Abstract
With the acceleration of urbanization, the increasing frequency of building fires has caused a large number of deaths and economic losses. In order to delve into the evacuation route selection behaviors seen in library fires and analyze the impacts of individual evacuation psychologies on route decisions during escaping, based on practical survey data from the library on the Boda campus of Xinjiang University, this study built a mixed Logit (ML) model irrespective of latent psychological variables and a hybrid choice model (HCM) considering the latent variables of adaptive evacuation psychologies to investigate the internal formation mechanism of evacuees’ route decisions. The results indicate that evacuees’ non-adaptive conformity psychology, adaptive altruism psychology, and environmental familiarity have significant impacts on their route decisions. The stronger the evacuees’ non-adaptive inertia psychology, the more they lean towards the shortest route. Meanwhile, altruistic adaptive evacuation psychology has a significant negative impact on the probability of choosing the longest route. The stronger the evacuees’ environmental familiarity, the more they tend to choose the evacuation route with good emergency lighting. Personal socio-economic attributes have varying impacts on peoples’ evacuation route decisions. The findings of our study provide theoretical support for sustainable planning, preparedness, and the design of fire evacuations. This contribution aids in advancing sustainable practices for emergency responses.
1. Introduction
With the acceleration of urbanization, building fires have tended to become more and more severe. As a carrier of campus culture, university libraries have the characteristics of scale expansion, function diversification, and high visitor flows [1]. Furthermore, the abundance of books and enclosed spaces in libraries leads to a higher fire load compared to other locations, resulting in significant safety risks [2]. Moreover, since people in a library are usually absorbed in reading and learning, their reactions to fire emergencies slow down, and their behavioral decisions differ from daily life. Time pressure from limited decision times and uncertain decision-making information affects evacuees’ decisions to exit and route selection [3]. The evacuation process is a specific pedestrian traffic scenario. For heavily crowded public places such as libraries, individual decisions markedly affect overall evacuation efficiency. Emergency evacuation systems should pay more attention to behavioral decisions other than the individual and collective movement characteristics of evacuees [4]. Therefore, studying evacuees’ evacuation behaviors and scientifically guiding their behavioral decisions during an evacuation are of great significance for enhancing evacuation efficiency and decreasing secondary disasters such as swarms and jostlement.
Personnel evacuation behavior in fires is a complex process and a critical factor in determining the effectiveness of evacuation, especially in densely populated areas [5]. Research on evacuation behaviors in fires was first conducted using descriptive statistics. For instance, Drabek [6] used questionnaires to survey and explore the differences in the evacuation responses of the public and individuals in disasters. McCaffrey [7] analyzed the behavioral responses of homeowners during fire evacuation and their actions to protect their life and property based on email data obtained from three states. To delve into evacuation behavioral responses and the driving factors of behavior decisions, researchers developed the discrete choice model (DCM), which has been widely applied. The binomial or multinomial Logit models commonly used in DCMs mainly explore the impacts of personal socio-economic characteristics, evacuation threat characteristics, and other factors on evacuation decisions. Murray et al. [8] analyzed stay/evacuation behaviors under the influence of personal attribute factors such as gender and age by constructing a binomial Logit model. Wong et al. [9] studied the effects of individual socio-economic factors and hurricane characteristics on evacuation destination selection based on multinomial Logit models. Akbarzadeh et al. [10] explored the impact of travel time, road accessibility, route type, and other factors on the selection of evacuation routes by building a Logit model. To reduce unobserved heterogeneity among evacuees, the correlation between alternatives, and the uncertainty of the model, researchers have expanded the above DCM model and applied it in studies. Xiang et al. [11] used a random-coefficient Logit model to investigate the impacts of evacuees’ individual social factors and environmental factors on their exit selection to understand the heterogeneity of their individual preferences. Daeyeol et al. [12] adopted a mixed Logit (ML) model to capture the differences in the attributes of a social population and the evacuation routes of evacuees. In conclusion, although this model has been modified and applied, the factors affecting the behavior decisions of evacuees in fires have not been systematically studied. Most factors in the existing research are directly observable variables such as the socio-economic and environmental attributes of evacuees (the environments of fire sites, exit or route attributes). Lovreglio et al. [13] used stated preference (SP) data based on virtual reality technology to calibrate a ML model and probe into the impacts of environmental factors such as smoke, emergency lighting, and exit distance on the selection of evacuation exits in fires. Aleksandrov et al. [14] constructed an ML model to explore the effects of environmental factors such as the location of refuge floors, the number of people in elevator lobbies, and stairway density on evacuation behaviors in high-rise buildings during fires. Cheng et al. [15] analyzed the impacts of environmental factors such as threat characteristics, travel distance, and the destination’s socio-economic attributes on evacuation destination selection behaviors using multiple Logit models. In a fire emergency, the evacuation decisions made by evacuees are not random, but are the result of a combination of multiple factors, including psychological factors [16]. However, research on the psychologies of evacuees mostly focuses on non-adaptive evacuation psychologies, such as panic and conformity during the escape, while the impacts of adaptive psychologies on evacuation are seldom studied. Hoogendoorn et al. [17] believed that some individuals exhibited adaptive altruistic behavioral tendencies to help strangers during evacuations, in their research on past accidents. Boonngam et al. [18] found that altruistic behaviors during high-rise structure fires could reduce evacuation time. However, studies that consider both the impacts of adaptive and non-adaptive psychologies on fire evacuation decisions are rare. Moreover, there is limited research on route selection behaviors during the evacuations of buildings such as libraries during fires, and, in particular, our understanding of the internal mechanism of route searching behaviors still needs perfection [19].
Based on this, aiming to dive deeply into the internal formation mechanism of evacuation behavior decisions in university library structure fires, this paper artificially takes into account the personal socio-economic attributes, evacuation route attributes, and latent evacuation psychological variables of evacuees; designs questionnaires and conducts a survey based on these variables; integrates a structural equation model (SEM), non-adaptive psychological behavior theory, and a hybrid choice model (HCM); and constructs an ML model irrespective of latent variables and an HCM that considers latent variables to reflect the heterogeneity of the evacuees. The research results provide a theoretical basis for relevant departments to scientifically formulate reasonable and effective emergency evacuation strategies.
This study will take the library of Xinjiang University’s Boda Campus as an example. The objective of this study was to explore the decision-making processes regarding the evacuation paths chosen by university students during fire emergencies. Additionally, the study aimed to analyze how psychological factors, both latent and observable, influence the choice of evacuation routes.
The paper is organized as follows: the first part of this paper is the Introduction, which describes the background of the research and the research objective; Section 2 describes the methodology used to model route choice behaviors during escaping; Section 3 introduces the questionnaire investigation and statistical analysis, containing the questionnaire’s design, data collection, and reliability and validity analysis; Section 4 reports the main results and offers a discussion of the results; and Section 5 sets out the conclusions.
2. Theoretical Basis and Literature Review
2.1. SEM
SEM, also known as the covariance analysis model [20], combines the technical advantages of route analysis and confirmatory factors and can simultaneously deal with the relationships between potential variables and measurement variables based on the covariance matrix of these variables [21]. Therefore, it was used in this study to model and analyze the latent psychological variables that affect evacuation behaviors, explore the internal formation mechanism of evacuation route selection behaviors, analyze the correlations between latent psychological variables, and investigate the internal relationship between personal attributes and latent psychological variables.
SEM is mainly composed of a measurement model and a structural model. The measurement model, also known as the exogenous variable observation model, can analyze the relationships between latent variables and their measurement variables based on the factor loads of routes, as shown in Equations (1) and (2).
The measurement model can be written as
where X denotes the vector containing the measured values of exogenous latent variables; Y denotes the vector containing the measured values of endogenous latent variables; are the factor loads corresponding to the observed variables X and Y; represents the exogenous latent variable, represents the endogenous latent variable, and both of them are unobservable variables; and are the measurement errors of the observed variables X and Y. The structural model is used to reflect the correlations between unobservable latent variables, as shown in Equation (3).
where B represents the coefficient matrix reflecting the interrelationships between endogenous latent variables; Γ represents the coefficient matrix reflecting the ratio of endogenous latent variables to exogenous latent variables; and ζ denotes the error vector of the model, which reflects the portion of the endogenous latent variables that cannot be explained or are difficult to explain in the structural equation.
2.2. The Theory of Non-Adaptive Psychological Behaviors
Most previous studies have emphasized evacuees’ non-adaptive psychological behaviors, such as panic and conformity, with few considerations given to adaptive psychological behaviors. With respect to this shortcoming, this article comprehensively considers adaptive and non-adaptive evacuation psychologies based on the theory of non-adaptive psychological behaviors. “Non-adaptive psychology” refers to the psychological behaviors taken by evacuees during their escape that are harmful to others’ safety [22]. “Adaptive psychology” is the opposite. Taking behavioral psychology as the research object, three theories of the non-adaptive psychological behaviors of evacuees in emergencies were formed using psychological research methods [23], including decision theory, panic theory, and urgency theory. The decision theory deals with the decision rules of individuals during an evacuation, with the basic assumption that, even when in danger, evacuees can still make reasonable decisions and cooperate to reduce casualties during evacuation. The panic theory analyzes the factors that may cause panic in crowds in emergencies and the behavioral characteristics of crowds in panic. The urgency theory suggests that spatial congestion hinges on the urgency of evacuation, and it analyzes the factors that cause congestion. Theories of non-adaptive psychological behaviors provide the possibility of comprehensively considering “adaptive psychology” and “non-adaptive psychology” in evacuation. Using these three theories, this article successively considers six latent psychological variables, including adaptive altruistic psychology, non-adaptive psychologies of panic, conformity, and inertia, and risk perception and environmental familiarity, which significantly affect the urgency of evacuation. Adaptive altruistic psychology refers to the psychological tendency of evacuees to assist those in need, taking no account of other factors during evacuation. Sugiura et al. [24] believed that altruistic behaviors during evacuation emergencies were a common social phenomenon. Therefore, incorporating the altruistic psychology of evacuees into a model can better reflect the internal psychological characteristics of evacuees during decision making.
Based on the panic theory of non-adaptive psychology, this article investigated panic and the psychologies of conformity and inertia that exist in panicked people. As typical non-adaptive evacuation psychologies, panic, conformity, and inertia are irrational behaviors presented by decision-makers when they perceive danger. The psychology of panic includes an excessive panicked emotion that is beyond evacuees’ mental endurance, caused by their lack of mastery of relevant information during fire emergencies, which is contagious and affects evacuation efficiency. Conformity psychology means that due to inadequate information or other factors, evacuees choose to follow the crowd in front of them when making evacuation decisions during fire emergencies, resulting in congestion and evacuation risks. Previous studies have shown that the psychologies of panic and conformity significantly affect evacuation behaviors [25]. Inertia psychology is defined as the inherent tendency of people to unconsciously repeat their psychologies or behaviors. In the case of fire emergencies, evacuees usually follow the routes or exits they have previously used for evacuation without considering other factors too much, which can cause the imbalanced utilization of evacuation routes or exits and seriously hinder evacuation. Studies have verified that inertia psychologies in evacuations perceptibly affect evacuation behaviors and decrease evacuation efficiency [26].
The idea the risk perception significantly affects evacuation decisions was first proposed by Slovic [27] in 1987 and defined as a method for describing people’s attitudes and perceptive judgments towards risk. It was later applied in the field of emergent evacuation. According to Sime’s research on evacuation behaviors, the response time of evacuees to emergency events accounts for two thirds of the total evacuation time [28]. Risk perception is the evacuation psychology that most affects the response time of evacuees. Therefore, risk perception has a significant impact on the degree of emergency felt during evacuation. Kinateder et al. [29] reviewed relevant research on evacuation-based risk perception and noted, firstly, the necessity of applying this theory to the evacuation of structure fires. In addition to risk perception, environmental familiarity also affects evacuation decisions. Environmental familiarity refers to a person’s level of familiarity with the environment during evacuation. During the process of handling fire signals in a fire, evacuees experience evacuation behavior reactions such as identification, confirmation, definition, evaluation, action, and re-evaluation. The primary factors that affect the series of evacuation reactions include environmental familiarity [30], which in turn affects the urgency of evacuation. Kinateder et al. [31] used experiments to explore exit selection behaviors in structure fire emergencies, and they found that environmental familiarity was crucial for correctly selecting evacuation routes and exits.
2.3. HCM
The evacuation decision behaviors of evacuees in a fire emergency are the result of a complex psychological process. Regarding the disadvantages of traditional discrete selection models that cannot reflect the internal psychologies of decision-makers, Ben Akiva et al. [32] first proposed the concept of an HCM in 2002 by incorporating latent variable models into traditional discrete selection models to allow for psychological considerations. The framework of the HCM used in this paper is shown in Figure 1.
Figure 1.
The framework of the HCM.
The latent variable model is used to analyze the internal relationships between the latent variables and measurement variables of evacuation psychologies. A discrete selection model is adopted to analyze behavior preferences in terms of evacuation route selection.
In the HCM, the utility of the evacuee i choosing the j-th route can be represented by the following equation:
X indicates the individual socio-economic attribute vector of the evacuees; Z represents the route attribute vector, including route length, evacuation time, emergency lighting, and congestion degree; represents the latent psychological variables that are difficult to be observed directly, such as panic, conformity, inertia, altruism, risk perception, and environmental familiarity; represents the random error term that exists in the estimation; and , , and are the parameters to be estimated.
2.4. Latent Psychological Variables
Based on the existing literature, four latent variables—altruism, panic, conformity, and inertia—were selected. Considering the characteristics of people’s evacuation decision-making processes, two latent variables, risk perception and environmental familiarity, were chosen. Altruism, as an adaptive psychological trait, refers to evacuees assisting those in need during evacuations, without considering other factors [33]. Altruistic behavior during evacuation emergencies is a common social phenomenon. Therefore, incorporating the altruism of evacuees in the model better reflects the intrinsic psychological characteristics of evacuees’ decision-making processes [24].
Panic, conformity, and inertia psychologies, as typical maladaptive evacuation psychologies, represent the irrational behaviors exhibited by decision-makers when perceiving danger. Panic psychology refers to evacuees experiencing excessive fear beyond their mental capacity due to a lack of relevant information during sudden fire incidents. Conformity psychology describes evacuees aligning their behaviors with the group in emergency fire situations due to incomplete information or other factors. Inertia psychology, defined in psychology as an unconscious tendency for humans to repeat mental or behavioral patterns, significantly influences people’s evacuation behavior during fires [25], leading to crowd congestion, increased evacuation risks, and reduced efficiency [26].
Environmental familiarity pertains to the degree of familiarity evacuees have with their evacuation surroundings during their escape. During fire incidents, individuals exhibit a series of evacuation responses while processing fire signals, with environmental familiarity being a key factor influencing these responses [30], indirectly affecting the urgency of evacuations.
Risk perception, initially proposed by Slovic [27], is defined as a concept that describes people’s attitudes and perceptual judgments of risks, which was later applied to emergency evacuation contexts. Sime [28] suggests that individuals’ response times to emergency events accounts for two thirds of their total evacuation time, with risk perception influencing their response time significantly, thus playing a crucial role in the urgency of evacuations.
3. Methodology
3.1. Questionnaire Design
To measure the unmeasurable latent psychological variables in our structural equation, each latent psychological variable needs to be established, as well as their corresponding observation variables. A Likert five-grade scale is used to reflect the satisfaction grade of evacuees with each indicator. The grade ranges from “strongly disagree” to “strongly agree”, with an assigned value of 1–5. The observation indexes of the latent psychological variables used in this study are shown in Table 1. The respondents to this study were students and employees of Xinjiang University. The personal background information of evacuees from the library on the Boda campus of Xinjiang University was obtained through questionnaires, including their gender, major, current grade, fire emergency experience, number of fire safety training or drills completed, frequency of going to the library, and familiarity with the evacuation signs and routes within the library [34]. Evacuation path attributes are crucial determinants influencing individuals’ choices during fire emergencies. Among these attributes, the lighting conditions along the evacuation route significantly impact decision-makers’ perceptions and comprehension of safety provisions. Research indicates that brighter emergency lighting enhances the likelihood of evacuees successfully reaching their ultimate safe destination [35]. Furthermore, the congestion levels at exits and along evacuation routes also play a pivotal role in route selection. Higher congestion, indicated by greater numbers of individuals near exits, reduces the likelihood of individuals choosing those exits [36]. Therefore, the SP investigation part of evacuation route selection is to design a number of evacuation scenarios for respondents to choose from based on four factors, including route length, evacuation time, emergency lighting [13], and congestion level. In our scenarios, the route length and evacuation time are set at three levels based on the actual layout of Boda Library. The classification of each attribute was established through field surveys and pertinent guidelines [37]. The attributes and attribute levels of the alternative solutions are shown in Table 2.
Table 1.
Latent psychological variables and their observation indexes in the questionnaire.
Table 2.
SP survey attributes and their set levels.
3.2. Data Collection
This study adopts an offline investigation method. The library of the Boda Campus of Xinjiang University, China, was selected as the survey location. The six-story library, five above- and one underground, has a total area of over 60,000 square meters and 6000 seats, with a collection of over 1.956 million paper resources and over 5.09 million usable electronic books. Students in the library were surveyed using random sampling. A total of 1064 questionnaires were collected. After eliminating 200 invalid questionnaires, this study obtained 864 valid questionnaires, with an effective rate of 81.20%. The descriptive statistics of the sample are shown in Table 3.
Table 3.
Descriptive statistics.
Table 3 shows that, in this survey, 41.6% of the respondents are males and 58.4% are females. Generally, the proportion of females in the group of people learning in libraries is relatively large, and our sampling results agree well with this reality. Among the respondents, engineering students are the most common, accounting for 62.4% of the total sample size; followed by science students, accounting for 35.0% of the total sample size; and humanities students are the least common, accounting for 2.6% of the total sample size. This is consistent with the fact that the Xinjiang University Boda campus consists largely of engineering majors, followed by science majors. The largest number of respondents are currently undergraduate students, accounting for 78.2% of the total sample size, and the proportion of students who are postgraduates and above is 21.8%. The proportion of undergraduate students is the highest. The survey results are similar to the actual distribution of the campus. The number of respondents who have not experienced a fire is the highest, accounting for 90.0% of the total sample, while the number of people who have experienced fires is relatively small. The number of people who have attended fire safety training or drills four or more times is the highest, accounting for 57.0% of the total sample size, followed by the number of people who have attended two or three times, accounting for 31.7% of the sample. This is related to the regular fire safety lectures or drills held by schools. The number of people who go to the library 1–2 times per week is the highest, followed by those who go to the library ≥5 times per week. The number of people familiar with the evacuation signs in the library is relatively high, accounting for 63.4% of the total survey sample. From the above analysis, it can be seen that this sampling survey is representative of the campus population.
3.3. Reliability and Validity Analysis
The stability and reliability of questionnaires and collected data are the foundation of data analysis. Cronbach’s Alpha and KMO (Kaiser–Meyer–Olkin) values were adopted to analyze the reliability and validity of the sample’s data. The criterion for the test is that values exceed 0.5. Following the initial data screening, internal consistency was further examined using the Average Variance Extracted (AVE), while convergent validity was assessed through Composite Reliability (CR). The analyzed results of the stability and reliability of the questionnaires are shown in the table below.
From Table 4, it can be seen that the Cronbach’s Alpha values of the six latent psychological variables in this study range from 0.64 to 0.86, all greater than 0.5, indicating that the overall reliability of questionnaires is good [38]. The KMO values are all greater than 0.5, meeting the demands of validity. Research has shown that results are ideal when AVE > 0.5 and CR > 0.6 [39]. The CR values of the latent psychological variables used in this study are all greater than 0.6, the AVE value of inertia psychology is 0.43, and the AVE values of the other latent variables are all greater than 0.5. Specific results are shown in Table 4, indicating the good internal consistency between latent variables and their high convergence validity. In this study, the above indicators should be considered comprehensively. It can be seen that the reliability and validity of the questionnaires are good. The obtained data have confirmed credibility and can be used for subsequent analyses.
Table 4.
Reliability and validity of questionnaires.
4. Results
4.1. Calculation of Adaptive Values of Latent Variables
This study utilized IBM SPSS Statistics and AMOS to analyze the collected data [40], since they are widely used in SEM and data analysis [41]. Latent psychological variables that are difficult to measure directly in SEM need to be represented by observed variables. To evaluate the matching degree between recycled data and the model, AMOS 23.0 software was adopted for the confirmatory factor analysis of the selected evaluation indicators, including the chi-square ratio degree of freedom χ2/df, root mean square residual (RMR), root mean square error of approximation (RMSEA), goodness-of-fit index (GFI), adjusted goodness-of-fit index (AGFI), and comparative goodness-of-fit index. The output results are shown in Table 5.
Table 5.
Model fitness indexes.
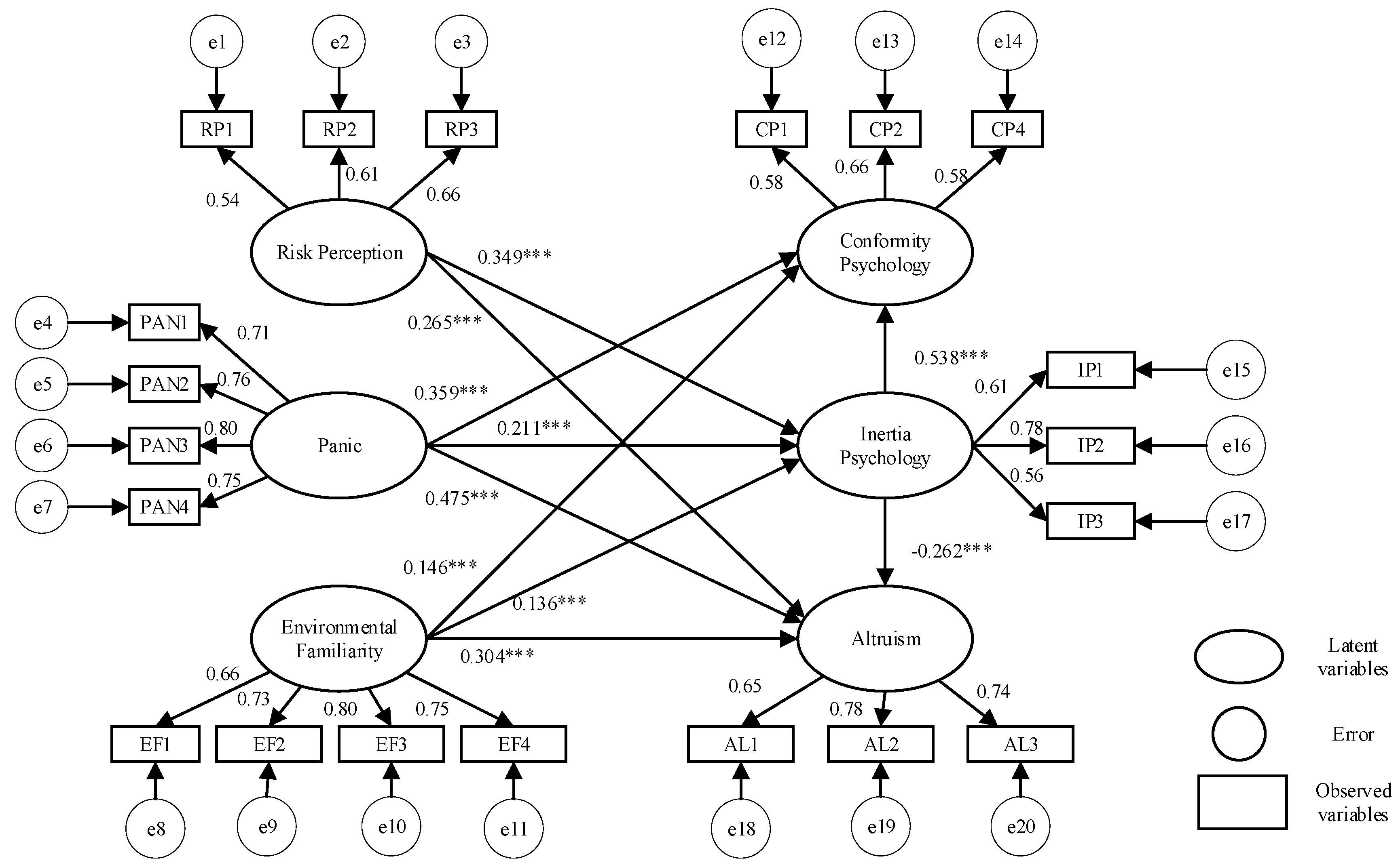
From the above table, it can be seen that the major adaptation indicators are all within the recommended range, indicating that the overall fitting effect of the SEM is good. The estimated results of the complete constructed model, which includes the structural model and the measurement model, are shown in the following Figure 2.
Figure 2.
Structural equation model diagram. Note: *** indicates that p < 0.01.
According to the standardized estimation results in the above figure, the adaptive value of each latent psychological variable can be calculated. The calculation formula is as follows. The calculation results can lay a foundation for the following construction of the HCM:
Based on the expressions of the adaptive values of the latent evacuation psychological variables, the corresponding values of the latent evacuation psychological variables in each questionnaire can be calculated. The definition and specific assignment of each variable assessed in the questionnaires are shown in Table 6.
Table 6.
Variable definition and naming.
4.2. Model Parameter Calibration
Before the model’s estimation, it is necessary to perform a variable correlation analysis to verify the robustness of the model. The correlations among variables are shown in Table 7. The correlation thresholds for variable selection are less than 0.2 [42] in most cases. From the table, it can be seen that route length has high correlation coefficients with emergency lighting, congestion level, and route decisions. To avoid excessive variance in parameter estimation affecting model accuracy, this factor should be excluded during modeling, while the other variables should be comprehensively considered [12].
Table 7.
Correlation matrix.
By introducing the adaptive values of the latent psychological variables into the discrete choice model as new explanatory variables and using Python programming to calibrate parameters such as personal socio-economic attributes, route attributes, and latent variables, this paper builds an ML model irrespective of these latent variables and an HCM that considers these latent variables. In terms of their parameter setting, each route has corresponding attribute parameters. Given the diverse subjective feelings of evacuating individuals about different evacuation routes and attribute parameters (route attribute parameters), the route length and evacuation time are set as random coefficients and subject to a normal distribution, by referring to Hess [43], to fulfill the consideration of heterogeneity among evacuating individuals. Additionally, since evacuees’ preferences for routes vary with their socio-economic characteristics, to obtain the route decision preferences of evacuees with different personal attributes, the attributes of gender, major, current grade, experience with fires, number of fire training or drills completed, frequency of going to the library, and familiarity with evacuation signs in the library are set as fixed coefficients. The parameters for emergency lighting and congestion level in route choice model are, finally, specified as random coefficients. In response to the diverse choices of evacuees about route decisions during fire emergencies [36], the shortest route, Route 1, is set as the control group, and the explanatory variables that have significant effects on evacuation selection behaviors are kept. Route 2 is the evacuation route with good emergency lighting and Route 3 is the unimpeded or least crowded evacuation route. The final results of the parameter calibration of the model are shown in Table 8.
Table 8.
Model estimation results.
It can be seen from the above table that the logarithmic likelihood function of the HCM is greater than that of ML, the fitting degree of the HCM is better than that of ML, and the pseudo R2 of the HCM is 50% higher than that of ML, indicating that latent variables have significant impacts on evacuees’ route selections [44]. The estimated parameters are analyzed and explained, based on the estimation results of the HCM, in the following paragraphs.
Some latent psychological variables of the evacuees have significant impacts on their selection of evacuation routes, and to varying degrees. Non-adaptive conformity psychology has a significant negative impact on evacuees’ route selection behaviors, indicating that the stronger the evacuees’ psychology of following others during an evacuation, the less they tend to choose the longer Routes 2 and 3. Evacuees believe that the shortest route is safer, which can be explained by the dependent model proposed by Sime [34]. Lacking emergency evacuation information in case of a sudden fire, evacuees hold the same escape volition as the evacuation group and choose to follow. Evacuees are often attracted to familiar people and indiscriminately follow them to escape. This model assumes that the evacuation group always chooses the shortest evacuation route in emergency situations. Altruistic adaptive evacuation psychology has a significant negative impact on the longest evacuation route choice, indicating that the stronger the tendency of evacuees to offer assistance to those trapped during the evacuation, the less inclined they are to choose the longest evacuation route. This may be because the helpers’ evacuation speed is slowed down by trapped evacuees, and the helpers believe that a short route can lead to escape during route decisions. Environmental familiarity has a significant positive impact on the route selections of evacuees, indicating that the more familiar they are with the library’s evacuation environment, the more they lean towards the bright evacuation route, Route 2. The reason for the phototaxis of evacuees who are familiar with the library’s environment may be that they trust the emergency lighting system in fires. Considering the smoke-filled evacuation environment and restricted visibility during fires, they believe that the higher the lighting intensity, the safer it may be.
Previous studies have shown that even evacuation groups with the same attributes have differences in their evacuation preferences [45]. In terms of the personal socio-economic attributes of evacuees, compared to males, females are more inclined to choose the longer but more unimpeded Route 3 when evacuating. The reason may be that females have a more conservative personality and less decisive and risk-taking psychologies than males [46]. They believe that a smooth route can help them quickly escape from a dangerous fire environment. Although the route is longer, it is safer. Compared to liberal arts students, evacuees who are science and engineering majors believe that choosing the unimpeded Route 3 will achieve greater effectiveness during evacuation. Students in lower grades exhibit strong phototaxis during the evacuation, and they tend to choose Route 2, with its higher lighting intensity, when making evacuation decisions. Evacuees who have experienced fires tend to choose unobstructed evacuation routes with good emergency lighting. The reason may be that experienced evacuees believe that choosing the shortest route in a fire environment is not necessarily safe; conversely, choosing good emergency lighting and clear routes gives them a higher probability of escaping. Evacuees with different frequencies of going to the library have diverse preferences when choosing evacuation routes. Overall, they manifest obvious “phototaxis.” In terms of evacuation route attributes, the emergency lighting intensity and congestion degree of routes have significant positive impacts on their selection of evacuation routes, indicating that the higher the emergency lighting intensity and the smoother the route, the stronger the preference for such routes. The rejection of the shortest route means that evacuees make route decisions according to the actual situation during an evacuation rather than mindlessly choosing the shortest route. Moreover, the degree of congestion of these routes has a greater impact on evacuation decisions than the intensity of emergency lighting, indicating that, compared to the intensity of lighting, the degree of the congestion of routes during emergent evacuation is the primary factor considered when evacuees make evacuation decisions. The standard deviation of the models implies remarkable differences in the evacuees’ preferences towards the explanatory variables of congestion degree and emergency lighting, representing the heterogeneity among evacuating individuals with different socio-economic attributes.
5. Conclusions
Based on actual survey data from the library on the Boda campus of Xinjiang University, China, this paper analyzes the combined action of directly observable factors, such as personal socio-economic attributes and route attributes, and evacuation psychologies that are difficult to be directly observe on evacuation route behavior decisions. An ML model, irrespective of latent evacuation psychological variables, and an HCM, considering latent evacuation psychological variables, are constructed to deeply analyze the internal formation mechanism of evacuation route decisions in the case of library fires. Our specific conclusions are as follows:
- (1)
- Evacuation route decision-making behaviors are influenced by multiple factors. Considering non-adaptive and adaptive evacuation psychologies can enhance the fitting degree and the accuracy of models to a certain extent and these psychologies have high explanatory power for the evacuation route selection behaviors seen in library fires.
- (2)
- In the HCM, individuals’ socio-economic attributes have varying impacts on evacuation route decisions. The emergency lighting and congestion degree of the evacuation routes have significant impacts on the route decisions of evacuees during fires, and the congestion degree of the routes has a greater impact than the intensity of the emergency lighting. The stronger the non-adaptive conformity psychology and adaptive altruistic psychology that evacuees have during their evacuation, the more they tend to choose the shortest route. The higher the environmental familiarity of evacuees, the more inclined they are to choose bright evacuation routes.
Based on the above conclusions, the following inferences can be drawn:
- (1)
- When evacuating during fires, diffused smoke limits evacuees’ visibility. Choosing an evacuation route with good emergency lighting can achieve a certain amount of escape effectiveness. Therefore, since female evacuees prefer unimpeded routes, they should be paid attention to during evacuation and guided to choose bright evacuation routes based on the evacuation situation. Additionally, evacuees majoring in science and engineering, and those in lower grades with the typical characteristics of the population, should have their fire knowledge training strengthened to avoid the uneven route utilization caused by these evacuees choosing evacuation routes dominated by a single factor.
- (2)
- The degree of congestion of evacuation routes is the primary concern for evacuees when making decisions. To prevent them unanimously selecting unimpeded routes and causing more congestion during evacuation decisions, it is necessary to increase the emergency lighting level of evacuation routes based on the established minimum illumination for evacuation [46] and scientifically plan and guide evacuation decisions.
- (3)
- To prevent the non-adaptive and adaptive evacuation psychologies of evacuees during fire emergencies from promoting choosing the shortest route and hindering evacuation due to congestion, it is essential to actively organize fire drills and ensure that evacuees calm down in emergent fire situations, realize that the shortest route is not necessarily safe, and reasonably use escape routes to improve evacuation efficiency.
This article analyzes the impacts of latent psychological variables on evacuation route decisions during library fires. Based on this, future research can make thorough inquiries into other adaptive and non-adaptive psychologies that affect evacuation behaviors. However, the behavior selection models constructed in this article did not take into account the impact of the dynamic development of fires on behavioral decisions, which could be explored in future studies.
Author Contributions
Conceptualization, L.W.; methodology, L.W.; software, S.L.; validation, S.L. and Z.Z.; formal analysis, S.L.; investigation, Z.Z. and J.W.; resources, L.W.; data curation, Z.Z.; writing—original draft preparation, L.W.; writing—review and editing, L.W.; visualization, J.W.; supervision, L.W. and J.W.; project administration, L.W.; funding acquisition, L.W. All authors have read and agreed to the published version of the manuscript.
Funding
This research was funded by the National Natural Science Foundation of China, grant number 71861032, and the Natural Science Foundation of Xinjiang Uygur Autonomous Region of China, grant number 2022D01C395.
Institutional Review Board Statement
Not applicable.
Informed Consent Statement
Informed consent was obtained from all subjects involved in the study.
Data Availability Statement
The data presented in this study are available on request from the corresponding author.
Conflicts of Interest
The authors declare no conflicts of interest.
References
- Chixiang, M.; Baotie, S.; Shimei, S.; Hui, L. Analysis of Performance-based Fire Safety Evacuation in A College Library. Procedia Eng. 2012, 43, 399–406. [Google Scholar] [CrossRef]
- Nayak, N.; Subramanian, L.P. Fuel loads and their composition, and compartment characteristics in educational, office and library buildings. Fire Mater. 2024, 48, 208–221. [Google Scholar] [CrossRef]
- Ozel, F. Time pressure and stress as a factor during emergency egress. Saf. Sci. 2001, 38, 95–107. [Google Scholar] [CrossRef]
- Wang, X.; Mohcine, C.; Chen, J.; Li, R.; Ma, J. Modeling boundedly rational route choice in crowd evacuation processes. Saf. Sci. 2022, 147, 105590. [Google Scholar] [CrossRef]
- MoussaÃ, M.; Helbing, D.; Theraulaz, G. How simple rules determine pedestrian behavior and crowd disasters. Proc. Natl. Acad. Sci. USA 2011, 108, 6884–6888. [Google Scholar] [CrossRef]
- Drabek, T.E. Variations in disaster evacuation behavior: Public responses versus private sector executive decision-making processes. Disasters 1992, 16, 104–118. [Google Scholar] [CrossRef]
- Mccaffrey, S. Understanding homeowner preparation and intended actions when threatened by a wildfire. In Proceedings of the Second Conference on the Human Dimensions of Wildland Fire Gen. Tech. Rep. NRS-P-84, Newtown Square, PA, USA, 27–29 April 2010; McCaffrey, S.M., Cherie LeBlanc, F., Eds.; Department of Agriculture, Forest Service, Northern Research Station: Newtown Square, PA, USA, 2011; pp. 88–95. [Google Scholar]
- Murray-Tuite, P.; Yin, W.; Ukkusuri, S.V.; Gladwin, H. Changes in Evacuation Decisions between Hurricanes Ivan and Katrina. Transp. Res. Rec. 2012, 2312, 98–107. [Google Scholar] [CrossRef]
- Wong, S.; Shaheen, S.; Walker, J. Understanding Evacuee Behavior: A Case Study of Hurricane Irma. In Institute of Transportation Studies, Research Reports, Working Papers, Proceedings; UC Berkeley: Berkeley, CA, USA, 2018. [Google Scholar]
- Akbarzadeh, M.; Wilmot, C. Time-Dependent Route Choice in Hurricane Evacuation. Nat. Hazards Rev. 2015, 16, 04014021. [Google Scholar] [CrossRef]
- Song, X.B.; Lovreglio, R. Investigating personalized exit choice behavior in fire accidents using the hierarchical Bayes estimator of the random coefficient logit model. Anal. Methods Accid. Res. 2021, 29, 100140. [Google Scholar] [CrossRef]
- Chang, D.; Edara, P.; Murray-Tuite, P.; Trainor, J.; Triantis, K. Taking the freeway: Inferring evacuee route selection from survey data. Transp. Res. Interdiscip. Perspect. 2021, 11, 100421. [Google Scholar] [CrossRef]
- Lovreglio, R.; Fonzone, A.; Olio, L.D. A mixed logit model for predicting exit choice during building evacuations. Transp. Res. Part A Policy Pract. 2016, 92, 59–75. [Google Scholar] [CrossRef]
- Aleksandrov, M.; Rajabifard, A.; Kalantari, M.; Lovreglio, R.; González, V.A. People Choice Modelling for Evacuation of Tall Buildings. Fire Technol. 2018, 54, 1171–1193. [Google Scholar] [CrossRef]
- Cheng, G.; Wilmot, C.G.; Baker, E.J. Baker A destination choice model for hurricane evacuation. In Proceedings of the 87th Annual Meeting Transportation Research Board, Washington, DC, USA, 13–17 January 2008. [Google Scholar]
- Ronchi, E.; Corbetta, A.; Galea, E.R.; Kinateder, M.; Kuligowski, E.; McGrath, D.; Pel, A.; Shiban, Y.; Thompson, P.; Toschi, F. New approaches to evacuation modelling for fire safety engineering applications. Fire Saf. J. 2019, 106, 197–209. [Google Scholar] [CrossRef]
- Hoogendoorn, M.; Treur, J.; van der Wal, C.N.; van Wissen, A. An Agent-Based Model for the Interplay of Information and Emotion in Social Diffusion. In Proceedings of the 2010 IEEE/WIC/ACM International Conference on Web Intelligence and Intelligent Agent Technology, Toronto, ON, Canada, 31 August–3 September 2010; IEEE Computer Society: Washington, DC, USA. [Google Scholar]
- Boonngam, H.; Patvichaichod, S. Fire evacuation and patient assistance simulation in a large hospital building. IOP Conf. Ser. Mater. Sci. Eng. 2020, 715, 12004. [Google Scholar] [CrossRef]
- Farr, A.C.; Mengersen, K. Wayfinding: A simple concept, a complex process. Transp. Rev. A Transnatl. Transdiscipl. J. 2012, 32, 715–743. [Google Scholar] [CrossRef]
- Schreiber, J.B.; Nora, A.; Stage, F.K.; Barlow, E.A.; King, J. Reporting Structural Equation Modeling and Confirmatory Factor Analysis Results: A Review. J. Educ. Res. 2006, 99, 323–338. [Google Scholar] [CrossRef]
- Bollen, K.A.; Tueller, S.J.; Oberski, D. Issues in the Structural Equation Modeling of Complex Survey Data. In Proceedings of the 59th ISI World Statistics Congress, Hong Kong, China, 25–30 August 2013; pp. 1235–1240, ISBN 9788578110796. [Google Scholar]
- Sopha, B.M.; Asih, A.M.S.; Ilmia, D.G.; Yuniarto, H.A. In Proceedings of the Knowledge Engineering: Exploring Evacuation Behavior during Volcanic Disaster, Singapore, 10–13 December 2017; IEEE: Piscataway, NJ, USA, 2017.
- Tian, Y.M. Study on Non-adaptive Behaviors in Crowd Evacuation. J. Catastrophol. 2006, 21, 114–120. [Google Scholar]
- Sugiura, M.; Nouchi, R.; Honda, A.; Sato, S.; Abe, T.; Imamura, F. Survival-oriented personality factors are associated with various types of social support in an emergency disaster situation. PLoS ONE 2020, 15, e0228875. [Google Scholar] [CrossRef]
- Sood, S.; Rawat, K. A fog assisted intelligent framework based on cyber physical system for safe evacuation in panic situations. Comput. Commun. 2021, 178, 297–306. [Google Scholar] [CrossRef]
- Liu, M.; Zheng, X.; Cheng, Y. Determining the effective distance of emergency evacuation signs. Fire Saf. J. 2011, 46, 364–369. [Google Scholar] [CrossRef]
- Slovic, P. Perception of risk. Science 1987, 236, 280–285. [Google Scholar] [CrossRef]
- Sime, J.D. An occupant response shelter escape time (ORSET) model. Saf. Sci. 2001, 38, 109–125. [Google Scholar] [CrossRef]
- Kinateder, M.T.; Kuligowski, E.D.; A Reneke, P.; Peacock, R.D. Risk perception in fire evacuation behavior revisited: Definitions, related concepts, and empirical evidence. Fire Sci. Rev. 2015, 4, 1. [Google Scholar] [CrossRef]
- Sime, J.D. Affiliative behaviour during escape to building exits. J. Environ. Psychol. 1983, 3, 21–41. [Google Scholar] [CrossRef]
- Kinateder, M.; Comunale, B.; Warren, W. Effects of familiarity and neighbor behavior on visually-guided exit choice in an emergency. J. Vis. 2016, 16, 1369. [Google Scholar] [CrossRef]
- Ben-Akiva, M.; McFadden, D.; Train, K.; Walker, J.; Bhat, C.; Bierlaire, M.; Bolduc, D.; Boersch-Supan, A.; Brownstone, D.; Bunch, D.S.; et al. Hybrid Choice Models: Progress and Challenges. Mark. Lett. 2002, 13, 163–175. [Google Scholar] [CrossRef]
- Ben-Akiva, M.; Mcfadden, D.; Train, K.; Walker, J.; Bhat, C.; Bierlaire, M.; Bolduc, D.; Boersch-Supan, A.; Brownstone, D.; Bunch, D.S.; et al. Simulation of Evacuation and Study on Escape Behavior in Fire Emergencies in High-rise Student Dormitories. Fire Sci. Technol. 2013, 32, 15–18. [Google Scholar]
- Sime, J.D. Movement toward the Familiar: Person and Place Affiliation in a Fire Entrapment Setting. Environ. Behav. 1985, 17, 697–724. [Google Scholar] [CrossRef]
- Lovreglio, R.; Ronchi, E.; Nilsson, D. A Mixed-Ordered Approach to Investigate Correlations Among Different Affordances in Fire Evacuation. In Proceedings of the Human Behaviour in Fire Proceedings of the 6th International Symposium, Cambridge, UK, 28–30 September 2015. [Google Scholar]
- Lovreglio, R.; Dillies, E.; Kuligowski, E.; Rahouti, A.; Haghani, M. Investigating Exit Choice in Built Environment Evacuation combining Immersive Virtual Reality and Discrete Choice Modelling. arXiv 2021, arXiv:2110.11577. [Google Scholar]
- WH 0502-1996; Technical Standards for Fire Safety in Public Library Building. Department of Science and Technology Education: Beijing, China, 1996.
- Nunnally, J.; New, M.G. Psychometric Theory; My Publications: New York, NY, USA, 1978. [Google Scholar]
- Chen, J. Research on Theory and Application of Travel Behavior and Urban Public Transit Pricing; Southwest Jiaotong University: Chengdu, China, 2012. [Google Scholar]
- Hair, J.F.; Gabriel, M.; Patel, V. AMOS covariance-based structural equation modeling (CB-SEM): Guidelines on its application as a marketing research tool. Braz. J. Mark. 2014, 13, 44–55. [Google Scholar]
- Zhang, Y.; He, L. Research on the Characteristics and Influencing Factors of Community Residents’ Night Evacuation Behavior Based on Structural Equation Model. Sustainability 2022, 14, 12804. [Google Scholar] [CrossRef]
- Mukaka, M.M. Statistics corner: A guide to appropriate use of correlation coefficient in medical research. Malawi Med. J. 2012, 24, 69–71. [Google Scholar] [PubMed]
- Hess, S. Posterior analysis of random taste coefficients in air travel behaviour modelling. J. Air Transp. Manag. 2007, 13, 203–212. [Google Scholar] [CrossRef]
- Hosmer, D.W.; Lemeshow, S. Assessing the Fit of the Model. In Applied Logistic Regression; John Wiley & Sons: Hoboken, NJ, USA.
- Lovreglio, R.; Kuligowski, E.; Walpole, E.; Link, E.; Gwynne, S. Calibrating the Wildfire Decision Model using hybrid choice modelling. Int. J. Disaster Risk Reduct. 2020, 50, 101770. [Google Scholar] [CrossRef]
- Xiao-Xia, G.E.; Dong, W.; Jin, H.Y. Study on the Social Psychology and Behaviors in a Subway Evacuation Drill in China; Elsevier Ltd.: Amsterdam, The Netherlands, 2011. [Google Scholar]
Disclaimer/Publisher’s Note: The statements, opinions and data contained in all publications are solely those of the individual author(s) and contributor(s) and not of MDPI and/or the editor(s). MDPI and/or the editor(s) disclaim responsibility for any injury to people or property resulting from any ideas, methods, instructions or products referred to in the content. |
© 2024 by the authors. Licensee MDPI, Basel, Switzerland. This article is an open access article distributed under the terms and conditions of the Creative Commons Attribution (CC BY) license (https://creativecommons.org/licenses/by/4.0/).

