Abstract
The implementation of China’s water pollution control policy is facing challenges. The current situation requires that China’s water pollution control must be transformed from a hierarchical management system to a collaborative governance model, which has led to the emergence of the river chief system (RCS). Firstly, this research analyzes the water quality in the lower Yangtze River Basin in the past five years, and the results show that the overall water quality of the study area has improved. Secondly, this research is conducted from the perspective of the four functions of adaptation (A), goal attainment (G), integration (I), and latency pattern maintenance (L), using the AGIL paradigm as a model to analyze the operation of RCS and carry out a cross-study on environmental protection and public policy, which provides a precedent for future public policy research and discussion. Finally, based on the AGIL paradigm, this research puts forward the development direction of RCS, which provides experience and theoretical support for other countries’ watershed pollution research.
1. Introduction
Water resources are the foundation of human survival and development [1,2]. It is an indispensable medium to maintain the operation of the complex system of “nature–society–economy” [3]. The water ecological environment, with water resources being its main component, has driven the development of China’s economy in the process of interactive operation with society. However, under the background of an extensive economic development model of water resources’ development represented by “high pollution and quick return” and “high energy consumption” [4,5], China’s water ecological environment has been seriously damaged, and the country’s water is called “one of the most polluted water sources in the world” [6]. Due to a need for sustainable development and the social pressure from the public to strengthen environmental control, the Chinese government has actively carried out water pollution control, but the control results are not satisfactory [7,8,9]. As research points out, the deviation of the local government’s policy implementation in the process of pollution control is the key factor affecting pollution control [10,11,12,13]. However, the difficulties in the implementation of water pollution control policies can be attributed to failures in communication and adaptability between departments and governments [8,14].
The performance of water pollution control is often reflected by the water quality of river basins. In practice, the main body of river basin control is scattered into several, sometimes even more than ten, departments [15,16,17]; this phenomenon is called “Nine dragons manage the water” “Nine dragons manage the water” directly triggers the problem of overlapping powers and interests of government departments while performing their duties [18], leading to it being difficult for various departments to coordinate their work in the process of water control [19,20]. In addition, the “Environmental Protection Law of the People’s Republic of China” (hereafter referred to as the “Environmental Protection Law”) requires governments at all levels to carry out water pollution control work within their respective administrative areas under the principle of territoriality [21,22], but different administrative concepts, levels of emphasis on work and implementation preferences among regional governments reduce the effectiveness of communication [23]. At the same time, counties, cities and provinces in the lower reaches of the basin hope that those in the upper reaches actively carry out water pollution control to reduce the control cost in their regions [23,24], but the continuous “game” and “free rider” behavior will eventually make water pollution control fall into a “prisoner’s dilemma” and evolve into a “tragedy of the commons” [25,26]. The public nature of basins also suggests that the days of single-actor or monopolies of administrative programs and processes are gone forever [27], and that the traditional governance model can no longer meet the needs of modern governance [28]; however, collaboration is usually considered an effective way to solve “fragmentation” [7], which requires China’s water management to change from a hierarchical management system with overlapping responsibilities to a collaborative management model with clear responsibilities [19,29,30,31]. Driven by the aforementioned theory and reality, the river chief system (RCS) came into being.
The RCS is an important environmental protection policy independently created and implemented by local governments in China to promote water pollution control, which can be traced back to the cyanobacteria incident in Taihu Lake in 2007. Facing the cyanobacteria pollution in Taihu Lake in Wuxi City, Jiangsu Province, Wuxi City issued the “Water Quality Control Objectives and Evaluation Methods of Wuxi River (Lake, Reservoir, Dang and Gui) Section (Trial)”, requiring party secretaries and heads of government at all levels in the region to serve as river chiefs and be responsible for the water quality in their respective regions [32]. After the implementation of the RCS, the water quality of Taihu Lake Basin significantly improved, and some provinces and cities have begun to carry out pilot projects in their respective regions. In 2016, the General Office of the CPC Central Committee and the General Office of the State Council (hereafter referred to as the “two offices”) issued the “Opinions on Comprehensively Implementing the River Chief System” (hereafter referred to as the “Opinions”). The “Opinions” requires all localities to fully implement the RCS by the end of 2018, which means that the RCS has risen from a regional “sports governance policy” to a national long-term management system [33]. Under the strong promotion of the “Opinions”, 31 provinces completed the goal of comprehensively implementing the RCS ahead of schedule by the end of 2017, and “one river, one lake and one river chief” was fully realized [34].
With the promotion of the RCS in China, related collaborative governance studies have become one of the hot spots in academic circles. By summarizing the research on the collaborative management of the RCS in recent years, it has been found that the current research directions mainly focus on the following three aspects:
The first aspect is research on the performance of collaborative governance of the RCS. Yu et al. (2022) conducted a quasi-natural experiment test on major river basins, including the Yangtze River Basin, and the research concluded that the implementation of the RCS can significantly reduce the concentrations of COD and NH3-N in rivers in provincial border areas, and can achieve a coordinated management of cross-provincial river pollution within a certain period of time [35]. Wang et al. (2020) took the Yangtze River Economic Belt as their research object and tested the dual environmental and economic dividend effects of the river chief system through DID, confirming the significantly improved performance that the river chief system brings to the water environment of the Yangtze River Economic Belt [36]. Based on TOPSIS, Zhang et al. (2020) built a performance evaluation model of the RCS, which was used to diagnose the indicators affecting the performance evaluation level of the RCS, and confirmed the rising trend of performance evaluation level of RCS in Jiangsu Province [37]. H. Liu et al. (2019) took Foshan River Basin as an example, and from the perspective of single-stage cooperative game, demonstrated that the RCS realizes the sustainable management of water resources through cross-regional negotiation [8].
The second aspect is the research on the realization logic of collaborative governance of the RCS. Zhou and Xiong (2017) summarized the performance generation logic of the RCS into three aspects: “vertical integration of functions”; “transformation of government attention”; and “accountability”, which forced “cooperation” [38]. Some scholars reached the conclusion, from a practical perspective, that the logic of RCS governance cannot be separated from “vertical inter-governmental cooperation” and “horizontal inter-governmental cooperation” [39]. Cao and Zhou (2020) constructed a system interpretation framework, taking the function of “hierarchical management system”, the deep structure of “leadership pressure promotion” and the mechanism conditions of “high leadership of the Party Committee” as the main contents, and summarized the logic of realizing collaborative governance of the RCS [40].
The third aspect is the optimization research of coordinated governance of the RCS. Xu and Lu (2019) analyzed the RCS and diversified ways of public participation from the perspective of collaborative governance, pointed out the deep-seated problems of the current governance model, and put forward the improvement direction of the future collaborative water control model [41]. Wu and Tang (2020) put forward policy suggestions on joint prevention and control of river basins from the aspects of promoting the overall planning and legislation of river basin protection, promoting departmental linkage and joint law enforcement, and improving capital investment incentives [42]. Based on the perspective of holistic governance, Li et al. (2021) proposed measures such as “developing a networked government information management system”, “improving peer-level integration”, and “encouraging the participation of multiple entities” to address the shortcomings of the river chief system in the collaborative governance of the Yangtze River Basin [43]. Tang et al. (2018) determined the present situation and problems of river basin management and RCS, and studied the mode of coordinated promotion of the RCS and river basin management from the aspects of contents, ways and suggestions of collaborative management [44].
In recent years, academic studies on collaborative governance of the RCS have affirmed the positive role of the RCS in improving water pollution control performance to a certain extent, and the aforementioned studies have also laid a certain academic foundation for this research. However, the existing research on the operational mechanism of cooperative management of the RCS is blank and not systematic. This research started from the four dimensions of adaptation function (A), goal attainment function (G), integration function (I), and latency pattern maintenance function (L), and used the AGIL paradigm to construct the operating mechanism of the RCS, systematically and creatively answering how to realize collaborative governance of the RCS and the corresponding operational mechanism, and providing a direction for the development of collaborative governance of RCS. The structure of this research is arranged as follows: the Section 2 is the materials and methods, the Section 3 covers the results, the Section 4 presents the discussion, and the Section 5 presents the conclusion.
2. Materials and Methods
2.1. Research Area
The study area of this research is the lower Yangtze River Basin, which lies between 113°60′–122°20′ E and 24°50′–33°80′ N (see Figure 1).
Figure 1.
Map of the lower Yangtze River Basin.
The lower Yangtze River Basin starts from Hukou County, Jiangxi Province, flows to Chongming District, Shanghai, and then enters the sea, with a total length of 938 km. The lower Yangtze River Basin comprises the Poyang Lake water system, the lower main stream, and the delta plain area, with an area of about 120,000 square kilometers. According to the division of river basins in regions in the National Surface Water Quality Automatic Monitoring Real-Time Data Publishing System, the lower Yangtze River Basin passes through five provinces: Jiangxi, central and southern Anhui, southern Jiangsu, southwestern Zhejiang, and Shanghai. With the downstream water system including tributaries such as the Huayang River, Wan River, and Shuiyang River, the overall basin has a dense river network and intricate river characteristics, which provide a natural geographical basis for studying the RCS. As a result of the geographical advantages of many rivers and plains in the lower Yangtze River Basin, coastal cities have expanded rapidly, attracting a large number of industrial enterprises along the Yangtze River. However, the wastewater produced by mining development, industrial production and urban life is discharged into the water body, making the water quality deteriorate gradually, resulting in various environmental problems and extremely complex pollution sources in the Yangtze River, which brings great difficulties to the treatment of water. The basis for evaluating whether the surface water quality in China reaches the excellent level is the Label of Surface Water Environmental Quality of the People’s Republic of China (GB3838-2002) (See Table 1). Class I and II mean excellent, Class III and IV mean good, and Class V means poor. In 2015, the rivers in the cities along the lower basins of the Yangtze River were severely polluted. Except for a few rivers close to the Yangtze River, almost all of them have a water quality of Class IV–V, and some river sections no longer meet agricultural irrigation requirements. There is an urgent need to implement the RCS to improve the pollution levels in these basins.
Table 1.
Water functions and classification.
2.2. Data
The “Surface Water Environmental Quality Assessment Methods (Trial)” issued by the Ministry of Environmental Protection (now restructured as the “Ministry of Ecology and Environment”) in 2011 stipulates the “Water Basin Water Quality Assessment Methods”. The regulations point out that water quality ratio conditions are mainly evaluated based on the percentage of the number of sections of each water quality category in the basin (represented by M) to the total number of sections in the basin (represented by N) like × 100%.
According to the relevant provisions of the “China Information Disclosure System”, the environmental bulletins of each province and city clearly indicate the water quality conditions ratio in the Yangtze River Basin within their respective administrative areas. In this study, the environmental bulletins of Jiangxi, Anhui, Jiangsu, Zhejiang and Shanghai for 2016–2020 were collected. Since the number of cross-section monitoring points in Zhejiang and Shanghai is too small to be of much reference value, we selected the cross-section water quality ratios of Jiangxi, Anhui and Jiangsu Provinces (see Table 2).
Table 2.
Water quality proportion of the lower Yangtze River Basin section in Jiangxi Province, Anhui Province and Zhejiang Province from 2016 to 2020.
In order to determine more intuitively whether the water quality in the lower Yangtze River Basin is improving as a whole, this research shows the cross-section water quality ratio in Table 2 in the form of a line chart (see Figure 2, Figure 3 and Figure 4).
Figure 2.
Water quality ratio line chart of the lower Yangtze River Basin in Jiangxi Province from 2016 to 2020.
Figure 3.
Water quality ratio line chart of the lower Yangtze River Basin in Anhui Province from 2016 to 2020.
Figure 4.
Water quality ratio line chart of the lower Yangtze River Basin in Jiangsu Province from 2016 to 2020.
It is undeniable that the changes in water quality in the basin cannot be determined in detail only through the above figures; so, this research collected more detailed water quality data. Considering that the government is suspected of interfering with the provincial water quality data, this research uses the data of state-controlled monitoring points. These data come from the National Surface Water Quality Automatic Monitoring Real-Time Data Publishing System (https://szzdjc.cnemc.cn:8070/GJZ/Business/Publish/Main.html, accessed on 12 March 2023), and the state-controlled surface water data in this system are regularly released by the Ministry of Ecology and Environment. The water temperature, electrical conductivity, turbidity, pH value, dissolved oxygen (DO), potassium permanganate index (CODMn), ammonia nitrogen (NH3-N), total phosphorus and total nitrogen are the main indexes to evaluate the degree of water pollution in this data system. Because the state-controlled surface water quality data collected in the study area cannot directly reflect the relevant contents of water temperature, electrical conductivity, turbidity, total phosphorus and total nitrogen, this research identified four indexes as the main research data sources: pH, dissolved oxygen (DO), potassium permanganate index (CODMn), and ammonia nitrogen (NH3-N). At the same time, considering that the comprehensive establishment time of the “five-level RCS” in Jiangxi, Anhui, Jiangsu, Zhejiang and Shanghai is concentrated around 2017, this research took 2016, the time when the RCS is fully promoted, as the starting point, and chose the interval from 2016 to 2020 in order to obtain more obvious observation results.
2.3. Methods
2.3.1. Theoretical Methods
The study of social phenomena usually adopts multi-dimensional analytical methods. A series of social phenomena such as the implementation of policy involve multiple aspects, which require multi-dimensional analytical methods for comprehensive explication. Different from the embedding theory and grounded theory used in public policy research, the AGIL paradigm is one of the most representative multidimensional research methods, and this multidimensional analysis method has proven to be effective in qualitative research. It is often used in qualitative research to obtain results quickly and at low cost [45,46]. In addition, since the AGIL paradigm systematically describes social functions and social operations, it is particularly appropriate to use it as a theoretical tool to analyze and explore social operations [47]. For example, the AGIL paradigm has been combined with the national emergency management system [45], rural mutual pension [46], and innovative mode of enterprise operation [48]. The studies above have obtained significant achievements.
The AGIL paradigm originated from Parsons’ structural functionalism, a sociological scheme founded by American sociologist Talcott Parsons on the basis of functionalism. It is called the theoretical core of Parsons’ structural functionalism [49]. The AGIL paradigm includes the following four functions: adaptation, goal attainment, integration, and latency pattern maintenance. According to Parsons’ discussion on the AGIL paradigm, the AGIL paradigm has the following four broad symbolic media: A (economy), such as money; G (political system), such as political power; I (social community), such as influence; and L (cultural system), such as value commitment [50]. From the concrete point of view of the AGIL paradigm discussed by Parsons, the adaptation function is biased towards external problems as a whole, including the adaptation to the constraints, pressures of the environment, the positive transformation of the environment, and maintaining the operation of the system by collecting resources and producing goods to realize social redistribution; the goal attainment function is more inclined to external problems as a whole, including the general goal established by the social system and making corresponding supporting measures to promote the realization of the goal so as to focus the social activities of social members on a certain purpose; the integration function is biased towards internal issues as a whole, including coordinating the various components of the social system and requiring the social values and norms to be stable and fully integrated so that the various components of the social system can be coordinated as a cohesive whole and cooperate effectively; the latency pattern maintenance function is generally biased towards external problems, including the function of maintaining the order of system action and the continuity of the activity mode according to some norms and principles so as to alleviate the contradictions in the operation of social systems [51].
The mechanism of the RCS can be considered the application of the AGIL paradigm. First, the applicable objects of the AGIL paradigm should have a certain subject structure, interaction and functional effect. In the operation of the RCS, actors at all levels, such as party committees, governments, and departments, interact and coordinate with each other based on different motivations and needs, and gradually realize the relatively stable state of water pollution control performance. Second, the AGIL paradigm is committed to finding and exploring various factors that maintain the operation and stability of a particular social system. The RCS also has the necessary objective conditions, operational organizational structure and other factors, which provides the essential basis for the AGIL paradigm to explore why the RCS can achieve collaborative governance. Third, the AGIL paradigm emphasizes examining an institution from a holistic or multi-dimensional perspective. The RCS will inevitably involve multi-dimensional social elements, such as politics and society.
2.3.2. Data-Processing Methods
Firstly, we collected a large volume of national surface water quality data in the study area. Secondly, there were blank values and abnormal values in a very small part of the data due to factors such as monitoring equipment maintenance; so, we preliminarily eliminated the collected blank and abnormal data. Thirdly, in order to prevent the interference of abnormal values that are difficult to find on the data’s generation, we used Stata 17 software to shrink the tail of the data [52,53], whose specific operation is to replace values of less than 2.5% with 2.5% and values greater than 97.5% with 97.5%. Finally, the descriptive statistics and sample size table of the replacement variables were derived by using Stata 17 software, as shown in Table 3.
Table 3.
Descriptive statistics.
Faced with the large amount of data mentioned above, a more intuitive and reasonable method was needed to express it. Correll and Gleicher and Sidiropoulos et al. pointed out that violin plots make statistical reasoning results more obvious [54,55]; so, this research chose “violin plots” as the data visualization method, and the specific results are as follows.
3. Results
This research selected the some basic project standard limits of the surface water environmental quality standard in GB3838-2002 [56] (see Table 4) to evaluate the specific changes in surface water quality in each province in the basin.
Table 4.
Standard limits for some basic items of surface water environmental quality standards.
We inserted the data in Table 3 into Origin 2021 software for analysis, optimized the plots without affecting the results, and generated violin plots of pH, DO, CODMn and NH3-N (see Figure 5, Figure 6, Figure 7 and Figure 8). The white dot in the figure represents the median; the black and white square frame is the cabinet, representing the quartile interval of 25–75%; the black line represents the distance between the upper and lower quartiles multiplied by the quartile of 1.5; the violin area beyond the black line represents an outlier greater than the upper and lower quartiles by 1.5 times; and the gray area is the core density area of the violin. The wider the area, the larger the data sets.
Figure 5.
Violin plot of pH value in the lower Yangtze River Basin from 2016 to 2020.
Figure 6.
Violin plot of DO value in the lower Yangtze River Basin from 2016 to 2020.
Figure 7.
Violin plot of CODMn value in the lower Yangtze River Basin from 2016 to 2020.
Figure 8.
Violin plot of NH3-N value in the lower Yangtze River Basin from 2016 to 2020.
According to Table 3, the excellent pH value should be kept in the range of 6–9. Figure 5 shows that since 2016, the pH value of the lower Yangtze River Basin has tended to be 7–8 as a whole, reducing the risk of exceeding the excellent range; at the same time, the length of the cabinet in 2020 is shorter than that in previous years, which proves that the span of the pH value becomes smaller and the whole tends to be stable. Generally speaking, the pH value in the lower Yangtze River Basin is stably improving.
Figure 6 shows that the lower quartile value of DO increased from 5.74 in 2017 to 7.54 in 2020, far exceeding the 6.5 specified by Class I water quality; at the same time, the core density map of violin plot in 2020 shows that compared with other years, the distribution of DO values tends to be concentrated in a higher value range. Finally, the quartile range of DO in 2020 is 7.54–9.98, which is higher than in other years, indicating that DO content has been improved, and most of the values have reached Class I water quality.
Figure 7 shows that the cabinet range of CODMn decreased from 2.28–3.69 in 2017 to 1.64–3.17 in 2020, showing a downward trend as a whole. Secondly, compared with previous years, the widest position of CODMn core density plot tends to be concentrated in the range of 1.5–2 in 2020, indicating that the number of low values of CODMn gradually increases, and the lowest value of CODMn in 2020 is almost as low as 0.5, which is the lowest in all previous years. It is worth noting that in 2020, when the overall monitoring data increased seven times and there were a higher number of outliers compared with those observed in 2019, the overall water quality was better than in previous years from the distribution of cabinet and core density plot. And most of the values still met the requirements of Class II water quality.
Figure 8 shows that the median of NH3-N shows a downward trend, from 0.25 in 2016 to 0.115 in 2020, while the lower quartile value in 2020 is only 0.043, which is the lowest in all previous years. Secondly, according to the core density map, a large number of NH3-N data are concentrated in the lower 0.04, which means that the amount of low-value data is increasing. Finally, the median value in 2020 remains at 0.115, which is not only lower than 0.19 in 2016, but also far lower than 0.15, as stipulated by Class I water quality requirements, indicating that the proportion of values meeting Class I water quality requirements has been further expanded in 2020.
In order to observe the changes in water quality in the lower Yangtze River Basin in more detail, this research classified the monitoring data of water quality in the lower Yangtze River Basin according to provinces. Because the number of data monitoring points in Zhejiang and Shanghai is too small to have great reference value, we took the monitoring data of Anhui, Jiangxi and Zhejiang provinces as the main research object to show the regional trend of water quality change in each province (see Figure 9, Figure 10, Figure 11 and Figure 12).
Figure 9.
(a) pH violin plot of Jiangxi Province from 2016 to 2020; (b) pH violin plot of Anhui Province from 2016 to 2020; (c) pH violin plot of Jiangsu Province from 2016 to 2020.
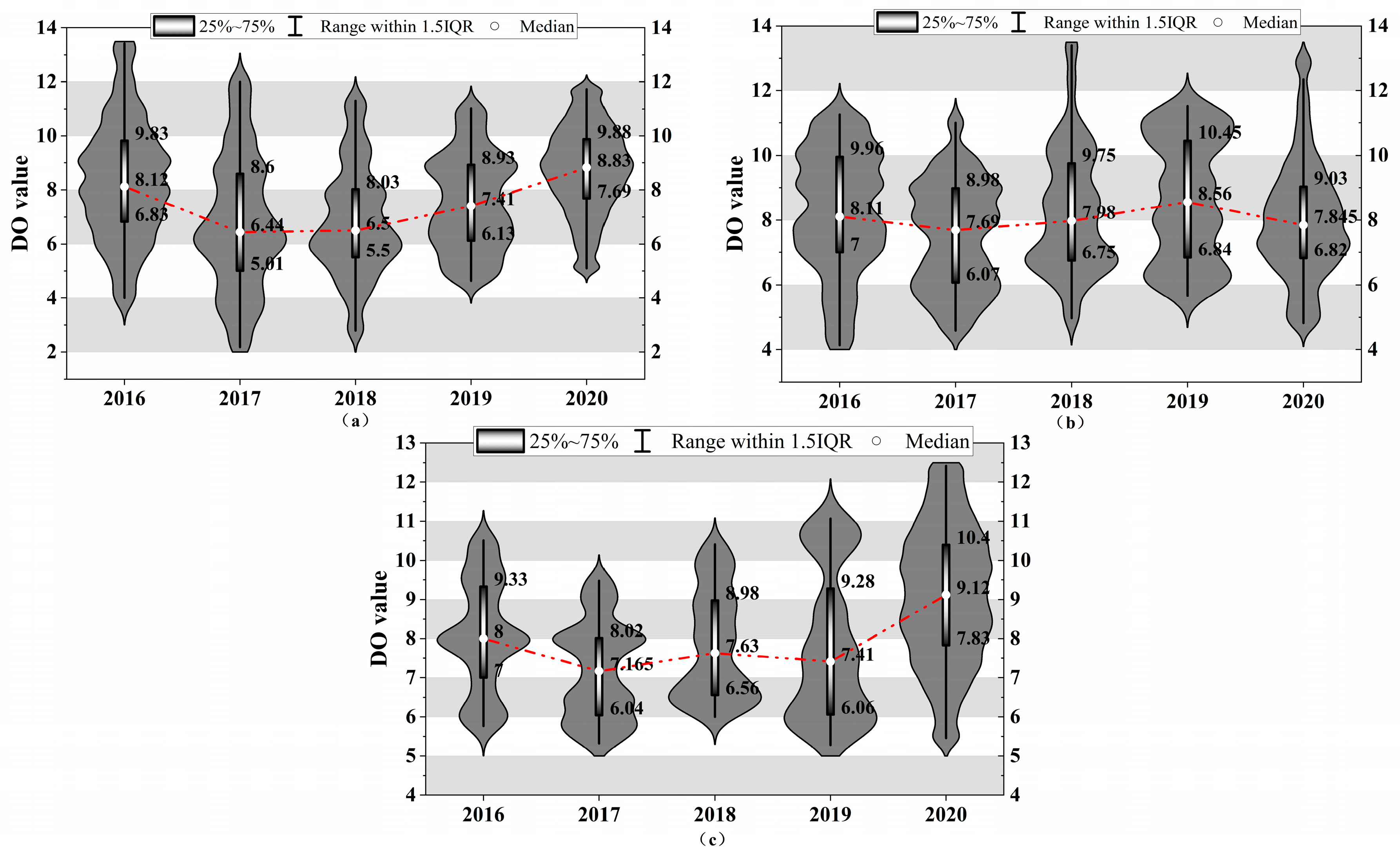
Figure 10.
(a) DO violin plot of Jiangxi Province from 2016 to 2020; (b) DO violin plot of Anhui Province from 2016 to 2020; (c) DO violin plot of Jiangsu Province from 2016 to 2020.
Figure 11.
(a) CODMn violin plot of Jiangxi Province from 2016 to 2020; (b) CODMn violin plot of Anhui Province from 2016 to 2020; (c) CODMn violin plot of Jiangsu Province from 2016 to 2020.
Figure 12.
(a) NH3-N violin plot of Jiangxi Province from 2016 to 2020; (b) NH3-N violin plot of Anhui Province from 2016 to 2020; (c) NH3-N violin plot of Jiangsu Province from 2016 to 2020.
Figure 9 shows the change trend of pH value in three provinces in the lower Yangtze River Basin from 2016 to 2020. The pH values of the three provinces in the basin are stable in the excellent range of 6–9, which reduces the risk of exceeding the excellent range.
Figure 10 shows the change trend of DO value in three provinces in the lower Yangtze River Basin from 2016 to 2020. The lower quartile of DO monitoring values in Jiangxi and Jiangsu Provinces in 2020 exceeds 7.5, indicating that about 75% of DO monitoring values in the region meet Class I requirements. According to the lower quartile value of DO in Anhui Province in 2020, the DO value also reached 6.82, far exceeding the requirement of Class II water quality of 6, which means that the proportion of Class II water quality has also been expanded.
Figure 11 shows the change trend of CODMn values in three provinces in the lower Yangtze River Basin from 2016 to 2020. The median value of CODMn in Jiangxi Province shows a downward trend as a whole, and the lower quartile value of CODMn in Jiangxi and Anhui Provinces also decreases year by year. Judging from the core density plot distribution of Jiangsu Province, when the monitoring point data expanded nearly seven times in 2020 compared with 2017, the overall CODMn of Jiangsu Province showed a downward trend, indicating that the number of low values of CODMn was increasing.
Figure 12 shows the change trend of NH3-N values in three provinces in the lower Yangtze River Basin from 2016 to 2020. In 2020, the median values of NH3-N in three provinces in the basin showed an overall decline, which was lower than 0.15, indicating that 50% of the monitored values met Class I requirements. At the same time, the core density violin plot in each province gradually tended to be low and the lower quartile value decreased continuously, indicating that the number and proportion of the monitored NH3-N values reaching Class I water quality further expanded.
The water quality ratio plot of the lower Yangtze River Basin in each province shows that the water quality of the lower Yangtze River Basin is in a stable and excellent situation in Jiangxi, and the excellent water quality ratio of the lower Yangtze River Basin in Anhui Province and Jiangsu Province has been significantly improved. Combined with the microscopic results of the violin plots, we think that the water quality ratio of the lower Yangtze River Basin is stable and excellent after the implementation of the RCS, the overall water treatment of the lower Yangtze River Basin has achieved an obvious measurable performance, and the coordinated governance of the RCS has achieved good results.
4. Discussion
4.1. Operational Mechanism of RCS to Realize Collaborative Governance
4.1.1. From the Perspective of Adaptation Function of RCS
First, the RCS has realized collaborative governance. Because of the watershed and diffusion of water, water pollution control involves many governments and complicated departments [15,17]. Taking Jiangxi Province as an example, in the “Work Plan for Water Pollution Prevention and Control in Jiangxi Province in 2020”, only the work of “industrial pollution prevention and control” involves several departments, such as the Provincial Department of Ecology and Environment, the Provincial Department of Industry and Information Technology, the Provincial Development and Reform Commission, the Provincial Department of Science and Technology, the Provincial Department of Commerce and the Provincial Department of Natural Resources. Facing the reality that there are so many and independent governments and departments in water control, it is difficult to promote collaborative governance and achieve a high water pollution control performance without a common leader [57,58].
In view of this problem, the implementation of the RCS has led to a solution to the problem arising from the political situation in China. In China’s political system, the biggest national condition and the most essential feature of China is the leadership of the Communist Party of China [59]. General Secretary Xi Jinping has repeatedly stressed that “the leadership of the Party must be comprehensive, systematic and holistic”, and that in the “Party, government, military, civilian, and academic, east, west, south, north, and center, the party leads everything”. The RCS has fully adapted to China’s political environment, being firmly committed to “Party committee Leadership”, set party committees at all levels as the core of water pollution control rights, and set up a “Dragon King” for the original “nine dragons manage the water”. As the “top leaders”, party committees at all levels have more resources and a stronger ability to mobilize resources, and are more effective in promoting collaborative governance between governments or departments [15,60]. Zhou Bin, then secretary of Wujin District Party Committee of Changzhou City, Jiangsu Province, as the river chief, concentrated on investing CNY 7 million to quickly solve the pollution problem of Wujin Port and rivers. It has been proven that the RCS can achieve water pollution control by mobilizing the leaders of local governments and party committees in a way that conforms to the unique political conditions of contemporary China [61].
Second, the RCS provides resource support for collaborative governance. From the perspective of public policy, the effect of the RCS on the process of interaction with the outside environment has been supported by the policies of the CPC Central Committee and local governments. In 2016, the “two offices” issued the “Opinions”, which emphasized the contents of “Party and government leadership, departmental linkage”, “expanding public participation channels” and “accepting social supervision” in the form of joint documents issued by the Party and government, affirmed the importance of collaborative governance within and outside the system, and provided policy guarantee for the collaborative governance operation of the RCS. Subsequently, the Ministry of Water Resources and the Ministry of Environmental Protection issued the “Implementation Plan for Implementing the Opinions”, which once again emphasized the construction requirements of “departmental linkage”. Meanwhile, provinces in the lower Yangtze River Basin also issued documents, such as the “Work Plan for the Comprehensive Implementation of the RCS in Jiangxi Province”, and the “Work Plan for the Comprehensive Implementation of the RCS in Anhui Province”, making institutional arrangements for collaborative governance within and outside the system. In 2017, China’s first special legislation on the RCS, “Regulations on River Chief System in Zhejiang Province”, was successfully promulgated, which guarantees collaborative governance operation and realizes the collaborative governance “law to follow”.
From the aspect of material security, the RCS has also obtained the material security to maintain its own operation in the process of interaction with the external environment. On 9 June 2022, the General Office of the State Council issued the “Circular on the List of Places and Incentive Measures for the Implementation of Major Policies and Measures in 2021 with Obvious Effects”. The document stated that, based on the excellent performance of Bengbu City in Anhui Province in implementing the RCS while arranging a moderate shift of the central government’s water conservancy development funds, it would receive an economic reward of CNY 20 million [62]. Bengbu City, Anhui Province, has obtained financial support by implementing the RCS and using collaborative management to improve the external water environment management, and then urged the local government to further consolidate collaborative management. The public policy and material guarantee are the resources obtained after the RCS interacts with the outside world to maintain the collaborative governance operation, realizing the logical closed loop of “external interaction–access to resource–maintenance system–external interaction”.
4.1.2. From the Perspective of Goal Attainment Function of RCS
First, the RCS strengthens collaborative governance by establishing water governance goals. In 2015, the Political Bureau of the Central Committee of the Communist Party of China deliberated and approved the “Opinions on Accelerating the Construction of Ecological Civilization”, which clearly stated that “by 2020, the water quality compliance rate of important rivers and lakes water function areas will increase to more than 80%”. According to the relevant provisions of the “Regulations on the Work of the Central Committee of the Communist Party of China”, the Central Committee, the Political Bureau of the Central Committee, and the Standing Committee of the Political Bureau of the Central Committee are the brain and center of the party’s organizational system. This directly determines that the tasks assigned by the Politburo of the CPC Central Committee have the Karisma authority from the Party Central Committee, and it also directly changes the importance that local leaders attach to environmental policy implementation [63,64].
In order to achieve the overall goal of water pollution control, party committees at all levels in provinces and cities in the lower Yangtze River Basins have also made commitments to water pollution control. The “Jiangxi Province Comprehensive Implementation of the RCS Work Plan (Revised)” requires that “by 2020, the area retention rate of rivers and lakes will be more than 77%... the main surface water compliance rate will be more than 85%”. Anhui Province fully implemented the RCS Work Plan, which requires that “by 2020, the water quality compliance rate of the province’s water function areas will exceed 80%, and the proportion of sections with good water quality in the Yangtze River Basin will reach 83.3%”. It is important to note that, with the evolution of environmental status, environmental issues have gradually become a political issue in the country [65,66], and the Communist Party of China’s commitment to solving environmental problems is also a political commitment. To maintain the people’s trust and interest in the CPC, and to consolidate the CPC’s image of serving the people and seeking truth and pragmatism, party committees at all levels must mobilize all available forces to invest in local water pollution control.
Second, there has been an emphasis on linking the RCS with the incentive system to promote collaborative governance. Governments at all levels are the leaders of China’s environmental governance and play a leading role in China’s environmental governance system [25]. When the government solves environmental governance problems such as water pollution control, it cannot be separated from the incentive mechanism. The correct incentive mechanism is the key government environmental policy implementation, which can stimulate the enthusiasm of environmental law enforcement agencies, reduce law enforcement costs, and power rent seeking [67,68,69]. According to the incentive theory, incentives include positive incentives, such as those resulting in income or political promotion, and negative incentives, such as those resulting in loss or accountability [70].
From the perspective of positive incentives, in terms of environmental governance, local governments are more motivated by political promotion to implement policies [71]. Implementing the “one-vote down” in the ecological and environmental protection work assessment and evaluation mechanism means that when the jurisdiction’s environmental protection work, including water pollution control, fails to meet the assessment standards, relevant government personnel will directly lose the opportunity for promotion. As China’s bureaucratic system is spread all over, the maximization of political power is the core goal it pursues [72]. Task completion, such as water pollution prevention and control, and water environment governance are incorporated into the assessment objectives at all levels, and river chiefs at all levels must achieve the assessment objectives in order to achieve political promotion by actively seeking cooperation between governments and water-related departments to achieve the water pollution control objectives set by their superiors. In essence, the RCS is bound to political promotion and has become a pulling force for collaborative governance.
From the negative incentives’ perspective of accountability, before 2015, China’s environmental accountability showed a state of “emphasizing the responsibility of environmental protection departments and neglecting the responsibility of other departments”, and environmental accountability was alienated into “accountable environmental protection departments”. In addition, although party committees at all levels have made political commitments to local economic and social development [73], relevant laws, regulations and policies did not clearly stipulate party committee responsibility for environmental protection work, which led to the “inversion of power and responsibility” of the party committee in the environmental protection power structure, and the party committee’s environmental protection responsibility has always been a “confused account” [15]. In 2015, the two offices jointly issued the “Measures for Accountability of Party and Government Leading Cadres for Ecological Environmental Damage (Trial)” (hereafter referred to as “Measures”). This document makes institutional arrangements for the first time to investigate the party’s and government leaders’ responsibility for ecological and environmental damage. Since the river chiefs at all levels are also party and government leaders, if there is a local situation where water pollution control is not in place and the ecological environment is damaged, the “Measures” will be directly applied to hold accountable the river chiefs at all levels. In local implementation, Anhui, Jiangxi, Zhejiang, Jiangsu, Shanghai, and other provinces established the RCS in 2017, and issued their own “measures and implementation rules” in light of local realities, opening the local environmental accountability system. Wang Yi, director of the Institute of Science and Technology Policy and Management Science of the Chinese Academy of Sciences, noted that these forms of accountability are obviously political, and are directly linked to party and government leaders’ political futures. Under the pressure of political accountability, river chiefs at all levels are forced to seek cooperation from water-related departments, which has become the thrust of collaborative governance [74].
4.1.3. From the Perspective of Integration Function of RCS
First, the RCS integrates government forces and realizes coordinated governance. The fluidity and diffusion of rivers and the public attributes of river basins together determine that river basin management must involve multiple departments and even multiple countries. Successful management of the Rhine River resulted from the cooperation of nine countries, including Germany, Luxembourg, the Netherlands, and Belgium [21,75]. China’s watershed management is facing the problems of “vertical fragmentation” and “horizontal fragmentation” of intergovernmental cooperation [17,24]. Given the influence of “level efficiency”, the policy reaches the grass-roots turnover level, with too many links and too long a cycle, resulting in disconnection between superior decision making and grass-roots execution, which results in execution deviation and “vertical fragmentation” [76]. In addition, the intervention of the government on the participation of water-related departments in water pollution control and speculative behaviors such as “free rider” caused by the division of administrative regions will lead to the problem of “horizontal fragmentation” of government cooperation. Some scholars assert that effective environmental governance requires vertical interaction between different administrative levels and horizontal interaction between different administrative regions [77], which provides guidance for the RCS’s integrated function.
The office of the river chief (ORC) is the core of the RCS organization, and it is a tool for managing the RCS organization. The ORC is responsible for organizations’ specific work and the RCS’s implementation. It also implements tasks assigned by a higher-level ORC, and organizes the inspection of the RCS work in the lower administrative regions, including assessment and evaluation, etc. Taking Jiangxi’s ORC as an example, the Jiangxi Provincial ORC is set up in the provincial water resources department. The Deputy Secretary-General of the Provincial Government and the Director of the Provincial Water Conservancy Department serve as executive deputy directors. A full-time deputy director of the provincial ORC is also set up. The remaining deputy directors are the Provincial Department of Agriculture and Industry deputy director, the Provincial Environmental Protection Department deputy director and Urban-Rural Development deputy director, etc. The ORC members are all leaders in charge of government departments at all levels, which fully guarantees the RCS’s organizational and working strength in collaborative governance, which allows it to “internally digest” existing problems.
The river chief conference (RCC) provides a platform for communication and dialogue between government departments and river chiefs at all levels, and plays the functions of guiding the work direction, conveying spiritual instructions, and carrying out water-related work evaluation. The RCC is generally presided over by the river chief and attended by various water-related departments. Under the authoritative pressure presided over by the river chief, the water-related departments within the region can reach a consensus on the maximum extent and realize the integration of coordinated water management work within the region. To integrate the strength of water-related departments, local governments have also actively explored the “river chief +” governance model. There is a special meeting between the river chief, the police chief, and the chief prosecutor held in Jing’an County, Yichun City, Jiangxi Province, where problems found by the river chief during inspection can be transferred to the police or prosecutor in a timely manner, which realizes the connection between administrative law enforcement and justice.
Second, the RCS integrates non-governmental forces to achieve collaborative governance. According to the theory of public economics, government intervention is an appropriate way to avoid the “tragedy of the commons” in the environmental field; therefore, a government-led environmental governance system has been established in many countries [78,79]. However, based on the current status of water pollution control, China’s water resource challenges require the entire society to mobilize resources on a larger scale. Polanyi first proposed the concept of “polycentric” social order in 1951, affirming the public society’s role in maintaining the social system [61]. For the market role, market participation brings the social capital and technological advantages the government needs. Social capital enhances trust among subjects, lubricates social and political relations, and promotes continuous cooperation within policy networks [80], which can better promote the operation of public affairs. In short, environmental problems require joint efforts of the government, enterprises, and the public to establish a collaborative system [81].
During the RCS operation, Jiangsu and Zhejiang Provinces actively recruited private river chiefs to participate in governance. As of July 2018, the two provinces had appointed more than 760,000 social river chiefs [16]. In promoting the RCS, Zhejiang Province also mobilized the power of Zhejiang merchants (also called “Zheshang”) in the work of “five water co-governance”. In 2014, at the National Summit of Zheshang in North China, 11 Zhejiang Chambers of Commerce jointly initiated the establishment of “Love Fund for Five Waters Governance of Zheshang Outside the Province” and “Coordination and Contact Center for Five Waters Governance of Zheshang Outside the Province” to attract Zheshang forces to participate in water pollution control. In 2022, Anhui Province and Jiangxi Province issued the “Notice on Printing and Distributing Several Measures to Encourage and Support Social Capital to Participate in Ecological Protection and Restoration”, emphasizing the use of social capital to promote an integrated protection and restoration of mountains, rivers, forests, fields, lakes, grass, and sand. The provinces in the lower Yangtze River Basin have used the RCS to integrate the power of civil society and the corporate market, breaking the original river and lake governance pattern of “government initiative, enterprise passiveness, and public inactivity” from the “one-to-many” of water pollution control to the “many-to-one” coordinated governance of all aspects of society.
4.1.4. From the Perspective of Latency Pattern Maintenance Function of RCS
First, the RCS is in line with Chinese river culture. River culture embodies the integration of subject and object between humans and all things in nature. Chinese river culture has a long history, and portrays the personality of the Chinese nation from soft to strong, reflecting its cultural character [82]. On New Year’s Day in 2017, General Secretary Xi Jinping issued a call, saying “every river must have a river leader” in his New Year’s message. As of June 2018, the local RCS was fully established. The river culture is closely related to the lives of citizens, and the RCS is a combination of traditional Chinese river culture and an excellent system.
Based on a sense of identity with the river culture concept, citizens realize that rivers have cultural attributes that cannot be ignored, and the RCS, from the perspective of cultural inheritance, guides everyone to invest in river governance. The Yangtze River is the “mother river” of the Chinese nation; compared with other rivers, the Yangtze River Basin’s water pollution control resonates with all citizens. Government departments and civil society have recognized the “mother river” and increased their enthusiasm for participating in water pollution control, and the concept of collaborative governance has also spread among groups.
Second, the RCS strengthens the “flexible constraints” of collaborative governance. The RCS realizes the rigid guarantee of water management institutions and provides rigid constraints for developing collaborative governance. However, an operational system that relies solely on rigid constraints without flexible constraints will lead to authoritarianism, thereby suppressing the initiative and enthusiasm of the social system operation, which is contrary to the AGIL paradigm. Therefore, the AGIL paradigm requires the RCS to realize the active operation of collaborative governance by developing flexible constraints while improving the rigid constraints. The latency pattern maintenance function requires the system to maintain its own order of action and continuity of activities, which indicates that the RCS needs the means to ensure the long-term operation of collaborative governance. From the perspective of the internal system of collaborative governance, the learning of RCS and river culture ensures the effective operation of collaborative governance between the government and government departments, and strengthens government personnel’s understanding of the importance and necessity of collaborative governance. Personnel in government departments interact through consultations, discussions, dialogues, etc., and department attitudes are moderated through interaction and interaction pressure within the organization [83]. This alleviates communication barriers between departments and, through frequent interactions between government departments, facilitates unique coordination norms and social order within the system that encourage government departments to conduct collaborative water pollution control.
Strengthening river chiefs’ skills through training and other means will facilitate departmental coordination and arrangements, thereby improving the scientific and normative factors of collaborative governance within the system. From the perspective of the external system of collaborative governance, the distance between civil society and the system and culture can be narrowed by popularizing the RCS and promoting river culture to the public, cultivating civil society’s understanding of water pollution control, and maintaining the public society’s enthusiasm for participating in collaborative water pollution control.
4.2. How to Further Consolidate the Coordinated Governance of RCS
Based on the integration function, goal-attainment function and adaptation function in the AGIL paradigm, this research put forward the development ideas from the following three aspects: First, it is necessary to further strengthen public participation. Although the degree of coordinated environmental governance of the government, enterprises, and the public is generally increasing, the level of cooperation between the three is not high [25]. The government still excludes public participation by setting a high threshold or refusing to provide corresponding data [84]. Therefore, we suggest that, first, based on information technologies such as the RCS’s smart management platform and application (APP), relevant information, such as participants and their responsibilities, are updated in real time, and the RCS’s scope involves various divisions of labor, as well as temporary and fluid subjects of each link to conduct a comprehensive and dynamic inventory. We also recommend that an information-sharing and feedback platform for public supervision of the RCS be established throughout the lower Yangtze River Basin. Additionally, it is necessary to increase data disclosure transparency and lower the threshold for public participation by reducing irrelevant reporting information and information disclosure processes. Finally, in the decision-making process involving important issues, a certain number of public representatives, business representatives, and other experts should be selected to participate in the RCC. On the one hand, this realizes the supervision right outside the system; on the other hand, the results obtained by integrating the opinions of multiple parties are more reasonable.
Second, it is necessary to further improve the collaborative governance assessment system. The imperfect assessment system restricts collaborative governance’s effectiveness and efficiency [8]. As far as assessment content is concerned, informed and 360-degree are the basic principles for selecting assessment subjects. Collaborative governance involves many subjects; so, in addition to self-evaluation and superior evaluation within the system, the subject of assessment should also increase peer evaluation, subordinate evaluation, and stakeholders outside the system. Regarding the assessment cycle, when a certain indicator runs for a long time or the key nodes are densely distributed, to ensure that the indicator is implemented in the correct direction, it is necessary to appropriately increase the assessment frequency according to the situation, and shorten the assessment cycle. Regarding assessment content, a qualitative assessment is often highly subjective, which can easily lead to deviations in results. Therefore, it is necessary to adhere to quantitative assessment as the mainstay and qualitative assessment as a supplement, and set reasonable quantitative assessment standards according to the water pollution situation in different regions, and prevent “one size fits all” standards under bureaucracy.
Third, it is necessary to reduce the dependence on party committee authority. Although various departments can conduct water pollution control work under the leadership of the party committee, this will lead to a loss of enthusiasm and initiative in various water control departments, and encourage a “wait for arrangement, rely on arrangement” situation. In addition, the RCS relies too much on party committee authority, and there is also the risk of “rule by man”. For example, the provincial ORC sets the water pollution control goals in its administrative area, which is suspected of being “set by people”. This conflicts with China’s “ruling the country by law”. Therefore, to ensure long-term success, a Resident Coordinator must be institutionalized and codified [20], and the state should make legislative provisions on the relevant content of collaborative governance within the scope of the rule of the law to standardize and institutionalize it [85].
5. Conclusions
In this research, the water quality data samples of the lower Yangtze River Basin from 2016 to 2020 are used to show the change in water quality. By combining the analysis of violin diagrams and line diagrams, we demonstrate that the collaborative management of the RCS has yielded measurable performance outcomes. Next, this research uses the AGIL paradigm to analyze and discuss the operation logic of the RCS to realize collaborative governance, which mainly includes four aspects. First, the key leadership subject of the party committee is analyzed and the resources to maintain operation through interaction are obtained. Second, clear goals are set, which are connected to the supporting incentive system. Third, the internal and external forces of the system are integrated. Fourth, the traditional river culture is carried forward and the “flexible constraints” inside and outside the system are strengthened.
The RCS is an innovation of the Chinese government for managing rivers. It has played a key role in realizing collaborative governance among river basins, which provides a good model for other developing countries interested in exploring collaborative management of river basins. It cannot be denied that the research content of this research is limited to the lower Yangtze River Basin from 2016 to 2020, which has certain time and space limitations. At the same time, the depth of our analysis of the theoretical framework needs to be improved. We will further expand the research scope, research content and research depth according to the theoretical framework constructed in this research in follow-up research.
Author Contributions
Conceptualization, C.X. and J.L.; methodology, C.X. and J.L.; validation, C.X. and J.L.; formal analysis, Y.H.; investigation, C.X. and J.L.; resources, C.X.; data curation, J.L.; writing—original draft preparation, J.L; writing—review and editing, J.L and Y.H.; visualization, J.L.; supervision, C.X.; project administration, C.X.; funding acquisition, C.X. All authors have read and agreed to the published version of the manuscript.
Funding
This research was funded by the Training Program for One Thousand Young and Middle-Aged Backbone Teachers in Colleges and Universities in Guangxi, China. Grant number: 2021QGRW001.
Institutional Review Board Statement
Not applicable.
Informed Consent Statement
Not applicable.
Data Availability Statement
Data available on request (2103392012@st.gxu.edu.cn).
Acknowledgments
The authors gratefully acknowledge the editors and reviewers for raising suggestions and commenting on this paper.
Conflicts of Interest
The authors declare no conflicts of interest.
References
- Huang, C.; Chen, T.; Yi, H.; Xu, X.; Chen, S.; Chen, W. Collaborative Environmental Governance, Inter-Agency Cooperation and Local Water Sustainability in China. Sustainability 2017, 9, 2305. [Google Scholar] [CrossRef]
- Su, J.; Ji, D.; Lin, M.; Chen, Y.; Sun, Y.; Huo, S.; Zhu, J.; Xi, B. Developing Surface Water Quality Standards in China. Resour. Conserv. Recycl. 2017, 117, 294–303. [Google Scholar] [CrossRef]
- Fidelis, T.; Roebeling, P. Water Resources and Land Use Planning Systems in Portugal—Exploring Better Synergies through Ria de Aveiro. Land Use Policy 2014, 39, 84–95. [Google Scholar] [CrossRef]
- Fan, X.; Li, X.; Yin, J.; Tian, L.; Liang, J. Similarity and Heterogeneity of Price Dynamics across China’s Regional Carbon Markets: A Visibility Graph Network Approach. Appl. Energy 2019, 235, 739–746. [Google Scholar] [CrossRef]
- Tian, L.; Ye, Q.; Zhen, Z. A New Assessment Model of Social Cost of Carbon and Its Situation Analysis in China. J. Clean. Prod. 2019, 211, 1434–1443. [Google Scholar] [CrossRef]
- Han, D.; Currell, M.J.; Cao, G. Deep Challenges for China’s War on Water Pollution. Environ. Pollut. 2016, 218, 1222–1233. [Google Scholar] [CrossRef] [PubMed]
- Cai, H.; Chen, Y.; Gong, Q. Polluting Thy Neighbor: Unintended Consequences of China’s Pollution Reduction Mandates. J. Environ. Econ. Manag. 2016, 76, 86–104. [Google Scholar] [CrossRef]
- Liu, H.; Chen, Y.D.; Liu, T.; Lin, L. The River Chief System and River Pollution Control in China: A Case Study of Foshan. Water 2019, 11, 1606. [Google Scholar] [CrossRef]
- Wang, P. China’s Air Pollution Policies: Progress and Challenges. Curr. Opin. Environ. Sci. Health 2021, 19, 100227. [Google Scholar] [CrossRef]
- van Rooij, B. Implementation of Chinese Environmental Law: Regular Enforcement and Political Campaigns. Dev. Chang. 2006, 37, 57–74. [Google Scholar] [CrossRef]
- Ran, R. Understanding Blame Politics in China’s Decentralized System of Environmental Governance: Actors, Strategies and Context. China Q. 2017, 231, 634–661. [Google Scholar] [CrossRef]
- Chu, T.Y. Systematic Roots and Corrections of Local Government’s Governance Failure in Ecological Environment. Soc. Sci. 2020, 480, 64–75. [Google Scholar] [CrossRef]
- Wang, M. Environmental Governance as a New Runway of Promotion Tournaments: Campaign-Style Governance and Policy Implementation in China’s Environmental Laws. Environ. Sci. Pollut. Res. 2021, 28, 34924–34936. [Google Scholar] [CrossRef] [PubMed]
- Macatangay, R.E.; Rieu-Clarke, A. The Role of Valuation and Bargaining in Optimising Transboundary Watercourse Treaty Regimes. Int. Environ. Agreem. 2018, 18, 409–428. [Google Scholar] [CrossRef]
- Ran, R. Unpacking the Decentralization Paradox of Environmental Governance: From the Perspective of Politics of Blame Avoidance. Econ. Soc. Syst. Comp. 2019, 68–76. [Google Scholar]
- Wang, Y.; Chen, X. River Chief System as a Collaborative Water Governance Approach in China. Int. J. Water Resour. Dev. 2020, 36, 610–630. [Google Scholar] [CrossRef]
- Wang, B.; Wang, H.; Zeng, X.; Li, B. Towards a Better Understanding of Social-Ecological Systems for Basin Governance: A Case Study from the Weihe River Basin, China. Sustainability 2022, 14, 4922. [Google Scholar] [CrossRef]
- Song, X.; Ravesteijn, W.; Frostell, B.; Wennersten, R. Managing Water Resources for Sustainable Development: The Case of Integrated River Basin Management in China. Water Sci. Technol. 2010, 61, 499–506. [Google Scholar] [CrossRef]
- Li, J.; Shi, X.; Wu, H.; Liu, L. Trade-off between Economic Development and Environmental Governance in China: An Analysis Based on the Effect of River Chief System. China Econ. Rev. 2020, 204, 101403. [Google Scholar] [CrossRef]
- Ouyang, J.; Zhang, K.; Wen, B.; Lu, Y. Top-Down and Bottom-Up Approaches to Environmental Governance in China: Evidence from the River Chief System (RCS). Int. J. Environ. Res. Public Health 2020, 17, 7058. [Google Scholar] [CrossRef] [PubMed]
- Zheng, S.; Kahn, M.E.; Sun, W.; Luo, D. Incentives for China’s Urban Mayors to Mitigate Pollution Externalities: The Role of the Central Government and Public Environmentalism. Reg. Sci. Urban Econ. 2014, 47, 61–71. [Google Scholar] [CrossRef]
- Zhou, R.; Li, Y.; Wu, J.; Gao, M.; Wu, X.; Bi, X. Need to Link River Management with Estuarine Wetland Conservation: A Case Study in the Yellow River Delta, China. Ocean. Coast. Manag. 2017, 146, 43–49. [Google Scholar] [CrossRef]
- Gao, X.; Teets, J. Civil Society Organizations in China: Navigating the Local Government for More Inclusive Environmental Governance. China Inf. 2021, 35, 46–66. [Google Scholar] [CrossRef]
- Zhang, Z.; Xiong, C.; Yang, Y.; Liang, C.; Jiang, S. What Makes the River Chief System in China Viable? Examples from the Huaihe River Basin. Sustainability 2022, 14, 6329. [Google Scholar] [CrossRef]
- Duan, X.; Dai, S.; Yang, R.; Duan, Z.; Tang, Y. Environmental Collaborative Governance Degree of Government, Corporation, and Public. Sustainability 2020, 12, 1138. [Google Scholar] [CrossRef]
- Wang, J.; Song, Y. Effect of Water Pollution Control on Provincial Boundaries of River-Director System: Based on the Study of the Yangtze River Valley in China. Environ. Sci. Pollut. Res. 2020, 27, 35217–35227. [Google Scholar] [CrossRef] [PubMed]
- Ren, M. The River-chief mechanism: A Case Study of China’s Inter-departmental Coordination for Watershed Treatment. J. Beijing Adm. Inst. 2015, 97, 25–31. [Google Scholar] [CrossRef]
- Fu, J.B. Research on multi-subject collaborative governance of the ecological environment in the Yellow River Basin. J. Irrig. Drain. 2020, 39, 130–137. [Google Scholar] [CrossRef]
- Dijkstra, B.R.; Fredriksson, P.G. Regulatory Environmental Federalism. Annu. Rev. Resour. Econ. 2010, 2, 319–339. [Google Scholar] [CrossRef]
- Liu, F.; Xu, H.H.; Miao, W. Social Water Environment Governance Innovation in China Driven by Big Data: Frontier Trends, Dilemma Challenges and Optimization Paths. IOP Conf. Ser. Earth Environ. Sci. 2020, 612, 012054. [Google Scholar] [CrossRef]
- Wang, B.; Wan, J.; Zhu, Y. River Chief System: An Institutional Analysis to Address Watershed Governance in China. Water Policy 2021, 23, 1435–1444. [Google Scholar] [CrossRef]
- Zhu, M. On the Development Practice and Promotion of the River Chief System. Environ. Prot. 2017, 45, 58–61. [Google Scholar] [CrossRef]
- Xiong, Y. Cross-domain Environmental Governance: An Analytical Framework of “Vertical-Horizontal” Mechanism—Taking “River Chief System” as an Analysis Sample. Beijing Soc. Sci. 2017, 169, 108–116. [Google Scholar] [CrossRef]
- Hao, Y.; Wan, T. Consensus Mobilization: A Framework Analysis of the River Chief System to Activate Public Responsibility. J. Guangxi Univ. (Philos. Soc. Sci.) 2019, 41, 133–140. [Google Scholar] [CrossRef]
- Yu, H.; Yang, L.; Zheng, X. Can River Chief System Realize the Coordinated Governance from “Beggar Thy Neighbor” to “Help Each Other”: Examination from Quasi-Natural Experiment in the Seven Major River Basins. Soft Sci. 2022, 36, 40–47. [Google Scholar]
- Wang, L.; Sun, Z.Y. An Empirical Study on the Double Dividend Effect of Environment and Economy of the River Chief Policy—A Quasi-Natural Experiment Based on the Implementation of the River Length System Policy in the Yangtze River Economic Belt. Soft Sci. 2020, 34, 40–45. [Google Scholar]
- Zhang, Y.; Wang, J.; Zhu, K.; Min, F. River Research Department, Changjiang River Scientific Research Institute. Study on performance evaluation of the river chief system based on TOPSIS: Case of Jiangsu province. Yangtze River 2020, 51, 237–242. [Google Scholar] [CrossRef]
- Zhou, J.; Xiong, Y. “The River Chief System”: How Is Continuous Innovation Possible?—A Two-Dimension Analysis on the Basis of Both Policy Text and Reform Practice. Jiangsu Soc. Sci. 2017, 4, 38–47. [Google Scholar]
- Li, B.; Yu, S. Bottom-Line Pressure Type System: The Operation Logic of Local Water Environmental Governance by River Chief. Ningxia Soc. Sci. 2018, 2, 41–47. [Google Scholar]
- Cao, X.; Zhou, J. How the River Chief System Was Established: Its Function, Deep Structure and Mechanism Condition. China Popul. Resour. Environ. 2020, 30, 179–184. [Google Scholar]
- Xu, G.; Lu, Y. On the Governance Experience and Future of ‘Five-Water Co-Governance’: From the Perspective of Collaborative Governance Theory. Adm. Reform 2019, 2, 33–40. [Google Scholar]
- Wu, Z.; Tang, X. Status and Measures of Joint Protection and Management for Inter-provincal Rivers under the River Chief System: A Case Study on Chishui River. J. Chang. River Sci. Res. Inst. 2020, 37, 1–7. [Google Scholar]
- Li, F.; Gu, R.Z. Research on the River Chief System in the Yangtze River Basin from the Perspective of Holistic Governance. J. Econ. Water Resour. 2021, 39, 41–45+79. [Google Scholar]
- Tang, X.Q.; Zhao, W.H.; Tang, W.J.; Yu, Z.Q.; Li, H. Study on the synergetic promotion model of river basin management and river chief system. China Water Resour. 2018, 844, 4–6. [Google Scholar]
- Liu, B. Crisis and Construction: An Analysis of National Emergency Management System Based on AGIL Model. AJHSS 2021, 4, 70–75. [Google Scholar] [CrossRef]
- Qin, Q.; Tan, S. Research on Mutual-Supporting Pension in Rural China with the AGIL Model. In Proceedings of the First International Symposium on Management and Social Sciences (ISMSS 2019), Wuhan, China, 13–14 April 2019; Atlantis Press: Wuhan, China, 2019. [Google Scholar]
- Liu, R.Z. An analysis of Structural functionalism and its social theory. Tianjin Soc. Sci. 2005, 5, 52–56. [Google Scholar] [CrossRef]
- Ingrassia, M.; Bellia, C.; Giurdanella, C.; Columba, P.; Chironi, S. Digital Influencers, Food and Tourism—A New Model of Open Innovation for Businesses in the Ho.Re.Ca. Sector. J. Open Innov. Technol. Mark. Complex. 2022, 8, 50. [Google Scholar] [CrossRef]
- Parsons, T.; Shils, E.A.; Naegele, K.D.; Pitts, J.R. (Eds.) An Outline of the Social System. In Classical Sociological Theory, 2nd ed.; Simoon & Shuster, The Free Press: New York, NY, USA, 1961; Available online: http://www.csun.edu/~snk1966/Talcott%20Parsons%20-%20An%20Outline%20of%20the%20Social%20System.pdf (accessed on 1 March 2023).
- Parsons, T. On the Concept of Value-Commitments. Sociol. Inq. 1968, 38, 135–160. [Google Scholar] [CrossRef]
- Parsons, T. The Social System; Routledge & Kegan Paul Ltd.: London, UK, 1970; pp. 26–50. ISBN 978-1-134-92774-6. [Google Scholar]
- Kwak, S.K.; Kim, J.H. Statistical Data Preparation: Management of Missing Values and Outliers. Korean J. Anesthesiol. 2017, 70, 407. [Google Scholar] [CrossRef]
- Chen, Q.; Lin, S.; Zhang, X. The Effect of China’s Incentive Policies for Technological Innovation: Incentivizing Quantity or Quality. China Ind. Econ. 2020, 385, 79–96. [Google Scholar] [CrossRef]
- Correll, M.; Gleicher, M. Error Bars Considered Harmful: Exploring Alternate Encodings for Mean and Error. IEEE Trans. Visual. Comput. Graphics 2014, 20, 2142–2151. [Google Scholar] [CrossRef]
- Sidiropoulos, N.; Sohi, S.H.; Pedersen, T.L.; Porse, B.T.; Winther, O.; Rapin, N.; Bagger, F.O. SinaPlot: An Enhanced Chart for Simple and Truthful Representation of Single Observations Over Multiple Classes. J. Comput. Graph. Stat. 2018, 27, 673–676. [Google Scholar] [CrossRef]
- Ministry of Ecology and Environment Protection of the People’s Republic of China. Environmental Quality Standards for Surface Water. Available online: https://www.mee.gov.cn/ywgz/fgbz/bz/bzwb/shjbh/shjzlbz/200206/t20020601_66497.shtml (accessed on 9 February 2024).
- Greenstone, M.; Hanna, R. Environmental Regulations, Air and Water Pollution, and Infant Mortality in India. Am. Econ. Rev. 2014, 104, 3038–3072. [Google Scholar] [CrossRef]
- Lipscomb, M.; Mobarak, A.M. Decentralization and Pollution Spillovers: Evidence from the Re-Drawing of County Borders in Brazil. Rev. Econ. Stud. 2017, 84, 464–502. [Google Scholar] [CrossRef]
- Wang, X.P. The leadership of the Communist Party of China is the biggest national condition and the most essential characteristic of China. Red Flag Manuscr. 2016, 335, 1+12–14. [Google Scholar]
- Ren, H. Analyses of the Idea of the “Co-responsibility of the Communist Party and Government” in the Construction of the Environmental Accountability in China. J. Beijing Univ. Technol. (Soc. Sci. Ed.) 2018, 18, 49–55. [Google Scholar]
- Wu, C.; Ju, M.; Wang, L.; Gu, X.; Jiang, C. Public Participation of the River Chief System in China: Current Trends, Problems, and Perspectives. Water 2020, 12, 3496. [Google Scholar] [CrossRef]
- The Central People’s Government of the People’s Republic of China. Circular on the List of Places and Incentive Measures for the Implementation of Major Policies and Measures in 2021 with Obvious Effects. Available online: https://www.gov.cn/zhengce/zhengceku/2022-06/09/content_5694834.htm?eqid=d56d48a000006b8200000006645df33a&eqid=f739f797000832d20000000264897999 (accessed on 9 February 2024).
- Han, Z.; Li, C. How to construct the responsibility—Take the River Chief system and its implementation in S City as an example. Theor. Investig. 2021, 218, 137–145. [Google Scholar] [CrossRef]
- Kou, P.; Han, Y.; Qi, X. The Operational Mechanism and Effectiveness of China’s Central Environmental Protection Inspection: Evidence from Air Pollution. Socio-Econ. Plan. Sci. 2022, 81, 101215. [Google Scholar] [CrossRef]
- Jin, Y.; Andersson, H.; Zhang, S. Air Pollution Control Policies in China: A Retrospective and Prospects. IJERPH 2016, 13, 1219. [Google Scholar] [CrossRef]
- Khan, M.I.; Chang, Y.-C. Environmental Challenges and Current Practices in China—A Thorough Analysis. Sustainability 2018, 10, 2547. [Google Scholar] [CrossRef]
- Kostka, G. Barriers to the Implementation of Environmental Policies at the Local Level in China. In Policy Research Working Papers; The World Bank: Washington, DC, USA, 2014. [Google Scholar]
- Zhan, X.; Lo, C.W.-H.; Tang, S.-Y. Contextual Changes and Environmental Policy Implementation: A Longitudinal Study of Street-Level Bureaucrats in Guangzhou, China. J. Public Adm. Res. Theory 2014, 24, 1005–1035. [Google Scholar] [CrossRef]
- Xiong, C. Study on the Application of Incentive Mechanism in the Fulfillment of the Duty of Environmental Protection Department in China. Trib. Political Sci. Law 2018, 36, 79–92. [Google Scholar]
- Ding, X.-H.; He, Y.; Wu, J.; Cheng, C. Effects of Positive Incentive and Negative Incentive in Knowledge Transfer: Carrot and Stick. CMS 2016, 10, 593–614. [Google Scholar] [CrossRef]
- Wang, Z.; Zhang, Q.; Zhou, L.-A. Career Incentives of City Leaders and Urban Spatial Expansion in China. Rev. Econ. Stat. 2020, 102, 897–911. [Google Scholar] [CrossRef]
- Ran, R. Political Incentives and Local Environmental Governance under a “Pressurized System”. Econ. Soc. Syst. Comp. 2013, 3, 111–118. [Google Scholar]
- Zhong, T. Governmental Responsibility: Political Responsibility and Administrative Responsibility. J. Jishou Univ. (Soc. Sci. Ed.) 2015, 36, 42–47. [Google Scholar] [CrossRef]
- Zhang, Y.; Wang, S. How Does Policy Innovation Diffuse among Chinese Local Governments? A Qualitative Comparative Analysis of River Chief Innovation. Public Admin. Dev. 2021, 41, 34–47. [Google Scholar] [CrossRef]
- McGuire, M. Collaborative Public Management: Assessing What We Know and How We Know It. Public Adm. Rev. 2006, 66, 33–43. [Google Scholar] [CrossRef]
- Xiong, C. Changes and challenges of environmental protection reform to the fulfillment of responsibilities of ecological and environmental departments. Acad. Forum 2019, 42, 136–148. [Google Scholar] [CrossRef]
- Cash, D.W.; Adger, W.N.; Berkes, F.; Garden, P.; Lebel, L.; Olsson, P.; Pritchard, L.; Young, O. Scale and Cross-Scale Dynamics: Governance and Information in a Multilevel World. Ecol. Soc. 2006, 11, 8. [Google Scholar] [CrossRef]
- Lo, K. How Authoritarian Is the Environmental Governance of China? Environ. Sci. Policy 2015, 54, 152–159. [Google Scholar] [CrossRef]
- Kostka, G.; Nahm, J. Central–Local Relations: Recentralization and Environmental Governance in China. China Q. 2017, 231, 567–582. [Google Scholar] [CrossRef]
- Scholz, J.T.; Berardo, R.; Kile, B. Do Networks Solve Collective Action Problems? Credibility, Search, and Collaboration. J. Politics 2008, 70, 393–406. [Google Scholar] [CrossRef]
- Tian, X.-L.; Guo, Q.-G.; Han, C.; Ahmad, N. Different Extent of Environmental Information Disclosure across Chinese Cities: Contributing Factors and Correlation with Local Pollution. Glob. Environ. Chang. 2016, 39, 244–257. [Google Scholar] [CrossRef]
- Hu, X.Y. The Traditional Roots and Modern Regeneration of Chinese River Culture. Guangxi Soc. Sci. 2019, 292, 135–141. [Google Scholar]
- Gao, H.; Gong, X. Community Social Organizations Viewed from AGIL Framework: Their Function System and Approaches to Function Enhancement. J. Nanjing Norm. Univ. (Soc. Sci. Ed.) 2018, 217, 25–31. [Google Scholar]
- Huang, Q.; Xu, J. Rethinking Environmental Bureaucracies in River Chiefs System (RCS) in China: A Critical Literature Study. Sustainability 2019, 11, 1608. [Google Scholar] [CrossRef]
- Zhang, Z.G. Legislation of River Length System: Necessity, Mode and Difficulty. Hebei Law Sci. 2019, 37, 29–41. [Google Scholar] [CrossRef]
Disclaimer/Publisher’s Note: The statements, opinions and data contained in all publications are solely those of the individual author(s) and contributor(s) and not of MDPI and/or the editor(s). MDPI and/or the editor(s) disclaim responsibility for any injury to people or property resulting from any ideas, methods, instructions or products referred to in the content. |
© 2024 by the authors. Licensee MDPI, Basel, Switzerland. This article is an open access article distributed under the terms and conditions of the Creative Commons Attribution (CC BY) license (https://creativecommons.org/licenses/by/4.0/).











