Drivers of Global Wheat and Corn Price Dynamics: Implications for Sustainable Food Systems
Abstract
1. Introduction
2. Determinants of Global Price Fluctuations in Wheat and Corn Markets
3. Materials and Methods
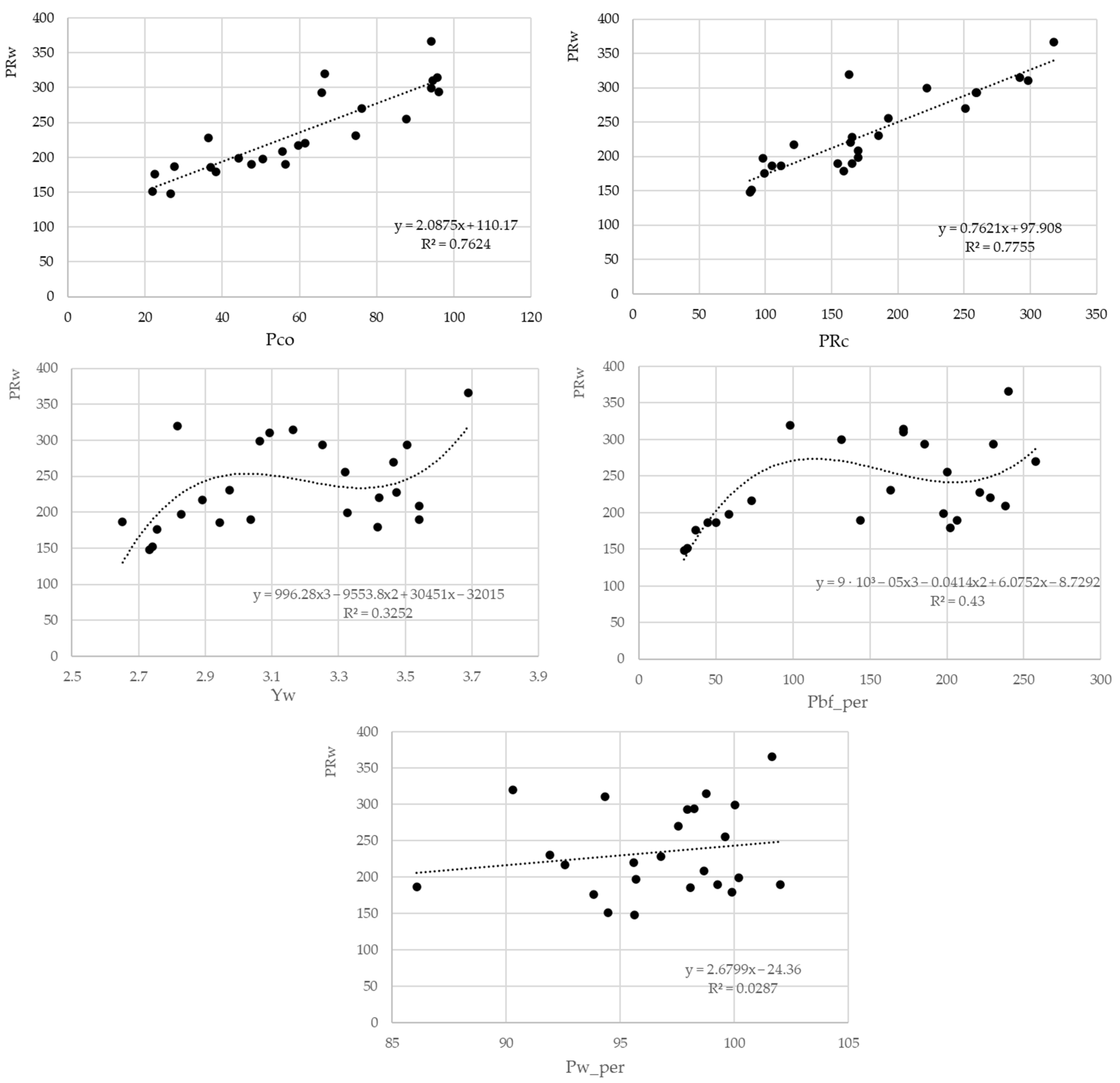
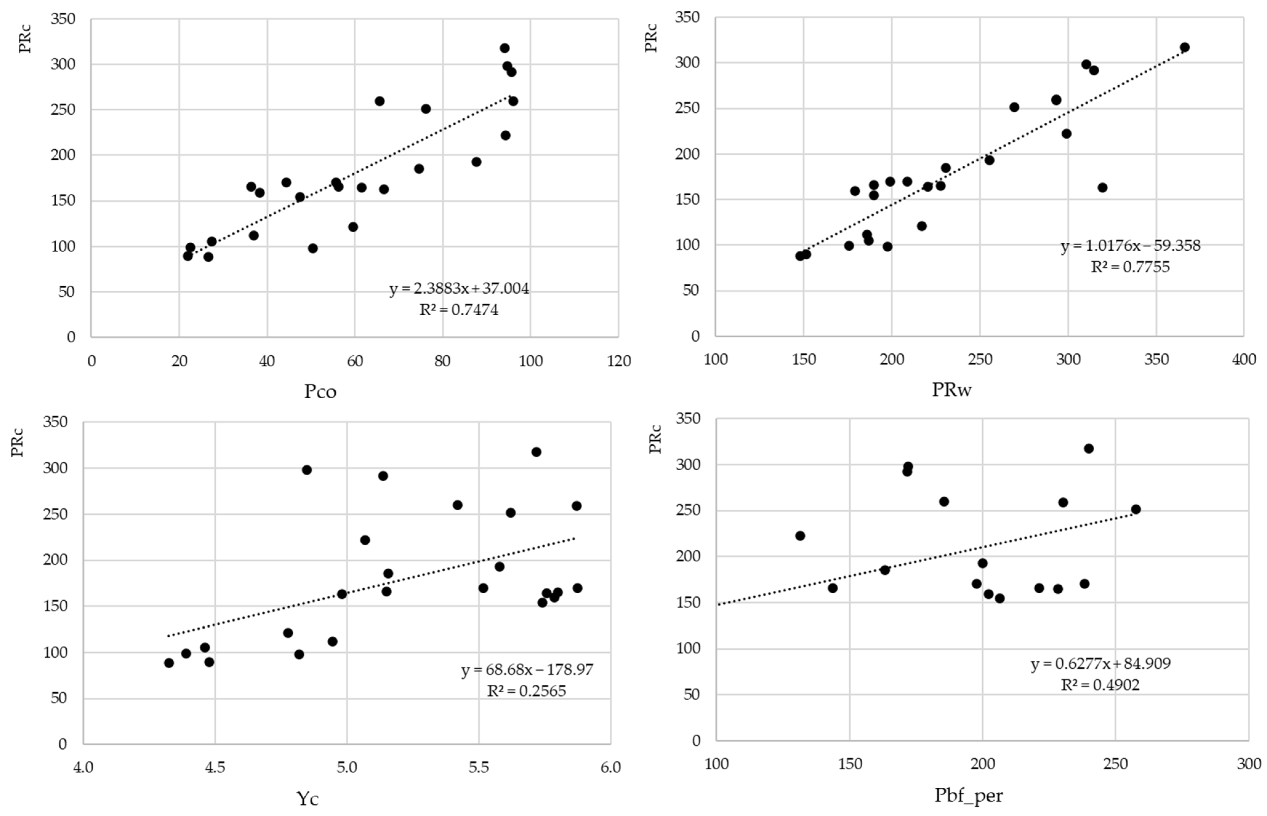
4. Results
5. Discussion
6. Conclusions
Author Contributions
Funding
Institutional Review Board Statement
Informed Consent Statement
Data Availability Statement
Acknowledgments
Conflicts of Interest
Abbreviations
| CIMMYT | International Maize and Wheat Improvement Center |
| EUR | Euro |
| EIA | U.S. Energy Information Administration |
| FAO | Food & Agriculture Organization of the United Nations |
| IPCC | Intergovernmental Panel on Climate Change |
| MATIF | International Futures Market of France |
| MLR | Multiple linear regression |
| NCEI | National Center for Environmental Information |
| USD | United States dollar |
| USDA | United States Department of Agriculture |
Appendix A


References
- FAO. Food Outlook—Biannual Report on Global Food Markets; Food and Agriculture Organization of the United Nations (FAO): Rome, Italy, 2023. [Google Scholar] [CrossRef]
- Clapp, J. The Global Food Crisis: Governance Challenges and Opportunities; Clapp, J., Cohen, M.J., Eds.; Wilfrid Laurier University Press: Canada, ON, USA, 2009; 289p. [Google Scholar]
- FSIN. Global Report on Food Crises; Join Analysis for Better Decisions; 2019; Available online: https://www.fsinplatform.org/sites/default/files/resources/files/GRFC_2019-Full_Report.pdf (accessed on 15 August 2025).
- Robinson, G.M. Globalization of Agriculture. Annu. Rev. Resour. Econ. 2018, 10, 133–160. Available online: https://www.jstor.org/stable/26773484 (accessed on 15 August 2025). [CrossRef]
- Komarek, A.M.; De Pinto, A.; Smith, V.H. A review of types of risks in agriculture: What we know and what we need to know. Agric. Syst. 2020, 178, 102738, ISSN 0308-521X. [Google Scholar] [CrossRef]
- Wolffram, R. Positivistic Measures of Aggregate Supply Elasticities: Some New Approaches: Some Critical Notes. Am. J. Agric. Econ. 1971, 53, 356. [Google Scholar] [CrossRef]
- Houck, J.P. An Approach to Specifying and Estimating Nonreversible Functions. Am. J. Agric. Econ. 1977, 59, 570–572. [Google Scholar] [CrossRef]
- Goodwin, B.K.; Holt, M.T. Price Transmission and Asymmetric Adjustment in the U.S. Beef Sector. Am. J. Agric. Econ. 1999, 81, 630–637. [Google Scholar] [CrossRef]
- Blake, N.S.; Fomby, T.B. Threshold Cointegration. Int. Econ. Rev. 1997, 38, 627. [Google Scholar] [CrossRef]
- Ghoshray, A. Agricultural Economics Society Prize Essay Asymmetric Price Adjustment and the World Wheat Market. J. Agric. Econ. 2002, 53, 299–317. Available online: https://researchportal.bath.ac.uk/en/publications/asymmetric-price-adjustment-and-the-world-wheat-market (accessed on 17 August 2025). [CrossRef]
- Meyer, J.; von Cramon-Taubadel, S. Asymmetric Price Transmission: A Survey. J. Agric. Econ. 2004, 55, 581–611. Available online: https://ideas.repec.org/a/bla/jageco/v55y2004i3p581-611.html (accessed on 15 August 2025). [CrossRef]
- Listorti, G.; Esposti, R. Horizontal Price Transmission in Agricultural Markets: Fundamental Concepts and Open Empirical Issues. Bio-Based Appl. Econ. 2012, 1, 81–108. [Google Scholar] [CrossRef]
- von Braun, J.; Tadesse, G. Global food price volatility and spikes: An overview of costs, causes, and solutions. In ZEF Discussion Papers on Development Policy; University of Bonn, Center for Development Research (ZEF): Bonn, Germany, 2012. [Google Scholar] [CrossRef]
- Irwin, S.H.; Good, D.L. Market Instability in a New Era of Corn, Soybean, and Wheat Prices. Choices 2009, 24, 6–11. Available online: https://www.choicesmagazine.org/UserFiles/file/article_56.pdf (accessed on 19 August 2025).
- Budzyńska, A.; Zolotnytska, Y. Agricultural Markets in Times of Uncertainty; Kowalczyk, S., Sobiecki, R., Eds.; Economy in Times of Uncertainty; Publishing Warsaw School of Economics: Warsaw, Poland, 2025; pp. 115–151. ISBN 978-83-8030-729-2. [Google Scholar]
- Mustafa, Z.; Vitali, G.; Huffaker, R.; Canavari, M. A systematic review on price volatility in agriculture. J. Econ. Surv. 2024, 38, 268–294. [Google Scholar] [CrossRef]
- Schlenker, W.; Taylor, C.A. Market Expectations About Climate Change; NBER Working Papers 25554; National Bureau of Economic Research, Inc.: Cambridge, MA, USA, 2019; Available online: https://ideas.repec.org/p/nbr/nberwo/25554.html (accessed on 20 August 2025).
- Onour, I.; Sergi, B. Wheat and corn prices and energy markets: Spillover effects. Int. J. Bus. Glob. 2012, 9, 372–382. [Google Scholar] [CrossRef]
- Keatinge, F. Influential Factors in the Econometric Modeling of the Price of Wheat in the United States of America. Agric. Sci. 2015, 6, 758–771. [Google Scholar] [CrossRef]
- Janzen, J.P.; Carter, C.A.; Smith, A.; Adjemian, M.K. Deconstructing Wheat Price Spikes: A Model of Supply and Demand, Financial Speculation, and Commodity Price Comovement; USDA, Economic Research Service: Washington, DC, USA, 2014; 51p. Available online: https://www.ers.usda.gov/publications/pub-details?pubid=45202#overview (accessed on 15 August 2025).
- Shen, X.; Qiu, C. Research on the Mechanism of Corn Price Formation in China Based on the PLS-SEM Model. Foods 2024, 13, 875. [Google Scholar] [CrossRef]
- Abbott, P.C.; Hurt, C.; Tyner, W.E. What’s Driving Food Prices? Farm Foundation Issue Report: Oak Brook, IL, USA, 2008; 84p. [Google Scholar] [CrossRef]
- Borensztein, E.; Reinhart, C.M. The Macroeconomic Determinants of Commodity Prices. Staff. Pap.-Int. Monet. Fund 1994, 41, 236–261. [Google Scholar] [CrossRef][Green Version]
- Byrne, J.P.; Fazio, G.; Fiess, N.M. Primary Commodity Prices: Co-Movements, Common Factors and Fundamentals (English); Policy Research Working Paper; No. WPS 5578; World Bank Group: Washington, DC, USA, 2011; Available online: http://documents.worldbank.org/curated/en/795821468154468123/Primary-commodity-prices-co-movements-common-factors-and-fundamentals (accessed on 15 August 2025).[Green Version]
- Huchet-Bourdon, M. Agricultural Commodity Price Volatility: An Overview; OECD Food, Agriculture and Fisheries Papers, No. 52; OECD Publishing: Paris, French, 2011. [Google Scholar] [CrossRef]
- Kacperska, E.M.; Łukasiewicz, K.; Skrzypczyk, M.; Stefańczyk, J. Price Volatility in the European Wheat and Corn Market in the Black Sea Agreement Context. Agriculture 2025, 15, 91. [Google Scholar] [CrossRef]
- Steen, M.; Bergland, O.; Gjølberg, O. Climate Change and Grain Price Volatility: Empirical Evidence for Corn and Wheat 1971–2019. Commodities 2023, 2, 1–12. [Google Scholar] [CrossRef]
- NCEI. National Centers for Environmental Information. 2024. Available online: https://www.ncei.noaa.gov (accessed on 12 August 2025).
- Carrington, D. World’s top climate scientists expect global heating to blast past 1.5C target. The Guardian. 8 May 2024. Available online: www.theguardian.com/environment/article/2024/may/08/world-scientists-climate-failure-survey-global-temperature (accessed on 19 August 2025).
- Ripple, W.J.; Wolf, C.; Gregg, J.W.; Rockström, J.; E Mann, M.; Oreskes, N.; Lenton, T.M.; Rahmstorf, S.; Newsome, T.M.; Xu, C.; et al. The 2024 state of the climate report: Perilous times on planet Earth. BioScience 2024, 74, 812–824. [Google Scholar] [CrossRef]
- FAOSTAT. Data. 2024. Available online: https://www.fao.org/faostat/en/#data (accessed on 10 August 2025).
- Guarin, J.R.; Martre, P.; Ewert, F.; Webber, H.; Dueri, S.; Calderini, D.; Reynolds, M.; Molero, G.; Miralles, D.; Garcia, G.; et al. Evidence for increasing global wheat yield potential. Environ. Res. Lett. 2022, 17, 124045. [Google Scholar] [CrossRef]
- Fischer, R.A.; Byerlee, D.; Edmeades, G.O. Crop Yields and Global Food Security: Will Yield Increase Continue to Feed the World? ACIAR Monograph No. 158; Australian Centre for International Agricultural Research: Canberra, Australia, 2014; 634p. Available online: https://www.aciar.gov.au/sites/default/files/legacy/mn158_web_5_0.pdf (accessed on 15 August 2025).
- Mueller, N.D.; Gerber, J.S.; Johnston, M.; Ray, D.K.; Ramankutty, N.; Foley, J.A. Closing yield gaps through nutrient and water management. Nature 2012, 490, 254–257. [Google Scholar] [CrossRef]
- MATIF-Corn (Euronext, Paris). 2024. Available online: https://www.kaack-terminhandel.de/pl/euronext/kukurydza (accessed on 10 August 2025).
- MATIF-Wheat (Euronext, Paris). 2024. Available online: https://www.kaack-terminhandel.de/pl/euronext/pszenica (accessed on 10 August 2025).
- ICE Futures Europe. Brent Crude Futures. 2024. Available online: https://www.tradingview.com/symbols/ICEEUR-BRN1! (accessed on 10 August 2025).
- Westcott, P.; Hoffman, L. Price Determination Factors for Corn and Wheat; USDA, Economic Research Service: Washington, DC, USA, 1999. Available online: https://ers.usda.gov/publications/pub-details?pubid=47277 (accessed on 15 August 2025).
- Haile, M.G.; Kalkuhl, M.; von Braun, J. Worldwide Acreage and Yield Response to International Price Change and Volatility: A Dynamic Panel Data Analysis for Wheat, Rice, Corn, and Soybeans. Am. J. Agric. Econ. 2016, 98, 172–190. Available online: http://www.jstor.org/stable/24739917 (accessed on 25 August 2025). [CrossRef]
- Erenstein, O.; Jaleta, M.; Mottaleb, K.A.; Sonder, K.; Donovan, J.; Braun, H.-J. Global Trends in Wheat Production, Consumption and Trade. In Wheat Improvement; Reynolds, M.P., Braun, H.J., Eds.; Springer: Berlin/Heidelberg, Germany, 2022. [Google Scholar] [CrossRef]
- Long, J.D.; Teetor, P.R. Cookbook: Proven Recipes for Data Analysis, Statistics and Graphics, 2nd ed.; O’Reilly Media: JD Long, CA, USA, 2019; 600p. [Google Scholar]
- Derksen, S.; Keselman, H.J. Backward, forward and stepwise automated subset selection algorithms: Frequency of obtaining authentic and noise variables. Br. J. Math. Stat. Psychol. 1992, 45, 265–282. [Google Scholar] [CrossRef]
- Draper, N.R.; Smith, H. Applied Regression Analysis, 3rd ed.; John Wiley: New York, NY, USA, 1998; 736p, ISBN 0-471-17082-8. [Google Scholar] [CrossRef]
- FAO. Food Price Monitoring and Analysis (FPMA) Tool. 2024. Available online: https://fpma.fao.org/giews (accessed on 15 August 2025).
- USDA. Agricultural Research Service. Download Data. 2024. Available online: https://fdc.nal.usda.gov/download-datasets (accessed on 15 August 2025).
- U.S. Energy Information Administration. 2024. Available online: https://www.eia.gov/dnav/pet/hist/LeafHandler.ashx?n=pet&s=f000000__3&f=a (accessed on 15 August 2025).
- Worldometers. World Population. 2024. Available online: https://www.worldometers.info/ (accessed on 15 August 2025).
- Zelias, A. The Problem of Variable Collinearity in Econometrics. Legal, Economic and Sociological Movement. L. 1988, p. 183. Available online: https://repozytorium.amu.edu.pl/server/api/core/bitstreams/00442f0f-74a3-4b5f-bd5e-b1320824f57a/content (accessed on 15 August 2025).
- Lehfeldt, R.A. The Elasticity of Demand for Wheat. Econ. J. 1914, 24, 212–217. [Google Scholar] [CrossRef]
- Irwin, S.; Good, D. The 2014 U.S. Average Corn Yield: Big or Really Big? Farmdoc Daily 127, Department of Agricultural and Consumer Economics, University of Illinois at Urbana-Champaign. 9 July 2014. Available online: https://farmdocdaily.illinois.edu/2014/07/2014-us-average-corn-yield-big-or-really-big.html?utm_source (accessed on 15 August 2025).
- Lark, T.J.; Hendricks, N.P.; Smith, A.; Pates, N.; Spawn-Lee, S.A.; Bougie, M.; Booth, E.G.; Kucharik, C.J.; Gibbs, H.K. Environmental outcomes of the US Renewable Fuel Standard. Proc. Natl. Acad. Sci. USA 2022, 119, e2101084119. [Google Scholar] [CrossRef]
- Paul, A.; Barekatain, M. Implications for the Feed Industry; InTech: Houston, TX, USA, 2011. [Google Scholar] [CrossRef][Green Version]
- Balat, M.; Balat, H. Recent trends in global production and utilization of bio-ethanol fuel. Appl. Energy 2009, 86, 2273–2282. [Google Scholar] [CrossRef]
- Xie, H.; Wang, B. An Empirical Analysis of the Impact of Agricultural Product Price Fluctuations on China’s Grain Yield. Sustainability 2017, 9, 906. [Google Scholar] [CrossRef]
- Massa, O.I.; Karali, B.; Irwin, S.H. What Do We Know About the Value and Market Impact of the US Department of Agriculture Reports? Appl. Econ. Perspect. Policy 2024, 46, 698–736. [Google Scholar] [CrossRef]
- Idier, H.; Dehhaoui, M.; Maatala, N.; Kenza, A.E.K. Assessing the Impact of Precision Farming Technologies: A Literature Review. World J. Agric. Sci. Technol. 2024, 2, 161–179. [Google Scholar] [CrossRef]
- Hatfield, J.L.; Beres, B.L. Yield Gaps in Wheat: Path to Enhancing Productivity. Front Plant. Sci. 2019, 10, 1603. [Google Scholar] [CrossRef]
- Liu, Z.; Bian, Q.; Bai, J.; He, G.; Chen, M.; Zheng, H.; Batchelor, W.D.; Wang, H.; Cong, J.; Ying, H.; et al. Closing of the yield gap can be achieved without groundwater extraction in Chinese wheat production. Glob. Food Secur. 2022, 33, 100630. [Google Scholar] [CrossRef]
- McFadden, J.; Njuki, E.; Griffin, T. Precision Agriculture in the Digital Era: Recent Adoption on U.S. Farms; EIB-248; U.S. Department of Agriculture, Economic Research Service: Washington, DC, USA, 2023. Available online: https://ers.usda.gov/sites/default/files/_laserfiche/publications/105894/EIB-248.pdf (accessed on 8 August 2025).
- Snyder, K.; Miththapala, S.; Sommer, R.; Braslow, J. The yield gap: Closing the gap by widening the approach. Exp. Agric. 2016, 53, 1–15. [Google Scholar] [CrossRef]
- Kamkar, B.; Hoogenboom, G.; Alizadeh-Dehkordi, P.; Bazkiaee, P.A.; Nehbandani, A. Comprehensive insights into modeling yield gap in agroecosystems: Definitions, theoretical framework, and multidimensional perspectives (a review). Agric. Syst. 2025, 228, 104392, ISSN 0308-521X. [Google Scholar] [CrossRef]
- Radmehr, R.; Henneberry, S.R. Energy Price Policies and Food Prices: Empirical Evidence from Iran. Energies 2020, 13, 4031. [Google Scholar] [CrossRef]
- Kroeger, T. High Grain Prices Rippled Throughout the Economy. U.S. Bureau of Labor Statistics—An Official Website of the United States Government. 12 April 2023. Available online: https://www.bls.gov/opub/btn/volume-12/high-grain-prices-rippled-throughout-the-economy.htm (accessed on 5 August 2025).
- Zilberman, D.; Hochman, G.; Kaplan, S.; Kim, E. Political Economy of Biofuel. Choices. 2014. Available online: http://choicesmagazine.org/choices-magazine/theme-articles/economic-and-policy-analysis-of-advanced-biofuels/political-economy-of-biofuel (accessed on 7 August 2025).
- Barbier, E.B.; Burgess, J.C. Policy and Environmental Economics: Fallacies and New Directions. In Oxford Research Encyclopedia of Economics and Finance; Oxford University Press: Oxford, UK, 16 July 2025. [Google Scholar] [CrossRef]
- Mei, D.; Xie, Y.U.S. Grain commodity futures price volatility: Does trade policy uncertainty matter? Financ. Res. Lett. 2022, 48, 103028, ISSN 1544-6123. [Google Scholar] [CrossRef]
- Boffa, M.; Varela, G.J. Integration and Price Transmission in Key Food Commodity Markets in India; Policy Research Working Paper; No. 8755; World Bank: Washington, DC, USA, 2019; Available online: http://hdl.handle.net/10986/31329 (accessed on 3 August 2025).



| Factors | Sources of Price Fluctuations in Agricultural Markets |
|---|---|
| Supply factors | Availability of arable land for agricultural production, including its alternative use (biofuel production) |
| Degree of technical progress in agriculture | |
| Change in weather and climate conditions | |
| State of agricultural product stocks in the world | |
| Prices of production factors, including crude oil and gas | |
| Agricultural production seasonality | |
| Supply chain disruptions | |
| Demand factors | Population |
| Level of economic development | |
| Change in the structure of consumption | |
| Speculation on commodity markets | |
| Other factors | Economic (state) interventionism |
| Globalisation and changes in the macroeconomic environment | |
| Cyclicality of global food crises | |
| Pandemics and epidemics | |
| Warfare and geopolitical crises |
| Variables | Units | Variable Descriptions |
|---|---|---|
| USD/barrel | Average annual crude oil prices according to data from the U.S. Energy Information Administration [46] | |
| mm | Global land precipitation [28] | |
| °C | Average temperature anomalies [28] | |
| Wheat crop area, million ha | The area of cereal crops as a factor directly determining the level of supply of the examined cereals | |
| Corn crop area, million ha | ||
| t/ha (wheat yield) | Productivity of crops from 1 ha (determines the influence of weather and climatic conditions, which to the greatest extent determine the level of crop yields) | |
| t/ha (corn yield) | ||
| kg/capita (wheat production) | Cereals’ production per capita (determines population growth, the level of nutrition of the global population and the elasticity of demand) | |
| per | kg/capita (corn production) | |
| per | Barrels/1 million people | Biofuel production per 1 million people (determines the level of growth in demand and consumption of biofuels) |
| Barrels/1 thousand ha of corn crop area | Biogasoline production per 1 thousand ha of corn crops (determines the level of growth in the use of cereals and agricultural land for technical purposes) |
| Years | per | per | |||||||||||
|---|---|---|---|---|---|---|---|---|---|---|---|---|---|
| 2000 | 147.9 | 88.3 | 26.7 | 215.1 | 136.9 | 2.7 | 4.32 | 818.7 | 0.59 | 95.6 | 96.36 | 29.4 | 1.23 |
| 2001 | 151.6 | 89.7 | 21.9 | 214.6 | 137.4 | 2.7 | 4.48 | 790.1 | 0.77 | 94.5 | 98.80 | 31.7 | 1.32 |
| 2002 | 175.9 | 99.4 | 22.5 | 214.9 | 137.5 | 2.8 | 4.39 | 772.9 | 0.94 | 93.9 | 95.68 | 36.8 | 1.54 |
| 2003 | 186.8 | 105.2 | 27.5 | 207.4 | 144.6 | 2.7 | 4.46 | 776.3 | 0.91 | 86.1 | 100.96 | 45.0 | 1.82 |
| 2004 | 186.1 | 111.9 | 36.9 | 215.7 | 147.5 | 2.9 | 4.94 | 794.0 | 0.72 | 98.1 | 112.73 | 50.0 | 1.95 |
| 2005 | 197.5 | 98.4 | 50.5 | 221.7 | 148.2 | 2.8 | 4.82 | 782.0 | 1.15 | 95.7 | 108.98 | 58.3 | 2.19 |
| 2006 | 216.8 | 121.4 | 59.6 | 212.6 | 148.2 | 2.9 | 4.78 | 812.4 | 1.03 | 92.6 | 106.69 | 73.3 | 2.65 |
| 2007 | 319.8 | 163.0 | 66.6 | 215.5 | 159.3 | 2.8 | 4.98 | 803.8 | 1.19 | 90.3 | 118.12 | 98.4 | 3.20 |
| 2008 | 299.4 | 222.2 | 94.2 | 222.1 | 163.7 | 3.1 | 5.07 | 815.4 | 0.89 | 100.0 | 122.01 | 131.5 | 4.11 |
| 2009 | 189.8 | 165.6 | 56.3 | 225.2 | 159.4 | 3.0 | 5.15 | 788.0 | 0.99 | 99.3 | 119.20 | 143.7 | 4.58 |
| 2010 | 230.8 | 185.3 | 74.6 | 215.6 | 165.3 | 3.0 | 5.16 | 823.2 | 1.19 | 91.9 | 122.34 | 163.4 | 5.07 |
| 2011 | 314.6 | 292.0 | 95.7 | 220.3 | 172.8 | 3.2 | 5.14 | 816.8 | 1.06 | 98.8 | 125.84 | 171.6 | 4.81 |
| 2012 | 310.6 | 298.3 | 94.6 | 217.8 | 180.4 | 3.1 | 4.85 | 790.7 | 1.05 | 94.3 | 122.48 | 172.0 | 4.54 |
| 2013 | 293.5 | 259.8 | 96.0 | 218.4 | 187.5 | 3.3 | 5.42 | 804.6 | 1.05 | 98.2 | 140.64 | 185.6 | 4.69 |
| 2014 | 255.5 | 192.9 | 87.7 | 219.5 | 186.5 | 3.3 | 5.58 | 774.8 | 1.09 | 99.6 | 142.19 | 200.0 | 5.01 |
| 2015 | 199.1 | 170.1 | 44.3 | 223.0 | 191.1 | 3.3 | 5.52 | 754.7 | 1.34 | 100.2 | 142.33 | 197.9 | 5.10 |
| 2016 | 179.1 | 159.3 | 38.4 | 219.0 | 194.1 | 3.4 | 5.79 | 787.5 | 1.64 | 99.9 | 150.02 | 202.4 | 5.00 |
| 2017 | 189.9 | 154.4 | 47.5 | 218.3 | 198.6 | 3.5 | 5.74 | 808.5 | 1.48 | 102.0 | 150.52 | 206.5 | 5.02 |
| 2018 | 220.4 | 164.5 | 61.5 | 214.0 | 195.3 | 3.4 | 5.76 | 788.2 | 1.35 | 95.6 | 146.78 | 228.2 | 5.47 |
| 2019 | 208.9 | 170.1 | 55.6 | 215.7 | 193.7 | 3.5 | 5.87 | 772.0 | 1.53 | 98.7 | 146.96 | 238.2 | 5.61 |
| 2020 | 227.9 | 165.4 | 36.4 | 217.9 | 199.3 | 3.5 | 5.80 | 782.1 | 1.67 | 96.8 | 147.79 | 221.4 | 4.92 |
| 2021 | 293.2 | 259.3 | 65.7 | 220.4 | 205.7 | 3.5 | 5.50 | 781.0 | 1.39 | 98.0 | 143.49 | 230.1 | 4.94 |
| 2022 | 366.3 | 317.7 | 94.1 | 219.2 | 203.5 | 3.6 | 5.98 | 788.5 | 1.41 | 98.2 | 153.15 | 239.8 | 5.16 |
| 2023 | 269.7 | 251.3 | 76.1 | 227.0 | 206.2 | 3.5 | 5.62 | 748.9 | 1.81 | 98.1 | 144.16 | 257.5 | 5.39 |
| Dependent Variables | Independent Variables |
|---|---|
| Model I—Price of 1 tonne of wheat (grade 1, Rouen), USD/t ( ) | —US Crude Oil First Purchase Price, USD/barrel; —the price of 1 tonne of corn (US No. 2, Yellow), USD/t; —wheat yields, kg/ha *; —wheat production, kg/capita; per—global biofuel production (originally published in barrels of oil equivalent per day), which for the purpose of this study is presented in barrels per 1 million people. |
| Model II—Price of 1 tonne of corn (US No. 2, Yellow), USD/t () | —US Crude Oil First Purchase Price, USD/barrel; —the price of 1 tonne of wheat (grade 1, Rouen), USD/t; —corn yields, kg/ha *; per—global biofuel production (originally published in barrels of oil equivalent per day), which for the purpose of this study is presented in barrels per 1 million people. |
| Model 1 | ||||||
| Variables | per | |||||
| 1.0000 | 0.8732 | 0.8806 | 0.3911 | 0.1695 | 0.4866 | |
| 0.8732 | 1.0000 | 0.8645 | 0.3910 | 0.3001 | 0.5263 | |
| 0.8806 | 0.8645 | 1.0000 | 0.6029 | 0.4054 | 0.7002 | |
| 0.3911 | 0.3910 | 0.6029 | 1.0000 | 0.7127 | 0.9447 | |
| 0.1695 | 0.3001 | 0.4054 | 0.7127 | 1.0000 | 0.5700 | |
| per | 0.4866 | 0.5263 | 0.7002 | 0.9447 | 0.5700 | 1.0000 |
| Model 2 | ||||||
| Variables | per | |||||
| 1.0000 | 0.8645 | 0.8806 | 0.5064 | 0.7002 | ||
| 0.8645 | 1.0000 | 0.8732 | 0.3592 | 0.5263 | ||
| 0.8806 | 0.8732 | 1.0000 | 0.3431 | 0.4866 | ||
| 0.5064 | 0.3592 | 0.3431 | 1.0000 | 0.9352 | ||
| per | 0.7002 | 0.5263 | 0.4866 | 0.9352 | 1.0000 | |
| Model 1 | Model 2 | ||
|---|---|---|---|
| Variable | Variable | ||
| Constant | 1.608 (0.125) | Constant | 2.453 * (0.024) |
| 3.308 ** (0.004) | 1.106 (0.282) | ||
| 3.411 ** (0.003) | 3.752 ** (0.001) | ||
| 2.562 * (0.020) | −2.828 * (0.011) | ||
| −3.097 ** (0.006) | - | - | |
| per | −2.701 * (0.015) | per | 4.099 ** (0.001) |
| F-test (p-value) | 32.077 ** (2.32 × 10−8) | F-test (p-value) | 52.502 ** (3.22 × 10−10) |
| 0.899 | 0.921 | ||
| Number of observations | 24 | Number of observations | 24 |
| + per | + | ||
Disclaimer/Publisher’s Note: The statements, opinions and data contained in all publications are solely those of the individual author(s) and contributor(s) and not of MDPI and/or the editor(s). MDPI and/or the editor(s) disclaim responsibility for any injury to people or property resulting from any ideas, methods, instructions or products referred to in the content. |
© 2025 by the authors. Licensee MDPI, Basel, Switzerland. This article is an open access article distributed under the terms and conditions of the Creative Commons Attribution (CC BY) license (https://creativecommons.org/licenses/by/4.0/).
Share and Cite
Zolotnytska, Y.; Kowalczyk, S.; Sobiecki, R.; Krupin, V.; Krzyżanowski, J.; Perkowska, A.; Żurakowska-Sawa, J. Drivers of Global Wheat and Corn Price Dynamics: Implications for Sustainable Food Systems. Sustainability 2025, 17, 8581. https://doi.org/10.3390/su17198581
Zolotnytska Y, Kowalczyk S, Sobiecki R, Krupin V, Krzyżanowski J, Perkowska A, Żurakowska-Sawa J. Drivers of Global Wheat and Corn Price Dynamics: Implications for Sustainable Food Systems. Sustainability. 2025; 17(19):8581. https://doi.org/10.3390/su17198581
Chicago/Turabian StyleZolotnytska, Yuliia, Stanisław Kowalczyk, Roman Sobiecki, Vitaliy Krupin, Julian Krzyżanowski, Aleksandra Perkowska, and Joanna Żurakowska-Sawa. 2025. "Drivers of Global Wheat and Corn Price Dynamics: Implications for Sustainable Food Systems" Sustainability 17, no. 19: 8581. https://doi.org/10.3390/su17198581
APA StyleZolotnytska, Y., Kowalczyk, S., Sobiecki, R., Krupin, V., Krzyżanowski, J., Perkowska, A., & Żurakowska-Sawa, J. (2025). Drivers of Global Wheat and Corn Price Dynamics: Implications for Sustainable Food Systems. Sustainability, 17(19), 8581. https://doi.org/10.3390/su17198581

