From Conflict to Coexistence: Integrated Landscape Optimization for Sustainable Tourism in Urban Tourism Areas
Abstract
1. Introduction
2. Materials and Methods
2.1. Research Area and Data Sources
2.2. Research Framework
2.3. Ecological Sensitivity Evaluation Model
2.4. Landscape Pattern Analysis
3. Results and Analysis
3.1. Evaluation of Ecological Sensitivity
3.1.1. Terrain Conditions
3.1.2. Natural Conditions
3.1.3. Tourism Resource and Human Activities
3.1.4. Comprehensive Evaluation
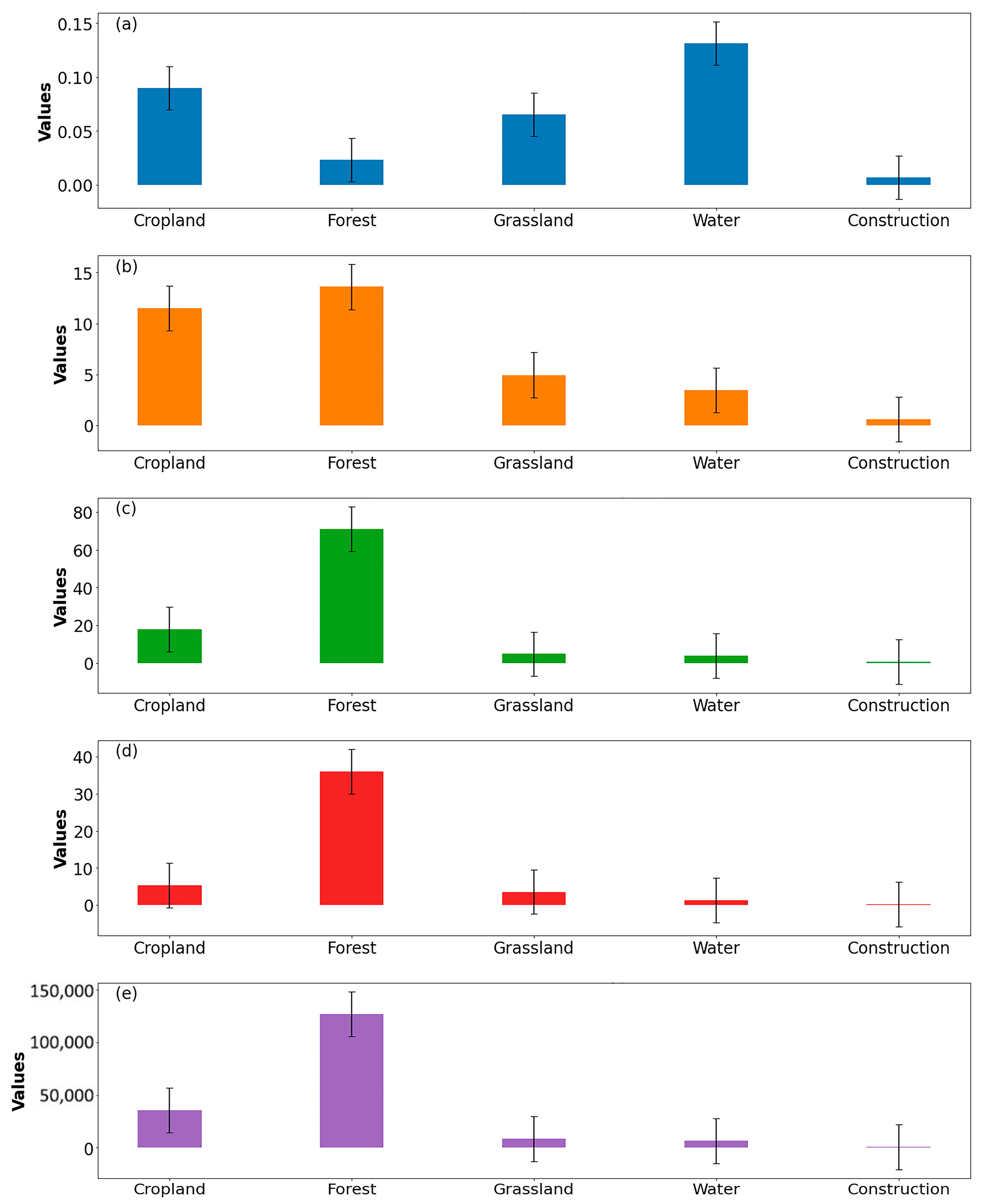
3.2. Multi-Scale Landscape Pattern Analysis
3.3. Landscape Pattern Optimization
3.3.1. Zoning Optimization
3.3.2. Classification Optimization
4. Discussion
5. Conclusions
Author Contributions
Funding
Institutional Review Board Statement
Informed Consent Statement
Data Availability Statement
Acknowledgments
Conflicts of Interest
References
- Zhang, Q.; Lu, L.; Huang, J.; Zhang, X. Uneven Development and Tourism Gentrification in the Metropolitan Fringe: A Case Study of Wuzhen Xizha in Zhejiang Province, China. Cities 2022, 121, 103476. [Google Scholar] [CrossRef]
- Baños-Pino, J.F.; Zapico, E.; Mayor, M.; Balado-Naves, R. The Design of an Eco-Tax on Tourism Waste for Sustainable Destinations, Based on Environmental Efficiency and Spatial Dependence. J. Sustain. Tour. 2024, 1, 23. [Google Scholar] [CrossRef]
- McPhearson, T.; Cook, E.M.; Berbés-Blázquez, M.; Cheng, C.; Grimm, N.B.; Andersson, E.; Barbosa, O.; Chandler, D.G.; Chang, H.; Chester, M.V.; et al. A Social-Ecological-Technological Systems Framework for Urban Ecosystem Services. One Earth 2022, 5, 505–518. [Google Scholar] [CrossRef]
- Iliopoulou-Georgudaki, J.; Theodoropoulos, C.; Konstantinopoulos, P.; Georgoudaki, E. Sustainable Tourism Development Including the Enhancement of Cultural Heritage in the City of Nafpaktos—Western Greece. Int. J. Sustain. Dev. World Ecol. 2017, 24, 224–235. [Google Scholar] [CrossRef]
- Chen, L.; Yang, H.; Huang, H.; Chang, M.; Wang, X.; Han, D.; Liu, S.; Xiao, Y.; Yao, D.; Xiang, X.; et al. How Do Natural and Socio-Economic Factors Influence the Sustainable Development of the Ecological Environment in the World Natural Heritage Sites? Evidence from the Jiuzhaigou, China. J. Clean. Prod. 2023, 428, 139238. [Google Scholar] [CrossRef]
- Skiniti, G.; Lilli, M.; Skarakis, N.; Tournaki, S.; Nikolaidis, N.; Tsoutsos, T. A Holistic Approach for Tourism Carrying Capacity Estimation in Sensitive Ecological Areas. Environ. Dev. Sustain. 2024, 26, 31971–31995. [Google Scholar] [CrossRef]
- Kauark-Fontes, B.; Marchetti, L.; Salbitano, F. Integration of Nature-Based Solutions (NBS) in Local Policy and Planning toward Transformative Change. Evidence from Barcelona, Lisbon, and Turin. Ecol. Soc. 2023, 28, 25. [Google Scholar] [CrossRef]
- Xu, W.; Wang, J.; Zhang, M.; Li, S. Construction of Landscape Ecological Network Based on Landscape Ecological Risk Assessment in a Large-Scale Opencast Coal Mine Area. J. Clean. Prod. 2021, 286, 125523. [Google Scholar] [CrossRef]
- Kato, S.; Motobe, A. Landscape Metric Sensitivity to Grain Size in Rural Japan. Landsc. Ecol. Eng. 2024, 20, 285–298. [Google Scholar] [CrossRef]
- Burpee, B.T.; Saros, J.E.; Nanus, L.; Baron, J.; Brahney, J.; Christianson, K.R.; Ganz, T.; Heard, A.; Hundey, B.; Koinig, K.A.; et al. Identifying Factors That Affect Mountain Lake Sensitivity to Atmospheric Nitrogen Deposition across Multiple Scales. Water Res. 2022, 209, 117883. [Google Scholar] [CrossRef] [PubMed]
- Kim, M.; Holifield, R. Touristification, Commercial Gentrification, and Experiences of Displacement in a Disadvantaged Neighborhood in Busan, South Korea. J. Urban Aff. 2024, 46, 509–527. [Google Scholar] [CrossRef]
- Ivars-Baidal, J.A.; Vera-Rebollo, J.F.; Perles-Ribes, J.; Femenia-Serra, F.; Celdrán-Bernabeu, M.A. Sustainable Tourism Indicators: What’s New within the Smart City/Destination Approach? J. Sustain. Tour. 2023, 31, 1556–1582. [Google Scholar] [CrossRef]
- Devi, A.R.; Shimrah, T. Assessment of Land Use and Land Cover and Forest Fragmentation in Traditional Landscape in Manipur, Northeast India. Int. J. Environ. Sci. Technol. 2022, 19, 10291–10306. [Google Scholar] [CrossRef]
- Tang, X.; Wu, Y.; Ye, J.; Lv, H.; Sun, F.; Huang, Q. Ecotourism Risk Assessment in Yaoluoping Nature Reserve, Anhui, China Based on GIS. Environ. Earth Sci. 2022, 81, 204. [Google Scholar] [CrossRef]
- Mu, Y.; Xiong, K.; Zhai, Q.; Xie, Q. Progress in Regulating Ecosystem Services Research: An Implication for the Karst World Heritage Sites. Npj Herit. Sci. 2025, 13, 120. [Google Scholar] [CrossRef]
- Chen, J.; Wang, S.; Zou, Y. Construction of an Ecological Security Pattern Based on Ecosystem Sensitivity and the Importance of Ecological Services: A Case Study of the Guanzhong Plain Urban Agglomeration, China. Ecol. Indic. 2022, 136, 108688. [Google Scholar] [CrossRef]
- Qiao, E. Evaluation of Landscape Ecological Security Pattern via the “Pattern-Function-Stability” Framework in the Guanzhong Plain Urban Agglomeration of China. Ecol. Indic. 2024, 166, 112325. [Google Scholar] [CrossRef]
- Liu, X.; Su, Y.; Li, Z.; Zhang, S. Constructing Ecological Security Patterns Based on Ecosystem Services Trade-Offs and Ecological Sensitivity: A Case Study of Shenzhen Metropolitan Area, China. Ecol. Indic. 2023, 154, 110626. [Google Scholar] [CrossRef]
- Xu, Y.; Liu, R.; Xue, C.; Xia, Z. Ecological Sensitivity Evaluation and Explanatory Power Analysis of the Giant Panda National Park in China. Ecol. Indic. 2023, 146, 109792. [Google Scholar] [CrossRef]
- Kang, J.; Zhang, X.; Zhu, X.; Zhang, B. Ecological Security Pattern: A New Idea for Balancing Regional Development and Ecological Protection. A Case Study of the Jiaodong Peninsula, China. Glob. Ecol. Conserv. 2021, 26, e01472. [Google Scholar] [CrossRef]
- Zhang, Y.; Zhao, Z.; Fu, B.; Ma, R.; Yang, Y.; Lü, Y.; Wu, X. Identifying Ecological Security Patterns Based on the Supply, Demand and Sensitivity of Ecosystem Service: A Case Study in the Yellow River Basin, China. J. Environ. Manag. 2022, 315, 115158. [Google Scholar] [CrossRef]
- Ghosh, S.; Das Chatterjee, N.; Dinda, S. Urban Ecological Security Assessment and Forecasting Using Integrated DEMATEL-ANP and CA-Markov Models: A Case Study on Kolkata Metropolitan Area, India. Sustain. Cities Soc. 2021, 68, 102773. [Google Scholar] [CrossRef]
- Kong, X.; Han, M.; Li, Y.; Kong, F.; Sun, J.; Zhu, W.; Wei, F. Spatial Differentiation and Formation Mechanism of Ecological Sensitivity in Large River Basins: A Case Study of the Yellow River Basin, China. Ecol. Indic. 2024, 158, 111571. [Google Scholar] [CrossRef]
- Cheng, L.; Li, M.; Wang, Y.; Han, Q.; Hao, Y.; Qiao, Z.; Zhang, W.; Qiu, L.; Gong, A.; Zhang, Z.; et al. Transcriptome-Based Variations Effectively Untangling the Intraspecific Relationships and Selection Signals in Xinyang Maojian Tea Population. Front. Plant Sci. 2023, 14, 1114284. [Google Scholar] [CrossRef]
- Gao, H.; Wang, Y.; Wang, S. Basic Principles and Applications of Ecological Design for Public Buildings in Mountainous Areas: A Case Study of the Shihe District, Xinyang. J. Mt. Sci. 2018, 36, 441–451. [Google Scholar] [CrossRef]
- Chen, B.; Liu, X.; Liu, J. Construction and Optimization of Ecological Security Patterns in Chinese Black Soil Areas Considering Ecological Importance and Vulnerability. Sci. Rep. 2025, 15, 12142. [Google Scholar] [CrossRef]
- Liu, T.; Peng, X.; Li, J. Evaluation of Ecological Sensitivity and Spatial Correlation Analysis of Landscape Patterns in Sanjiangyuan National Park. Sustainability 2024, 16, 5294. [Google Scholar] [CrossRef]
- Bai, J.; Wang, X.; Tu, Y.; Zhou, J.; Wang, X.; Yao, W.; Sun, Z. Integration of Ecosystem Service Composite Index and Driving Thresholds for Ecological Zoning Management: A Case Study of Qinling-Daba Mountain, China. J. Environ. Manag. 2025, 384, 125309. [Google Scholar] [CrossRef] [PubMed]
- Bai, J.; Sun, R.; Liu, Y.; Chen, J.; Li, X. Integrating Ecological and Recreational Functions to Optimize Ecological Security Pattern in Fuzhou City. Sci. Rep. 2025, 15, 778. [Google Scholar] [CrossRef]
- Hu, X.; Ma, C.; Huang, P.; Guo, X. Ecological Vulnerability Assessment Based on AHP-PSR Method and Analysis of Its Single Parameter Sensitivity and Spatial Autocorrelation for Ecological Protection—A Case of Weifang City, China. Ecol. Indic. 2021, 125, 107464. [Google Scholar] [CrossRef]
- Wei, G.; Yang, Z.; Liang, C.; Yang, X.; Zhang, S. Urban Lake Scenic Protected Area Zoning Based on Ecological Sensitivity Analysis and Remote Sensing: A Case Study of Chaohu Lake Basin, China. Sustainability 2022, 14, 13155. [Google Scholar] [CrossRef]
- Cheng, Z.; Aakala, T.; Larjavaara, M. Elevation, Aspect, and Slope Influence Woody Vegetation Structure and Composition but Not Species Richness in a Human-Influenced Landscape in Northwestern Yunnan, China. Front. For. Glob. Change 2023, 6, 1187724. [Google Scholar] [CrossRef]
- Feng, Z.; Jin, X.; Chen, T.; Wu, J. Understanding Trade-Offs and Synergies of Ecosystem Services to Support the Decision-Making in the Beijing–Tianjin–Hebei Region. Land Use Policy 2021, 106, 105446. [Google Scholar] [CrossRef]
- Xu, H.; Zhang, Z.; Yu, X.; Li, T.; Chen, Z. The Construction of an Ecological Security Pattern Based on the Comprehensive Evaluation of the Importance of Ecosystem Service and Ecological Sensitivity: A Case of Yangxin County, Hubei Province. Front. Environ. Sci. 2023, 11, 1154166. [Google Scholar] [CrossRef]
- Chand, S.; Singh, S.; Parappurathu, S.; Roy, S.D.; Kumar, A. Explaining the Status and Scope of Ecotourism Development for Livelihood Security: Andaman and Nicobar Islands, India. Int. J. Sustain. Dev. World Ecol. 2015, 22, 335–345. [Google Scholar] [CrossRef]
- Wang, X.; Lu, B.; Li, J.; Liu, Q.; He, L.; Lv, S.; Yu, S. Spatio-Temporal Analysis of Ecological Service Value Driven by Land Use Changes: A Case Study with Danjiangkou, Hubei Section. Resour. Environ. Sustain. 2024, 15, 100146. [Google Scholar] [CrossRef]
- Gao, P.; Wang, X.; Wang, H.; Cheng, C. Viewpoint: A Correction to the Entropy Weight Coefficient Method by Shen et al. for Accessing Urban Sustainability [Cities 42 (2015) 186–194]. Cities 2020, 103, 102742. [Google Scholar] [CrossRef]
- Kim, B.-C. Dependence Modeling for Large-Scale Project Cost and Time Risk Assessment: Additive Risk Factor Approaches. IEEE Trans. Eng. Manag. 2023, 70, 417–436. [Google Scholar] [CrossRef]
- Cho, J.S.; White, H. Testing for Regime Switching. Econometrica 2007, 75, 1671–1720. [Google Scholar] [CrossRef]
- Wu, D.; Chen, D.; Tang, L.; Shao, G. A Comprehensive Assessment of Ecological Sensitivity for a Coal-Fired Power Plant in Xilingol, Inner Mongolia. Int. J. Sustain. Dev. World Ecol. 2017, 24, 420–426. [Google Scholar] [CrossRef]
- Yan, Y.; Yu, W.; Zhao, W.; Zhou, Z.; Yang, Y.; Zhu, M.; Zhu, J.; Chen, R. Construction and Evaluation of Research Competency Indicator System for Pharmacists in Tertiary a Hospitals in China. BMC Med. Educ. 2025, 25, 262. [Google Scholar] [CrossRef] [PubMed]
- Chen, Y. Equivalent Relation between Normalized Spatial Entropy and Fractal Dimension. Phys. Stat. Mech. Its Appl. 2020, 553, 124627. [Google Scholar] [CrossRef]
- Huang, L.; Li, Z. Quality Evaluation of Culture-Tourism Integration Based on a 3E Multi-Dimensional Subjective–Objective Hybrid Weighting Method. IEEE Access 2025, 13, 137436–137445. [Google Scholar] [CrossRef]
- Baskent, E.Z. Assessment of Structural Dynamics in Forest Landscape Management. Can. J. For. Res. 1997, 27, 1675–1684. [Google Scholar] [CrossRef]
- Buyantuyev, A.; Wu, J. Effects of Thematic Resolution on Landscape Pattern Analysis. Landsc. Ecol. 2007, 22, 7–13. [Google Scholar] [CrossRef]
- Chen, J.; Franklin, J.F.; Lowe, J.S. Comparison of Abiotic and Structurally Defined Patch Patterns in a Hypothetical Forest Landscape. Conserv. Biol. 1996, 10, 854–862. [Google Scholar] [CrossRef]
- Zhang, S.; Yang, P.; Xia, J.; Wang, W.; Cai, W.; Chen, N.; Hu, S.; Luo, X.; Li, J.; Zhan, C. Land Use/Land Cover Prediction and Analysis of the Middle Reaches of the Yangtze River Under Different Scenarios. Sci. Total Environ. 2022, 833, 155238. [Google Scholar] [CrossRef]
- Chen, Y.; Yang, J.; Yang, R.; Xiao, X.; Xia, J. (Cecilia) Contribution of Urban Functional Zones to the Spatial Distribution of Urban Thermal Environment. Build. Environ. 2022, 216, 109000. [Google Scholar] [CrossRef]
- Lou, Z.; Zhao, X.; Chen, C.; Peng, S. Rural Revitalisation: Spatio-Temporal Evolution and Multi-Scenario Prediction of Ecosystem Service Values of Second Homes in Moudao, China. Land Use Policy 2025, 150, 107467. [Google Scholar] [CrossRef]
- Deng, H.; Wang, Y.; Zhang, Q.; Yan, Y. On Island Landscape Pattern of Forests in Helan Mountain and Its Cause of Formation. Sci. China Ser. E Technol. Sci. 2006, 49, 45–53. [Google Scholar] [CrossRef]
- Diaz, N.M. Landscape Metrics: A New Tool for Forest Ecologists. J. For. 1996, 94, 12–16. [Google Scholar] [CrossRef]
- Ribeiro, S.E.; Prevedello, J.A.; Delciellos, A.C.; Vieira, M.V. Edge Effects and Geometric Constraints: A Landscape-level Empirical Test. J. Anim. Ecol. 2016, 85, 97–105. [Google Scholar] [CrossRef] [PubMed]
- Dorner, B.; Lertzman, K.; Fall, J. Landscape Pattern in Topographically Complex Landscapes: Issues and Techniques for Analysis. Landsc. Ecol. 2002, 17, 729–743. [Google Scholar] [CrossRef]
- Imbernon, J.; Branthomme, A. Characterization of Landscape Patterns of Deforestation in Tropical Rain Forests. Int. J. Remote Sens. 2001, 22, 1753–1765. [Google Scholar] [CrossRef]
- Salick, J.; Fang, Z.; Byg, A. Eastern Himalayan Alpine Plant Ecology, Tibetan Ethnobotany, and Climate Change. Glob. Environ. Change 2009, 19, 147–155. [Google Scholar] [CrossRef]
- Biddoccu, M.; Zecca, O.; Audisio, C.; Godone, F.; Barmaz, A.; Cavallo, E. Assessment of Long-term Soil Erosion in a Mountain Vineyard, Aosta Valley (NW Italy). Land Degrad. Dev. 2018, 29, 617–629. [Google Scholar] [CrossRef]
- Wang, C.; Wang, J.; Yu, L.; Wang, Y. Urban Ecological Redline Optimization Based on Ecological Network Pattern—A Case Study of Qingdao City. Popul. Resour. Environ. China 2017, 27, 9–14. [Google Scholar]
- Lin, Q.; Eladawy, A.; Sha, J.; Li, X.; Wang, J.; Kurbanov, E.; Thomas, A. Remotely Sensed Ecological Protection Redline and Security Pattern Construction: A Comparative Analysis of Pingtan (China) and Durban (South Africa). Remote Sens. 2021, 13, 2865. [Google Scholar] [CrossRef]
- Ren, Y.; Lu, L.; Han, Y. Research Framework of Tourism Resources from a New Perspective of Tourism Resources. J. Nat. Resour. 2022, 37, 551. [Google Scholar] [CrossRef]
- Pernice, U.; Coccon, F.; Horneman, F.; Dabalà, C.; Torresan, S.; Puertolas, L. Co-Developing Business Plans for Upscaled Coastal Nature-Based Solutions Restoration: An Application to the Venice Lagoon (Italy). Sustainability 2024, 16, 8835. [Google Scholar] [CrossRef]
- Beltrão, M.G.; Gonçalves, C.F.; Brancalion, P.H.S.; Carmignotto, A.P.; Silveira, L.F.; Galetti, P.M.; Galetti, M. Priority Areas and Implementation of Ecological Corridor through Forest Restoration to Safeguard Biodiversity. Sci. Rep. 2024, 14, 30837. [Google Scholar] [CrossRef] [PubMed]
- Hong, W.; Guo, R.; Su, M.; Tang, H.; Chen, L.; Hu, W. Sensitivity Evaluation and Land-Use Control of Urban Ecological Corridors: A Case Study of Shenzhen, China. Land Use Policy 2017, 62, 316–325. [Google Scholar] [CrossRef]







| Data Type | Year | Data Content | Data Source | 
|---|---|---|---|
| Remote Sensing Data | 2020 | Landsat 8/9 OLI_TIRS satellite imagery | Geospatial Data Cloud (https://www.gscloud.cn/, accessed on 27 July 2025) | 
| Basic geographic information | 2021 | Road vector data | 1:1 million public version of the basic geographic information data | 
| Land use data | 2020 | Shihe District land use raster data | Chinese Academy of Sciences Resources and Environmental Sciences and Data Center | 
| Administrative division | 2020 | Henan Province, Xinyang City, Shihe District administrative division | Standard map service system (https://www.mnr.gov.cn/ accessed on 11 September 2025) | 
| DEM | 2020 | Standard map service system (https://www.mnr.gov.cn/) | Geospatial Data Cloud (https://www.gscloud.cn/) | 
| Tourism Resources | 2020 | Natural Attractions, Cultural Attractions, Historical Attractions | “Xinyang City” 13th Five-Year Plan “Tourism Industry Development Plan” “Xinyang City Master Plan (2015–2030)” “Xinyang Siwang Mountain core area red tourism master plan (2015–2025)” “Shihe District overall tourism master plan manual | 
| Sensitivity Level | Insensitive | Low Sensitive | Medium Sensitive | High Sensitive | Extremely Sensitive | |
|---|---|---|---|---|---|---|
| Rank assigned value | 1 | 2 | 3 | 4 | 5 | |
| Landform | Elevation/m | 45~100 | 100~200 | 200~300 | 300~400 | 400~895 | 
| Slope/(°) | 0~2 | 2~1 | 5~15 | 15~25 | 25~57 | |
| Aspect | South, Flat | Southwest, Southeast | East, West | Northwest, Northeast | North | |
| Natural conditions | Vegetation coverage | <0.1 | 0.1~0.15 | 0.15~0.25 | 0.25~0.35 | >0.35 | 
| River buffer zone | >800 | 500~800 | 200~500 | 50~200 | <50 | |
| Lake buffer zone | >800 | 500~800 | 200~500 | 50~200 | <50 | |
| Tourism resource | Historical attractions | >800 | 500~800 | 200~500 | 100~200 | <100 | 
| Natural attractions | >500 | 200~500 | 100~200 | 50~100 | <50 | |
| Man-made attractions | >200 | 100~200 | 50~100 | 20~50 | <20 | |
| Density of attractions | 0~0.2 | 0.2~0.4 | 0.4~0.6 | 0.6~0.68 | 0.8~1 | |
| Human activities | Land use type | Artificial Surfaces, Bare land | Grassland | Forest | Water Bodies | Cultivated Land | 
| Road buffer zone | >200 | 150~200 | 100~150 | 50~100 | <50 | 
| Target Layer | Comprehensive Evaluation Layer | Evaluation Factor Layer | ||||
|---|---|---|---|---|---|---|
| Indicator | AHP Empowerment | Entropy Method Weighting | Comprehensive Empowerment | Order | ||
| Ecological sensitivity evaluation of Shihe tourist area | Landform | Elevation | 0.1397 | 0.1121 | 0.1372 | 3 | 
| Slope | 0.0367 | 0.0556 | 0.0404 | 8 | ||
| Aspect | 0.1229 | 0.1034 | 0.1189 | 4 | ||
| Natural conditions | Vegetation coverage | 0.2314 | 0.1698 | 0.1819 | 2 | |
| River buffer zone | 0.0545 | 0.0867 | 0.0881 | 5 | ||
| Lake buffer zone | 0.2191 | 0.2389 | 0.2187 | 1 | ||
| Tourism resource | historical attractions | 0.0292 | 0.0301 | 0.0284 | 10 | |
| natural attractions | 0.0392 | 0.0692 | 0.0481 | 7 | ||
| Man-made attractions | 0.0497 | 0.0173 | 0.0204 | 11 | ||
| Density of scenic attractions | 0.0141 | 0.0589 | 0.0396 | 9 | ||
| Human activities | Land use type | 0.0437 | 0.0498 | 0.0598 | 6 | |
| Road buffer zone | 0.0239 | 0.0156 | 0.0186 | 12 | ||
| Sensitivity Level | Insensitive Area | Low Sensitive Area | Medium Sensitive Area | Highly Sensitive Area | Extremely Sensitive Area | |||||
|---|---|---|---|---|---|---|---|---|---|---|
| Area/km2 | Percentage/% | Area/km2 | Percentage/% | Area/km2 | Percentage/% | Area/km2 | Percentage/% | Area/km2 | Percentage/% | |
| Elevation/m | 284.7707 | 15.95% | 898.2992 | 50.31% | 226.8177 | 12.70% | 164.1203 | 9.19% | 211.6478 | 11.85% | 
| Slope/(°) | 123.9226 | 6.97% | 362.7397 | 20.39% | 826.1432 | 46.44% | 342.5821 | 19.26% | 123.6534 | 6.95% | 
| Aspect | 231.6348 | 13.02% | 426.8599 | 23.99% | 453.8903 | 25.51% | 450.0195 | 25.30% | 216.6509 | 12.18% | 
| Vegetation coverage | 104.7003 | 5.92% | 94.12752 | 5.32% | 205.5952 | 11.62% | 741.0042 | 41.88% | 623.8642 | 35.26% | 
| River buffer zone | 753.4799 | 42.20% | 342.4928 | 19.18% | 391.5181 | 21.93% | 219.7936 | 12.31% | 78.35949 | 4.39% | 
| Lake buffer zone | 71.9266 | 4.03% | 30.08212 | 1.68% | 48.43801 | 2.71% | 36.57074 | 2.05% | 1598.694 | 89.53% | 
| historical attractions | 1758.36 | 98.47% | 16.65 | 0.93% | 8.97 | 0.50% | 1.28 | 0.07% | 0.42 | 0.02% | 
| natural attractions | 1771.57 | 99.21% | 11.87 | 0.67% | 1.69 | 0.10% | 0.42 | 0.02% | 0.14 | 0.01% | 
| Man-made attractions | 1783.952 | 99.90% | 1.319469 | 0.07% | 0.329867 | 0.02% | 0.092363 | 0.01% | 0.017593 | 0.00% | 
| Density of attractions | 28.31651 | 1.59% | 1.803752 | 0.10% | 1064.68 | 59.62% | 81.3591 | 4.56% | 609.4814 | 34.13% | 
| Land use type | 1628.54 | 91.20% | 38.51 | 2.16% | 39.00979 | 2.18% | 39.54839 | 2.21% | 40.09173 | 2.25% | 
| Sensitivity Level | Insensitive | Low Sensitive | Medium Sensitive | High Sensitive | Extremely Sensitive | 
|---|---|---|---|---|---|
| Area/km2 | 410.05 | 534.93 | 392.24 | 267.47 | 124.82 | 
| Ratio/% | 23.11 | 30.71 | 22.96 | 15.36 | 7.86 | 
| TA (ha) | NP | PD | LPI | ED | SHDI | SHEI | 
|---|---|---|---|---|---|---|
| 178,693.02 | 566 | 0.3167 | 35.9951 | 17.0562 | 0.8617 | 0.7806 | 
| TYPE | CA (ha) | PLAND | NP | PD | LPI | ED | 
|---|---|---|---|---|---|---|
| Cropland | 35,483.49 | 17.8572 | 161 | 0.0901 | 5.2224 | 11.5084 | 
| Woodland | 126,944.1 | 71.0403 | 42 | 0.0235 | 35.9951 | 13.6037 | 
| Grassland | 8531.73 | 4.7745 | 117 | 0.0655 | 3.5637 | 4.9506 | 
| Water | 6739.74 | 3.7717 | 234 | 0.1310 | 1.3277 | 3.4554 | 
| Building land | 993.96 | 0.5562 | 12 | 0.0067 | 0.2065 | 0.5906 | 
| Disclaimer/Publisher’s Note: The statements, opinions and data contained in all publications are solely those of the individual author(s) and contributor(s) and not of MDPI and/or the editor(s). MDPI and/or the editor(s) disclaim responsibility for any injury to people or property resulting from any ideas, methods, instructions or products referred to in the content. | 
© 2025 by the authors. Licensee MDPI, Basel, Switzerland. This article is an open access article distributed under the terms and conditions of the Creative Commons Attribution (CC BY) license (https://creativecommons.org/licenses/by/4.0/).
Share and Cite
Shen, J.; Li, L.; Peng, L. From Conflict to Coexistence: Integrated Landscape Optimization for Sustainable Tourism in Urban Tourism Areas. Sustainability 2025, 17, 8270. https://doi.org/10.3390/su17188270
Shen J, Li L, Peng L. From Conflict to Coexistence: Integrated Landscape Optimization for Sustainable Tourism in Urban Tourism Areas. Sustainability. 2025; 17(18):8270. https://doi.org/10.3390/su17188270
Chicago/Turabian StyleShen, Jie, Lei Li, and Liang Peng. 2025. "From Conflict to Coexistence: Integrated Landscape Optimization for Sustainable Tourism in Urban Tourism Areas" Sustainability 17, no. 18: 8270. https://doi.org/10.3390/su17188270
APA StyleShen, J., Li, L., & Peng, L. (2025). From Conflict to Coexistence: Integrated Landscape Optimization for Sustainable Tourism in Urban Tourism Areas. Sustainability, 17(18), 8270. https://doi.org/10.3390/su17188270
 
        



 
       