sustainable building insulation materials. Sustain. Mater. Technol. 2015, 4, 1–17. [Google Scholar] [CrossRef]
 - Giannakou, A.; Jones, M. Potential of foamed concrete to enhance the thermal performance of low-rise dwellings. In Proceedings of the Innovations and Developments in Concrete Materials and Construction: Proceedings of the International Conference, Dundee, UK, 9–11 September 2002; pp. 533–544. [Google Scholar]
 - Quale, J.; Eckelman, M.J.; Williams, K.W.; Sloditskie, G.; Zimmerman, J.B. Construction matters: Comparing environmental impacts of building modular and conventional homes in the United States. J. Ind. Ecol. 2012, 16, 243–253. [Google Scholar] [CrossRef]
 - Zimele, Z.; Sinka, M.; Korjakins, A.; Bajare, D.; Sahmenko, G. Life Cycle Assessment of Foam Concrete Production in Latvia. Environ. Clim. Technol. 2019, 23, 70–84. [Google Scholar] [CrossRef]
 - Namsone, E.; Korjakins, A.; Sahmenko, G.; Sinka, M. The environmental impacts of foamed concrete production and exploitation. IOP Conf. Ser. Mater. Sci. Eng. 2017, 251, 012029. [Google Scholar] [CrossRef]
 - BS 5950-3.1; Structural Use of Steelwork in Building–Part 3: Design in Composite Construction–Section 3.1: Code of Practice for Design of Simple and Continuous Composite Beams. British Standards Institution: London, UK, 1990.
 - Hicks, S. Eurocode 4: Design of composite steel and concrete structures. In The Essential Guide to Eurocodes Transition; BSI: London, UK, 2014; pp. 105–122. [Google Scholar]
 - EN 1992-1-1; Eurocode 2: Design of Concrete Structures–Part 1-1: General Rules and Rules for Buildings. European Committee for Standardization (CEN): Brussels, Belgium, 2005.
 - AS 3600; Concrete Structures. Standards Australia: Sydney, Australia, 2018.
 - BS 8110; Structural Use of Concrete–Part 2: Code of Practice for Special Circumstances. British Standards Institution: London, UK, 1997.
 - ANSI/AISC 360-16; Specification for Structural Steel Buildings. American Institute of Steel Construction: Chicago, IL, USA, 2016.
 - ANSI/SDI C-2017; Standard for Composite Steel Floor Deck-Slabs. American National Standards Institute (ANSI), Steel Deck Institute (SDI): Glenshaw, PA, USA, 2017.
 - Prabha, P.; Palani, G.; Lakshmanan, N.; Senthil, R. Flexural behaviour of steel-foam concrete composite light-weight panels. KSCE J. Civ. Eng. 2018, 22, 3534–3545. [Google Scholar] [CrossRef]
 - Yao, B.; Shi, Y.; Wang, W.; Wang, Q.; Hu, Z. Flexural Behavior of Cold-Formed Steel Composite Floor Infilled with Desert Sand Foamed Concrete. Buildings 2023, 13, 1217. [Google Scholar] [CrossRef]
 - Jaini, Z.M.; Rum, R.H.M.; Abd Ghaffar, N.H.; Misbah, M.S.A.; Desa, M.S.M. Experimental study on vibration responses and energy dissipation of foamed concrete composite slabs. Malays. Constr. Res. J. 2018, 4, 193–207. [Google Scholar]
 - Rum, R.H.M.; Norhalim, A.F.; Jaini, Z.M.; Abd Ghafar, N.H.; Kowlowski, M. Density and Strength of Foamed Concrete: The Influence on Dynamic Characteristics of Lightweight Profiled Composite Slabs. Int. J. Integr. Eng. 2019, 11, 285–295. [Google Scholar] [CrossRef][Green Version]
 - Murray, T.M. Building floor vibrations. Eng. J.-Am. Inst. Steel Constr. 1991, 28, 102–109. [Google Scholar]
 - Rum, R.; Jaini, Z.; Abd Ghaffar, N.; Abd Rahman, N. A preliminary experimental study on vibration responses of foamed concrete composite slabs. Proc. IOP Conf. Ser. Mater. Sci. Eng. 2017, 271, 012102. [Google Scholar] [CrossRef]
 - Kyvelou, P. Structural Behaviour of Composite Cold-Formed Steel Systems. Ph.D. Dissertation, Imperial College London, London, UK, 2017. [Google Scholar]
 - AS/NZS 1170.0:2002; Structural Design Actions. Standards Australia: Sydney, Australia, 2002.
 - Ceccotti, A. Composite concrete-timber structures. Prog. Struct. Eng. Mater. 2002, 4, 264–275. [Google Scholar] [CrossRef]
 - Chen, S.; Shi, X.; Qiu, Z. Shear bond failure in composite slabs—A detailed experimental study. Steel Compos. Struct. 2011, 11, 233–250. [Google Scholar] [CrossRef][Green Version]
 - Gholamhoseini, A.; Gilbert, R.; Bradford, M.; Chang, Z. Longitudinal shear stress and bond–slip relationships in composite concrete slabs. Eng. Struct. 2014, 69, 37–48. [Google Scholar] [CrossRef]
 - Navaratnam, S.; Selvaranjan, K.; Jayasooriya, D.; Rajeev, P.; Sanjayan, J. Applications of natural and synthetic fiber reinforced polymer in infrastructure: A suitability assessment. J. Build. Eng. 2023, 66, 105835. [Google Scholar] [CrossRef]
 









| Parameters | CFSFCC | TFCC | SDFCC | 
|---|---|---|---|
| Design standard | EN 1994-1-1:2004 and AS/NZS 2327:2017 | EN 1995-1-1:2004 and AS 1720.1-2010 | EN 1994-1-1:2004, AS/NZS 2327:2017, and SDI C-2017 | 
| Concrete compressive strength at 28 days | fc = 25 MPa | fc = 25 MPa | fc = 25 MPa | 
| Concrete flange thickness (mm) | 65, 75, 90 | 65, 75, 90 | 50, 70, 90, 115 | 
| Type | Joist using cold-formed steel C-section | Rectangular joist using LVL Truform [43,44] | Profiled steel deck sheeting type SMD TR60+ (type A) [45] and BONDEK® (type B) [46] | 
| Material specification | S350, Fy = 350 MPa | E2 = 10,700 MPa ft,d = 18.4 MPa fb,d = 32.8 MPa fs,d = 3.82 MPa fc,d = 8.64 MPa  | A: Fy = 350 and 450 MPa B: Fy = 550 MPa  | 
| Section dimension (mm) | CFS-C150 t = 1.5, 1.9 CFS-C200 t = 1.5 mm  | 50 × 200, 50 × 250, 50 × 300 | A: t = 0.9, 1.0, 1.2 B: t = 0.75, 0.9, 1.0  | 
| Joist spacing, centre-to-centre (mm) | 400, 500, 600 | 400, 500, 600 | - | 
| Bolt shear connector | d = 12 mm, Fy = 800 MPa (grade 8.8) | d = 12 mm, Fy = 800 MPa (grade 8.8) | d = 12 mm, Fy = 800 MPa (grade 8.8) | 
| Mixes | FC1 | FC2 | FC3 | FC4 | FC5 | FC6 | FC7 | NWC | |
|---|---|---|---|---|---|---|---|---|---|
| Density (kg/m3) | 1800 | 1600 | 1400 | 1400 | 1300 | 1300 | 1800 | 2400 | |
| Material (kg) | Cement | 500 | 500 | 500 | 500 | 431 | 431 | 698 | 300 | 
| Water | 150 | 330 | 289 | 289 | 304 | 304 | 217 | 150 | |
| Sand | 1150 | 776 | 700 | ||||||
| FAcoarse | 770 | 611 | 611 | 507 | 507 | ||||
| Foam (L) | 200 | 200 | 300 | 300 | 300 | 300 | 223 | ||
| SP | 10 | 10 | 10 | 10 | 10.1 | 10.4 | 6.2 | ||
| PP | 3.5 | 7.0 | 7.2 | ||||||
| SF | 76 | 76 | 78 | ||||||
| Steel fibres | 31 | ||||||||
| Gravel | 1000 | ||||||||
| Material | Reference | Equation | 
|---|---|---|
| FC (sand fine aggregate) | Jones and McCarthy [5] | |
| FC (fly ash fine aggregate) | Jones and McCarthy [5] | |
| NWC | BS 8110-1:1997 [87] | |
| LWC | BS 8110-1:1997 [87] | 
| No | Impact Category | Unit | FC1 | FC2 | FC3 | FC4 | FC5 | FC6 | FC7 | NWC | 
|---|---|---|---|---|---|---|---|---|---|---|
| 1 | Climate change | kg CO2 eq | 741.911 | 740.889 | 881.907 | 881.907 | 810.565 | 827.763 | 1026.579 * | 290.028 | 
| 2 | Ozone depletion | kg CFC-11 eq | 1.21 × 10−5 | 1.21 × 10−5 | 1.62 × 10−5 | 1.67 × 10−5 * | 1.52 × 10−5 | 1.65 × 10−5 | 1.56 × 10−5 | 2.14 × 10−6 | 
| 3 | Terrestrial acidification | kg SO2 eq | 2.750 | 2.744 | 3.369 | 3.397 | 3.140 | 3.201 | 3.768 * | 0.958 | 
| 4 | Freshwater eutrophication | kg P eq | 0.013 | 0.013 | 0.018 * | 0.018 * | 0.018 * | 0.018 * | 0.016 | 0.001 | 
| 5 | Marine eutrophication | kg N eq | 0.732 | 0.731 | 1.071 | 1.072 * | 1.063 | 1.065 | 0.845 | 0.034 | 
| 6 | Human toxicity | kg 1,4-DB eq | 31.097 | 30.659 | 40.124 | 40.266 | 38.588 | 38.912 | 43.416 * | 7.267 | 
| 7 | Photochemical oxidant formation | kg NMVOC | 2.118 | 2.106 | 2.442 | 2.464 | 2.228 | 2.274 | 2.926 * | 0.910 | 
| 8 | Particulate matter formation | kg PM10 eq | 0.940 | 0.938 | 1.129 | 1.138 | 1.048 | 1.066 | 1.308 * | 0.348 | 
| 9 | Terrestrial ecotoxicity | kg 1,4-DB eq | 0.031 | 0.031 | 0.044 * | 0.044 * | 0.043 | 0.043 | 0.040 | 0.003 | 
| 10 | Freshwater ecotoxicity | kg 1,4-DB eq | 0.127 | 0.124 | 0.149 | 0.151 | 0.140 | 0.144 | 0.167 * | 0.041 | 
| 11 | Marine ecotoxicity | kg 1,4-DB eq | 0.413 | 0.410 | 0.567 | 0.571 * | 0.553 | 0.562 | 0.545 | 0.059 | 
| 12 | Ionising radiation | kBq U235 eq | 0.714 | 0.714 | 1.488 | 2.192 | 0.804 | 2.269 * | 0.648 | 0.011 | 
| 13 | Agricultural land occupation | m2a | 21.475 | 21.518 | 30.950 * | 30.950 * | 30.672 | 30.685 | 27.949 | 1.694 | 
| 14 | Urban land occupation | m2a | 11.452 | 11.461 | 15.088 | 15.088 | 14.545 | 14.548 | 16.863 * | 3.317 | 
| 15 | Natural land transformation | m2 | 0.044 | 0.044 | 0.059 | 0.059 | 0.057 | 0.057 | 0.062 * | 0.022 | 
| 16 | Water depletion | m3 | 19.726 | 19.170 | 22.656 | 22.664 | 21.194 | 21.221 | 24.184 * | 8.494 | 
| 17 | Metal depletion | kg Fe eq | 32.157 | 32.163 | 44.797 | 44.805 | 43.946 | 43.982 | 61.052 * | 5.005 | 
| 18 | Fossil depletion | kg oil eq | 169.858 | 169.463 | 216.806 | 222.990 | 199.791 | 212.722 | 228.846 * | 51.555 | 
Disclaimer/Publisher’s Note: The statements, opinions and data contained in all publications are solely those of the individual author(s) and contributor(s) and not of MDPI and/or the editor(s). MDPI and/or the editor(s) disclaim responsibility for any injury to people or property resulting from any ideas, methods, instructions or products referred to in the content.  | 
© 2024 by the authors. Licensee MDPI, Basel, Switzerland. This article is an open access article distributed under the terms and conditions of the Creative Commons Attribution (CC BY) license (https://creativecommons.org/licenses/by/4.0/).
Share and Cite
Rahardjo, A.; Navaratnam, S.; Zhang, G.; Tushar, Q.; Nguyen, K. Suitability of Foamed Concrete for the Composite Floor System in Mid-to-High-Rise Modular Buildings: Design, Structural, and Sustainability Perspectives. Sustainability 2024, 16, 1624. https://doi.org/10.3390/su16041624
Rahardjo A, Navaratnam S, Zhang G, Tushar Q, Nguyen K. Suitability of Foamed Concrete for the Composite Floor System in Mid-to-High-Rise Modular Buildings: Design, Structural, and Sustainability Perspectives. Sustainability. 2024; 16(4):1624. https://doi.org/10.3390/su16041624
Chicago/Turabian StyleRahardjo, Alvin, Satheeskumar Navaratnam, Guomin Zhang, Quddus Tushar, and Kate Nguyen. 2024. "Suitability of Foamed Concrete for the Composite Floor System in Mid-to-High-Rise Modular Buildings: Design, Structural, and Sustainability Perspectives" Sustainability 16, no. 4: 1624. https://doi.org/10.3390/su16041624
APA StyleRahardjo, A., Navaratnam, S., Zhang, G., Tushar, Q., & Nguyen, K. (2024). Suitability of Foamed Concrete for the Composite Floor System in Mid-to-High-Rise Modular Buildings: Design, Structural, and Sustainability Perspectives. Sustainability, 16(4), 1624. https://doi.org/10.3390/su16041624
        
