Abstract
The ecological ‘attraction’ and ‘production’ functions of reef areas have been the subject of ongoing debate requiring further clarification. The present study focused on the black rockfish (Sebastes schlegelii), an economically dominant species in reef areas of Dabuquan Bay. Comparisons of stable carbon (C) isotopes between the muscle and liver tissues of black rockfish were conducted to identify residency and potential sources of non-resident individuals in the coastal Yellow Sea, China. Subsequently, isoscape values, derived from C isotopes of zooplankton gathered from inshore and offshore areas surrounding the reef, were compared to determine potential sources of the non-resident black rockfish individuals. According to the results, (1) the isotopic values between the muscle and liver tissues of black rockfish remained consistently aligned across both reef and control areas but showcased significant seasonal variations, and (2) the residency ratios of individuals within the reef area exceeded 84% across all seasons, highlighting the prolonged stays of this species. The findings are consistent with previous studies on rockfish residency and could facilitate the formulation of strategies for local stock enhancement and management.
1. Introduction
Artificial reefs (ARs) have become increasingly popular over the past 30 years as they provide suitable nursing, spawning, and feeding grounds for marine organisms [1]. ARs can hasten fish assemblages and alter community structure [2], yet the precise mechanisms by which they do so, described as ‘attraction’ and ‘production’ viewpoints, remain unclear [3]. ‘Production’ represents the net increase in biomass within a particular reef area [4], whereas ‘attraction’ elucidates the behavioral responses of organisms in the forms of attraction or redistribution based on the reef structure without resulting in a net increase in biomass [4,5,6].
Though well-defined, the implications of the two ecological functions can be complex and interdependent. ‘Attraction’ is typically associated with the preference of reef-dependent species to inhabit coarse substrates and is driven by the redistribution of organisms within the artificial reef area [7,8]. This can result in increased fishing mortality owing to the higher abundance of reef-dependent fishes [2]. However, the aggregating function of reefs facilitates population equilibrium, enabling abundant individuals to recruit again [9]. On the other hand, biocapacity is enhanced in reef habitats since it provides sufficient food resources for the proliferation and growth of organisms, which contribute to the ‘production’ function [10]. The contribution of ARs to both the ecological ‘attraction’ and ‘production’ functions has been described in other studies [11]. For instance, several pelagic fish species can temporarily prey and wander in such habitats due to the availability of food and the complex flow fields in the area; however, they use other habitats to complete their life cycle, which does not contribute to the production function of artificial reefs [12]. In contrast, benthic reef-dependent fish are attracted by reef deployments and tend to reside within or around the reef areas, effectively fulfilling the production function through reproduction or growth [13].
Understanding the relationship between attraction and production is crucial for evaluating if the purpose of using artificial reefs is achieved [11]. It can also facilitate the formulation of appropriate management strategies by fishery managing departments [14]. However, owing to the difficulties in estimating fish production on ARs and limited studies [11,15], distinguishing between ‘attraction’ and ‘production’ functions in AR areas remains a challenge.
Black rockfish (Sebastes schlegelii), one of the most economically important reef-dependent fish species [16], is distributed widely in North China, Japan, and Korea. Black rockfish is a representative species used for interpreting the ecological functions of ARs [17,18]. Acoustic telemetry studies have demonstrated the long-term site fidelity and continuous habitat utilization of black rockfish in the reef area [13], whereas Yu et al. [17] reported a higher abundance of the species in deep waters during summer and winter, indicating potential short-term migration in the local reef area. Additionally, Zhang et al. [18] observed different diets of black rockfish in reef and control areas, with higher stomach fullness in reef areas, highlighting the importance of reef areas as a major food source for the species. However, owing to the limitations of the survey method, the temporal attraction or long-term residence of black rockfish remains unclear.
Stable isotope technology is increasingly being used to analyze the diet, trophic position, movement, and residency regularity of organisms in reef areas [19]. In particular, the stable isotope ratios of carbon (δ13C) in multiple tissues have successfully shown the settlement patterns of fish [20], blue crabs [21], and brown shrimp [22] in estuarine and reef habitats. Fish tissues have different turnover times due to their varying growth and metabolism rates [23]. The δ13C in fish muscle tissue reflects long-term dietary sources with a slow turnover time (approximately 100), whereas δ13C values in liver tissue reflect diet within the last 10–20 d with continuous protein turnover [20]. Relatively similar δ13C values between the liver and muscle tissues indicate a long-term local diet, suggesting resident fish, while inconsistent δ13C values indicate changes in diet sources and imply non-resident fish [24].
In the present study, the black rockfish was used to investigate the relationship between ‘attraction’ and ‘production’ functions in ARs. We hypothesized that ARs perform both ‘production’ and ‘attraction’ functions synergistically, hosting a significant resident population of black rockfish. This study investigated the residency of black rockfish and also the potential sources of non-resident individuals and provided insights into the functional roles of ARs within marine ecosystems.
2. Materials and Methods
2.1. Study Area
The study area was located in Dabuquan Bay of the Yellow Sea, China, covering AR area 1 (13–15 m depth with 150,000 m3 rock reefs and 50,000 m3 3 × 3 × 3 m concrete structure ARs over 50 hm2), AR area 2 (15–17 m depth with 10,000 m3 rock reefs and 40,000 m3 3 × 3 × 3 m concrete structure ARs over 160 hm2), and the control area (15–17 m depth with mud and sand substrates) (Figure 1A).
Figure 1.
Study area and sampling sites of black rockfish (A) and zooplankton (B).
2.2. Sampling Methods
Black rockfish and zooplankton were sampled simultaneously during four surveys in July (summer) and November (autumn) 2020 and in January (winter) and April (spring) 2021.
A fixed sampling site design was used for black rockfish. Three sampling sites were selected in each of the AR areas and the control area (Figure 1A, Table S1); black rockfish sampling was conducted using accordion traps and trammel nets. The traps consisted of three cages in series with a total length of 30 m, while the trammel nets had dimensions of 100 m (length) × 1 m (height) and outer panel and inner panel mesh sizes of 330 and 60 mm (fully stretched mesh size), respectively. Traps and trammel nets were deployed at each site for 48 h without bait. The captured fish were held in an oxygenated ‘live box’ on the vessel, and species identification, counting, and weighting were performed subsequently in the laboratory.
Due to challenging weather conditions and vessel navigability, we randomly selected 3–6 sampling sites from the inshore (2 km from the shore base), reef (two AR areas), and offshore areas, which had a wider region than the control area (7–10 km from the shore base) (Figure 1B, Table S2). Zooplankton samples were collected by vertically towing a conical plankton net (0.5 m diameter, length 2 m, and mesh size 169 μm) from the bottom to the surface. The inshore area is influenced by terrigenous and anthropogenic organic matter [20], resulting in distinct zooplankton δ13C values (as the basic food source) when compared with those in reef areas. Offshore areas, located in the outer sea area with higher water exchange and external current input, also have distinct basic food sources. Collected samples were placed in pre-filtered seawater at 4 °C for approximately 12 h to remove gut contents. Zooplankton samples were obtained by filtering the pre-filtered seawater through pre-combusted Whatman GF/F filters. Each fish tissue and zooplankton sample was analyzed in triplicate.
2.3. Construction of the Isoscape
Zooplankton is the main source of food for most fauna in marine ecosystems. It occupies a central position between autotrophs and other heterotrophs and forms an important link in the food web [25]. To investigate the potential source of fish, we constructed an isoscape representing the spatial distribution of δ13C values of zooplankton (representing basic food source). This isoscape facilitates identification of the potential sources of black rockfish [26]. Zooplankton, particularly Alpheus sp. and Pugettia sp., are recognized as the primary food sources for black rockfish in the reef area [18]. In a related study within the same area, δ13C and δ15N analysis of gut contents from black rockfish revealed a trophic level discrepancy of 1.35 between zooplankton and black rockfish [27]. Considering this significant relationship, we opted to use zooplankton in constructing an isoscape to investigate potential food sources for black rockfish. The kriging interpolation method, utilized within ArcGIS (ESRI, Redlands, CA, USA), was employed to create a geographic distribution map of the isoscape. The method involved extrapolating isotopic values obtained from zooplankton samples collected across the entire sea area during four distinct seasons.
2.4. Stable Isotope Analysis
After euthanizing the fish, 5 g of the liver and muscle tissues were removed using sterile tweezers. All tissues were rinsed with deionized water and dried at 60 °C for 48 h. The samples were ground in a quartz mortar, filtered through a sieve, and homogenized into a fine powder. Muscle and zooplankton samples were acidified with 1 mol/L HCl to eliminate the potential influence of inorganic C before isotopic measurements. The liver tissue, which contained more lipids, was subjected to three degreasing treatments with a chloroform–methanol solution (1:2 ratio) before homogenization [21]. Stable isotope values of the liver and muscle tissues of fish, as well as the isoscape of zooplankton, were determined using a continuous-flow isotope ratio mass spectrometer (Delta V Advantage; Thermo Fisher Scientific, Waltham, MA, USA). The samples produced N2 and CO2 in a REDOX tube at about 1000 °C, separated by adsorption and desorption columns, and then were introduced into the isotope ratio mass spectrometer (IRMS) for isotope ratio analysis. Isotopic ratios were expressed in δ notation as the deviation in parts per mil (‰) from a standard equation: δ13C (‰) = (Rsample/Rstandard − 1) × 1000‰, where Rsample/Rstandard represents the ratio of 13C/12C. To account for lipid content, the stable isotopic values of liver tissue were corrected based on the method of Gelpi et al. [21], whereas no lipid correction was performed for muscle tissue because of its low lipid content. Differences in δ13C values between the liver and muscle tissues of fish from different areas and seasons were tested using a one-way analysis of variance (ANOVA) with 999 permutations, followed by the Bonferroni method for pairwise comparisons. Statistical analyses were conducted using R v4.2.1 (R Foundation for Statistical Computing, Vienna, Austria), and significance was determined at p < 0.05.
2.5. Determination of Resident Fish
Black rockfish are an important consumer in the food webs of reef areas [18]. Fish tissues tend to be enriched in 13C as the trophic level increases [18]. Due to the tissue-specific fractionation processes or differing turnover rates among different tissues, inherent differences will be observed in δ13C between specific tissues (e.g., liver and muscle) [28]. Eliminating such inherent offset is crucial before determining species residency for each season [20]. Previous studies by Fry et al. [22] have shown that animals that have the same diet typically exhibit differences in isotope values within ±0.5 to 1.0‰ across multiple tissues. To address this, we specifically selected individuals within the reef area during each season with a difference of less than 1‰ in δ13C between liver and muscle tissues. Seasonal natural tissue-based offset was calculated by averaging the difference between stable isotope values of muscle and liver tissues for these selected individuals (13Cseasonal natural tissue-based offset = Δ13Cmuscle-liver).
Fish with a difference of <2‰ in δ13C between the liver and muscle tissues were generally considered resident fish, whereas those with a difference of >2‰ in C isotopes between tissues were classified as non-resident fish [29]. Therefore, we calculated the residency indicator (Dresidency) by adjusting the difference in δ13C values between the liver and muscle tissues using seasonal tissue-based offset values (Dresidency = 13Cmuscle − 13Cliver − 13Cseasonal natural tissue-based offset) and then compared them with the 2‰ threshold.
The residency rate (Rr) was calculated using the equation Rr = (Nin/Nout) × 100%, where Nin refers to the number of resident fish and Nout refers to the number of non-resident fish. The Euclidean distance between isotopic values of liver and muscle tissues of all sampled individuals was used to describe the distribution patterns for each season. Lower Euclidean distance values indicate a stable diet among individuals, with minimal difference in δ13C between muscle and liver tissues [30,31]. Conversely, higher Euclidean distance values indicated a relatively strong dispersal distribution pattern of δ13C between the liver and muscle tissues, implying additional dietary sources.
2.6. Sources of Black Rockfish
Considering the 1.35 trophic level discrepancy between zooplankton and black rockfish in the same area, we selected an average δ13C enrichment of approximately 1‰ at each trophic level [32]. By subtracting 1.35‰ from the δ13C values in the non-resident fish liver and muscle tissues, we obtained basic diet stable C isotopic values. For each season, the source of non-resident fish was determined by comparing the difference in δ13C values between fish liver and muscle tissues with the δ13C values of zooplankton from specific areas (i.e., inshore, reef, offshore, and uninvestigated areas). If the δ13C values of liver and muscle tissues fall within the isotopic range of zooplankton from a specific area, this suggests a potential source of non-resident fish.
3. Results
A total of 99 black rockfish were caught in the reef area, whereas 25 individuals were caught in the control area (Table 1). The body length of the black rockfish was in the 51–263 mm range, covering both the juvenile and mature stages, based on the reported mature body length of 150 mm for black rockfish [33]. Linear regression analysis was conducted to explore the relationship between body length and δ13C values in the liver and muscle tissues (Figure 2). The R2 values were all lower than 0.1 among different areas and tissues, indicating no significant linear relationship between body length and δ13C values in liver and muscle tissues. Therefore, the following analysis focused on the seasonal changes of δ13C values at the reef area while disregarding the effects of body length. The C stable isotopic values in muscle and liver tissues did not show a significant difference between the AR and control areas (p > 0.05), except in summer, when the δ13C values in both tissues were significantly higher in the reef area than in the control area (p < 0.05). Within the same area, stable C isotope enrichment of both tissues showed a significant increase in winter but was the lowest in spring (Table 1).
Table 1.
Seasonal and spatial comparison of carbon stable isotopes in liver and muscle tissues of black rockfish (Sebastes schlegelii). Data were analyzed using one-way ANOVA followed by the Bonferroni method for pairwise comparison. Significant differences (p < 0.05) are denoted by different letters (lowercase for areas within the same season and uppercase for seasons within the same area).
Figure 2.
Relationship between stable carbon isotope in muscle and liver tissues and body length of captured black rockfish (Sebastes schlegelii). The fitted function with R2 value is displayed in the bottom left of the panels.
3.1. Residency of Black Rockfish at the Reef Area
The natural tissue-based offset between muscle and liver tissues varies among seasons. In spring, summer, and winter, the δ13C values in the muscle tissue were generally lower than those in the liver tissue, except in autumn, when the muscle tissue showed a higher enrichment of C stable isotopes. Two (Rr = 93.75%), one (Rr = 95.24%), three (Rr = 84.21%), and two (Rr = 92.60%) individuals were classified as non-residents during spring, summer, autumn, and winter, respectively (Figure 3 and Table 2). Non-resident individuals in summer and winter were smaller (body length ranging from 67 to 87 mm) than those in spring and autumn (body length ranging from 123 to 218 mm). Detailed information on δ13C values in the liver and muscle tissues is presented in Table 2.
Figure 3.
Residency discrimination of black rockfish (S. schlegelii) in two artificial reef areas among seasons. Red dashed lines enclose the area within which individuals were considered residents, with a difference range within 2‰ between muscle and liver tissues. The Red dashed line represents a range where the differences between fish tissues are less than 2‰. Euclidean distance of data points calculated in each season is displayed in the bottom right of the panel. (A) spring; (B) summer; (C) autumn; (D) winter.
Table 2.
Body length of black rockfish is classified as non-resident in each season. The δ13C values of liver and muscle were adjusted by subtracting −1.35‰ for comparison with the zooplankton isoscape.
The Euclidean distance from all sampled individuals was the highest in spring (6.28), followed by winter (5.15) and autumn (5.47). These values imply a relatively broader distribution of dietary sources for black rockfish in the reef area during spring, autumn, and winter compared to summer (Figure 3A,C,D). In summer, all individuals showed relatively stable dietary sources, indicated by the lowest Euclidean distance (4.24) and the highest residence rate (95.24%, Figure 3B).
3.2. Spatial Distribution of δ13C Values of Zooplankton
The isoscapes vary between seasons and areas. The δ13C values of zooplankton ranged from −24.23 ± 2.3‰ to −19.14 ± 0.46‰ throughout the year. During spring and winter, the isotopic values of zooplankton were the lowest in the inshore area, followed by the reef and offshore areas (Figure 4A,D). Conversely, in summer and autumn, the pattern reversed, with the inshore area exhibiting higher values compared to the reef and offshore area (Figure 4B,C, and Table 3). During summer and autumn, in the reef and inshore areas, the δ13C values of zooplankton were higher than those in spring and winter (especially summer showed significantly higher than spring, p < 0.05). For instance, in the inshore area, the values were −19.14‰ and −19.47‰ in summer and autumn, respectively, compared to −21.95‰ and −24.23‰ in spring and winter, respectively. However, the offshore area showed opposite trends, with the lowest δ13C values of zooplankton occurring in summer (−23.11‰).
Figure 4.
Spatial distribution of the isoscape based on Kriging interpolation for each season. (A) spring; (B) summer; (C) autumn; (D) winter.
Table 3.
Seasonal and spatial comparison of carbon stable isotopes (‰) in zooplankton. Data were analyzed using Kruskal–Wallis test, and pairwise comparisons were conducted using the Nemenyi method. Lowercase letters denote significant differences (p < 0.05) among seasons within each row, representing a specific season. Similarly, uppercase letters signify significant differences among different locations within each column representing a specific area. For each comparison group (e.g., the first column comparing seasons in the inshore area), the highest value is denoted by ‘A’, followed by ‘B’ and then ‘C’.
3.3. Traceability of the Non-Resident Black Rockfish
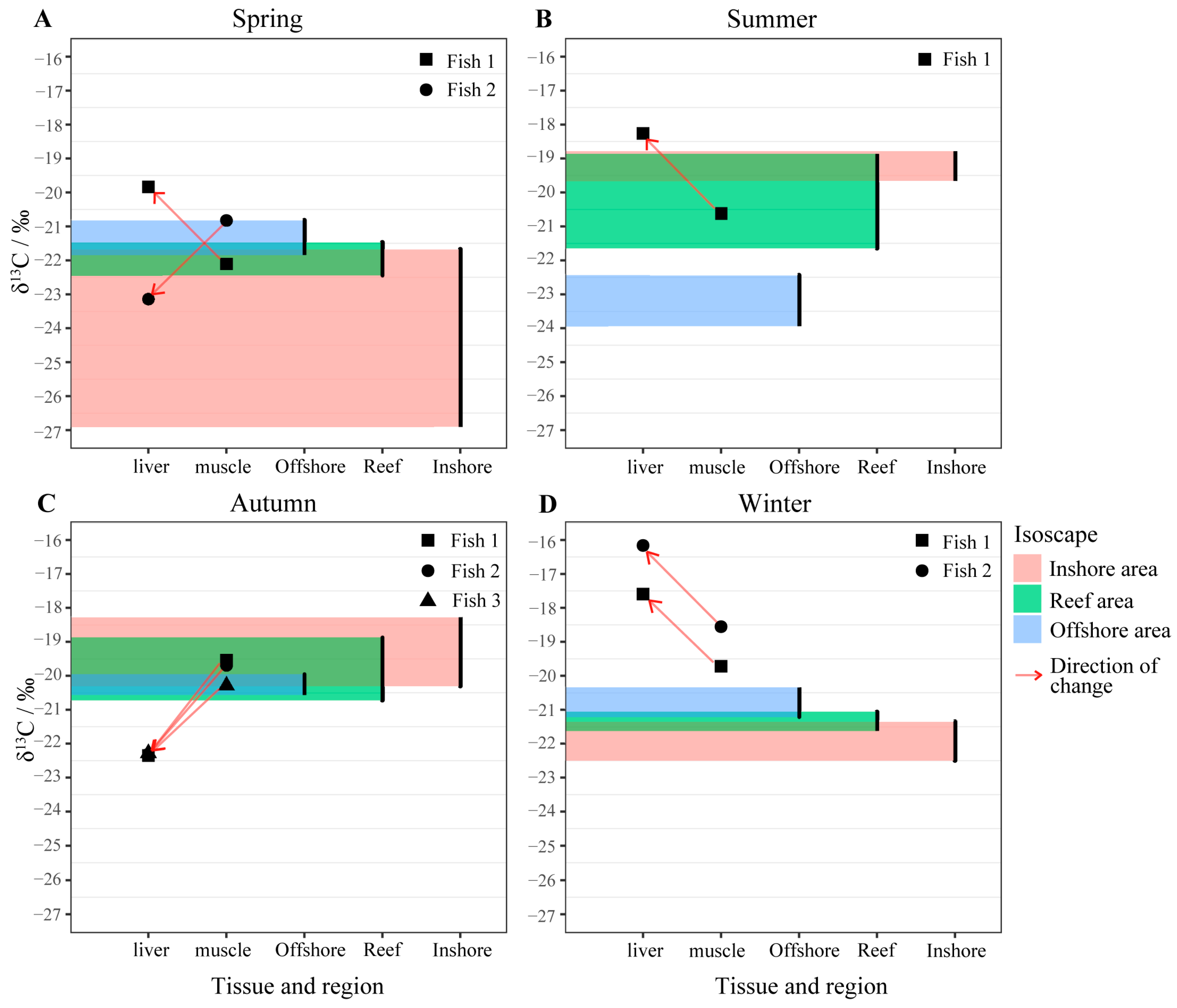
In spring, summer, and autumn, at least one non-resident individual (Fish 1 during spring and summer and Fish 1–3 in autumn) exhibited an extended stay within the reef area. This was evidenced by their muscle δ13C values falling within the range depicted by the isoscape in the reef area (Figure 5A–C). Then, δ13C values in their liver tissues verified a short-term departure, and the potential sources varied among seasons. In spring, the non-resident individual indicated potential sources either from the inshore area or further deep-sea, with δ13C values in the liver falling within the isoscape range of the inshore area (Fish 2) or exceeding that of the offshore area (Fish 1, in Figure 5A). For example, −23.14‰ for δ13C in the liver of Fish 2 fell within the range of isoscape from the inshore area (from −21.67 to −26.91‰, Figure 5A). In summer, non-resident Fish 1 exhibited a short-term stay near the inshore area, although a specific source was not identified (Figure 5B). In autumn, all non-resident individuals indicated potential sources further into the deep-sea compared to the offshore area, as their δ13C values were consistently lower than the isoscape in the offshore area. In contrast to other seasons, during winter, the δ13C values in muscle and liver tissues of two non-resident individuals were higher than the isoscape values from the three potential source areas (Figure 5D). Fish 1 and 2 in winter might have originated from further deep-sea or a location that was not explored in the present study.
Figure 5.
δ13C values of liver and muscle tissues for non-resident black rockfish individuals collected from reef area (two artificial reef areas) compared to the isotope range of isoscape in the inshore area, reef area, and offshore area. The arrow shows the change in non-resident individuals from a long-term food source (δ13C values in muscle) to a recent food source (δ13C values in liver). The δ13C values of non-resident fish were adjusted by subtracting 1.35‰ to account for the difference in trophic levels. (A) spring; (B) summer; (C) autumn; (D) winter.
4. Discussion
Tracking fish and distinguishing between resident and transient individuals are crucial for understanding the ecological functions of reefs. In the present study, stable C isotope technology was used to determine the residence and potential sources of black rockfish (S. schlegelii) in the coastal Yellow Sea, China. The results partially supported the hypothesis that the ecological function of reef areas is associated with a higher proportion of resident individuals. This was evidenced by more than 80% of the fish being resident in all seasons. Additionally, the potential sources of non-resident individuals varied by season. However, due to insufficient data collection, a detailed assessment regarding the disparity between the natural fractionation of fish tissues and the regional scale of the established isoscape was not conducted, so the potential sources of non-resident individuals remain uncertain, and the results should be interpreted with caution. Some of the non-resident individuals were observed to have long-term dietary sources in the reef areas, whereas their temporary diet sources were near the inshore or offshore areas, which were not clearly identified.
4.1. Ecological Functions of Reef Area for Black Rockfish
Black rockfish (S. schlegelii) is a common, economically dominant, and top predatory fish found in the Yellow Sea of China [34]. Reef-dependent is a natural trait throughout the life history of black rockfish [35]. Therefore, the construction of ARs has a significantly positive effect on the proliferation of the species [36]. Our assertion regarding the significant positive impact of AR construction on the proliferation of this species aligns with observations of the mutual reinforcement between the ‘attraction’ and ‘production’ functions within reef areas [6]. While prior studies, such as those by Yu et al. [37], Cresson et al. [8,38], and Feng et al. [39], have notably demonstrated the attraction effect in black rockfish and confirmed the production effects through isotopic technology, our study extends this understanding. We observed a consistent dietary preference among resident black rockfish, indicating a substantial ‘production’ function, with over 80% exhibiting residency over an extended period. The sustained long-term habitation with a stable diet leads to biomass accumulation, as defined by Bohnsack et al. [4] as “production”. Additionally, the congregating of a limited number of non-resident individuals on the reef suggests an ‘attraction’ function to some degree. This study offers valuable insights into the coexistence and transition from the ‘attraction’ to ‘production’ functions within reef ecosystems, albeit the intricate process remains challenging to fully unravel [3]. Our methodological contributions in exploring the residency of black rockfish augment this understanding, emphasizing the dual ecological functions within reef areas.
4.2. Potential Sources for Non-Resident Individuals
Fish movement, which usually varies based on life history, is fundamental to their physiology and ecology [40,41]. The present study identified different potential sources of non-resident fish among seasons, which may be related to their seasonal physiological activities.
In spring, the δ13C value in muscle tissue of non-resident Fish 1 was within the range of the inshore and reef area isoscape, indicating that Fish 1 had resided in the inshore and reef areas for a long time and recently made a short-term departure to further offshore waters beyond the offshore area (Figure 5A). In other words, Fish 1 could have been considered a resident only a few dozen days previously. However, Fish 2 displayed a converse pattern, with a muscle δ13C value belonging to the offshore area isoscape but isotopic values of the liver close to the inshore area. The phenomenon may be related to spawning activity, as the body length of Fish 2 (172 mm, Table 2) exceeded the minimal mature body length of black rockfish (150 mm) [33]. Spawning migration is a common behavior among marine fish species, and the presence of non-resident individuals near reef areas during the spawning season is expected [42]. These individuals may be attracted to reef areas for shelter, suitable substrate for egg deposition, and ample food sources, ultimately contributing to the maintenance of fish populations in the region [42,43].
The highest residency rate (95.24%) was observed in the summer, with only one non-resident individual identified. Summer Fish 1 exhibited a δ13C value in the liver tissue, indicating a transient footprint to a location resembling the isoscape of the inshore area (Figure 5B). Considering its relatively shorter body length (67 mm) and consistent δ13C value in muscle aligned with the reef area isoscape, it is possible that summer Fish 1 might be a newly born individual within the reef area or could have originated from juvenile individuals released inshore. Notably, in China, between 2015 and 2019, over 30 million black rockfish were released in the Shandong Peninsula in the Bohai and Yellow Seas, driven by rapid growth in the hatchery industry and advances in aquaculture technology [44]. Stock enhancement activities for black rockfish were implemented between June and July, with the body length of released individuals measuring approximately 50 mm [45]. However, as the δ13C value in the liver of Fish 1 does not fall within the range of any of the studied areas, our speculation lacks concrete evidence.
The residency in winter was 92.6%, followed by the lowest 84.21% in autumn. In autumn, although three individuals were identified as non-resident, they may exhibit high habitat fidelity (as indicated by δ13C values in muscle within the local isoscape range) by swimming beyond the offshore area to an area with notably distinct diet sources (δ13C values in liver significantly lower than the local isoscape range) before returning to the reef area. Autumn Fish 1–3 were all adults with body lengths exceeding 170 mm. The extended movement of the three non-resident individuals during autumn might be attributed to their more abundant energy reserves and physiological adaptations to cope with decreasing temperatures [46].
In winter, in contrast with the other seasons, the isotopic values in both muscle and liver tissues of two non-resident individuals were higher than the maximum values obtained in the isoscape. This may indicate a potential temporary stay, possibly due to attraction by the reef area. Previous studies by Xu et al. [47] and Yu et al. [17] have illustrated that black rockfish tend to swim to deeper waters during summer and winter. In our field surveys, the inshore area remains shallow (5 m) with lower temperatures in winter, while the reef and offshore areas are deeper (>15 m) with a temperature of 7.6 °C. Considering the spatial distribution of the winter isoscape, the possible sources of the two non-resident individuals might be deeper and in unsampled areas. It is likely that the reef area exerted an ‘attraction’ function in winter since it provides the rocky substrate known to be chosen by rockfish [37] and abundant food resources.
4.3. Uncertainty
Stable isotope technology has been used widely in several studies to investigate the traceability and movement behaviors of marine organisms. Previous research by Davis et al. [20] examined the movement and residence patterns of different fish species in inshore coral reefs using stable isotopes as tracers. Fry et al. [22] used stable isotope labeling to study the settlement rates of brown shrimp in nearshore estuaries compared to those in open bays. Haas et al. [24] explored the intraseasonal migration of mummichogs. Stable isotopes offer advantages, such as accurate indication, simple operation, and cost-effectiveness, when used as natural markers in organisms [48].
In the present study, stable isotopes were used to establish an isoscape to investigate the potential source of fish, which represents a novel approach for studying rockfish in reef areas. However, the effectiveness of the approach remains uncertain. One primary concern arises from potential changes in the diet of fish as they grow or alterations in their environment [49]. Such diet variations can affect the natural isotopic offsets in different fish tissues, potentially impacting the accuracy of our discrimination criteria (2‰) [20]. To mitigate this, we examined whether different life stages of black rockfish, indicated by body length in our study, influenced stable isotope values in muscle and liver tissues. Our results showed no significant differences among individuals of varying body lengths, consistent with the findings of Zhang et al. [18], indicating that stable C isotopes in black rockfish exhibit no discernible differences across varying body lengths. Additionally, following the method used by Davis et al. [20], we employed natural tissue-based offsets to compensate for differences in δ13C between muscle and liver tissues, aiming to minimize the potential impact of diet changes on these isotopic values to some extent.
The second concern is external factors such as rivers, terrigenous organic matter, and ocean currents can also influence isotopic values in the isoscape [50]. Previous research has illustrated that terrigenous organic matter carried by rivers depleted local C sources [20], resulting in a gradual increase in δ13C of zooplankton from inshore to offshore areas, consistent with our findings where the spring and winter isoscape values decreased from the inshore to offshore areas (Figure 4A,D). However, during summer and autumn, we observed opposite trends in isoscape distribution (Figure 4B,C), likely due to the increasing temperature. C isotope compositions in organisms fluctuate with sea temperature, ocean currents, and tides [51,52]. Understanding these dynamic seasonal changes in response to these environmental factors is crucial for interpreting the diverse potential sources of non-resident individuals across seasons. However, due to limited sampling frequency and regional scope, accurately tracing the origins of non-resident individuals remains a challenge.
The third concern is that a multiplicity of factors (e.g., metabolic rate, excretion, habitats) can affect diet–tissue discrimination [30], introducing uncertainty when comparing spatial isoscapes with isotopic values from fish tissues. The isotopic values of fish tissues are generally higher than those of the diet because of differences during the assimilation and excretion processes [53]. While the diet–tissue discrimination factor has been traditionally assumed to be around 1‰ for C [54], recent studies have highlighted its variation [55]. Factors such as trophic level, metabolic rate, excretion, habitats, taxon, prey type, and sample and treatment processes can significantly influence the accuracy of diet–tissue discrimination [56]. In the present study, we attempted to mitigate uncertainty by concurrently sampling and treating the isotopes of zooplankton and rockfish within the reef areas to ensure consistent environmental conditions. Moreover, we expanded the regional scale when randomly collecting zooplankton samples from both the inshore and offshore areas to construct the isoscape.
4.4. Implications for Stock Enhancement Management
Black rockfish (S. schlegelii) are the primary target species for stock enhancement in Asia [57,58]. The present study investigated the residency rate and potential sources of black rockfish, which could be useful in two aspects of stock enhancement management for this species. First, determining the residency rate is useful for decisions regarding release strategies in reef areas. A high residency rate indicates a high assemblage, and when combined with an exploration of potential sources, it can guide local authorities and researchers to adjust the scale and location of the stocking of black rockfish [57]. Second, developing tailored spatial-specific fishing strategies that account for both residency and potential sources of black rockfish contributes significantly to local fishery sustainability. Owing to the limited space and food availability in the reef areas, a high assemblage of individuals can lead to intraspecific competition for refuge and food resources [59,60]. By considering the diverse potential sources of black rockfish, implementing a spatial-specific fishing strategy with distinct quotas can help alleviate intraspecific competition within the reef area and foster a sustainable level of exploitation in coastal regions [61]. For example, the carrying capacity of black rockfish in reef ecosystems and the surrounding potential source areas can be evaluated separately by ecosystem models, which could thus calculate the maximum sustainable yield (MSY) of black rockfish [62]. Subsequently, detailed spatial-specific fishing activities for black rockfish in the reef and surrounding areas based on the evaluated MSY could be conducted, which would be beneficial for the stability of the local ecosystem and the sustainability of population recruitment [39].
This study demonstrates the potential applications of isotopic technology in fishery stock enhancement management. Further investigation is essential to validate the potential sources of non-resident individuals, allowing for clear and precise identification of these sources. This clarification is beneficial for establishing a robust foundation to formulate precise management measures and make informed decisions [63].
5. Conclusions
Our study demonstrated the ecological functions of reefs to black rockfish. The reef area serves as both a production and an attraction zone, supporting residents and attracting non-resident individuals from various sources. The stable C isotope technology and residency indicator employed in this study provide valuable insights into the residence of C in black rockfish during different seasons. The identification of seasonal patterns in resident and non-resident individuals facilitates our understanding of the dynamics and ecological processes occurring within reef areas. The results demonstrate that artificial reefs can act as crucial relay stations in coastal areas, enhancing connectivity with surrounding natural habitats. In addition, the use of isotope analysis and comparison with isoscape represents a novel approach for tracing fish movement, offering valuable data for fishery management and the development of marine protected areas and artificial habitats.
Supplementary Materials
The following supporting information can be downloaded at https://www.mdpi.com/article/10.3390/su16052115/s1. Table S1. The coordinate information on sampling sites of black rockfish. Table S2. The coordinate information on zooplankton sampling sites.
Author Contributions
Conceptualization, H.Y. and J.F.; data curation, W.Z. and Y.J.; formal analysis, W.Z.; funding acquisition, T.Z. and Y.T.; investigation, J.F. and W.Z.; methodology, H.Y. and J.F.; project administration, T.Z., Y.T. and L.S.; resources, T.Z., H.W. and L.S.; software, H.Y.; supervision, T.Z. and L.S.; validation, J.F.; visualization, H.Y.; writing—original draft, H.Y. and W.Z.; writing—review and editing, J.F., T.Z., H.W. and Y.T. All authors have read and agreed to the published version of the manuscript.
Funding
This research was supported by the National Key R&D Program of China (Grant No. 2022YFD2401300), the National Natural Science Foundation of China (Grant No. 42106102 and 42306151), the Shandong Postdoctoral Science Foundation (Grant No. SDCXZG202301009), and the Qingdao Postdoctoral Application Research Project (Grant No. QDBSH20220201045).
Institutional Review Board Statement
Not applicable.
Data Availability Statement
The data presented in this study are available on request from the corresponding author.
Conflicts of Interest
The authors declare no conflicts of interest. The funders had no role in the study design, data collection and analysis, decision to publish, or preparation of the manuscript.
References
- Ramm, L.A.W.; Florisson, J.H.; Watts, S.L.; Becker, A.; Tweedley, J.R. Artificial reefs in the Anthropocene: A review of geographical and historical trends in their design, purpose, and monitoring. Bull. Mar. Sci. 2021, 97, 699–728. [Google Scholar] [CrossRef]
- Sean, P.P.; Jonathan, H.G.; Charles, H.P.; William, J.L. Estimating enhancement of fish production by offshore artificial reefs: Uncertainty exhibited by divergent scenarios. Mar. Ecol. Prog. Ser. 2003, 264, 265–277. [Google Scholar]
- Roa-Ureta, R.H.; Santos, M.N.; Leitão, F. Modelling long-term fisheries data to resolve the attraction versus production dilemma of artificial reefs. Ecol. Model. 2019, 407, 108727. [Google Scholar] [CrossRef]
- Bohnsack, J.A.; Sutherland, D.L. Artificial Reef Research: A Review with Recommendations for Future Priorities. Bull. Mar. Sci. 1985, 37, 11–39. [Google Scholar]
- Lindberg, W.J. Can science resolve the attraction-production issue? Fisheries 1997, 22, 10–13. [Google Scholar]
- Smith, J.A.; Lowry, M.B.; Suthers, I.M. Fish attraction to artificial reefs not always harmful: A simulation study. Ecol. Evol. 2015, 5, 4590–4602. [Google Scholar] [CrossRef]
- Bacheler, N.M.; Shertzer, K.W. Catchability of reef fish species in traps is strongly affected by water temperature and substrate. Mar. Ecol. Prog. Ser. 2020, 642, 179–190. [Google Scholar] [CrossRef]
- Cresson, P.; Ruitton, S.; Ourgaud, M.; Harmelin-Vivien, M. Contrasting perception of fish trophic level from stomach content and stable isotope analyses: A Mediterranean artificial reef experience. J. Exp. Mar. Biol. Ecol. 2014, 452, 54–62. [Google Scholar] [CrossRef]
- Davenport, T.M.; Hughes, A.R.; Zu Ermgassen, P.S.E.; Grabowski, J.H. Recruitment enhancement varies by taxonomic group and oyster reef habitat characteristics. Ecol. Appl. 2021, 31, e02340. [Google Scholar] [CrossRef]
- Morais, R.A.; Bellwood, D.R. Principles for estimating fish productivity on coral reefs. Coral Reefs 2020, 39, 1221–1231. [Google Scholar] [CrossRef]
- Smith, J.A.; Lowry, M.B.; Champion, C.; Suthers, I.M. A designed artificial reef is among the most productive marine fish habitats: New metrics to address ‘production versus attraction’. Mar. Biol. 2016, 163, 188. [Google Scholar] [CrossRef]
- Becker, A.; Smith, J.A.; Taylor, M.D.; McLeod, J.; Lowry, M.B. Distribution of pelagic and epi-benthic fish around a multi-module artificial reef-field: Close module spacing supports a connected assemblage. Fish. Res. 2019, 209, 75–85. [Google Scholar] [CrossRef]
- Zhang, Y.Q.; Xu, Q.; Alos, J.; Liu, H.; Xu, Q.Z.; Yang, H.S. Short-Term Fidelity, Habitat Use and Vertical Movement Behavior of the Black Rockfish Sebastes schlegelii as Determined by Acoustic Telemetry. PLoS ONE 2015, 10, e0134381. [Google Scholar] [CrossRef]
- Miller, M.W. Using ecological processes to advance artificial reef goals. ICES J. Mar. Sci. 2002, 59, S27–S31. [Google Scholar] [CrossRef]
- Claisse, J.T.; Pondella, D.J.; Love, M.; Zahn, L.A.; Williams, C.M.; Williams, J.P.; Bull, A.S. Oil platforms off California are among the most productive marine fish habitats globally. Proc. Natl. Acad. Sci. USA 2014, 111, 15462–15467. [Google Scholar] [CrossRef]
- Chen, Y.; Shan, X.; Ovando, D.; Yang, T.; Dai, F.; Jin, X. Predicting current and future global distribution of black rockfish (Sebastes schlegelii) under changing climate. Ecol. Indic. 2021, 128, 107799. [Google Scholar] [CrossRef]
- Yu, H.; Yang, W.; Liu, C.; Tang, Y.; Song, X.; Fang, G. Relationships Between Community Structure and Environmental Factors in Xixiakou Artificial Reef Area. J. Ocean Univ. China 2020, 19, 883–894. [Google Scholar] [CrossRef]
- Zhang, R.; Liu, H.; Zhang, Q.; Zhang, H.; Zhao, J. Trophic interactions of reef-associated predatory fishes (Hexagrammos otakii and Sebastes schlegelii) in natural and artificial reefs along the coast of North Yellow Sea, China. Sci. Total Environ. 2021, 791, 148250. [Google Scholar] [CrossRef]
- Cybulski, J.D.; Skinner, C.; Wan, Z.; Wong, C.K.M.; Toonen, R.J.; Gaither, M.R.; Soong, K.; Wyatt, A.S.J.; Baker, D.M. Improving stable isotope assessments of inter- and intra-species variation in coral reef fish trophic strategies. Ecol. Evol. 2022, 12, e9221. [Google Scholar] [CrossRef]
- Davis, J.P.; Pitt, K.A.; Fry, B.; Connolly, R.M. Stable isotopes as tracers of residency for fish on inshore coral reefs. Estuar. Coast. Shelf Sci. 2015, 167, 368–376. [Google Scholar] [CrossRef]
- Gelpi, C.G., Jr.; Fry, B.; Condrey, R.E.; Fleeger, J.W.; Dubois, S.F. Using δ13C and δ15N to determine the migratory history of offshore Louisiana blue crab spawning stocks. Mar. Ecol. Prog. Ser. 2013, 494, 205–218. [Google Scholar] [CrossRef]
- Fry, B.; Baltz, D.M.; Benfield, M.C.; Fleeger, J.W.; Gace, A.; Haas, H.L.; Quiñones-Rivera, Z.J. Stable isotope indicators of movement and residency for brown shrimp (Farfantepenaeus aztecus) in coastal Louisiana marshscapes. Estuaries 2003, 26, 82–97. [Google Scholar] [CrossRef]
- Carleton, S.A.; Del Rio, C.M. Growth and catabolism in isotopic incorporation: A new formulation and experimental data. Funct. Ecol. 2010, 24, 805–812. [Google Scholar] [CrossRef]
- Haas, H.L.; Freeman, C.J.; Logan, J.M.; Deegan, L.; Gaines, E.F. Examining mummichog growth and movement: Are some individuals making intra-season migrations to optimize growth? J. Exp. Mar. Biol. Ecol. 2009, 369, 8–16. [Google Scholar] [CrossRef]
- Suresh, B.; Manjappa, S.; Puttaiah, E.T. The contents of zooplankton of the Tungabhadra river, near Harihar, Karnataka and the saprobiological analysis of Water Quality. J. Ecol. Nat. Environ. 2009, 1, 196–200. [Google Scholar]
- Hobson, K.A.; Barnett-Johnson, R.; Cerling, T. Using Isoscapes to Track Animal Migration. In Isoscapes: Understanding Movement, Pattern, and Process on Earth through Isotope Mapping; West, J.B., Bowen, G.J., Dawson, T.E., Tu, K.P., Eds.; Springer: Dordrecht, The Netherlands, 2010; pp. 273–298. [Google Scholar]
- Zhao, W. Study on Feeding Ecology and Settlement Rule of Sebastes schlegelii in Artificial Reef Area. Master’s Thesis, Ocean University of China, Qingdao, China, May 2023. [Google Scholar]
- Pinnegar, J.K.; Polunin, N.V.C. Differential fractionation of δ13C and δ15N among fish tissues: Implications for the study of trophic interactions. Funct. Ecol. 1999, 13, 225–231. [Google Scholar] [CrossRef]
- Davis, J.P.; Pitt, K.A.; Fry, B.; Olds, A.D.; Connolly, R.M. Seascape-scale trophic links for fish on inshore coral reefs. Coral Reefs 2014, 33, 897–907. [Google Scholar] [CrossRef]
- Fry, B.; Davis, J. Rescaling stable isotope data for standardized evaluations of food webs and species niches. Mar. Ecol. Prog. Ser. 2015, 528, 7–17. [Google Scholar] [CrossRef][Green Version]
- Andolina, C.; Franzoi, P.; Cavraro, F.; Jackson, A.L.; Mazzola, A.; Vizzini, S. Trophic adaptability shapes isotopic niche of the resident fish Aphanius fasciatus across lagoon habitats. Estuar. Coast. Shelf Sci. 2022, 264, 107685. [Google Scholar] [CrossRef]
- Phillips, D.L.; Inger, R.; Bearhop, S.; Jackson, A.L.; Moore, J.W.; Parnell, A.C.; Semmens, B.X.; Ward, E.J. Best practices for use of stable isotope mixing models in food-web studies. Can. J. Zool. 2014, 92, 823–835. [Google Scholar] [CrossRef]
- Tang, Y.; Liu, Y.; Liu, C.; Zhang, W. Improving the accordion-shaped trap selectivity for black rockfish by mounting escape vents: A case study from the small-scale fishery in Shandong, China. Fish. Res. 2019, 219, 105317. [Google Scholar] [CrossRef]
- Yin, L.; Chen, B.; Xia, B.; Shi, X.; Qu, K. Polystyrene microplastics alter the behavior, energy reserve and nutritional composition of marine jacopever (Sebastes schlegelii). J. Hazard. Mater. 2018, 360, 97–105. [Google Scholar] [CrossRef] [PubMed]
- Li, J.; Li, J.; Gong, P.; Guan, C. Effects of the artificial reef and flow field environment on the habitat selection behavior of Sebastes schlegelii juveniles. Appl. Anim. Behav. Sci. 2021, 245, 105492. [Google Scholar] [CrossRef]
- Becker, A.; Lowry, M.B.; Fielder, D.S.; Taylor, M.D. Dispersal of yellowtail kingfish (Seriola lalandi) from a coastal embayment following a recreational fisheries enhancement stocking program: Attempts to integrate aquaculture and habitat-based initiatives. Bull. Mar. Sci. 2021, 97, 615–630. [Google Scholar] [CrossRef]
- Yu, H.; Fang, G.; Rose, K.A.; Lin, J.; Feng, J.; Wang, H.; Cao, Q.; Tang, Y.; Zhang, T. Effects of habitat usage on hypoxia avoidance behavior and exposure in reef-dependent marine coastal species. Front. Mar. Sci. 2023, 10, 1109523. [Google Scholar] [CrossRef]
- Cresson, P.; Le Direach, L.; Rouanet, E.; Goberville, E.; Astruch, P.; Ourgaud, M.; Harmelin-Vivien, M. Functional traits unravel temporal changes in fish biomass production on artificial reefs. Mar. Environ. Res. 2019, 145, 137–146. [Google Scholar] [CrossRef]
- Feng, J.; Zhao, X.; Bi, F.; Zhao, W.; Zhao, L.; Song, H.; Yang, M.; Hu, Z.; Zhou, C.; Shi, P.; et al. Investigating food web structure and system function of an artificial reef ecosystem based on carbon and nitrogen stable isotope analysis: Implications for reef management. Front. Mar. Sci. 2023, 10, 1192173. [Google Scholar] [CrossRef]
- Cooke, S.J.; Bergman, J.N.; Twardek, W.M.; Piczak, M.L.; Casselberry, G.A.; Lutek, K.; Dahlmo, L.S.; Birnie-Gauvin, K.; Griffin, L.P.; Brownscombe, J.W.; et al. The movement ecology of fishes. J. Fish Biol. 2022, 101, 756–779. [Google Scholar] [CrossRef]
- Song, M.; Wang, J.; Nie, Z.; Wang, L.; Wang, J.; Zhang, J.; Wang, Y.; Guo, Z.; Jiang, Z.; Liang, Z. Evaluation of artificial reef habitats as reconstruction or enhancement tools of benthic fish communities in northern Yellow Sea. Mar. Pollut. Bull. 2022, 182, 113968. [Google Scholar] [CrossRef]
- Fischer, J.L.; Roseman, E.F.; Mayer, C.; Wills, T. If you build it and they come, will they stay? Maturation of constructed fish spawning reefs in the St. Clair-Detroit River System. Ecol. Eng. 2020, 150, 105837. [Google Scholar] [CrossRef]
- Brownscombe, J.W.; Griffin, L.P.; Morley, D.; Acosta, A.; Boucek, R.; Adams, A.J.; Danylchuk, A.J.; Cooke, S.J. Spatial-temporal patterns of Permit (Trachinotus falcatus) habitat residency in the Florida Keys, USA. Environ. Biol. Fishes 2023, 106, 419–431. [Google Scholar] [CrossRef]
- Liu, Q.; Wang, Z.; Li, W.; Zhang, Q.; Liu, B.; Li, M.; Liu, Y.; Tian, T.; Yan, H. Genetic Stock Identification and Adaptability of Hatchery-Reared Black Rockfish, Sebastes schlegelii, Released into the North Yellow Sea waters. Front. Mar. Sci. 2022, 9, 800607. [Google Scholar] [CrossRef]
- Guo, H.; Roques, J.A.C.; Li, M.; Zhang, X. Effects of different feeding regimes on juvenile black rockfish (Sebastes schlegilii) survival, growth, digestive enzyme activity, body composition and feeding costs. Aquac. Res. 2020, 51, 4103–4112. [Google Scholar] [CrossRef]
- Jin, C.; Yan, K.; Wang, M.; Song, W.; Kong, X.; Zhang, Z. Identification, Characterization and Functional Analysis of Fibroblast Growth Factors in Black Rockfish (Sebastes schlegelii). Int. J. Mol. Sci. 2023, 24, 3626. [Google Scholar] [CrossRef]
- Xu, M.; Qi, Z.-L.; Liu, Z.-L.; Quan, W.-M.; Zhao, Q.; Zhang, Y.-L.; Liu, H.; Yang, L.-L. Coastal aquaculture farms for the sea cucumber Apostichopus japonicus provide spawning and first-year nursery grounds for wild black rockfish, Sebastes schlegelii: A case study from the Luanhe River estuary, Bohai bay, the Bohai Sea, China. Front. Mar. Sci. 2022, 9, 911399. [Google Scholar] [CrossRef]
- Cusa, M.; St John Glew, K.; Trueman, C.; Mariani, S.; Buckley, L.; Neat, F.; Longo, C. A future for seafood point-of-origin testing using DNA and stable isotope signatures. Rev. Fish Biol. Fish. 2022, 32, 597–621. [Google Scholar] [CrossRef]
- Sánchez-Hernández, J.; Nunn, A.D.; Adams, C.E.; Amundsen, P.-A. Causes and consequences of ontogenetic dietary shifts: A global synthesis using fish models. Biol. Rev. 2019, 94, 539–554. [Google Scholar] [CrossRef]
- Connolly, R.M. Differences in trophodynamics of commercially important fish between artificial waterways and natural coastal wetlands. Estuar. Coast. Shelf Sci. 2003, 58, 929–936. [Google Scholar] [CrossRef]
- MacKenzie, K.M.; Palmer, M.R.; Moore, A.; Ibbotson, A.T.; Beaumont, W.R.C.; Poulter, D.J.S.; Trueman, C.N. Locations of marine animals revealed by carbon isotopes. Sci. Rep. 2011, 1, 21. [Google Scholar] [CrossRef]
- Szpak, P.; Orchard, T.J.; Salomon, A.K.; Gröcke, D.R. Regional ecological variability and impact of the maritime fur trade on nearshore ecosystems in southern Haida Gwaii (British Columbia, Canada): Evidence from stable isotope analysis of rockfish (Sebastes spp.) bone collagen. Archaeol. Anthropol. Sci. 2013, 5, 159–182. [Google Scholar] [CrossRef]
- Olive, P.J.W.; Pinnegar, J.K.; Polunin, N.V.C.; Richards, G.; Welch, R. Isotope trophic-step fractionation: A dynamic equilibrium model. J. Anim. Ecol. 2003, 72, 608–617. [Google Scholar] [CrossRef] [PubMed]
- Deniro, M.J.; Epstein, S. Influence of diet on the distribution of nitrogen isotopes in animals. Geochim. Cosmochim. Acta 1981, 45, 341–351. [Google Scholar] [CrossRef]
- Sacramento, P.A.; Manetta, G.I.; Benedito, E. Diet-tissue discrimination factors (Δ13C and Δ15N) and turnover rate in somatic tissues of a neotropical detritivorous fish on C3 and C4 diets. J. Fish Biol. 2016, 89, 213–219. [Google Scholar] [CrossRef] [PubMed]
- Canseco, J.A.; Niklitschek, E.J.; Harrod, C. Variability in δ13C and δ15N trophic discrimination factors for teleost fishes: A meta-analysis of temperature and dietary effects. Rev. Fish Biol. Fish. 2022, 32, 313–329. [Google Scholar] [CrossRef]
- Nakagawa, M.; Okouchi, H.; Adachi, J.; Hattori, K.; Yamashita, Y. Effectiveness of stock enhancement of hatchery-released black rockfish Sebastes schlegeli in Yamada Bay—Evaluation by a Fish Market survey. Aquaculture 2007, 263, 295–302. [Google Scholar] [CrossRef]
- Wang, L.; Wu, Z.; Wang, Y.; Liu, M.; Song, A.; Liu, H.; You, F. Genetic Assessment of a Black Rockfish, Sebastes schlegelii, Stock Enhancement Program in Lidao Bay, China Based on Mitochondrial and Nuclear DNA Analysis. Front. Mar. Sci. 2020, 7, 94. [Google Scholar] [CrossRef]
- Lee, J.-W.; Min, B.H.; Lee, B.; Kim, K.; Yoon, M. Effects of Stocking Density on Stress, Hematological Responses, and Growth of Black Rockfish Sebastes schlegelii. J. Aquat. Anim. Health 2022, 34, 82–91. [Google Scholar] [CrossRef]
- Olson, A.M.; Trebilco, R.; Salomon, A.K. Expanded consumer niche widths may signal an early response to spatial protection. PLoS ONE 2019, 14, e0223748. [Google Scholar] [CrossRef]
- Bastardie, F.; Angelini, S.; Bolognini, L.; Fuga, F.; Manfredi, C.; Martinelli, M.; Nielsen, J.R.; Santojanni, A.; Scarcella, G.; Grati, F. Spatial planning for fisheries in the Northern Adriatic: Working toward viable and sustainable fishing. Ecosphere 2017, 8, e01696. [Google Scholar] [CrossRef]
- Wang, X.; Feng, J.; Lin, C.; Liu, H.; Chen, M.; Zhang, Y. Structural and Functional Improvements of Coastal Ecosystem Based on Artificial Oyster Reef Construction in the Bohai Sea, China. Front. Mar. Sci. 2022, 9, 829557. [Google Scholar] [CrossRef]
- Gonzalez, E.B.; Umino, T.; Nagasawa, K. Stock enhancement programme for black sea bream, Acanthopagrus schlegelii (Bleeker), in Hiroshima Bay, Japan: A review. Aquac. Res. 2008, 39, 1307–1315. [Google Scholar] [CrossRef]
Disclaimer/Publisher’s Note: The statements, opinions and data contained in all publications are solely those of the individual author(s) and contributor(s) and not of MDPI and/or the editor(s). MDPI and/or the editor(s) disclaim responsibility for any injury to people or property resulting from any ideas, methods, instructions or products referred to in the content. |
© 2024 by the authors. Licensee MDPI, Basel, Switzerland. This article is an open access article distributed under the terms and conditions of the Creative Commons Attribution (CC BY) license (https://creativecommons.org/licenses/by/4.0/).




