Microplastic Occurrence Characteristics and Ecological Risk Assessment of Urban River in Cold Regions during Ice-Covered Periods
Abstract
1. Introduction
2. Materials and Methods
2.1. Study Area
2.2. Sample Collection and MP Extraction
2.3. Classification, Detection, and Identification of MP Samples
2.4. Quality Assurance and Control
2.5. Ecological Risk Assessment of MP Pollution
2.6. Statistical Analysis
3. Results
3.1. MPs in Ice of Urban Inland Rivers
3.2. Abundance of MPs in Ice and Water of Mainstream Songhua River
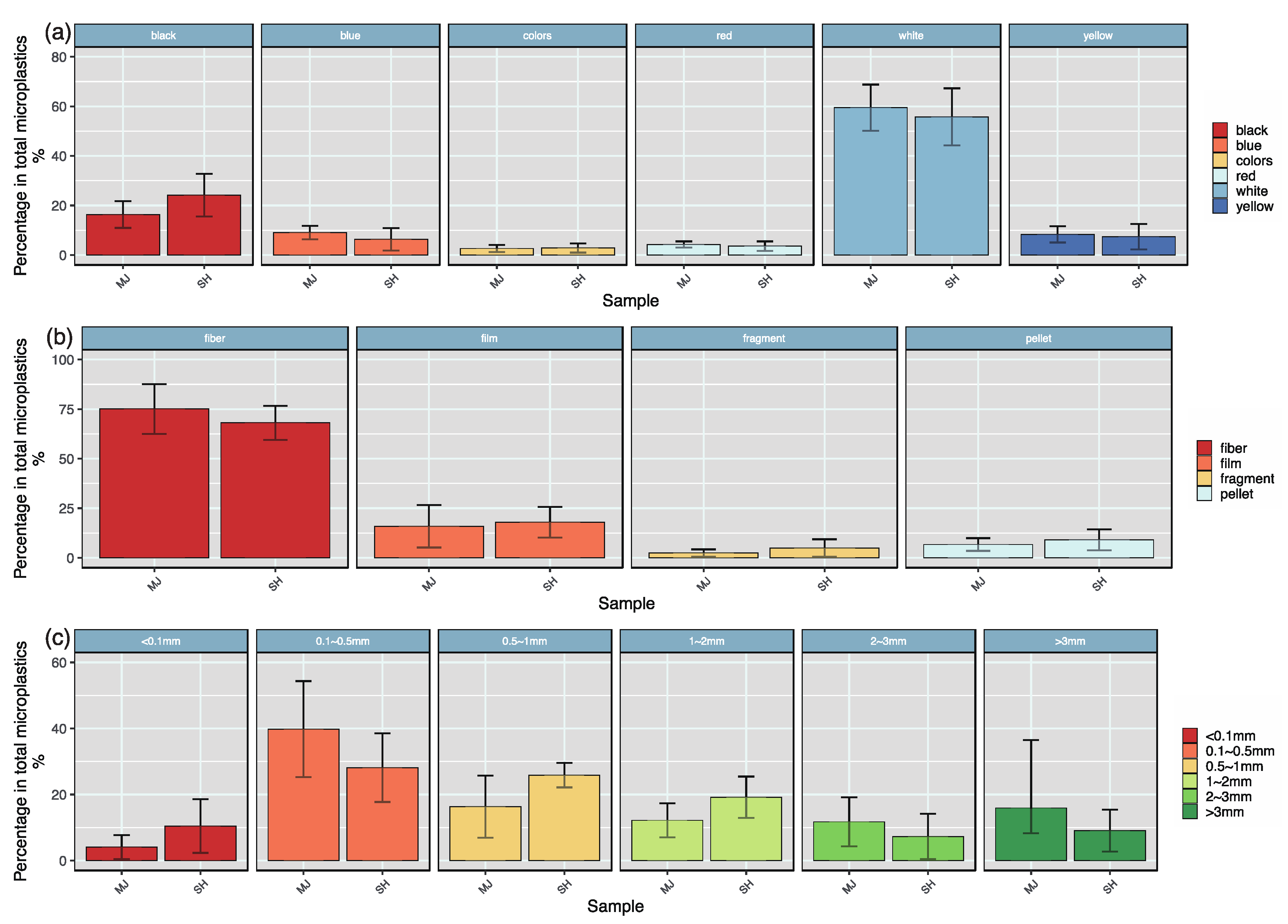
3.3. Classification of Size, Colors, and Shape of MPs in Water and Ice
3.4. Polymer Types of MPs
3.5. Surface Fragmentation and Adsorption Properties of MPs
3.6. Occurrence of MPs in Representative Urban Inland Rivers
3.7. Pollution Risk Assessment
4. Discussion
5. Conclusions
Author Contributions
Funding
Institutional Review Board Statement
Informed Consent Statement
Data Availability Statement
Conflicts of Interest
Appendix A


References
- Thompson, R.C.; Olsen, Y.; Mitchell, R.P.; Davis, A.; Rowland, S.J.; John, A.W.; McGonigle, D.; Russell, A.E. Lost at sea: Where is all the plastic? Science 2004, 304, 838. [Google Scholar] [CrossRef] [PubMed]
- ISO 4484-1:2023(E); Textiles and Textile Products Microplastics from Textile Sources. International Organisation for Standardization (ISO): Geneva, Switzerland, 2023.
- Duis, K.; Coors, A. Microplastics in the aquatic and terrestrial environment: Sources (with a specific focus on personal care products), fate and effects. Environ. Sci. Eur. 2016, 28, 2. [Google Scholar] [CrossRef] [PubMed]
- Chen, Q.; Gundlach, M.; Yang, S.; Jiang, J.; Velki, M.; Yin, D.; Hollert, H. Quantitative investigation of the mechanisms of microplastics and nanoplastics toward zebrafish larvae locomotor activity. Sci. Total Environ. 2017, 584–585, 1022–1031. [Google Scholar] [CrossRef]
- Guo, Z.; Boeing, W.J.; Xu, Y.; Borgomeo, E.; Mason, S.A.; Zhu, Y.G. Global meta-analysis of microplastic contamination in reservoirs with a novel framework. Water Res. 2021, 207, 117828. [Google Scholar] [CrossRef] [PubMed]
- Yang, L.; Zhang, Y.; Kang, S.; Wang, Z.; Wu, C. Corrigendum to “Microplastics in soil: A review on methods, occurrence, sources, and potential risk”. Sci. Total Environ. 2021, 801, 149616. [Google Scholar] [CrossRef] [PubMed]
- Geyer, R.; Jambeck, J.R.; Law, K.L. Production, use, and fate of all plastics ever made. Sci. Adv. 2017, 3, e1700782. [Google Scholar] [CrossRef] [PubMed]
- Yan, Z.; Chen, Y.; Bao, X.; Zhang, X.; Nie, Y. Microplastic pollution in an urbanized river affected by water diversion: Combining with active biomonitoring. J. Hazard. Mater. 2021, 417, 126058. [Google Scholar] [CrossRef] [PubMed]
- Mani, T.; Burkhardt-Holm, P. Seasonal microplastics variation in nival and pluvial stretches of the Rhine River—From the Swiss catchment towards the North Sea. Sci. Total Environ. 2020, 707, 135579. [Google Scholar] [CrossRef]
- Eibes, P.M.; Gabel, F. Floating microplastic debris in a rural river in Germany: Distribution, types and potential sources and sinks. Sci. Total Environ. 2022, 816, 151641. [Google Scholar] [CrossRef] [PubMed]
- Lei, S.; Xue, Y.; Li, L.; Yang, D.; Shi, H. Microplastics in Taihu Lake, China. Environ. Pollut. 2016, 216, 711–719. [Google Scholar] [CrossRef]
- O’Brien, S.; Rauert, C.; Ribeiro, F.; Okoffo, E.D.; Burrows, S.D.; O’Brien, J.W.; Wang, X.Y.; Wright, S.L.; Thomas, K.V. There’s something in the air: A review of sources, prevalence and behaviour of microplastics in the atmosphere. Sci. Total Environ. 2023, 874, 162193. [Google Scholar] [CrossRef] [PubMed]
- Yin, K.; Wang, Y.; Zhao, H.; Wang, D.; Guo, M.; Mu, M.; Liu, Y.; Nie, X.; Li, B.; Li, J.; et al. A comparative review of microplastics and nanoplastics: Toxicity hazards on digestive, reproductive and nervous system. Sci. Total Environ. 2021, 774, 145758. [Google Scholar] [CrossRef]
- O’Connor, J.D.; Lally, H.T.; Koelmans, A.A.; Mahon, A.M.; O’Connor, I.; Nash, R.; O’Sullivan, J.J.; Bruen, M.; Heerey, L.; Murphy, S. Modelling the transfer and accumulation of microplastics in a riverine freshwater food web. Environ. Adv. 2022, 8, 100192. [Google Scholar] [CrossRef]
- Lusher, A. Microplastics in the Marine Environment: Distribution, Interactions and Effects; Springer International Publishing: Berlin/Heidelberg, Germany, 2015; pp. 245–307. [Google Scholar] [CrossRef]
- Okeke, E.S.; Okoye, C.O.; Atakpa, E.O.; Ita, R.E.; Nyaruaba, R.; Mgbechidinma, C.L.; Akan, O.D. Microplastics in agroecosystems-impacts on ecosystem functions and food chain. Resour. Conserv. Recycl. 2022, 177, 105961. [Google Scholar] [CrossRef]
- Zettler, E.R.; Mincer, T.J.; Amaral-Zettler, L.A. Life in the ‘Plastisphere’: Microbial Communities on Plastic Marine Debris. Environ. Sci. Technol. 2013, 47, 7137–7146. [Google Scholar] [CrossRef] [PubMed]
- Bertoldi, C.; Lara, L.Z.; Mizushima, F.A.L.; Martins, F.C.G.; Battisti, M.A.; Hinrichs, R.; Fernandes, A.N. First evidence of microplastic contamination in the freshwater of Lake Guaiba, Porto Alegre, Brazil. Sci. Total Environ. 2021, 759, 143503. [Google Scholar] [CrossRef]
- Sultana, M.; Rownok, M.H.; Sabrin, M.; Rahaman, M.H.; Alam, S.M.N. A review on experimental chemically modified activated carbon to enhance dye and heavy metals adsorption. Clean. Eng. Technol. 2022, 6, 100382. [Google Scholar] [CrossRef]
- Thandavamoorthy Rajeswari, I.; Iyyanar, A.; Govindarajulu, B. Microplastic pollution in Kolavai Lake, Tamil Nadu, India: Quantification of plankton-sized microplastics in the surface water of lake. Environ. Sci. Pollut. Res. 2023, 30, 94033–94048. [Google Scholar] [CrossRef] [PubMed]
- Hitchcock, J.N. Storm events as key moments of microplastic contamination in aquatic ecosystems. Sci. Total Environ. 2020, 734, 139436. [Google Scholar] [CrossRef] [PubMed]
- Mbedzi, R.; Cuthbert, R.N.; Wasserman, R.J.; Murungweni, F.M.; Dalu, T. Spatiotemporal variation in microplastic contamination along a subtropical reservoir shoreline. Environ. Sci. Pollut. Res. 2020, 27, 23880–23887. [Google Scholar] [CrossRef] [PubMed]
- Wang, G.; Lu, J.; Li, W.; Ning, J.; Zhou, L.; Tong, Y.; Liu, Z.; Zhou, H.; Xiayihazi, N. Seasonal variation and risk assessment of microplastics in surface water of the Manas River Basin, China. Ecotoxicol. Environ. Saf. 2021, 208, 111477. [Google Scholar] [CrossRef] [PubMed]
- Wong, G.; Lowemark, L.; Kunz, A. Microplastic pollution of the Tamsui River and its tributaries in northern Taiwan: Spatial heterogeneity and correlation with precipitation. Environ. Pollut. 2020, 260, 113935. [Google Scholar] [CrossRef] [PubMed]
- Hoffmann, L.; Eggers, S.L.; Allhusen, E.; Katlein, C.; Peeken, I. Interactions between the ice algae Fragillariopsis cylindrus and microplastics in sea ice. Environ. Int. 2020, 139, 105697. [Google Scholar] [CrossRef] [PubMed]
- Kelly, A.; Lannuzel, D.; Rodemann, T.; Meiners, K.M.; Auman, H.J. Microplastic contamination in east Antarctic sea ice. Mar. Pollut. Bull. 2020, 154, 111130. [Google Scholar] [CrossRef] [PubMed]
- Li, L.; Li, M.; Deng, H.; Cai, L.; Cai, H.; Yan, B.; Hu, J.; Shi, H. A straightforward method for measuring the range of apparent density of microplastics. Sci. Total Environ. 2018, 639, 367–373. [Google Scholar] [CrossRef] [PubMed]
- Cabernard, L.; Roscher, L.; Lorenz, C.; Gerdts, G.; Primpke, S. Comparison of Raman and Fourier Transform Infrared Spectroscopy for the Quantification of Microplastics in the Aquatic Environment. Environ. Scicence Technol. 2018, 52, 13279–13288. [Google Scholar] [CrossRef]
- Zhang, J.; Zhang, C.; Deng, Y.; Wang, R.; Ma, E.; Wang, J.; Bai, J.; Wu, J.; Zhou, Y. Microplastics in the surface water of small-scale estuaries in Shanghai. Mar. Pollut. Bull. 2019, 149, 110569. [Google Scholar] [CrossRef]
- Angulo, E. The Tomlinson Pollution Load Index applied to heavy metal, ‘Mussel-Watch’ data: A useful index to assess coastal pollution. Sci. Total Environ. 1996, 187, 19–56. [Google Scholar] [CrossRef]
- Mandour, A.; El-Sayed, M.K.; El-Gamal, A.A.; Khadr, A.M.; Elshazly, A. Temporal distribution of trace metals pollution load index in the Nile Delta coastal surface sediments. Mar. Pollut. Bull. 2021, 167, 112290. [Google Scholar] [CrossRef] [PubMed]
- Xu, P.; Peng, G.; Su, L.; Gao, Y.; Gao, L.; Li, D. Microplastic risk assessment in surface waters: A case study in the Changjiang Estuary, China. Mar. Pollut. Bull. 2018, 133, 647–654. [Google Scholar] [CrossRef] [PubMed]
- Yadav, A.; Yadav, P.K. Pollution Load Index (PLI) of field irrigated with wastewater of Mawaiya Drain in Naini suburbs of Allahabad District. Curr. World Environ. 2018, 13, 159–164. [Google Scholar] [CrossRef]
- Laju, R.L.; Jayanthi, M.; Jeyasanta, K.I.; Patterson, J.; Asir, N.G.G.; Sathish, M.N.; Edward, J.K.P. Spatial and vertical distribution of microplastics and their ecological risk in an Indian freshwater lake ecosystem. Sci. Total Environ. 2022, 820, 153337. [Google Scholar] [CrossRef] [PubMed]
- Prarat, P.; Hongsawat, P. Microplastic pollution in surface seawater and beach sand from the shore of Rayong province, Thailand: Distribution, characterization, and ecological risk assessment. Mar. Pollut. Bull. 2022, 174, 113200. [Google Scholar] [CrossRef] [PubMed]
- Yin, K.; Wang, D.; Zhao, H.; Wang, Y.; Guo, M.; Liu, Y.; Li, B.; Xing, M. Microplastics pollution and risk assessment in water bodies of two nature reserves in Jilin Province: Correlation analysis with the degree of human activity. Sci. Total Environ. 2021, 799, 149390. [Google Scholar] [CrossRef] [PubMed]
- Luo, W.; Su, L.; Craig, N.J.; Du, F.; Wu, C.; Shi, H. Comparison of microplastic pollution in different water bodies from urban creeks to coastal waters. Environ. Pollut. 2019, 246, 174–182. [Google Scholar] [CrossRef] [PubMed]
- Álvarez, P. The water footprint challenge for water resources management in Chilean arid zones. Water Int. 2018, 43, 846–859. [Google Scholar] [CrossRef]
- Zhao, S.; Zhu, L.; Li, D. Microplastic in three urban estuaries, China. Environ. Pollut. 2015, 206, 597–604. [Google Scholar] [CrossRef] [PubMed]
- Wu, P.; Tang, Y.; Dang, M.; Wang, S.; Jin, H.; Liu, Y.; Jing, H.; Zheng, C.; Yi, S.; Cai, Z. Spatial-temporal distribution of microplastics in surface water and sediments of Maozhou River within Guangdong-Hong Kong-Macao Greater Bay Area. Sci. Total Environ. 2020, 717, 135187. [Google Scholar] [CrossRef] [PubMed]
- Xu, Y.; Chan, F.K.S.; Johnson, M.; Stanton, T.; He, J.; Jia, T.; Wang, J.; Wang, Z.; Yao, Y.; Yang, J.; et al. Microplastic pollution in Chinese urban rivers: The influence of urban factors. Resour. Conserv. Recycl. 2021, 173, 105686. [Google Scholar] [CrossRef]
- Corami, F.; Rosso, B.; Sfriso, A.A.; Gambaro, A.; Mistri, M.; Munari, C.; Barbante, C. Additives, plasticizers, small microplastics (<100 mum), and other microlitter components in the gastrointestinal tract of commercial teleost fish: Method of extraction, purification, quantification, and characterization using Micro-FTIR. Mar. Pollut. Bull. 2022, 177, 113477. [Google Scholar] [CrossRef] [PubMed]
- Jiang, C.; Yin, L.; Li, Z.; Wen, X.; Luo, X.; Hu, S.; Yang, H.; Long, Y.; Deng, B.; Huang, L.; et al. Microplastic pollution in the rivers of the Tibet Plateau. Environ. Pollut. 2019, 249, 91–98. [Google Scholar] [CrossRef] [PubMed]
- Tran-Nguyen, Q.A.; Vu, T.B.H.; Nguyen, Q.T.; Nguyen, H.N.Y.; Le, T.M.; Vo, V.M.; Trinh-Dang, M. Urban drainage channels as microplastics pollution hotspots in developing areas: A case study in Da Nang, Vietnam. Mar. Pollut. Bull. 2022, 175, 113323. [Google Scholar] [CrossRef] [PubMed]
- Wang, G.; Lu, J.; Tong, Y.; Liu, Z.; Zhou, H.; Xiayihazi, N. Occurrence and pollution characteristics of microplastics in surface water of the Manas River Basin, China. Sci. Total Environ. 2020, 710, 136099. [Google Scholar] [CrossRef] [PubMed]
- Geilfus, N.X.; Munson, K.M.; Sousa, J.; Germanov, Y.; Bhugaloo, S.; Babb, D.; Wang, F. Distribution and impacts of microplastic incorporation within sea ice. Mar. Pollut. Bull. 2019, 145, 463–473. [Google Scholar] [CrossRef] [PubMed]
- Xu, C.; Zhou, G.; Lu, J.; Shen, C.; Dong, Z.; Yin, S.; Li, F. Spatio-vertical distribution of riverine microplastics: Impact of the textile industry. Environ. Res. 2022, 211, 112789. [Google Scholar] [CrossRef] [PubMed]
- Zhang, B.; Xu, D.; Wan, X.; Wu, Y.; Liu, X.; Gao, B. Comparative analysis of microplastic organization and pollution risk before and after thawing in an urban river in Beijing, China. Sci. Total Environ. 2022, 828, 154268. [Google Scholar] [CrossRef] [PubMed]
- Kutralam-Muniasamy, G.; Perez-Guevara, F.; Martinez, I.E.; Shruti, V.C. Overview of microplastics pollution with heavy metals: Analytical methods, occurrence, transfer risks and call for standardization. J. Hazard. Mater. 2021, 415, 125755. [Google Scholar] [CrossRef] [PubMed]
- Ta, A.T.; Babel, S. Microplastics pollution with heavy metals in the aquaculture zone of the Chao Phraya River Estuary, Thailand. Mar. Pollut. Bull. 2020, 161, 111747. [Google Scholar] [CrossRef] [PubMed]
- Sanchez-Hernandez, L.J.; Ramirez-Romero, P.; Rodriguez-Gonzalez, F.; Ramos-Sanchez, V.H.; Marquez Montes, R.A.; Romero-Paredes Rubio, H.; Sujitha, S.B.; Jonathan, M.P. Seasonal evidences of microplastics in environmental matrices of a tourist dominated urban estuary in Gulf of Mexico, Mexico. Chemosphere 2021, 277, 130261. [Google Scholar] [CrossRef] [PubMed]
- Said, L.; Heard, M.J. Variation in the presence and abundance of anthropogenic microfibers in the Cumberland River in Nashville, TN, USA. Environ. Sci. Pollut. Res. 2020, 27, 10135–10139. [Google Scholar] [CrossRef] [PubMed]
- Yin, L.; Jiang, C.; Wen, X.; Du, C.; Zhong, W.; Feng, Z.; Long, Y.; Ma, Y. Microplastic Pollution in Surface Water of Urban Lakes in Changsha, China. Int. J. Environ. Res. Public Health 2019, 16, 1650. [Google Scholar] [CrossRef] [PubMed]
- Lin, L.; Zuo, L.Z.; Peng, J.P.; Cai, L.Q.; Fok, L.; Yan, Y.; Li, H.X.; Xu, X.R. Occurrence and distribution of microplastics in an urban river: A case study in the Pearl River along Guangzhou City, China. Sci. Total Environ. 2018, 644, 375–381. [Google Scholar] [CrossRef] [PubMed]
- Wang, W.; Ndungu, A.W.; Li, Z.; Wang, J. Microplastics pollution in inland freshwaters of China: A case study in urban surface waters of Wuhan, China. Sci. Total Environ. 2017, 575, 1369–1374. [Google Scholar] [CrossRef] [PubMed]
- Zhou, G.; Wang, Q.; Zhang, J.; Li, Q.; Wang, Y.; Wang, M.; Huang, X. Distribution and characteristics of microplastics in urban waters of seven cities in the Tuojiang River basin, China. Environ. Res. 2020, 189, 109893. [Google Scholar] [CrossRef] [PubMed]
- Pico, Y.; Soursou, V.; Alfarhan, A.H.; El-Sheikh, M.A.; Barcelo, D. First evidence of microplastics occurrence in mixed surface and treated wastewater from two major Saudi Arabian cities and assessment of their ecological risk. J. Hazard. Mater. 2021, 416, 125747. [Google Scholar] [CrossRef] [PubMed]
- Jin, X.; Fu, X.D.; Lu, W.J.; Wang, H.T. Fugitive release and influencing factors of microplastics in urbanized watersheds: A case study of the central area of Suzhou City. Sci. Total Environ. 2022, 837, 155653. [Google Scholar] [CrossRef] [PubMed]
- Dahms, H.T.J.; van Rensburg, G.J.; Greenfield, R. The microplastic profile of an urban African stream. Sci. Total Environ. 2020, 731, 138893. [Google Scholar] [CrossRef] [PubMed]
- Gopinath, K.; Seshachalam, S.; Neelavannan, K.; Anburaj, V.; Rachel, M.; Ravi, S.; Bharath, M.; Achyuthan, H. Quantification of microplastic in Red Hills Lake of Chennai city, Tamil Nadu, India. Environ. Sci. Pollut. Res. 2020, 27, 33297–33306. [Google Scholar] [CrossRef] [PubMed]
- Perez-Guevara, F.; Kutralam-Muniasamy, G.; Shruti, V.C. Critical review on microplastics in fecal matter: Research progress, analytical methods and future outlook. Sci. Total Environ. 2021, 778, 146395. [Google Scholar] [CrossRef] [PubMed]
- Liu, S.; Chen, H.; Wang, J.; Su, L.; Wang, X.; Zhu, J.; Lan, W. The distribution of microplastics in water, sediment, and fish of the Dafeng River, a remote river in China. Ecotoxicol. Environ. Saf. 2021, 228, 113009. [Google Scholar] [CrossRef]
- Abbasi, S.; Alirezazadeh, M.; Razeghi, N.; Rezaei, M.; Pourmahmood, H.; Dehbandi, R.; Mehr, M.R.; Ashayeri, S.Y.; Oleszczuk, P.; Turner, A. Microplastics captured by snowfall: A study in Northern Iran. Sci. Total Environ. 2022, 822, 153451. [Google Scholar] [CrossRef] [PubMed]
- Wu, Y.; Wang, S.; Wu, L.; Yang, Y.; Yu, X.; Liu, Q.; Liu, X.; Li, Y.; Wang, X. Vertical distribution and river-sea transport of microplastics with tidal fluctuation in a subtropical estuary, China. Sci. Total Environ. 2022, 822, 153603. [Google Scholar] [CrossRef] [PubMed]
- Koutnik, V.S.; Leonard, J.; Brar, J.; Cao, S.; Glasman, J.B.; Cowger, W.; Ravi, S.; Mohanty, S.K. Transport of microplastics in stormwater treatment systems under freeze-thaw cycles: Critical role of plastic density. Water Res. 2022, 222, 118950. [Google Scholar] [CrossRef] [PubMed]
- Winkler, A.; Santo, N.; Ortenzi, M.A.; Bolzoni, E.; Tremolada, P. Does mechanical stress cause microplastic release from plastic water bottles? Water Res. 2019, 166, 115082. [Google Scholar] [CrossRef] [PubMed]
- Huang, W.; Song, B.; Liang, J.; Niu, Q.; Zeng, G.; Shen, M.; Deng, J.; Luo, Y.; Wen, X.; Zhang, Y. Microplastics and associated contaminants in the aquatic environment: A review on their ecotoxicological effects, trophic transfer, and potential impacts to human health. J. Hazard. Mater. 2021, 405, 124187. [Google Scholar] [CrossRef] [PubMed]
- Leslie, H.A.; van Velzen, M.J.M.; Brandsma, S.H.; Vethaak, A.D.; Garcia-Vallejo, J.J.; Lamoree, M.H. Discovery and quantification of plastic particle pollution in human blood. Environ. Int. 2022, 163, 107199. [Google Scholar] [CrossRef] [PubMed]







| Pollution Load Index (PLI) | Low Pollution | Medium Pollution | High Pollution |
|---|---|---|---|
| degree of pollution | ≤50 | 50–100 | ≥100 |
| Sampling Sites | Mean Abundance | Reference |
|---|---|---|
| Shahe River, China | 1.7 ± 1.6–3.8 ± 2.5 × 10−3 particles/L | [48] |
| Changsha, China | 2.4 ± 0.2–7 ± 1 × 10−3 particles/L | [53] |
| Pearl River, China | 0.4–7.9 × 10−3 particles/L | [54] |
| Han River, China | 1.6 ± 0.6–8.9 ± 1.5 × 10−3 particles/L | [55] |
| Tuojiang River, China | 0.9 ± 0.2–3.4 ± 0.7 × 10−3 particles/L | [56] |
| Riyadh, Al-Jubail, Saudi Arabia | 0.2–3.2 particles/L | [57] |
| Tecolutla Estuary, Mexico | 151 particles/L | [51] |
| Vistula River, Poland | 1.6–2.55 particles/L | [58] |
| Braamfontein, Africa | 0.7 particles/L | [59] |
| Red Hills Lake, India | 5.9 particles/L | [60] |
| Cumberland River, USA | 0–195 particles/L | [52] |
| Sampling Sites | Pollution Load Index (PLI) | Risk Category |
|---|---|---|
| SH1 | 70.61 | Medium Pollution |
| SH2 | 16.04 | Low Pollution |
| SH3 | 4.68 | Low Pollution |
| SH4 | 1.49 | Low Pollution |
| SH5 | 10.49 | Low Pollution |
| SH6 | 108.88 | High Pollution |
| SH7 | 24.37 | Low pollution |
| SH8 | 30.95 | Low Pollution |
| MJ1 | 151.78 | High pollution |
| MJ2 | 109.24 | High pollution |
| MJ3 | 40.63 | Low Pollution |
| MJ4 | 58.73 | Medium Pollution |
| MJ5 | 50.73 | Medium Pollution |
| MJ6 | 110.37 | High pollution |
| MJ7 | 167.15 | High Pollution |
| MJ8 | 416.09 | High Pollution |
| MJ9 | 396.65 | High Pollution |
Disclaimer/Publisher’s Note: The statements, opinions and data contained in all publications are solely those of the individual author(s) and contributor(s) and not of MDPI and/or the editor(s). MDPI and/or the editor(s) disclaim responsibility for any injury to people or property resulting from any ideas, methods, instructions or products referred to in the content. |
© 2024 by the authors. Licensee MDPI, Basel, Switzerland. This article is an open access article distributed under the terms and conditions of the Creative Commons Attribution (CC BY) license (https://creativecommons.org/licenses/by/4.0/).
Share and Cite
Chen, L.; Liao, Y.; Zeng, K.; Wu, Y.; Li, Y.; Wang, H. Microplastic Occurrence Characteristics and Ecological Risk Assessment of Urban River in Cold Regions during Ice-Covered Periods. Sustainability 2024, 16, 2731. https://doi.org/10.3390/su16072731
Chen L, Liao Y, Zeng K, Wu Y, Li Y, Wang H. Microplastic Occurrence Characteristics and Ecological Risk Assessment of Urban River in Cold Regions during Ice-Covered Periods. Sustainability. 2024; 16(7):2731. https://doi.org/10.3390/su16072731
Chicago/Turabian StyleChen, Lei, Yingfei Liao, Kangjun Zeng, Yining Wu, Yongliang Li, and He Wang. 2024. "Microplastic Occurrence Characteristics and Ecological Risk Assessment of Urban River in Cold Regions during Ice-Covered Periods" Sustainability 16, no. 7: 2731. https://doi.org/10.3390/su16072731
APA StyleChen, L., Liao, Y., Zeng, K., Wu, Y., Li, Y., & Wang, H. (2024). Microplastic Occurrence Characteristics and Ecological Risk Assessment of Urban River in Cold Regions during Ice-Covered Periods. Sustainability, 16(7), 2731. https://doi.org/10.3390/su16072731

