Abstract
Environmental biotechnology needs solutions that are associated with a low budget and cleaner remediation, and which are connected to resources and energetic valorization, to be able to encourage a circular bioeconomy. A prospective resolution for heavy-metal-contaminated soils is the application of phytoremediation approaches merged with bioenergy generation using the resulting biomass. Sunflower (Helianthus annuus) has been studied as a feedstock for biodiesel generation, and appears to be very attractive for biogas and bioethanol production. The current study reports an innovative energetic valorization approach of H. annuus biomass derived from the application of a phytoremediation strategy devised to remove Zn and Cd from an industrially contaminated soil (599 mg Zn kg−1 and 1.2 mg Cd kg−1)—and its comparison to the analysis of the same energetic valorization pathway for sunflower plants growing in an agricultural non-contaminated soil. After plant harvesting, bioethanol was produced from the aboveground tissues, and applied in the transesterification of the oil obtained through seed extraction for the generation of biodiesel. Also, biogas production was assessed through the root’s biomass anaerobic digestion. Similar yields of oil extraction—0.32 and 0.28 mL g−1 DW—were obtained when using seeds from H. annuus cultured in contaminated and non-contaminated soils, respectively. The production yield of bioethanol was superior using biomass from the agricultural non-contaminated soil (0.29 mL g−1 DW) when compared to the industrial metal-contaminated soil (0.20 mL g−1 DW). Zinc was measured in minor levels in bioethanol and oil (ca. 1.1 and 1.8 mg mL−1, correspondingly) resulting from the biomass cultivated in the industrialized soil, whereas Cd was not detected. The production yield of biogas was superior when using root biomass from H. annuus cultivated in agricultural non-contaminated soil (VS max. ca. 104 mL g−1) when compared to the one deriving from the industrial contaminated soil (VS max ca. 85 mL g−1). Generally, results demonstrate that substantial production yields of the tested biofuels were attained from biomass resulting from phytoremediation, corroborating this integrated original approach as a valuable alternative for the phytoremediation of HM-polluted soils and as an important strategy for plant biomass valorization.
1. Introduction
The depletion of resources is causing an imbalance in the natural ecosystems, increasing the urgent need to restore the natural environment and its resources, including soil, which has been continuously contaminated by industrial and agricultural activities. Soil contamination with heavy metals (HMs) is growing exponentially, mainly due to the mining and metallurgical industries [1]. The high level of toxicity of these compounds can affect the establishment of plants and their further development [2] as well as animal and human health through the contamination of the food chain [3]. Phytoremediation uses plants and microorganisms that are associated with them in the rhizosphere to immobilize or remove HMs from contaminated matrixes [4], presenting several benefits for the soil, such as the cleaning of contaminants, erosion prevention and biodiversity protection [5]. After establishing a vegetation cover, the resulting biomass can be used as a source of energy or for amendment purposes [6,7]. The use of land solely for producing crops for biofuel production is raising concerns since it can compromise the availability of food supplies. However, energy crops suitable for phytoremediation purposes can couple soil restoration with bioenergy production. This holistic approach can help mitigate climate change effects at the local and global level, in line with multiple United Nations (UN) Sustainable Development Goals (SDGs), namely Affordable and Clean Energy (SDG 7), Climate Action (SDG 13) and Life on Land (SDG 15).
Helianthus annuus (sunflower) is an energy crop used for the phytoremediation of polluted soils, particularly for HMs [8,9], and the conversion of the generated biomass into valuable energy products can represent an opportunity for this integrated model. The oil extracted from the seeds of H. annuus is among the four most produced vegetable oils in the world, accounting for ca. 10% of the total vegetable oil production [10] and is a widely used feedstock for biodiesel production [11]—with such usage being responsible for the growth of food vs. fuel problems. Additionally, the stems and flowers of the H. annuus plant constitute important lignocellulosic biomass and represent an abundant renewable carbon source for a sustainable ethanol biorefinery industry [12]. The study of the composition of H. annuus oil from phytoremediation-derived plants is nearly inexistent, with the exception of the findings of Angelova et al. [13], which indicate that the Cd and Zn contents in the extracted oil were below the maximum allowable concentration. On the other hand, few existing reports concerning the use of phytoremediation-derived biomass application for bioethanol production [14,15,16] have successfully achieved the hydrolysis of carbohydrates from biomass grown on metal-contaminated soils and its sugar conversion, therefore appearing as good prospects for this valorization strategy. Therefore, there is the need to understand whether good-quality energy products can in fact be obtained from the energy crops grown in contaminated vs. non-contaminated soils (otherwise prone for food production) to counterpart energy production and simultaneously rehabilitate such degraded land. In order to produce another added value energy product from H. annuus grown in HM-contaminated soil, the transesterification of vegetable oils with ethanol into biodiesel is preferred as the direct use of oils is not considered appropriate for direct and indirect injection engines [17] and their chemical structure has to be altered. Although this approach may theoretically seem like a way of fully taking advantage of the plant biomass for valorization opportunities, this possibility has never been assayed or demonstrated, although Ebrahimian et al. [18] recently proposed a sunflower-based biorefinery aimed at producing biodiesel from oil and biogas from the remaining aerial parts of the plant.
Anaerobic digestion (AD) is one of the most sustainable wastewater and waste treatment technologies, associated with the production of biogas and reduced biomass waste with improved dewatering properties [19], widely used for the treatment of agricultural wastes, allowing both pollution control and energy recovery [20,21]. The potential advantage of performing phytoremediation in HM-contaminated sites for obtaining economic and environmental revenues from AD has already been proposed [22]. Since then, some studies have confirmed this potential, using Eichhornia crassipes and Trapa bispinnosa [23] or Brassica napus L., Elsholtzia splendens Nakai ex F. Maekawa, Zea mays L. and Oenothera biennis L., grown in a phytoremediation location [24]. However, high contents of HMs in biomass waste can reduce the microbiological activity of AD processes and cause digester failure [25] since methanogenic bacteria can be very sensitive to toxic compounds [26]. The adverse effect of HMs on anaerobic microbial populations can occur due to the interruption of enzyme function, and changes in the structure or replacement of naturally occurring metals [27]. Both Cd and Zn are among the most common HM contaminants [14] and were found to affect the methanogenic bacterial activity [28]. However, knowledge of the inhibition and fate of HMs released during the AD of plants used in soil phytoremediation is still very scarce [26], especially if the roots of the plants, where these compounds are normally accumulated in higher concentrations, are valorized for biogas generation.
The central goal of the present study was to evaluate the complete energetic valorization of H. annuus, obtained from an optimized phytoremediation strategy previously described in Paulo et al. [29] to treat an industrialized soil from Estarreja (in northern Portugal), presenting metal levels of Zn and Cd of, respectively, 599 and 1.2 mg per kg of dry soil. Each plant part was used to produce a different type of biofuel—oil was extracted from the seeds, with further transesterification with ethanol produced from the stems and flowers, which was further evaluated for its composition and metal contamination and compared to similar products obtained from plants which developed in agricultural soil (37 mg Zn kg−1 and 0.5 mg Cd kg−1). This study will allow evaluating AD as a viable solution for root valorization, as a part of the plant that is normally neglected after cropping, proposing a complete energetic valorization of the whole H. annuus plant.
2. Materials and Methods
2.1. Biomass Composition
The content in ash, proteins, hydrocarbons, lignin and cellulosic glucan present in aboveground and root tissues was quantified according to standard procedures established by NREL [30] for the type of biomass under analysis.
2.2. Oil Extraction and Characterization
Oil samples were extracted from sunflower seeds by the Soxhlet method extraction using hexane. Then, the solution was filtered, and the remaining solvent was evaporated using a rotary evaporator at 40 °C [31]. The iodine value was determined in accordance with EN 14111 [32], the acid value was determined in accordance with EN 14104 [33], the kinematic viscosity was determined according to ASTM D 445 [34] and the specific mass was determined according to ASTM D 4052 [35] standards. For the metal analysis, the seed oil was digested with HNO3 and H2O2 and evaporated by a hot plate [36]. Flame atomization—atomic absorbance spectrometry (FA-AAS) was used to assess the Cd and Zn levels of the digests [37] in an Unicam 960 spectrophotometer (Waltham, MA, USA).
2.3. Ethanol Production and Characterization
Sunflower aboveground sections (stem and flower tissues) were used to produce bioethanol. Acid pre-treatment (3% H2SO4, 85 °C, 50 rpm, 24 h) was applied, followed by enzymatic hydrolysis with Viscozyme L. (100 μL g−1 of dried matter, pH 5, 50 °C, 50 rpm, 12 h). After this, the liquor was fermented by the addition of the yeast Saccharomyces cerevisiae (30 °C, 75 rpm, 72 h, aerobiosis) [38]. Ethanol was recovered using a rotary evaporator at 60 °C and the sugar content in the final product was determined by refraction [37]. In order to assess the Cd and Zn levels of the digests [37], FA-AAS was used in a Unicam 960 spectrophotometer (Waltham, MA, USA), after HNO3-HClO4 digestion of the recovered ethanol [39].
2.4. Biodiesel Transesterification and Characterization
Biodiesel was generated using acid-catalyzed transesterification. The reaction of transesterification was achieved by adding 6:1 (mol:mol) of the extracted ethanol and 3% (w/w) of H2SO4 catalyst (to the extracted oils, for 48 h at 80 rpm and 75 °C). Subsequently, biodiesel was removed from the glycerol phase, washed with alkalinized (KOH) water, to neutralize the surplus acid and then cleared with distilled water until the pH was neutralized. Another drying step was then carried by adding magnesium oxide (MgO) followed by subsequent filtration [40]. The fatty acid ethyl ester (FAEE) level was determined by gas chromatography using a flame ionization detector (GC-FID), carried out in a DANI GC 100 DPC Digital Pressure Control gas chromatograph at 250 °C, and a capillary column TRB-Wax (Thermo-Fischer Scientific, Whaltman, MA, USA) with a flow rate of carrier gas (helium) of 1 mL min−1. After the digestion of the obtained biodiesel with HNO3 and H2O2 [31], FA-AAS was used to assess the levels of Cd and Zn of the digests [37] in a Unicam 960 spectrophotometer (Waltham, MA, USA).
2.5. AD of Sunflower Roots
Previously dried and ground roots from sunflower plants cultivated in both soil treatments (agricultural—Agr; industrial soil—Ind) were applied as substrates for biomethane potential (BMP) tests. The AD was carried out in 120 mL serum bottles, using 45 mL of an anaerobic basic medium, flushing the headspace with 20% CO2-80% N2—mixture, according to Angelidaki et al. [41]. As inoculum, anaerobic granular sludge was taken from a full-scale expanded granular sludge bed reactor (used to treat the wastewaters of a beverage enterprise placed at Matosinhos (Portugal)) and applied in the same amount (1 g wet weight; 0.089 g volatile solids) for all assays. The suitability of the anaerobic granular biomass for BMP assays was assessed by assessing the specific methane activity of the biomass. For this, 20 mM of sodium acetate (Sigma-Aldrich, Burlington, MA, USA) was added as a sole substrate and both acetoclastic activity was quantified by measuring the daily methane production, until stabilization. Diverse inoculum-to-substrate ratios (based on VS) were tested, specifically 1:1, 1:2 and 1:4 (specified in the text as I:S 1, 2 and 4) including a control designated as a blank, with no substrate. All tests were carried out in triplicate or quadruplicate and flasks were incubated at 37 °C and stirring was performed manually once a day. Biogas pressure was measured daily using a pressure meter (Paralab, Gondomar, Portugal) until stable values were obtained. Pressure values were used to estimate the biogas produced in each assay (volume per batch assay), taking into account the biogas produced in a blank assay. Methane was measured by means of a Varian CP-3800 gas-chromatograph, equipped with a Carboxen®-1006 PLOT column (30 m × 0.53 mm I.D., Merck, Darmstad, Germany) and TCD detector (Agilent Technologies, Santa Clara, CA, USA). As a carrier gas, hydrogen gas was used and a gas combination containing carbon dioxide, nitrogen and methane (20:40:40 (v:v:v)) was applied as a standard. Standard methods [42] were used to determine the levels of volatile (VS) and total (TS) solids of the sunflower roots and anaerobic granular biomasses.
2.6. Statistical Analysis
Disparities in the assessed factors for all tested conditions were statistically analyzed using one-way ANOVA and t-tests after variance homogeneity compliance testing (Levene’s test) of the data with the IBM SPSS Statistics program (IBM, Armonk, NY, USA, version 28.0). Duncan test (p < 0.05) was executed to ascertain the significance of the disparities between the calculated averages.
3. Results
3.1. Biomass Composition
The biomass of plants’ aboveground tissues (e.g., stem and leaves) and roots was characterized for H. annuus developing in both tested soils (contaminated and non-contaminated) (Table 1). Overall, inorganic and organic components were present in similar amounts in sunflower roots and aboveground tissues. Differences in protein, lignin and xylan composition might explain the higher percentage of organic components quantified in the roots.
Table 1.
Inorganic and organic components of the sunflower aboveground and root tissues, according to the soil conditions.
The lignin content varied among the different parts of the plant. A higher amount of sucrose was quantified in the roots from H. annuus grown in agricultural non-contaminated soil. More xylan and glucan were quantified in the roots and aboveground tissues from sunflower cultivated in industrial contaminated soil, in comparison to the agricultural non-contaminated soil. Inorganic components were present in variable amounts, presenting its highest value in the roots from H. annuus grown in the industrial contaminated soil.
3.2. Oil Production Yields and Characterization
The production yields of sunflower oil from the plants developed in industrial and soil treatments were, respectively, 15 and 20 mL oil/m2. It was possible to observe that, for plants growing in agricultural soil, the amount of oil produced was higher than that produced by plants grown in industrial soil, similarly to what happened to the biomass of produced seeds for both treatments (62.57 and 51.92 g of seeds for the plants grown, respectively, in the agricultural and industrial soils [29]). When considering seed biomass, oil production yields of 0.32 and 0.28 mL m−2 g−1 were obtained in the agricultural and industrial soils correspondingly.
The outcomes for the physical-chemical evaluation of sunflower oil are presented in Table 2. There were no significant disparities (p < 0.01) between the values attained for the different soils, with the exception of the levels of Zn for the extracted oils, as the oil preceding from plants developed in industrial soil (which presented metal accumulations of ca. 4 and 0.5 mg kg−1 of Zn and Cd, respectively, according to Paulo et al. [29]) presented low values of Zn while no metals were detected in any other sample (seeds from plants preceding from the agricultural soil only presented a Zn accumulation of ca. 2 mg kg−1).
Table 2.
Main physical-chemical properties of sunflower oil extracted from plants developing in agricultural and industrial soils.
3.3. Ethanol Production Efficiency and Characterization
The production of ethanol from the aboveground sections (stems + flowers) of sunflower plants grown in both used soils is described in Table 3. It is possible to observe that the yield was higher for plants grown in agricultural soil—27.8% vs. 19.4% for the industrial soil—similarly to what happened for the biomass of the aboveground tissues of the plants grown under low metal exposure. For the dimension of the study (1 m3 containers with ca. 1 ton of soil corresponding to an area of culture of 1 m2), 280 mL and 162 mL of ethanol could be produced in the agricultural soil treatment and in the industrial soil treatment, respectively (Table 3), which considering the aboveground biomass produced in each soil (973.89 and 819.57 g for the agricultural and industrial soils, respectively [29]) corresponds to production yields of 0.29 and 0.20 mL m−2 g−1 for the agricultural and industrial soils, respectively.
Table 3.
Ethanol production yield for the aboveground section of H. annuus plants developed in agricultural and industrial soils.
Concerning the levels of the targeted metals in the produced bioenergy product, only Zn was detected in the case of the samples of ethanol produced from sunflower plants developed in industrial soil (where they accumulated in its aboveground biomass levels of ca. 291 and 13 mg kg−1 of Zn and Cd, respectively [29]), presenting an average level of 1.1 mg Zn L−1, while no Cd was found for any sample (aboveground tissues from plants preceding from the agricultural soil presented Zn and Cd accumulations of ca. 51 and 0.8 mg kg−1, correspondingly) (Table 4).
Table 4.
Concentrations of Zn and Cd in ethanol produced from H. annuus stem and flower tissues.
3.4. Biodiesel Transesterification and Characterization
The biodiesel obtained through the transesterification of the produced oil and bioethanol was analyzed by gas chromatography and the data concerning its composition is described in Table 5. Some differences (at p < 0.01) were observed in the amounts of each ethyl ester between the biodiesel preceding from plants growing in different soils, but the distribution profile appears to be similar.
Table 5.
Composition of biodiesel obtained by gas chromatography.
Biodiesel was also analyzed for Zn and Cd levels, but no metals were detected in the samples.
3.5. AD of Sunflower Roots
The suitability of the selected anaerobic granular biomass for BMP assays was confirmed: acetate was completely converted to methane, according to the theoretical value (ca. 18 mmol CH4 L−1) (Figure 1). The anaerobic biomass presented a specific methanogenic activity on acetate of 0.63 g CH4-COD g−1 VSS day−1, twice the value indicated as minimum for valid BMP assays in Angelidaki et al. [41].
Figure 1.
Methane production (mmol L−1) from sodium acetate degradation (20 mmol L−1) by anaerobic biomass.
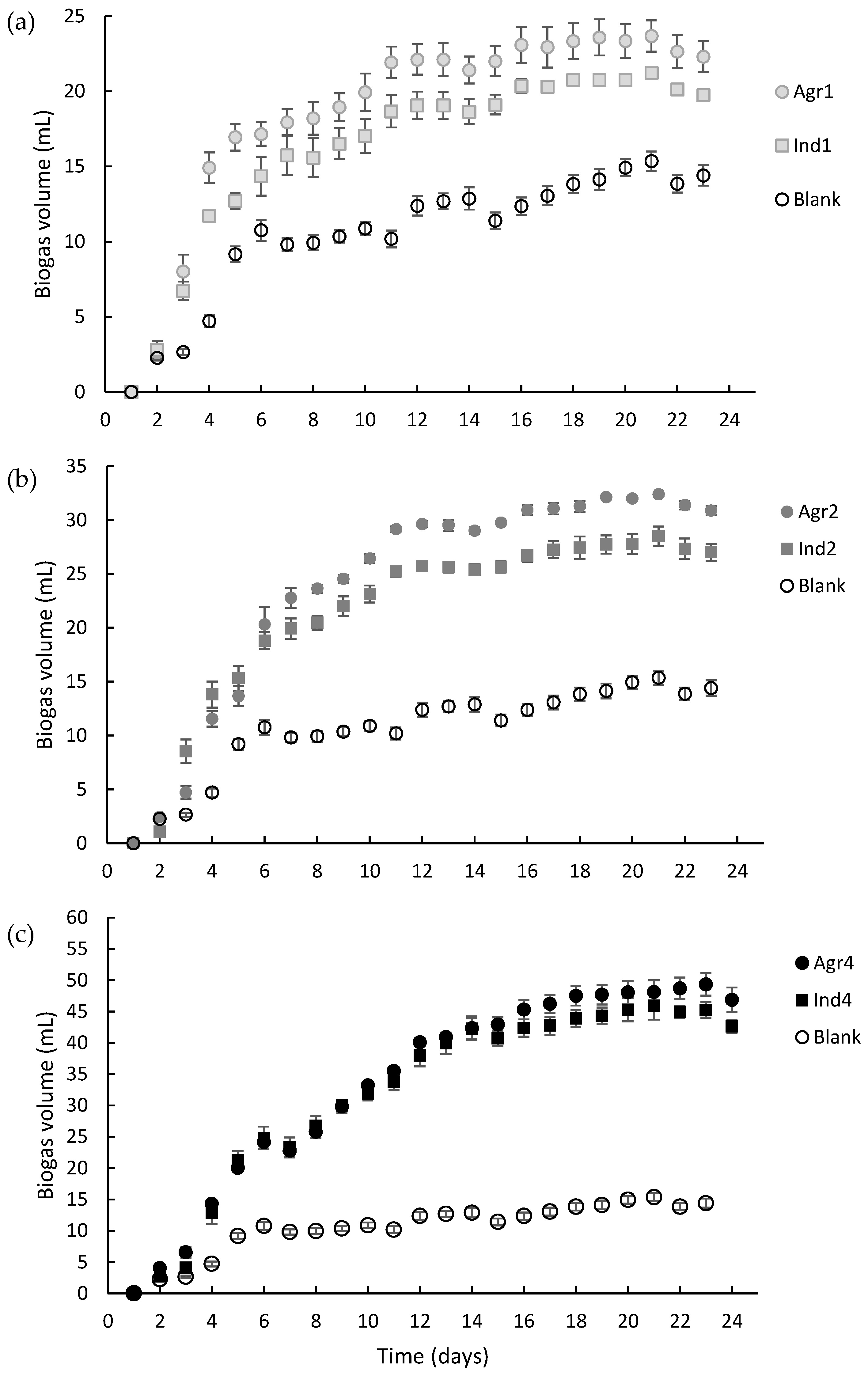
Generally, the outcomes demonstrated that a greater amount of biogas was produced from a higher quantity of substrate for all I:S ratios and both types of soil (Figure 2). Less than two weeks were required for reaching the maximum biogas production for I:S1 and 2 ratios, while at least 21 weeks were required for reaching a maximum biogas production using an I:S4 ratio. Despite this, the initial biogas production was comparable between the assays (Table 6). For the I:S4 ratio, biogas production was higher during the first week of incubation, slowed down during the second week and decreased until stabilization during the third week of incubation, reaching a similar amount of biogas at the end of the incubation for both types of soil.
Figure 2.
Accumulative biogas generation achieved throughout the AD of sunflower roots, after plant development in agricultural (a) and industrial (b) soil, at diverse inoculum-to-substrate proportions. Agr—agricultural soil; Ind—industrial soil; 1, 2 and 4—inoculum-to-substrate ratios of 1:1, 1:2 and 1:4, respectively. Biogas production in blank assays is also shown.
Table 6.
Average biogas and methane values obtained at the end of each assay.
The greater difference in biogas production was observed between the biomass of plants developed in different soil treatments (plants grown in industrially contaminated soil showed root accumulations levels of ca. 434 and 24 mg kg−1 of Zn and Cd, respectively, while roots from plants developed in agricultural soil showed uptake levels of ca. 67 and 1.6 mg kg−1 of Zn and Cd, respectively [29]), for assays with I:S1 and I:S2 ratios, presenting a similar pattern during the first 3 or 6 days of incubation, respectively (Figure 3a,b). For an assay with an I:S4 ratio, biogas production was similar during 16 days of incubation and the difference between the final biogas production from the roots obtained after growth in industrial soil was lower (Figure 3c).
Figure 3.
Comparison between the accumulative biogas generation achieved throughout the AD of sunflower roots, for I:S1 (a); I:S2 (b); and I:S4 (c) ratios in agricultural and industrial soil; Agr—agricultural soil; Ind—industrial soil; 1, 2 and 4—inoculum-to-substrate ratios of 1:1, 1:2 and 1:4, respectively. Biogas production in blank assays is shown.
Final biogas and methane production volumes were proportional to the amount of added substrate (Table 6). Biogas production from roots grown in agricultural soil was higher compared to the roots grown in industrial soil, in a percentage of ca. 18, 20 and 15%, for I:S1, I:S2 and I:S4 ratios, respectively. Methane production was also higher for the AD of roots grown in agricultural soil, being 12, 20.5 and 21% greater compared to the industrial soil, for I:S1, 2 and 4 ratios, respectively. The average biogas yield was higher for the roots of plants developed in agricultural soil, with a value of 102.3 ± 4.5 mL biogas g−1 VSS, compared to 83.0 ± 2.1 mL biogas g−1 VSS obtained from the roots of plants developed in industrially contaminated soil. This difference was also observed for the methane yield: higher values were obtained for roots from plants cultivated in agricultural soil in comparison to the growth in industrial soil (69.3 ± 3.2 and 57.4 ± 4.0 mL CH4 g−1 VSS, respectively). The proportion of methane present in biogas varied amid 65 and 71%, considering both soil conditions. The initial biogas production rate (IPR) was calculated to evaluate whether the different conditions affected the initial anaerobic degradation rate. Despite the lower IPR obtained for assay Ind 1 (ca. 8.7 mL biogas day−1), the remaining tested conditions presented a similar biogas IPR, with an average value of ca. 10.2 mL biogas day−1.
For all cases, t-tests were also executed between soils subjected to the same relation (1:1, 1:2 or 1:4). It was seen that, for all, there were significant (p < 0.01) differences between the tested soils, with the industrial soils presenting lower values for all the parameters than the agricultural soils, with the exceptions of the % CH4 at the 1:1 ratio, Biogas IPR* at the 1:4 ratio and Biogas IPR** at both the 1:1 and 1:2 ratios.
The maximum concentrations of Zn and Cd expected in the liquid medium were estimated considering the complete release of the metals from sunflower roots reported by Paulo et al. [29] during anaerobic biodegradation: 0.6 and 0.02 mg l−1 of Zn and Cd, respectively (1:4 ratio), released in assays using roots from an agricultural soil, and 4.1 and 0.2 mg L−1 of Zn and Cd, respectively (1:4 ratio), were estimated in assays using roots grown in industrial soil.
4. Discussion
The potential of generating several energetic products from HM phytoremediation sunflower-derived biomass was assessed. Oil was extracted from the plant’s seeds, bioethanol was produced from H. annuus aboveground tissues and the transesterification of both products was assayed for obtaining biodiesel, using sunflower plants grown in agricultural and industrial soils. Helianthus annuus roots were also used in this integrated strategy to obtain information on the bioenergetic potential of roots as well as on the possible effects of root contaminant uptake on biogas production. Generally, higher production yields were observed for all energetic products when using the biomass of plants grown in the agricultural soil. However, it is remarkable that it was possible to produce valuable and viable energetic products with low metal contamination using the biomass derived from the phytoremediation of the industrial soil. The total oil production was higher from seeds obtained after growth in the agricultural soil, since a higher amount of seeds was obtained from sunflowers grown in the agricultural soil [29]. However, very similar oil production yields were obtained for H. annuus, cultivated both in the agricultural and industrial soils. This was also reflected in the oil composition, which was overall similar when comparing the initial soil conditions. Similar findings were described by Su et al. [43], who concluded that the presence of HMs in the soil did not change the oil content in seeds. The composition of oil, similarly to the biomass composition, was not significantly diverse (p < 0.05) amongst the plants grown in distinctive soil conditions. The composition of the oils obtained in this report is coherent with that previously reported [44]. Considering the presence of metals in the oil derived from biomass cultivated in the industrial contaminated soil, merely a low level of Zn was detected, which was a consequence of the also low levels of seed contamination by the target HM (4 mg Zn kg−1 [29]). Zinc is an essential metal for plant growth that can also be present in higher levels in the seeds and consequently in the oil. The existence of Cd in the industrial soil did not change the metal concentration in the oil, and in this case, is also probably because the levels in the seeds were already very low. These results indicate that only a small percentage of the metals in the soil are retained in the oil, and are in accordance with other reports in the literature for seed oils derived from phytoremediation experiments, namely those of Su et al. [43] and Wang et al. [45] for peanut oil, and that of Cataldo et al. [46] for soybean oil. In fact, Park et al. [47] showed for Brassica napus that more than half the amount of HM is left in the residues during the oil extraction process, which can also explain these low levels in this energetic product. Angelova et al. [13] reported levels of 2.99 mg Zn kg−1 and no Cd in the oil preceding from sunflower plants grown in HM-polluted soils, (1430 and 31.4 mg kg−1 of Zn and Cd, respectively) higher than the values reported herein, but lower than the limit concentrations in the oil of plant origin (less than 0.05 and 10 mg kg−1 of Cd and Zn, respectively).
The biomass composition of the plant aboveground tissues generally showed minor differences between the soil treatments, with cuttings growing in the industrial soil exhibiting slightly superior values of lignocellulosic materials. Lignocellulosic composition found in plants cultivated in the two tested soil treatments was in the range of others described in the literature for H. annuus—Ziebel et al. [48] described percentages of lignin, xylan and glucan of ca. 25, 16 and 32%, and Dhiman et al. [15] reported a biomass composition of 29, 20 and 34%, respectively. The glucan content was ca. 2-fold higher than the one of lignin, and 4-fold higher than the one of xylan, indicating that the content of cellulosic materials, which is more readily utilizable, is substantial and prone for biological degradation via hydrolysis and fermentation to bioethanol [15]. Therefore, the harvested aboveground biomass (stems and flowers) was used in such a process envisaging further energetic gains—at optimal conditions, sunflower is reported to present maximum yields of ethanol fermentation of ca. 0.55 mL g−1 [49]. Higher ethanol production was obtained for H. annuus plants cultivated in agricultural soil, even when normalizing with the produced biomass, with production yields of 0.29 mL g−1 for the agricultural soil vs. 0.20 mL g−1 for the industrial soil, matching a decrease of about 30% in the production of plants cultivated in industrial soil. The same trend was previously reported: Willscher et al. [50] reported a decrease in the ethanol production yields for Triticale of about 11% when the plants were grown in metal-polluted soils, and Ko et al. [16] reported a negative effect of the Zn and Cd contamination of the soil in the hydrolysis and fermentation of Napier grass to ethanol (reductions of up to 37% in the process efficiencies were observed). As for the oil, and with regard to what can be considered the presence of metals, no HMs were detected in the ethanol from H. annuus cuttings grown in agricultural soil, and only a low level of Zn was detected in the product derived from the plant growth in industrial soil, confirming the findings of Dhiman et al. [15] who showed the suitability of H. annuus hydrolysate for bioethanol production. The extracted oil was transesterified with the produced bioethanol to ethylic biodiesel via acidic catalysis for the by-products derived from the two different soil treatments. The obtained biodiesel was analyzed to evaluate the transformation of the triglycerides of the oil into their ethyl esters, indicating the prevalence of ethyl oleate and linoleate, similarly to what has been reported in other studies for sunflower oil-derived biodiesel [44]. Small differences were observed between the amounts of each ethyl ester biodiesel preceding from H. annuus plants growing in different soils, but the distribution profile appears to be similar.
Different soil compositions, and particularly organic matter profiles, can by themselves induce differences in the fatty acid compositions of produced oils [13] and consequently on the ethyl ester composition of the transesterified biodiesel. On the other hand, the contamination in the cultivation soil did not seem to be a determinant factor to attain a good biodiesel product, as none of the target metals were identified in the final samples.
Due to common cropping practices, roots are usually left in the soil, do not constitute part of the agricultural waste, and are not being considered for biofuel, namely their biogas production potential. Until now, biogas production from energetic crops associated with phytoremediation has only been evaluated using the aboveground parts of the plant as feedstock [26,51,52,53]. However, for a holistic phytoremediation strategy, the removal of roots is an essential step to improve the removal of pollutants, increasing the possibility of providing a proper remediation treatment while performing its energetic valorization. This approach will also allow understanding whether the effect of release from the HMs during the AD process can be critical for biogas production, since roots can accumulate more HMs compared to other plant parts [29]. The results demonstrated that HMs accumulated by the roots of H. annuus cultivated in the industrial contaminated soil did not have a negative impact on its anaerobic biodegradation, since the biogas production yield was not affected by the incremental addition of the roots biomass and HM release into the aqueous medium. The inhibition potential of an HM on a biological process will greatly depend on its physical-chemical behavior, namely on its aqueous solubility, ability to precipitate, to form complexes and on the capacity to adsorb on the anaerobic biomass [20,26], but also on the metal concentration, its chemical form, pH and redox potential [54,55]. Zn is a component of enzymes required for the catalysis of numerous anaerobic reactions present in methanogenic archaea species [56] and a level of up to 1250 mg Zn L−1 was found to increase the biogas production during the AD of swine manure [55]. Instead, Altas [54] observed that 2 mg L−1 of Zn stimulated the anaerobic process while Cd did not have a stimulation effect, and that Zn (7.5 mg L−1) was more toxic than Cd (36 mg L−1) on the activity of anaerobic granular sludge. Guo et al. [57] mentioned a diverse toxicity potential concomitant to these HMs as well as lower amounts of Cd and Zn causing AD inhibition (1 mg Cd L−1, 3 mg Zn L−1). Compared to other HMs, Zn can solubilize and precipitate, due to its lower binding affinity onto sorbents, while Cd presents a higher sorption capacity onto sludge, which can decrease its concentration in the solution [26]. A higher HMs solubility can lead to a higher toxicity [58] and, depending on the amount, Zn can be more toxic to the AD process compared to Cd. However, independently of all this, the anaerobic biomass can be used as a suspended or granular sludge and thus determine the tolerance of the biological process to toxic compounds. In the anaerobic granular sludge, the utmost sensitive anaerobic microorganisms (e.g., methanogenic bacteria) are protected by layers of bacterial biofilm [54]. This is corroborated by previous findings where Zn was found to be toxic even at 0.5 mg L−1, concerning anaerobic microorganisms suspended and 0.75 mg L−1 for anaerobic granular biomass [54,59]. “Biogas is mostly composed of methane and carbon dioxide, with the methane percentage varying between 50 and 75% [60] and a percentage above 65% was obtained in all tested conditions”. In our study, the methane yield for H. annuus roots was ca. 69 and 57 m3 ton−1 VS, for agricultural and industrial soil, respectively. The potential methane production from aerial H. annuus plant parts were found to vary between 231 and 297 Nm3 metric ton−1 VS, which can also depend on the aerial plant part. Zhurca et al. [55] obtained a higher methane production using sunflower heads compared to the stalks (ca. 210 or 128 m3 ton−1 VS, respectively). Additionally, the biogas production from roots of H. annuus grown in the industrial contaminated soil was found to be significantly different, with ca. 18% lower values, compared to the plants grown in the agricultural soil. A different composition of the roots could be at the basis of the lower yield after their development in the industrially contaminated soil, and associated with different AD process conditions, which could also explain the lower yield compared to other H. annuus aerial parts. The lignocellulosic biomass components (cellulose, hemicellulose and lignin) are expected to differ between the morphological parts of the plant, namely between the root and stalks, affecting their biodegradability and conversion into valuable bioproducts [61]. Furthermore, although there is a typical composition known for several types of lignocellulosic biomass, the concentration of biomass components can differ between and among plant species, due to growth conditions and maturation stage [62]. Biomass composition analysis revealed a difference between components obtained from H. annuus, after growth in agricultural or industrial soil. Roots grown in industrial soil presented more xylan but less lignin when compared to the roots grown in the agricultural soil. Cd and Zn can affect cellulose and lignin biosynthesis, also affecting the substitution of xylan in the fibers [63]. Although a high lignin content can affect the AD process [61], the lignin present in the roots obtained after its development in agricultural soil did not limit its anaerobic biodegradation. More sucrose was measured in the roots after its development in the agricultural soil. Sucrose is the primary product of photosynthesis in most plants, and is being used as a carbon and energy source in different physiological processes that are essential for plant growth and development, also helping with plants’ adaptation to abiotic stress [64]. The better photosynthesis performance of H. annuus in the absence of HMs in the soil might have favored sucrose-related physiological traits, increasing, in this way, the roots’ anaerobic biodegradability. The higher amount of inorganic components measured in the roots after their development in industrial soil might be directly related to the Zn and Cd uptake from the soil. As found in previous results [29], most of the Cd and Zn were measured in H. annuus roots in comparison with the aboveground tissues. A high Zn and Cd soil contamination level, which is partly accumulated by H. annuus, can upset plant growth, disturb nutrients [3], metabolic activities and the photosynthesis rate [65].
Nevertheless, the valorization of the phytoremediation-derived biomass of H. annuus through these different strategies appears as a solution with potential in biofuel-integrated production, where fully renewable biodiesel and biogas are produced, while land is being recovered for future agricultural use.
5. Conclusions
This innovative study reports the utilization of all plant tissues derived from the application of a phytoremediation strategy to a metal-contaminated site and compares the biomass and energetic product yield and metal contents to the plants grown in agricultural soils, therefore presenting a more complete overview of the solutions for all plant biomass for energetic valorization. In this research it was possible to conclude that the total amount of oil, ethanol and biodiesel obtained from the aboveground tissues was mostly dependent on the biomass production, while the production yield could be more dependent on the biomass composition changes promoted by the accumulation of HMs in the plant. Additionally, the composition of these biofuels produced from H. annuus seeds and aboveground tissues was not affected by the growth of H. annuus in a HM-contaminated soil. Concerning the valorization of the roots through AD, the higher level of protection towards HMs conferred by the anaerobic granules might explain the less significant negative effect of Zn and Cd released during the AD process. Despite this, differences in the biomass composition could be at the basis of the lower anaerobic biodegradability yield obtained from the roots grown in industrial soil. Overall, the presence of HMs in the soil might more directly affect the growth and development of the plant roots, followed by the aboveground plant tissues and by the changing biomass production yield and composition and, subsequently, the biodegradability.
Author Contributions
A.P.G.C.M.: Conceptualization, Validation, Investigation, Methodology, Writing, Visualization, Supervision, Project Administration, Funding Acquisition; A.P.: Conceptualization, Validation, Investigation, Methodology, Visualization; N.S.C.: Writing. All authors have read and agreed to the published version of the manuscript.
Funding
This work was financially supported by: project PHYTOENERGY-PTDC/BTA-BTA/28761/2017 (POCI-01-0145-FEDER-028761), funded by National Funds from FCT—Fundação para a Ciência e a Tecnologia; and UIDB/50016/2020 (CBQF), LEPABE (https://doi.org/1054499/UIDB/00511/2020); ALICE LA/P/0045/2020 (https://doi.org/1054499/LA/P/0045/2020); CIETI UIDB/04730/2020 (https://doi.org/1054499/UIDB/04730/2020), funded by national funds through FCT/MCTES (PIDDAC)., funded by national funds through FCT/MCTES (PIDDAC).
Institutional Review Board Statement
Not applicable.
Informed Consent Statement
Not applicable.
Data Availability Statement
The data presented in this study are available in the article.
Conflicts of Interest
The authors declare no conflicts of interest. The funders had no role in the design of the study; in the collection, analyses, or interpretation of data; in the writing of the manuscript; or in the decision to publish the results.
References
- Yan, A.; Wang, Y.; Tan, S.N.; Yusof, M.L.M.; Ghosh, S.; Chen, Z. Phytoremediation: A Promising Approach for Revegetation of Heavy Metal-Polluted Land. Front. Plant Sci. 2020, 11, 359. [Google Scholar] [CrossRef]
- Xu, Y.; Seshadri, B.; Sarkar, B.; Wang, H.; Rumpel, C.; Sparks, D.; Farrell, M.; Hall, T.; Yang, X.; Bolan, N. Biochar modulates heavy metal toxicity and improves microbial carbon use efficiency in soil. Sci. Total. Environ. 2018, 621, 148–159. [Google Scholar] [CrossRef]
- Ahmad, M.S.A.; Ashraf, M.; Hussain, M. Phytotoxic effects of nickel on yield and concentration of macro- and micro-nutrients in sunflower (Helianthus annuus L.) achenes. J. Hazard. Mater. 2011, 185, 1295–1303. [Google Scholar] [CrossRef] [PubMed]
- Marques, A.P.; Rangel, A.O.; Castro, P.M.L. Remediation of heavy metal contaminated soils: Phytoremediation as a potentially promising clean-up technology. Crit. Rev. Environ. Sci. Technol. 2009, 39, 622–654. [Google Scholar] [CrossRef]
- Agnello, A.; Potysz, A.; Fourdrin, C.; Huguenot, D.; Chauhan, P. Impact of pyrometallurgical slags on sunflower growth, metal accumulation and rhizosphere microbial communities. Chemosphere 2018, 208, 626–639. [Google Scholar] [CrossRef] [PubMed]
- Marques, A.P.G.C.; Caetano, N.S.C.; Castro, P.M.L. Chapter 12: Strategies for Enhancing Soil Phytoremediation and Biomass Valorization. In The Handbook of Environmental Remediation: Classic and Modern Techniques; The Royal Society of Chemistry: London, UK, 2020; pp. 331–356. [Google Scholar] [CrossRef]
- Evangelou, M.W.H.; Deram, A. Phytomanagement: A realistic approach to soil remediating phytotechnologies with new challenges for plant science (Mini review). Int. J. Plant Biol. Res. 2014, 2, 1023. [Google Scholar]
- Marques, A.P.; Moreira, H.; Franco, A.R.; Rangel, A.O.; Castro, P.M. Inoculating Helianthus annuus (sunflower) grown in zinc and cadmium contaminated soils with plant growth promoting bacteria—Effects on phytoremediation strategies. Chemosphere 2013, 92, 74–83. [Google Scholar] [CrossRef]
- Turgut, C.; Pepe, M.K.; Cutright, T.J. The effect of EDTA and citric acid on phytoremediation of Cd, Cr, and Ni from soil using Helianthus annuus. Environ. Pollut. 2004, 131, 147–154. [Google Scholar] [CrossRef]
- Grompone, M.A. Sunflower Oil. In Vegetable Oils in Food Technology; Gunstone, F.D., Ed.; Blackwell Publishing Ltd.: Oxford, UK, 2011; pp. 137–167. [Google Scholar] [CrossRef]
- Porte, A.F.; Schneider, R.d.C.d.S.; Kaercher, J.A.; Klamt, R.A.; Schmatz, W.L.; da Silva, W.L.T.; Filho, W.A.S. Sunflower biodiesel production and application in family farms in Brazil. Fuel 2010, 89, 3718–3724. [Google Scholar] [CrossRef]
- Manmai, N.; Unpaprom, Y.; Ramaraj, R. Bioethanol production from sunflower stalk: Application of chemical and bio-logical pretreatments by response surface methodology (RSM). Biomass Convers. Biorefin. 2021, 11, 1759–1773. [Google Scholar] [CrossRef]
- Angelova, V.; Ivanova, R.; Todorov, Z.; Ivanov, K. Potential of Sunflower (Helianthus annuus L.) for Phytoremediation of Soils Contaminated with Heavy Metals. Agric. Sci. 2016, 8, 255–263. [Google Scholar] [CrossRef]
- Dhiman, S.S.; Selvaraj, C.; Li, J.; Singh, R.; Zhao, X.; Kim, D.; Kim, J.Y.; Kang, Y.C.; Lee, J.-K. Phytoremediation of metal-contaminated soils by the hyperaccumulator canola (Brassica napus L.) and the use of its biomass for ethanol production. Fuel 2016, 183, 107–114. [Google Scholar] [CrossRef]
- Dhiman, S.S.; Zhao, X.; Li, J.; Kim, D.; Kalia, V.C.; Kim, I.-W.; Kim, J.Y.; Lee, J.-K. Metal accumulation by sunflower (Helianthus annuus L.) and the efficacy of its biomass in enzymatic saccharification. PLoS ONE 2017, 12, e0175845. [Google Scholar] [CrossRef] [PubMed]
- Ko, C.-H.; Yu, F.-C.; Chang, F.-C.; Yang, B.-Y.; Chen, W.-H.; Hwang, W.-S.; Tu, T.-C. Bioethanol production from recovered napier grass with heavy metals. J. Environ. Manag. 2017, 203, 1005–1010. [Google Scholar] [CrossRef]
- Mishra, V.K.; Goswami, R. A review of production, properties and advantages of biodiesel. Biofuels 2017, 9, 273–289. [Google Scholar] [CrossRef]
- Ebrahimian, E.; Denayer, J.F.; Aghbashlo, M.; Tabatabaei, M.; Karimi, K. Biomethane and biodiesel production from sunflower crop: A biorefinery perspective. Renew. Energy 2022, 200, 1352–1361. [Google Scholar] [CrossRef]
- Mudhoo, A.; Kumar, S. Effects of heavy metals as stress factors on anaerobic digestion processes and biogas production from biomass. Int. J. Environ. Sci. Technol. 2013, 10, 1383–1398. [Google Scholar] [CrossRef]
- Chen, C.-H.; Chiou, I.-J. Remediation of Heavy Metal-Contaminated Farm Soil Using Turnover and Attenuation Method Guided with a Sustainable Management Framework. Environ. Eng. Sci. 2008, 25, 11–32. [Google Scholar] [CrossRef]
- Xu, H.; Li, Y.; Hua, D.; Mu, H.; Zhao, Y.; Chen, G. Methane production from the anaerobic digestion of substrates from corn stover: Differences between the stem bark, stem pith, and leaves. Sci. Total. Environ. 2019, 694, 133641. [Google Scholar] [CrossRef]
- Evangelou, M.W.; Deram, A.; Gogos, A.; Studer, B.; Schulin, R. Assessment of suitability of tree species for the production of biomass on trace element contaminated soils. J. Hazard. Mater. 2012, 209–210, 233–239. [Google Scholar] [CrossRef]
- Verma, V.; Singh, Y.; Rai, J. Biogas production from plant biomass used for phytoremediation of industrial wastes. Bioresour. Technol. 2007, 98, 1664–1669. [Google Scholar] [CrossRef] [PubMed]
- Cao, Z.; Wang, S.; Wang, T.; Chang, Z.; Shen, Z.; Chen, Y. Using Contaminated Plants Involved in Phytoremediation for Anaerobic Digestion. Int. J. Phytoremediat. 2015, 17, 201–207. [Google Scholar] [CrossRef] [PubMed]
- Montusiewicz, A.; Szaja, A.; Musielewicz, I.; Cydzik-Kwiatkowska, A.; Lebiocka, M. Effect of bioaugmentation on digestate metal concentrations in anaerobic digestion of sewage sludge. PLoS ONE 2020, 15, e0235508. [Google Scholar] [CrossRef]
- Lee, J.; Park, K.Y.; Cho, J.; Kim, J.Y. Releasing characteristics and fate of heavy metals from phytoremediation crop residues during anaerobic digestion. Chemosphere 2018, 191, 520–526. [Google Scholar] [CrossRef]
- Lee, J.; Kim, J.R.; Jeong, S.; Cho, J.; Kim, J.Y. Long-term performance of anaerobic digestion for crop residues containing heavy metals and response of microbial communities. Waste Manag. 2017, 59, 498–507. [Google Scholar] [CrossRef]
- Guo, H.; van Lier, J.B.; de Kreuk, M. Digestibility of waste aerobic granular sludge from a full-scale municipal wastewater treatment system. Water Res. 2020, 173, 115617. [Google Scholar] [CrossRef]
- Paulo, A.M.S.; Caetano, N.S.; Castro, P.M.L.; Marques, A.P.G.C. Phytomanagement of Zn- and Cd-contaminated soil: Helianthus annuus biomass production and metal remediation abilities with plant-growth-promoting microbiota assistance. Soil Syst. 2023, 7, 69. [Google Scholar] [CrossRef]
- Available online: https://www.nrel.gov (accessed on 15 March 2021).
- Moayedi, A.; Rezaei, K.; Moini, S.; Keshavarz, B. Chemical Compositions of Oils from Several Wild Almond Species. J. Am. Oil Chem. Soc. 2011, 88, 503–508. [Google Scholar] [CrossRef]
- EN 14111; Fat and Oil Derivatives—Fatty Acid Methyl Esters (FAME)—Determination of Iodine Value. CEN: Tokyo, Japan, 2022.
- EN 14104; Fat and Oil Derivates—Fatty Acid Methyl ester (FAME)—Determination of Acid Value. CEN: Tokyo, Japan, 2022.
- ASTM D 445; Standard Test Method for Kinematic Viscosity of Transparent and Opaque Liquids (and Calculation of Dynamic Viscosity). ASTM: West Conshohocken, PN, USA, 2023.
- ASTM D 4052; Standard Test Method for Density, Relative Density, and API Gravity of Liquids by Digital Density Meter. ASTM: West Conshohocken, PN, USA, 2024.
- Khemnani, S.; Aswani, B.; Arora, A.; Sindal, R.S. Detection of Heavy Metal Contents in the Seed Oil of Solanum malongena (Egg Plant) of Arid Zone. Int. J. Basic Appl. Chem. Sci. 2012, 2, 59–65. [Google Scholar]
- Wallinga, I.; Vark, W.; Houba, V.J.; Lee, J. Plant Analysis Procedures; Wageningen, Ed.; Syllabus; Department of Soil Science and Plant Nutrition: Wageningen, The Netherlands, 1989. [Google Scholar]
- Caetano, N.S.; Moura, R.F.; Meireles, S.; Mendes, A.M.; Mata, T.M. Bioethanol from brewer’s spent grains: Acid pre-treatment optimization, in: Chemical Engineering Transactions. Chem. Eng. 2013, 35, 1021–1026. [Google Scholar] [CrossRef]
- Xie, J.; Weng, Q.; Ye, G.; Luo, S.; Zhu, R.; Zhang, A.; Chen, X.; Lin, C. Bioethanol Production from Sugarcane Grown in Heavy Metal-Contaminated Soils. BioResources 2014, 9, 2509–2520. [Google Scholar] [CrossRef]
- Van Gerpen, J.; Shanks, B.; Pruszko, R.; Clements, D.; Knothe, G. Biodiesel production technologies. In Biodiesel Technology and Applications; Scrivener Publishing LLC.: Beverly, MA, USA, 2004. [Google Scholar] [CrossRef]
- Angelidaki, I.; Alves, M.; Bolzonella, D.; Borzacconi, L.; Campos, J.L.; Guwy, A.J.; Kalyuzhnyi, S.; Jenicek, P.; van Lier, J.B. Defining the biomethane potential (BMP) of solid organic wastes and energy crops: A proposed protocol for batch assays. Water Sci. Technol. 2009, 59, 927–934. [Google Scholar] [CrossRef] [PubMed]
- APHA. Standard Methods for the Examination of Water and Wastewater; American Public Health Association: Washington, DC, USA, 1998. [Google Scholar]
- Su, G.; Li, F.; Lin, J.; Liu, C.; Shi, G. Peanut as a potential crop for bioenergy production via Cd-phytoextraction: A life-cycle pot experiment. Plant Soil 2013, 365, 337–345. [Google Scholar] [CrossRef]
- Santos, A.G.D.; Caldeira, V.P.S.; Farias, M.F.; Araújo, A.S.; Souza, L.D.; Barros, A.K. Characterization and kinetic study of sunflower oil and biodiesel. J. Therm. Anal. Calorim. 2011, 106, 747–751. [Google Scholar] [CrossRef]
- Wang, S.S.; Wang, Y.H.; Zhang, H. Effects of cadmium stress on peanut seed quality and related response mechanisms. Chin. J. Ecol. 2007, 26, 1761–1765. [Google Scholar]
- Cataldo, D.A.; Garland, T.R.; Wildung, R.E. Nickel in plants: II. Distribution and chemical form in soybean plants. Plant Physiol. 1978, 62, 566–570. [Google Scholar] [CrossRef]
- Park, J.; Kim, J.-Y.; Kim, K.-W. Phytoremediation of soil contaminated with heavy metals using Brassica napus. Geosystem Eng. 2012, 15, 10–18. [Google Scholar] [CrossRef]
- Ziebell, A.L.; Barb, J.; Sandhu, S.; Moyers, B.T.; Sykes, R.W.; Doeppke, C.; Gracom, K.L.; Carlile, M.; Marek, L.F.; Davis, M.F.; et al. Sunflower as a biofuels crop: An analysis of lignocellulosic chemical properties. Biomass Bioenergy 2013, 59, 208–217. [Google Scholar] [CrossRef]
- Sharma, S.K.; Kalra, K.L.; Grewal, H.S. Fermentation of enzymatically saccharified sunflower stalks for ethanol production and its scale up. Bioresour. Technol. 2002, 85, 31–33. [Google Scholar] [CrossRef]
- Willscher, S.; Mirgorodsky, D.; Jablonski, L.; Ollivier, D.; Merten, D.; Büchel, G.; Wittig, J.; Werner, P. Field scale phytoremediation experiments on a heavy metal and uranium contaminated site, and further utilization of the plant residues. Hydrometallurgy 2013, 131–132, 46–53. [Google Scholar] [CrossRef]
- Amon, T.; Amon, B.; Kryvoruchko, V.; Machmüller, A.; Hopfner-Sixt, K.; Bodiroza, V.; Hrbek, R.; Friedel, J.; Pötsch, E.; Wagentristl, H.; et al. Methane production through anaerobic digestion of various energy crops grown in sustainable crop rotations. Bioresour. Technol. 2007, 98, 3204–3212. [Google Scholar] [CrossRef]
- Maroušek, J. Pretreatment of sunflower stalks for biogas production. Clean Technol. Environ. Policy 2013, 15, 735–740. [Google Scholar] [CrossRef]
- Zhurka, M.; Spyridonidis, A.; Vasiliadou, I.A.; Stamatelatou, K. Biogas production from sunflower head and stalk residues: Effect of alkaline pretreatment. Molecules 2020, 25, 164. [Google Scholar] [CrossRef]
- Altaş, L. Inhibitory effect of heavy metals on methane-producing anaerobic granular sludge. J. Hazard. Mater. 2009, 162, 1551–1556. [Google Scholar] [CrossRef] [PubMed]
- Zhang, R.; Wang, X.; Gu, J.; Zhang, Y. Influence of zinc on biogas production and antibiotic resistance gene profiles during anaerobic digestion of swine manure. Bioresour. Technol. 2017, 244, 63–70. [Google Scholar] [CrossRef]
- Fermoso, F.G.; Bartacek, J.; Jansen, S.; Lens, P.N. Metal supplementation to UASB bioreactors: From cell-metal interactions to full-scale application. Sci. Total. Environ. 2009, 407, 3652–3667. [Google Scholar] [CrossRef] [PubMed]
- Guo, Q.; Majeed, S.; Xu, R.; Zhang, K.; Kakade, A.; Khan, A.; Hafeez, F.Y.; Mao, C.; Liu, P.; Li, X. Heavy metals interact with the microbial community and affect biogas production in anaerobic digestion: A review. J. Environ. Manag. 2019, 240, 266–272. [Google Scholar] [CrossRef] [PubMed]
- Chen, Y.; Jay, J.; Cheng, J.J.; Creamer, K.S. Inhibition of anaerobic digestion process: A review. Bioresour. Technol. 2008, 99, 4044–4064. [Google Scholar] [CrossRef] [PubMed]
- Lo, H.; Chiang, C.; Tsao, H.; Pai, T.; Liu, M.; Kurniawan, T.; Chao, K.; Liou, C.; Lin, K.; Chang, C.; et al. Effects of spiked metals on the MSW anaerobic digestion. Waste Manag. Res. 2012, 30, 32–48. [Google Scholar] [CrossRef] [PubMed]
- Li, Y.; Alaimo, C.P.; Kim, M.; Kado, N.Y.; Peppers, J.; Xue, J.; Wan, C.; Green, P.G.; Zhang, R.; Jenkins, B.M.; et al. Composition and Toxicity of Biogas Produced from Different Feedstocks in California. Environ. Sci. Technol. 2019, 53, 11569–11579. [Google Scholar] [CrossRef] [PubMed]
- Costa, C.A.E.; Coleman, W.; Dube, M.; Rodrigues, A.E.; Pinto, P.C.R. Assessment of key features of lignin from lignocellulosic crops: Stalks and roots of corn, cotton, sugarcane, and tobacco. Ind. Crop. Prod. 2016, 92, 136–148. [Google Scholar] [CrossRef]
- Sawatdeenarunat, C.; Surendra, K.; Takara, D.; Oechsner, H.; Khanal, S.K. Anaerobic digestion of lignocellulosic biomass: Challenges and opportunities. Bioresour. Technol. 2015, 178, 178–186. [Google Scholar] [CrossRef] [PubMed]
- Luyckx, M.; Hausman, J.-F.; Isenborghs, A.; Guerriero, G.; Lutts, S. Impact of cadmium and zinc on proteins and cell wall-related gene expression in young stems of hemp (Cannabis sativa L.) and influence of exogenous silicon. Environ. Exp. Bot. 2021, 183, 104363. [Google Scholar] [CrossRef]
- Li, C.; Liu, Y.; Tian, J.; Zhu, Y.; Fan, J. Changes in sucrose metabolism in maize varieties with different cadmium sensitivities under cadmium stress. PLoS ONE 2020, 15, e0243835. [Google Scholar] [CrossRef]
- Alaboudi, K.A.; Ahmed, B.; Brodie, G. Phytoremediation of Pb and Cd contaminated soils by using sunflower (Helianthus annuus) plant. Ann. Agric. Sci. 2018, 63, 123–127. [Google Scholar] [CrossRef]
Disclaimer/Publisher’s Note: The statements, opinions and data contained in all publications are solely those of the individual author(s) and contributor(s) and not of MDPI and/or the editor(s). MDPI and/or the editor(s) disclaim responsibility for any injury to people or property resulting from any ideas, methods, instructions or products referred to in the content. |
© 2024 by the authors. Licensee MDPI, Basel, Switzerland. This article is an open access article distributed under the terms and conditions of the Creative Commons Attribution (CC BY) license (https://creativecommons.org/licenses/by/4.0/).


