Next Article in Journal
Analysis of Microclimatic Comfort Conditions in University Classrooms
Next Article in Special Issue
Laboratory Safety Evaluation and Weed Control Potential of Pre- and Post-Emergence Herbicides for Quinoa
Previous Article in Journal
How to Manage Conflicts in the Process of ESG Integration? A Case of a Japanese Firm
Previous Article in Special Issue
Utilization of Inedible Parts of Aralia cordata with High-Content Chlorogenic Acid Cultivated in Tokyo
 
 
Font Type:
Arial Georgia Verdana
Font Size:
Aa Aa Aa
Line Spacing:
Column Width:
Background:
Article

Innovative Solar Dryer for Sustainable Aloe Vera Gel Preservation in Colombia

Department of Electronic Engineering, Pontificia Universidad Javeriana, Bogotá 110311, Colombia
*
Author to whom correspondence should be addressed.
Sustainability 2024, 16(8), 3392; https://doi.org/10.3390/su16083392
Submission received: 1 February 2024 / Revised: 29 March 2024 / Accepted: 5 April 2024 / Published: 18 April 2024
(This article belongs to the Special Issue Agricultural Product Quality Safety and Sustainable Development)

Abstract

Aloe Barbadensis Miller, commonly known as Aloe vera, has been widely used in different applications, such as medicinal treatments and cosmetic products. However, its transportation and handling present challenges due to oxidation and property loss caused by direct environmental exposure. A strategy to mitigate these effects is dehydration, where different industrial-scale methods such as freeze-drying, spraying, refractory windows, and convective drying can be applied. Despite their effectiveness, those dehydration techniques are both energetically and economically costly. Solar drying technology offers a cost-effective, lower-energy alternative addressing sustainability, socioeconomic, scientific progress, and integrated sustainable development challenges. Nevertheless, solar drying through direct sunlight exposure has been minimally explored for drying high-water-content products like Aloe vera, potentially due to the inherent challenges of drying under uncontrolled environmental conditions. In response, this paper introduces a methodology for pre-treating and pre-drying Aloe vera gel using a low-cost solar dryer prototype, achieving up to 50% water activity reduction in experimental tests under uncontrolled conditions in Colombia, South America. The proposed prototype features a drying cabinet with energy autonomy and forced convection. The experimental evaluation compares the quality of pre-dried Aloe vera gel with freeze-dried samples, demonstrating comparable attributes under favorable environmental conditions. The results demonstrate the feasibility of pre-drying Aloe vera gel within 13 to 48 h, with a maximum drying rate of 0.38 g/min. During this process, water activity decreased from an initial value of 0.975 to a final value ranging between 0.472 and 0.748. Furthermore, the quality of the dehydrated gel was assessed through color analysis, comparing it with a freeze-dried sample. Subsequent color analysis of the freeze-dried samples revealed minor changes in product quality compared to those dried using the proposed solar drying method. These results demonstrate the effectiveness of the proposed solar dryer in pre-dehydrating Aloe vera gel, yielding characteristics similar to those achieved through conventional methods.

1. Introduction

In 2017, worldwide cultivation of Aloe vera (Aloe barbadensis Miller) covered 23,000 hectares [1]. Specifically, 19,000 hectares and 1815 hectares were dedicated to cultivation in the Americas and Colombia, respectively, in the same year [1]. This agricultural product is widely grown to obtain several derivatives which are utilized in the food (e.g., milk, ice creams), cosmetic (e.g., soaps, shampoos) and pharmaceutical (e.g., ointments, soaps) industries [2,3]. Additionally, owing to its antiviral, antitumor, nourishing, and therapeutic properties, Aloe vera is incorporated in its raw state into numerous commercial products [3]. Particularly, the gel extracted from the stalks of the plant (i.e., Aloe vera gel) serves as a crucial input in diverse industrial processes [4,5], as well as in medicinal and food applications [6].
Following harvest, the Aloe vera gel requires particular storage conditions to preserve its properties and prevent degradation. Direct exposure of Aloe gel to the environment initiates oxidation and enzymatic reactions that rapidly degrade its bioactive ingredients [7,8]. Consequently, quality declines during storage, preservation, and transportation processes [4,9]. To tackle this issue, various physicochemical techniques can be employed for gel preservation [10]. A commonly utilized method in food preservation is lyophilization or freeze-drying. This process involves initial freezing followed by ice sublimation under vacuum, thereby preventing the transition of water within the food into the liquid phase [11].
Lyophilization partially inhibits chemical reactions leading to Aloe vera gel degradation [12]. However, freeze-drying, although effective, is characterized by complexity, high energy consumption, and significant costs [1]. Freeze-dried gel products are priced between USD 400 to USD 500 per kilogram [13], with corresponding energy consumption ranging from 2.5 to 19.5 kWh/kg (estimates may vary due to factors such as machine efficiency, material characteristics, and operational parameters) [14]. In contrast, direct solar drying presents an economically viable and sustainable alternative for in situ gel preservation. This approach, particularly explored in technologically developing countries like India, addresses sustainability concerns by reducing the reliance on costly infrastructure and energy-intensive processes [15]. Consequently, it promotes agricultural sector growth while mitigating the environmental impact of food preservation practices.
Solar drying of perishable foods has extensive historical use [16]. Different solar drying methods have been explored for vegetables, fruits, and fish [17,18,19,20,21]. Solar drying development includes considerable energy storage and utilization techniques for process optimization [22]. While numerous review articles exist on this topic [22,23,24,25,26], the application of solar drying for Aloe vera gel has been relatively unexplored [27]. This limited exploration may stem from inherent challenges in optimizing the process for a high-moisture perishable product [27].
In [28], Aloe Vera solar drying was compared between open air and a cabinet prototype. It was observed that the cabinet drying rate was twice that of open-air drying. In [15], authors developed a cabinet-type dryer for Aloe vera solar drying, comprising a solar collector and a chimney facilitating water vapor escape via natural convection. This study delved into pre-drying procedures affecting the process, such as product selection and cleaning. Moreover, the prototype demonstrated a shorter gel drying time compared to open-air drying. However, these exploratory studies did not report analysis regarding the impact of the dehydration process on the product or final dried quality.
A reference standard can be utilized to assess the quality of the dried Aloe vera gel product. For instance, industrial standard freeze-dried Aloe vera gel is characterized by a white to slightly yellowish color [29], a maximum water content of 2.5% [29], and low water activity (e.g., 0.297) [30]. Color quantification can be achieved using the CIELAB system, developed by the Commission Internationale d’Eclairage (CIE) [31]. It is noteworthy that prior to the drying process, the gel is colorless and characterized by a water activity of 0.955, due to a moisture content ranging between 98% and 99% [31].
A fully dried Aloe Vera sample typically exhibits a water activity ranging between 0.2 and 0.4 [30,32,33]. Values exceeding this range indicate that the sample has undergone a pre-drying process. Pre-drying processes aim to extract maximal water content from the product, thereby reducing energy consumption during subsequent drying. Pre-drying Aloe vera reduces microbial stability despite not reaching water activity values below 0.4 since it reduces the water content considerably.
One economical and straightforward method for conducting pre-drying processes is through the use of solar dryers. Certain solar drying prototypes are characterized by their simplicity in construction and operation, promoting widespread implementation and adoption by farmers globally [21,34]. Moreover, the energy expenses associated with conventional drying methods, such as freeze-drying, are four times higher than spray drying and eight times higher than forced convection drying [1]. This underscores the economic viability of solar pre-drying for small-scale farmers, who produce approximately 35% of the global food [35]. Additionally, in terms of Greenhouse Gas (GHG) emissions, dryers utilizing microwaves and convective drying can produce 2002.4 and 7627.4 g of CO2 per kg of evaporated water, respectively, whereas solar drying entails no emissions during operation [36].
In an effort to contribute to the research on solar drying of Aloe vera gel through cost-effective and easily adopted strategies, this paper introduces a protocol for solar pre-drying of Aloe Vera utilizing a low-cost, easily implementable, and energy-autonomous solar dryer. Using colorimetry, water activity, and moisture content determination, gel quality was analyzed concerning freeze-dried products. The suggested dryer consists of a forced convection cabinet dryer, driven by a fan powered by a solar panel. Furthermore, the solar panel also functions as a solar collector to harness residual thermal energy. The main contributions of this study are listed below:
  • Introduction of a novel method for the pre-treatment and pre-drying of Aloe vera.
  • Experimental evaluation of Aloe vera gel pre-drying utilizing a low-cost and easily implemented solar dryer, resulting in a significant reduction in water activity by up to 50%.
  • Assessment of the quality of pre-dried Aloe vera gel through comparative analysis of colorimetry, water activity, and drying rate with a freeze-dried sample.
  • Demonstration of similar Aloe vera gel drying characteristics between freeze-drying processes and the proposed prototype under favorable environmental conditions (temperature 21–22 °C, relative humidity 50–60%).
The paper outline is as follows. Section 2 describes the proposed solar dryer prototype and the methodology for Aloe vera gel pre-drying. Section 3 summarizes the research results and corresponding analysis. Finally, Section 4 shows the conclusions of the study and future work.

2. Materials and Methods

2.1. Solar Drying for Perishable Commodities: A Sustainable Preservation Approach

Solar drying offers a promising alternative to conventional freeze-drying methods for preserving Aloe vera gel. While freeze-drying inhibits gel degradation effectively, its complexity and high energy consumption make it unsustainable, especially in low-income regions like Colombia. Conversely, direct solar drying emerges as an economically viable and environmentally sustainable solution for in-situ gel preservation. This method has gained traction in technologically developing countries such as India, where limited transportation infrastructure requires innovative approaches to manage surplus perishable goods and promote sustainable agricultural growth [15,37].
Solar-thermal energy, a sustainable and clean resource, has garnered significant interest in recent decades due to energy usage and environmental pollution concerns. Globally, there is a rising trend in the adoption of solar-powered devices, including lights, water heaters, and cookers [37]. In regions blessed with ample solar resources, solar drying presents a practical solution for preserving perishable goods like Aloe vera gel. This method harnesses solar energy to promote socio-economic progress and environmental conservation, aligning with the Sustainable Development Goals [37].
Solar drying offers significant advantages for preserving perishable commodities. Firstly, it diminishes dependence on fossil fuels, reducing greenhouse gas emissions and environmental degradation linked to conventional drying techniques. Secondly, relatively simple and cost-effective solar drying systems are accessible to small-scale farmers and producers in developing regions. Finally, solar drying enhances food security by extending the shelf life of perishables, reducing food waste, and supporting sustainable agricultural practices. Overall, solar drying emerges as a promising sustainable preservation method for Aloe vera gel and other perishable commodities, fostering socio-economic development and environmental sustainability worldwide [38].

2.2. Solar Dryer Prototype

The proposed solar dryer consists of a drying cabinet mounted on a base, incorporating a solar panel and an electrical system to facilitate forced convection within the chamber. The system comprises a 12 V, 2.3 A fan (Reference 109e5712dy5j2), a 120 W capacity DC regulator equipped with energy storage via a 12 V @ 20 Ah battery (Reference OS-C1012), and an on-off temperature control system utilizing an Arduino Uno®. This control system integrates a DHT22 temperature and humidity sensor installed within the drying cabinet and two relays for fan control. The proposed solar dryer is depicted in Figure 1. The 3D diagram in Figure 1a summarizes geometric base variables and component locations. Figure 1b shows the block diagram of the prototype, and a photograph is provided in Figure 1c.
The electronic circuit for on-off temperature control is shown in Figure 2a. This setup comprises a solar panel charge controller facilitating the charging of the 12 V battery and supplying power to the Arduino Uno board. The Arduino Uno utilizes the DHT22 sensor to monitor environmental variables. This sensor measures temperature and relative humidity with a precision of ±0.5 °C and ±2%, respectively. Additionally, a Liquid-Crystal Display (LCD) is incorporated to exhibit the measured variables, while two relays are employed to regulate the speed of the fan. Relay 1 directly links to the 12 V output of the charge controller, delivering maximum power to the motor. On the other hand, relay 2 derives power from a dimmer, manually adjustable by the user based on their requirements.
The flow chart depicted in Figure 2b delineates the sequence of operations executed by the Arduino microcontroller for on-off temperature control. Initially, relative humidity and air temperature data are acquired using the DHT22 sensor.
Then, the fan speed is adjusted based on the sensed air temperature value, using two relays. This speed adjustment allows two distinct control states. The first activates the fan motor at maximum power when the temperature exceeds 35 °C, achieved by activating relay 1. The second state triggers the fan at a reduced power when the temperature falls below 30 °C, accomplished through relay 2. In this latter state, the motor power is determined by the position of the dimmer connected to the solar panel charge controller. The cycle concludes with the display of sensor values on the LCD. This control algorithm repeats at 30 s intervals.
It is important to clarify that the solar panel in this prototype serves a dual purpose: firstly, it generates the electrical energy powering the forced convection system from the collected solar energy. Secondly, it raises the drying temperature inside the drying cabin by acting as a thermal collector. This occurs as a portion of the solar energy captured by the cabin is dissipated in the form of heat through the panel.

2.3. Pre-Drying Protocol

The proposed drying protocol comprises four fundamental phases: pre-treatment of the aloe vera stalk, the gel extraction procedure, and dehydration using the suggested solar dryer. Finally, there is a phase for quality evaluation of the dehydrated gel. These phases will be described in detail below.
Before gel extraction, a pre-treatment of the plant stem is necessary, involving the following steps:
  • Thoroughly wash the stem with potable water.
  • Remove the thorns from the stem.
  • Allow the processed stem to stand upright for 24 h to facilitate the extraction of acíbar by gravity.
To extract Aloe gel, the following procedure is recommended [27]:
  • Peel the processed stalk.
  • Wash the extracted gel with potable water.
  • Segment the processed gel into transverse and/or horizontal cuts, as illustrated in Figure 3. Then, weigh the segmented gel up to the proposed solar dryer’s capacity (i.e., 200 g).
To assess the quality of the pre-dried gel using the proposed protocol, a sample was lyophilized in a laboratory and used as a reference for comparison with the conducted experiments. The dehydrated gel was then quantitatively compared to the standard using the following Figures of Merit (FoM):
  • Color: quantified using the CIELAB system, which determines three color spaces: *L (lightness), *a (red and green), and *b (yellow and blue) [39]. These measurements were acquired using a colorimeter (KONICA MINOLTA) in a laboratory under controlled environmental conditions [39]. The measured values of L range from 0 to 100, while the values of a and b range from −100 to +100. When normalized, the values of L range from 0 to 1, while the values of a and b range from −1 to 1.
  • Water Activity ( a w ): defined as the ratio between the vapor pressure generated by the food and the ambient pressure at the same temperature, expressed as relative humidity over 100%. The a w is a factor that determines the amount of free water present in the product and is associated with its moisture content [40]. This FoM was measured under controlled conditions in a laboratory using water activity measuring equipment (ROTRONIC).
  • Velocity: defined as the ratio between the decrease in moisture content of a material over time [41]. This indirect measure was calculated based on the weight of Aloe gel samples and the drying time, expressed as the ratio between these measurements. The sample weights were measured using an electronic balance (error less than 0.1 g), and the drying time was recorded with a digital timer (error less than 10 (s), attributable to operator manipulation and not equipment-related) [27]. The equation used to calculate the drying rate (drying speed) is presented in Equation (1), where X I denotes the initial weight, X F represents the final weight, and t symbolizes the drying time.
    D r y i n g s p e e d = X I X F t

2.4. Experiment Description

All experimental measurements were conducted in the municipality of Pacho, situated in the department of Cundinamarca, Colombia (latitude: 5.1246 and longitude: −74.157344). These tests involved in situ extraction and cleaning of Aloe vera gel, following the drying process described in SubSection 2.3, under uncontrolled environmental conditions outlined in Table 1. In this table, spaces marked “N/A” indicate missing data due to drying process interruption caused by unexpected atmospheric conditions, including rain and electric storms, that prevented continued dehydration.
Three complete pre-drying processes were conducted, wherein two Aloe Vera samples weighing 200 g each were dried simultaneously. For these experiments, one sample was segmented with a transversal cut, and the other with a horizontal cut. These processes were labeled with the identifier YX, where Y represents the trial number (i.e., 1, 2, or 3) and X denotes the segmentation type (i.e., T for Transversal, H for Horizontal), enabling the identification of processes with identical environmental conditions.

3. Results and Discussion

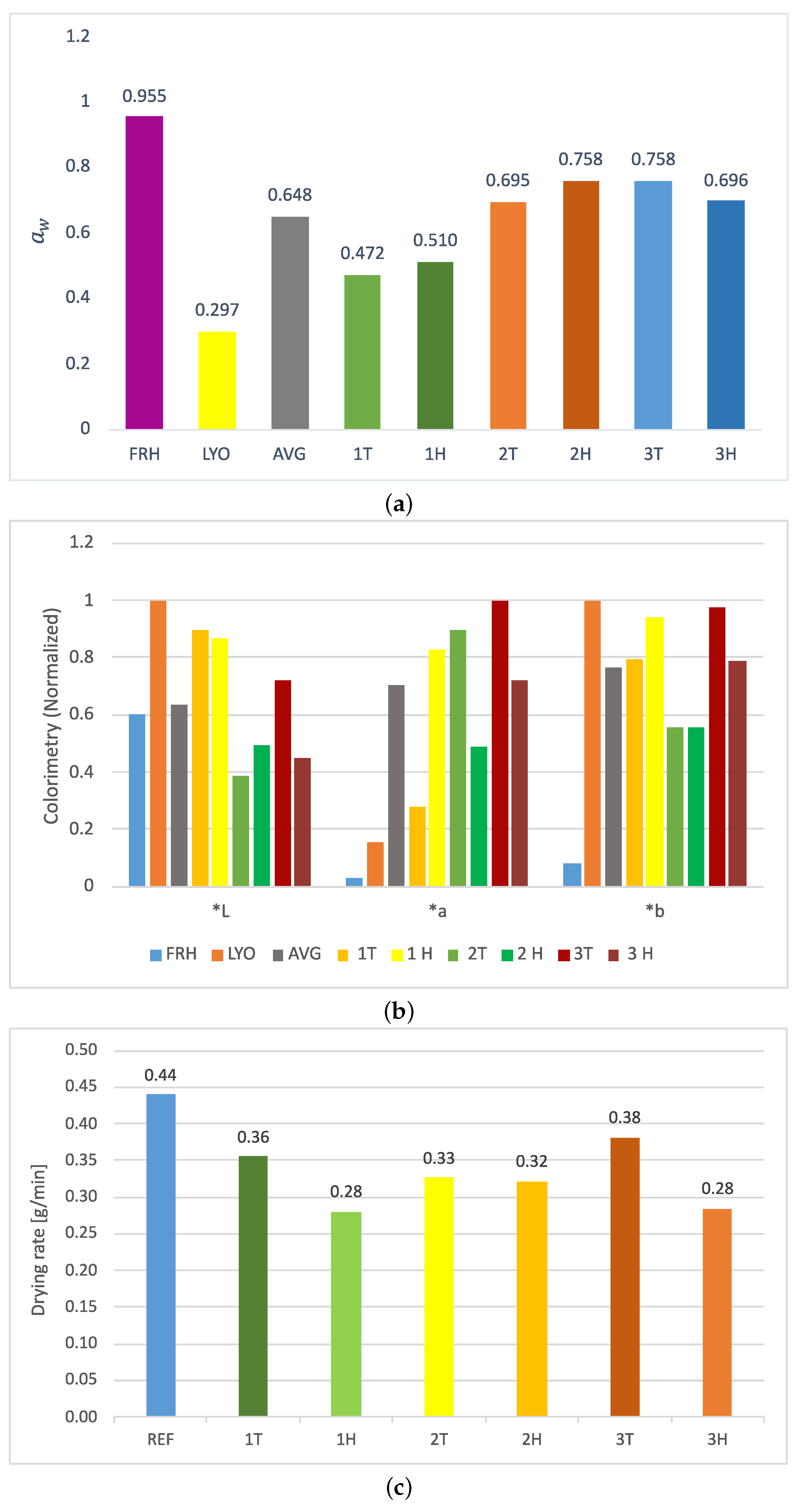
The results obtained from the experimental tests are summarized in Figure 4a–c. These figures show the values of all test samples (1T, 1H, 2T, 2H, 3T, and 3H), as well as the mean of the test samples (AVG), the fresh value (FRH), and a reference value obtained from a dehydrated sample via lyophilization (LYO). The maximum errors considered in the measurements of water activity, colorimetry, and drying speed were 0.001 (dimensionless), 0.8 (dimensionless), and 0.2 (g/min), respectively. Moreover, the three proposed figures of merit for the dehydrated gel obtained in the tests were measured and/or calculated. It is important to note that the values of the reference samples in Figure 4a,b were calculated using the FRH and LYO samples as references, which underwent analysis via water activity and colorimetry. On the other hand, the reference for drying rate in Figure 4c was obtained from literature sources (REF) [28].
The colorimetry results for the sample average were compared with those of the standard and the fresh sample. Figure 5a presents the simultaneous results of the normalized color components, comparing the reference values (LYO and FRH) with the average of the color components of the experimentally pre-dried samples (AVG). In Figure 5b, the Mean Absolute Error (MAE) was calculated using Equations (2) and (3).
MAE LYO = 1 n k = 1 k = n A P
MAE FRH = 1 n k = 1 k = n F P
where n is the number of experiments, A is the colorimetry value of the freeze-dried sample, F is the colorimetry value of the fresh sample, and P represents the colorimetry value of the experimentally pre-dried sample using the defined protocol.
The prototype experimentation results aligned with expectations, demonstrating reduced humidity in treated samples. Additionally, sensor system functionality and air extraction were verified. Figure 4a illustrates that the average water activity of the prototype-dehydrated sample is 30% lower than that of the fresh sample, indicating the effective dehydration of Aloe gel using the developed prototype [27].
However, the pre-dried sample average was 2.18 times that of the freeze-dried reference [27]. This suggests that with the proposed prototype and protocol, pre-drying is achievable, as the studied samples did not reach an a w between 0.20 and 0.40—the range considered microbiologically stable for the product [30,32,33].
To improve Aloe gel dehydration, alternative approaches can be explored [27]. For example, adjusting the drying protocol, employing larger surface area cuts (e.g., square cuts), extending the drying time within the prototype, even if dehydration is slow, and/or elevating the drying temperature (or controlling it) using an alternative energy source with a dedicated control system.
Among the studied samples, 1T achieved a water activity of 0.473, closely resembling the standard used (i.e., freeze-dried Aloe vera gel) [27]. The drying process of this sample was characterized by favorable environmental conditions for gel dehydration as shown in Table 1, marked by high temperatures and low humidity, between 21 and 22 °C and 50 and 60%, respectively. This observation underscores the significant correlation between product dehydration and the external conditions within which the prototype operates. In previous investigations, higher temperatures were employed for gel drying (resulting in final a w values of 0.218 and 0.234 [15]), though without an analysis of their impact on other quality parameters, such as color [15]. Notably, drying at 80–90 °C can significantly alter or degrade the physicochemical and nutritional properties of Aloe vera gel, while also decreasing its antioxidant capacity [42].
Among the analyzed samples, 1T and 1H showed a w values approximating the reference sample. These samples were dried simultaneously; therefore, the environmental conditions for both samples were identical. This suggests cut type has less influence than drying environmental conditions on the process [27].
In Figure 4b, it is observed that the 1T and 1H samples exhibited gel oxidation similar to the oxidation observed in the freeze-dried process. This observation highlights that environmental conditions influence the oxidation processes of the gel and, consequently, its quality. It was expected that the triangle formed by the average of the samples would not fully enclose the triangle formed by the freeze-dried, and the fresh sample would fall within the average triangle. This would indicate that the process within the prototype partially dehydrated the gel, leading to associated oxidation processes. This behavior was observed in components b and L.
The fresh gel exhibits a notable color difference among components a, b, and L when compared to the samples studied, including the reference sample (lyophilized). These changes are likely attributed to the concentration of aloe components or their oxidation. Regarding the MAE Figure 5, the 1T sample exhibits the least amount of error compared to the freeze-dried sample, suggesting that the color data closely resemble this sample. Conversely, sample 2H closely resembles the fresh sample in terms of MAE. These two comparative points provide insight into the extent of product transformation from the initial stage of the process to the final point of conventional drying (lyophilized).
Figure 4c illustrates the drying rate of Aloe samples. Sample 3T achieved a maximum drying rate of 0.38 g/min, closely approaching the reference rate of 0.44 g/min [27,28]. This sample was exposed to constant high temperatures over a brief period, indicating that in the proposed prototype, environmental conditions determine the maximum drying rate [27]. The drying speed is accelerated by the high temperature, which deteriorates other quality parameters of the final product, such as the decrease in the antioxidant power of the gel [13].
The relationship between the average error (MAE) of the color of all samples and the samples of fresh Aloe vera and freeze-dried Aloe vera can be observed in Figure 5a. It can be seen that the MAE of the freeze-dried Aloe vera is closer to the average, while fresh Aloe vera exhibits a comparatively greater error with respect to the average. In the graphs presented in Figure 5b, it can be observed that the MAE error for colors 1T and 1H is closer to that of the lyophilized, suggesting that during the pre-drying process, more favorable environmental conditions were present for pre-drying. Similarly, it was evidenced in Figure 5b that the type of cut does not influence the pre-drying process, suggesting that this specific variable can be disregarded in future research.

4. Conclusions

A solar dryer prototype, featuring energy autonomy, low cost, and a simple cabinet with forced convection was introduced in this paper. Additionally, a drying methodology utilizing this prototype was applied to Aloe vera, demonstrating feasibility although only achieving pre-drying. Among prototype-dehydrated samples, 1T exhibited the lowest water activity at 0.472, followed by 1H at 0.510. Furthermore, the highest drying speed reached was 0.381 g/min. Regarding product quality, the drying process induced color changes in Aloe vera, indicating material oxidation. Based on the conducted experiments, the cutting type of Aloe vera does not significantly influence the pre-drying process of the material.
The results highlight the significant impact of environmental conditions on both drying time and the quality of the dehydrated gel. Therefore, to enable adequate quality dried aloe, the prototype requires improvement toward environmental independence within the drying chamber. This poses an open technological challenge given restrictions regarding low cost, complexity, and energy autonomy. In future work, a thermal storage system will be developed to maintain a constant temperature during drying, enabling the achievement of target aloe moisture content in reduced time.
In future work, we propose to investigate the effects of additional drying conditions on the quality of Aloe vera gel products, including airflow velocity, solar radiation intensity, and drying capacity under adverse conditions such as rainfall. Furthermore, we intend to correlate the experimental results with mathematical or artificial intelligence models to predict variables such as drying rate and mass reduction. Moreover, given that the prototype can dehydrate Aloe Vera, which has a high water content, it could also be employed to evaluate the drying of other products with lower water content, such as fruits and cereals. Additionally, this could aid in mitigating greenhouse emissions from equipment reliant on non-renewable energy sources. Finally, we aim to develop a prototype featuring a thermal storage system to extend drying periods during spans of low light, alongside incorporating environmental sensors for a comprehensive analysis of experimental drying processes.

Author Contributions

Conceptualization, O.A., I.C. and A.F.; Methodology, O.A. and A.F.; Software, O.A.; Validation, O.A.; Formal analysis, O.A., I.C. and A.F.; Resources, A.F.; Writing—original draft, O.A.; Writing—review & editing, I.C. and A.F.; Visualization, O.A.; Supervision, I.C. and A.F.; Funding acquisition, A.F. All authors have read and agreed to the published version of the manuscript.

Funding

The APC was funded by the Pontificia Universidad Javeriana.

Institutional Review Board Statement

Not applicable.

Informed Consent Statement

Not applicable.

Data Availability Statement

The data presented in this study are available on request from the corresponding author.

Acknowledgments

The authors gratefully acknowledge the financial support provided by Pontificia Universidad Javeriana, Colombia, for the publication of the results of this study. Additionally, the authors thank Fundación Universitaria Agraria of Colombia for providing the necessary resources and equipment to conduct this study. The first and second authors extend their gratitude to Fundación Centro de Estudios Interdisciplinarios Básicos y Aplicados (CEIBA) and the Gobernación de Cundinamarca, Colombia, for their financial support.

Conflicts of Interest

The authors declare no conflicts of interest.

References

  1. Artunduaga Antury, K.L.; Vargas Rojas, D.A.; Barrera Bermeo, O.M. Conservación de las propiedades nutraceúticas del Aloe vera (Aloe barbadensis Miller), mediante técnicas de secado. Ingeniería y Región 2021, 25, 6–21. [Google Scholar] [CrossRef]
  2. Maan, A.A.; Nazir, A.; Khan, M.K.I.; Ahmad, T.; Zia, R.; Murid, M.; Abrar, M. The therapeutic properties and applications of Aloe vera: A review. J. Herb. Med. 2018, 12, 1–10. [Google Scholar] [CrossRef]
  3. Canche-Escamilla, G.; Colli-Acevedo, P.; Borges-Argaez, R.; Quintana-Owen, P.; May-Crespo, J.F.; Cáceres-Farfan, M.; Yam Puc, J.A.; Sansores-Peraza, P.; Vera-Ku, B.M. Extraction of phenolic components from an Aloe vera (Aloe barbadensis Miller) crop and their potential as antimicrobials and textile dyes. Sustain. Chem. Pharm. 2019, 14, 100168. [Google Scholar] [CrossRef]
  4. Sánchez-Machado, D.I.; López-Cervantes, J.; Sendón, R.; Sanches-Silva, A. Aloe vera: Ancient knowledge with new frontiers. Trends Food Sci. Technol. 2017, 61, 94–102. [Google Scholar] [CrossRef]
  5. Mudgil, D.; Barak, S.; Darji, P. Development and characterization of functional cultured buttermilk utilizing Aloe vera juice. Food Biosci. 2016, 15, 105–109. [Google Scholar] [CrossRef]
  6. Ahlawat, K.S.; Khatkar, B.S. Processing, food applications and safety of aloe vera products: A review. J. Food Sci. Technol. 2011, 48, 525–533. [Google Scholar] [CrossRef] [PubMed]
  7. Ramachandra, C.T.; Srinivasa Rao, P. Processing of Aloe vera leaf gel: A review. Am. J. Agric. Biol. Sci. 2008, 3, 502–510. Available online: https://thescipub.com/abstract/ajabssp.2008.502.510 (accessed on 24 March 2024). [CrossRef]
  8. Vargas-Madriz, Á.F.; Kuri-García, A.; Luzardo-Ocampo, I.; Vargas-Madriz, H.; Pérez-Ramírez, I.F.; Anaya-Loyola, M.A.; Ferriz-Martínez, R.A.; Roldán-Padrón, O.; Hernández-Sandoval, L.; Guzmán-Maldonado, S.H.; et al. Impact of Drying Process on the Phenolic Profile and Antioxidant Capacity of Raw and Boiled Leaves and Inflorescences of Chenopodium berlandieri ssp. berlandieri. Molecules 2023, 28, 7235. [Google Scholar] [CrossRef]
  9. Medina-Torres, L.; Calderas, F.; Minjares, R.; Femenia, A.; Sánchez-Olivares, G.; Gónzalez-Laredo, F.R.; Santiago-Adame, R.; Ramirez-Nuñez, D.M.; Rodríguez-Ramírez, J.; Manero, O. Structure preservation of Aloe vera (barbadensis Miller) mucilage in a spray drying process. LWT-Food Sci. Technol. 2016, 66, 93–100. [Google Scholar] [CrossRef]
  10. Rahman, S.; Carter, P.; Bhattarai, N. Aloe Vera for Tissue Engineering Applications. J. Funct. Biomater. 2017, 8, 6. [Google Scholar] [CrossRef] [PubMed]
  11. Karam, M.C.; Petit, J.; Zimmer, D.; Baudelaire Djantou, E.; Scher, J. Effects of drying and grinding in production of fruit and vegetable powders: A review. J. Food Eng. 2016, 188, 32–49. [Google Scholar] [CrossRef]
  12. Ratti, C. 3—Freeze drying for food powder production. In Handbook of Food Powders; Bhandari, B., Bansal, N., Zhang, M., Schuck, P., Eds.; Woodhead Publishing Series in Food Science, Technology and Nutrition; Woodhead Publishing: Québec, QC, Canada, 2013; pp. 57–84. [Google Scholar] [CrossRef]
  13. Patino, M. Identificación del Nivel de Industrialización del aloe vera en Colombia. Bachelor’s Thesis, Universidad de la Salle, Bogota, Colombia, 2016. Available online: https://ciencia.lasalle.edu.co/administracion_agronegocios/157 (accessed on 24 March 2024).
  14. Rybak, K.; Parniakov, O.; Samborska, K.; Wiktor, A.; Witrowa-Rajchert, D.; Nowacka, M. Energy and quality aspects of freeze-drying preceded by traditional and novel pre-treatment methods as exemplified by red bell pepper. Sustainability 2021, 13, 2035. [Google Scholar] [CrossRef]
  15. Nagnath, M. Drying Kinematics of Cabinet Type Solar Dryer for Aloe Vera and Biomethanation Study of Aloe Vera Waste. Ph.D. Thesis, Maharana Pratap University of Agriculture and Technology, Udaipur, India, 2019. Available online: http://hdl.handle.net/10603/455635 (accessed on 24 March 2024).
  16. Mediaceja, Y.; Góngora Leyva, E.; Tamayo, E.; Rojas Purón, A.L. Comportamiento de la humedad durante el secado solar del mineral laterítico. Minería y Geología 2007, 23, 19. Available online: https://www.redalyc.org/articulo.oa?id=223515979002 (accessed on 24 March 2024).
  17. Radhakrishnan, G.; Breaz, T.O.; Al Mahrouqi, A.W.A.; Al Zakwani, N.A.; Al Fahdi, M.H.; Al Shuraiqi, A.S.; Al Awamri, S.A.; Al Aamri, R.S.; Karthikeyan, K.R. A Comparative Management Analysis on the Performance of Different Solar Drying Methods for Drying Vegetables and Fruits. Sustainability 2024, 16, 775. [Google Scholar] [CrossRef]
  18. Deef, M.; Samy Helal, H.; El-Sebaee, I.; Nadimi, M.; Paliwal, J.; Ibrahim, A. Harnessing Solar Energy: A Novel Hybrid Solar Dryer for Efficient Fish Waste Processing. AgriEngineering 2023, 5, 2439–2457. [Google Scholar] [CrossRef]
  19. Chouikhi, H.; Amer, B.M. Performance Evaluation of an Indirect-Mode Forced Convection Solar Dryer Equipped with a PV/T Air Collector for Drying Tomato Slices. Sustainability 2023, 15, 5070. [Google Scholar] [CrossRef]
  20. Gupta, A.; Das, B.; Biswas, A.; Mondol, J.D. Sustainability and 4E analysis of novel solar photovoltaic-thermal solar dryer under forced and natural convection drying. Renew. Energy 2022, 188, 1008–1021. [Google Scholar] [CrossRef]
  21. Gupta, A.; Biswas, A.; Das, B.; Reddy, B.V. Development and testing of novel photovoltaic-thermal collector-based solar dryer for green tea drying application. Sol. Energy 2022, 231, 1072–1091. [Google Scholar] [CrossRef]
  22. Kumar, P.; Singh, D. Advanced technologies and performance investigations of solar dryers: A review. Renew. Energy Focus 2020, 35, 148–158. [Google Scholar] [CrossRef]
  23. Bhardwaj, A.K.; Kumar, R.; Kumar, S.; Goel, B.; Chauhan, R. Energy and exergy analyses of drying medicinal herb in a novel forced convection solar dryer integrated with SHSM and PCM. Sustain. Energy Technol. Assess. 2021, 45, 101119. [Google Scholar] [CrossRef]
  24. Shalaby, S.M.; Bek, M.A. Experimental investigation of a novel indirect solar dryer implementing PCM as energy storage medium. Energy Convers. Manag. 2014, 83, 1–8. [Google Scholar] [CrossRef]
  25. Nabnean, S.; Janjai, S.; Thepa, S.; Sudaprasert, K.; Songprakorp, R.; Bala, B.K. Experimental performance of a new design of solar dryer for drying osmotically dehydrated cherry tomatoes. Renew. Energy 2016, 94, 147–156. [Google Scholar] [CrossRef]
  26. Fudholi, A.; Sopian, K.; Ruslan, M.H.; Alghoul, M.A.; Sulaiman, M.Y. Review of solar dryers for agricultural and marine products. Renew. Sustain. Energy Rev. 2010, 14, 1–30. [Google Scholar] [CrossRef]
  27. Ariza, O. Desarrollo de un Prototipo de Secador de Túnel Solar con Sistema Fotovoltaico y su Aplicación en el Presecado de Cristal de aloe vera (Aloe Barbadensis Miller). Bachelor’s Thesis, Fundación Universitaria Agraria de Colombia (Uniagraria), Bogota, Colombia, 2017. [Google Scholar]
  28. Singh, P.; Vyas, S.; Yadav, A. Experimental comparison of open sun drying and solar drying based on evacuated tube collector. Int. J. Sustain. Energy 2019, 38, 348–367. [Google Scholar] [CrossRef]
  29. Poblete, C.B. Investigación para la Producción de Vegetales en Zonas áridas y Semiáridas de la Región de Coquimbo. Technical Report, Corporación Para el Desarrollo de la Región de Coquimbo (Chile). 1996. Available online: https://bibliotecadigital.fia.cl/handle/20.500.11944/2175 (accessed on 24 March 2024).
  30. Minjares-Fuentes, R.; Femenia, A.; Comas-Serra, F.; Rosselló, C.; Rodríguez-González, V.M.; González-Laredo, R.F.; Gallegos-Infante, J.A.; Medina-Torres, L. Effect of different drying procedures on physicochemical properties and flow behavior of Aloe vera (Aloe barbadensis Miller) gel. LWT-Food Sci. Technol. 2016, 74, 378–386. [Google Scholar] [CrossRef]
  31. Mejía Terán, A.L. Efecto de la Deshidratación por Radiación Infrarroja Sobre Algunas Características Fisicoquímicas de Interés Comercial del Aloe Vera (Aole Barbadensis). Master’s Thesis, Universidad de La Sabana, Cundinamarca, Colombia, 2012. Available online: http://hdl.handle.net/10818/1249 (accessed on 24 March 2024).
  32. Maherawati, M.; Hartanti, L. The Properties of Aloe Vera Powder using Cassava Maltodextrin as Carrier Agents. Indones. J. Ind. Res. 2019, 14, 44–50. [Google Scholar] [CrossRef]
  33. Quek, S.Y.; Chok, N.K.; Swedlund, P. The physicochemical properties of spray-dried watermelon powders. Chem. Eng. Process. Process. Intensif. 2007, 46, 386–392. [Google Scholar] [CrossRef]
  34. El Hage, H.; Herez, A.; Ramadan, M.; Bazzi, H.; Khaled, M. An investigation on solar drying: A review with economic and environmental assessment. Energy 2018, 157, 815–829. [Google Scholar] [CrossRef]
  35. Lowder, S.K.; Sánchez, M.V.; Bertini, R. Which farms feed the world and has farmland become more concentrated? World Dev. 2021, 142, 105455. [Google Scholar] [CrossRef]
  36. Darvishi, H.; Khodaei, J.; Behroozi-Khazaei, N.; Salami, P.; Akhijahani, H.S. Greenhouse gas emission reduction potential, energy and exergy analysis of combined microwave-convective dryer. Energy 2023, 285, 128772. [Google Scholar] [CrossRef]
  37. Seyfi, A.; Rezaei Asl, A.; Motevali, A. Comparison of the energy and pollution parameters in solar refractance window (photovoltaic-thermal), conventional refractance window, and hot air dryer. Sol. Energy 2021, 229, 162–173. [Google Scholar] [CrossRef]
  38. Patel, M.R.; Panwar, N.L. Drying kinetics, quality assessment and socio environmental evaluation of solar dried underutilized arid vegetable Cucumis callosus. Energy Nexus 2022, 7, 100128. [Google Scholar] [CrossRef]
  39. Konica Minolta Sensing Americas. Understanding the CIE L*C*h Color Space. Konica Minolta Sensing Americas Inc. 2020. Available online: https://sensing.konicaminolta.us/us/blog/understanding-the-cie-lch-color-space/ (accessed on 24 March 2024).
  40. Salazar, E.; Hernández, H.; Oliver, M.y.Z.M. Evaluación de parámetros termodinámicos en productos biológicos. Depto. Grad. Investig. Aliment. Dep. Ing. Bioquímica. Esc. Nac. Cienc. Tecnológicas. Inst. Politécnico Nac. 1994, 5, 57–62. [Google Scholar]
  41. McCabe, W.L.; Smith, J.C.; Harriot, P. Operaciones Unitarias En Ingenería Química; McGraw Hill: Mexico City, Mexico, 2007. [Google Scholar]
  42. Miranda, M.; Maureira, H.; Rodríguez, K.; Vega-Gálvez, A. Influence of temperature on the drying kinetics, physicochemical properties, and antioxidant capacity of Aloe Vera (Aloe Barbadensis Miller) gel. J. Food Eng. 2009, 91, 297–304. [Google Scholar] [CrossRef]
Figure 1. (a) 3D schematic of the prototype, (b) Block diagram, (c) Picture.
Figure 1. (a) 3D schematic of the prototype, (b) Block diagram, (c) Picture.
Sustainability 16 03392 g001
Figure 2. Control system based on temperature (a) Schematic diagram, (b) Flowchart.
Figure 2. Control system based on temperature (a) Schematic diagram, (b) Flowchart.
Sustainability 16 03392 g002
Figure 3. (a) Cross section Aloe vera. (b) Horizontal section Aloe vera.
Figure 3. (a) Cross section Aloe vera. (b) Horizontal section Aloe vera.
Sustainability 16 03392 g003
Figure 4. Quality FoM of the dehydrated gel (a) Water activity. (b) Colorimetry. (c) Drying rate [g/min].
Figure 4. Quality FoM of the dehydrated gel (a) Water activity. (b) Colorimetry. (c) Drying rate [g/min].
Sustainability 16 03392 g004
Figure 5. (a) Evaluation of general colour parameters. (b) Mean Absolute Error (MAE).
Figure 5. (a) Evaluation of general colour parameters. (b) Mean Absolute Error (MAE).
Sustainability 16 03392 g005
Table 1. Temperature and humidity conditions during prototype testing.
Table 1. Temperature and humidity conditions during prototype testing.
HOURTest Number 1Test Number 2Test Number 3
T (°C)HIGRO (%)T (°C)HIGRO (%)T (°C)HIGRO (%)
8:0020 ± 0.560 ± 422 ± 0.549 ± 425 ± 0.540 ± 4
9:0020 ± 0.564 ± 420 ± 0.550 ± 427 ± 0.534 ± 4
10:0025 ± 0.530 ± 426 ± 0.533 ± 430 ± 0.529 ± 4
11:0025 ± 0.537 ± 422 ± 0.544 ± 425 ± 0.545 ± 4
12:0028 ± 0.524 ± 423 ± 0.552 ± 425 ± 0.539 ± 4
13:0027 ± 0.535 ± 423 ± 0.553 ± 428 ± 0.535 ± 4
14:0029 ± 0.522 ± 425 ± 0.537 ± 427 ± 0.538 ± 4
15:0030 ± 0.519 ± 424 ± 0.544 ± 425 ± 0.544 ± 4
16:0024 ± 0.532 ± 424 ± 0.544 ± 426 ± 0.537 ± 4
17:0025 ± 0.527 ± 426 ± 0.537 ± 423 ± 0.547 ± 4
8:0021 ± 0.541 ± 429 ± 0.530 ± 422 ± 0.550 ± 4
9:0025 ± 0.533 ± 425 ± 0.551 ± 422 ± 0.555 ± 4
10:0030 ± 0.520 ± 423 ± 0.546 ± 424 ± 0.545 ± 4
11:0028 ± 0.521 ± 420 ± 0.550 ± 424 ± 0.542 ± 4
12:0027 ± 0.527 ± 423 ± 0.547 ± 421 ± 0.552 ± 4
13:0024 ± 0.535 ± 421 ± 0.553 ± 423 ± 0.545 ± 4
14:0024 ± 0.532 ± 420 ± 0.565 ± 424 ± 0.542 ± 4
16:0023 ± 0.535 ± 4N/AN/A25 ± 0.537 ± 4
17:0021 ± 0.542 ± 4N/AN/A23 ± 0.535 ± 4
18:00N/AN/AN/AN/A21 ± 0.537 ± 4
Average25.133.523.346.224.842.3
Disclaimer/Publisher’s Note: The statements, opinions and data contained in all publications are solely those of the individual author(s) and contributor(s) and not of MDPI and/or the editor(s). MDPI and/or the editor(s) disclaim responsibility for any injury to people or property resulting from any ideas, methods, instructions or products referred to in the content.

Share and Cite

MDPI and ACS Style

Ariza, O.; Casallas, I.; Fajardo, A. Innovative Solar Dryer for Sustainable Aloe Vera Gel Preservation in Colombia. Sustainability 2024, 16, 3392. https://doi.org/10.3390/su16083392

AMA Style

Ariza O, Casallas I, Fajardo A. Innovative Solar Dryer for Sustainable Aloe Vera Gel Preservation in Colombia. Sustainability. 2024; 16(8):3392. https://doi.org/10.3390/su16083392

Chicago/Turabian Style

Ariza, Oscar, Ingrid Casallas, and Arturo Fajardo. 2024. "Innovative Solar Dryer for Sustainable Aloe Vera Gel Preservation in Colombia" Sustainability 16, no. 8: 3392. https://doi.org/10.3390/su16083392

APA Style

Ariza, O., Casallas, I., & Fajardo, A. (2024). Innovative Solar Dryer for Sustainable Aloe Vera Gel Preservation in Colombia. Sustainability, 16(8), 3392. https://doi.org/10.3390/su16083392

Note that from the first issue of 2016, this journal uses article numbers instead of page numbers. See further details here.

Article Metrics

Back to TopTop