Multi-Objective Optimization of Water Resource Allocation with Spatial Equilibrium Considerations: A Case Study of Three Cities in Western Gansu Province
Abstract
1. Introduction
2. Water Resources Optimization Model and Solution Approach
2.1. Construction of the Water Resources Optimization Model
2.2. Model Solution Approach
3. Empirical Application Analysis
3.1. Overview of the Study Area
3.2. Data Collection and Forecasting
3.2.1. Data Collection
3.2.2. Data Forecasting
3.3. Model Parameters Specification
3.3.1. Indicators for Coupling Coordination
3.3.2. Benefit Coefficients for Water Use Sectors
3.3.3. Wastewater Discharge Coefficient and COD Emission Concentration
3.3.4. Upper and Lower Bounds of Water Demand
3.3.5. Water Use Equity Coefficient
3.3.6. Water Allocation Relationships Between Water Supply Sources and Water Use Sectors
3.4. Model Parameter Settings and Results Analysis
3.4.1. Model Implementation and Parameter Settings
3.4.2. Pareto Front Solutions for the Four Objectives
3.4.3. Inter-City Comparison of Subsystem Coupling Coordination Degrees
4. Decision-Making for Water Resource Allocation Schemes
4.1. Weight Calculation
4.1.1. Constructing the Initial Decision Matrix A
4.1.2. Constructing the Normalized Decision Matrix A*
4.1.3. Computing Indicator Weight
4.2. Entropy-Weighted TOPSIS Method
4.2.1. Constructing the Weighted Decision Matrix Y
4.2.2. Determining the Ideal Solution Y+ and Y−
4.2.3. Calculating the Euclidean Distances and
4.2.4. Calculating the Comprehensive Score
4.3. Decision Results and Analysis
4.3.1. Entropy Weight Calculation Results
4.3.2. Comprehensive Score Calculation Results
4.3.3. Decision Results
5. Discussion
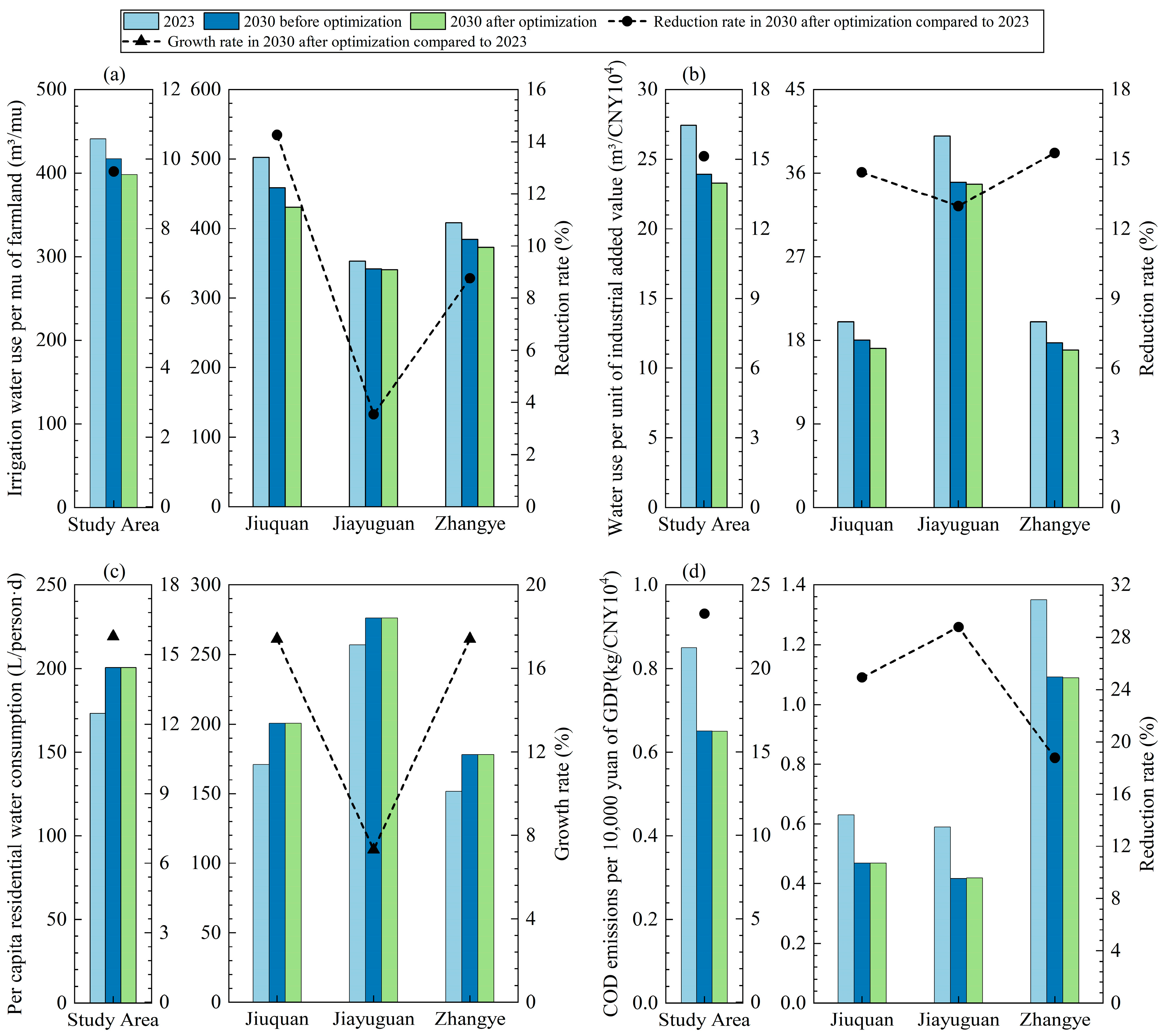
5.1. Analysis of Water-Saving Efficiency
5.1.1. Analysis of Water-Saving Efficiency of Water Supply Sources
5.1.2. Analysis of Water-Saving Efficiency of Water Reserves
5.2. Changes in Water Use Indicators and Policy Implications
5.2.1. Analysis of Water Use Indicator Changes
5.2.2. Policy Implications and Practical Applications
5.3. Sensitivity Analysis
5.4. Research Limitations and Future Directions
6. Conclusions
Author Contributions
Funding
Institutional Review Board Statement
Informed Consent Statement
Data Availability Statement
Acknowledgments
Conflicts of Interest
References
- Tian, H.; Tian, C.; Zhang, R. Multi-Objective Optimization and Allocation of Water Resources in Hancheng City Based on NSGA Algorithm and TOPSIS-CCDM Decision-Making Model. Sustainability 2025, 17, 4616. [Google Scholar] [CrossRef]
- Tong, J.; Cao, J.; Qin, T.; Qin, G.; Ma, J. Study on the Distortionary Effects of Water Resources Allocation in the Yangtze River Economic Belt, China. Sustainability 2025, 17, 1722. [Google Scholar] [CrossRef]
- Wang, H.; Huang, J.; Zhou, H.; Deng, C.; Fang, C. Analysis of sustainable utilization of water resources based on the improved water resources ecological footprint model: A case study of Hubei Province, China. J. Environ. Manag. 2020, 262, 110331. [Google Scholar] [CrossRef] [PubMed]
- Wu, Z.; Liu, X.; Liu, Q.; Qiao, R.; Liu, Z.; Yang, T.; Yan, J.; Ji, L. Urban Development Strategies in China Based on Water Resource Constraints. Chin. J. Eng. Sci. 2022, 24, 75. [Google Scholar] [CrossRef]
- Meng, W.; Wan, W.; Zhao, J.; Wang, Z. Optimal Operation Rules for Parallel Reservoir Systems with Distributed Water Demands. J. Water Resour. Plan. Manag. 2022, 148, 04022020. [Google Scholar] [CrossRef]
- Naghdi, S.; Bozorg-Haddad, O.; Khorsandi, M.; Chu, X. Multi-Objective Optimization for Allocation of Surface Water and Groundwater Resources. Sci. Total Environ. 2021, 776, 146026. [Google Scholar] [CrossRef]
- Kalhori, M.; Ashofteh, P.-S.; Moghadam, S.H. Development of the Multi-Objective Invasive Weed Optimization Algorithm in the Integrated Water Resources Allocation Problem. Water Resour. Manag. 2023, 37, 4433–4458. [Google Scholar] [CrossRef]
- Far, S.M.; Ashofteh, P.S. Optimization Operation of Water Resources Using Game Theory and Marine Predator Algorithm. Water Resour. Manag. 2024, 38, 665–699. [Google Scholar] [CrossRef]
- Qi, X.; Huang, Z.; Qiao, D.; Zhang, X.; Li, P.; Andersen, M.N. Research advances on thereasonable water resources allocation in irrigation district. Adv. Water Sci. 2015, 26, 287–295. [Google Scholar] [CrossRef]
- Wang, Z.; Tian, J.; Feng, K. Optimal Allocation of Regional Water Resources Based on Simulated Annealing Particle Swarm Optimization Algorithm. Energy Rep. 2022, 8, 9119–9126. [Google Scholar] [CrossRef]
- Wu, X.; Wang, Z. Multi-Objective Optimal Allocation of Regional Water Resources Based on Slime Mould Algorithm. J. Supercomput. 2022, 78, 18288–18317. [Google Scholar] [CrossRef]
- Liu, G.; Sun, J.; Luo, Y.; Zhao, X.; Ren, S.; Liu, R.; Wang, J. Optimal Allocation of Water Resources Based on GWAS Model in Handan, China. Pearl River 2024, 45, 63–71. [Google Scholar]
- Akopov, A.S.; Beklaryan, L.A.; Saghatelyan, A.K. Agent-Based Modelling for Ecological Economics: A Case Study of the Republic of Armenia. Ecol. Model. 2017, 346, 99–118. [Google Scholar] [CrossRef]
- Nabhani, A.; Mardaneh, E.; Sjølie, H.K. Multi-Objective Optimization of Forest Ecosystem Services under Uncertainty. Ecol. Model. 2024, 494, 110777. [Google Scholar] [CrossRef]
- Akopov, A.S. MBHGA: A Matrix-Based Hybrid Genetic Algorithm for Solving an Agent-Based Model of Controlled Trade Interactions. IEEE Access 2025, 13, 26843–26863. [Google Scholar] [CrossRef]
- Zaripov, E.A.; Akopov, A.S. Modeling and Optimization of the Characteristics of Intelligent Transport Systems for “Smart Cities” Using Hybrid Evolutionary Algorithms. Бизнес-Инфoрматика 2025, 19, 34–49. [Google Scholar] [CrossRef]
- Tomal, M. Evaluation of Coupling Coordination Degree and Convergence Behaviour of Local Development: A Spatiotemporal Analysis of All Polish Municipalities over the Period 2003–2019. Sustain. Cities Soc. 2021, 71, 102992. [Google Scholar] [CrossRef]
- Li, L.; Fan, Z.; Feng, W.; Yuxin, C.; Keyu, Q. Coupling Coordination Degree Spatial Analysis and Driving Factor between Socio-Economic and Eco-Environment in Northern China. Ecol. Indic. 2022, 135, 108555. [Google Scholar] [CrossRef]
- Xiao, Y.; Wang, R.; Wang, F.; Huang, H.; Wang, J. Investigation on Spatial and Temporal Variation of Coupling Coordination between Socioeconomic and Ecological Environment: A Case Study of the Loess Plateau, China. Ecol. Indic. 2022, 136, 108667. [Google Scholar] [CrossRef]
- Li, W.; Wang, Y.; Xie, S.; Cheng, X. Coupling Coordination Analysis and Spatiotemporal Heterogeneity between Urbanization and Ecosystem Health in Chongqing Municipality, China. Sci. Total Environ. 2021, 791, 148311. [Google Scholar] [CrossRef]
- Tang, F.; Wang, L.; Guo, Y.; Fu, M.; Huang, N.; Duan, W.; Luo, M.; Zhang, J.; Li, W.; Song, W. Spatio-Temporal Variation and Coupling Coordination Relationship between Urbanisation and Habitat Quality in the Grand Canal, China. Land Use Policy 2022, 117, 106119. [Google Scholar] [CrossRef]
- Chen, P.; Shi, X. Dynamic Evaluation of China’s Ecological Civilization Construction Based on Target Correlation Degree and Coupling Coordination Degree. Environ. Impact Assess. Rev. 2022, 93, 106734. [Google Scholar] [CrossRef]
- Dong, G.; Ge, Y.; Liu, J.; Kong, X.; Zhai, R. Evaluation of Coupling Relationship between Urbanization and Air Quality Based on Improved Coupling Coordination Degree Model in Shandong Province, China. Ecol. Indic. 2023, 154, 110578. [Google Scholar] [CrossRef]
- Zhang, W.; Sun, D.; Wang, Y.; Yang, J.; Lan, L.; Jin, H.; Xu, Y. Coupling relationship and spatiao-temporal differentiation of the water resources-ecological environment-social economic system in the Hexi Corridor. Arid Zone Res. 2024, 41, 1527–1537. [Google Scholar] [CrossRef]
- Yuan, R.; Zang, Y. Empirical analysis of coupling and coordination between economic development and water resource environment in Yangtze River Economic Belt. J. Econ. Water Resour. 2021, 39, 1–8. [Google Scholar] [CrossRef]
- Zhang, J.; Deng, Z.; Zhang, Y.; Sun, Y. Multi-objective optimization method for tunnel support schemes driven by surrogate models. J. Hydroelectr. Eng. 2025, 44, 59–71. [Google Scholar] [CrossRef]
- Huang, Z.; Tian, Q.; Tang, W. Multi-objective Diversion Planning for Routes under Strong Convective Weather. Sci. Technol. Eng. 2025, 25, 1648–1657. [Google Scholar] [CrossRef]
- Akopov, A.S. An Improved Parallel Biobjective Hybrid Real-Coded Genetic Algorithm with Clustering-Based Selection. Cybern. Inf. Technol. 2024, 24, 32–49. [Google Scholar] [CrossRef]
- Akopov, A.S.; Beklaryan, L.A.; Thakur, M. Improvement of Maneuverability Within a Multiagent Fuzzy Transportation System With the Use of Parallel Biobjective Real-Coded Genetic Algorithm. IEEE Trans. Intell. Transp. Syst. 2022, 23, 12648–12664. [Google Scholar] [CrossRef]
- Wang, W.; Chen, S. Study on Optimal Allocation of Water Resources Based on NSGA-III Algorithm. J. Water Resour. Res. 2022, 11, 159. [Google Scholar] [CrossRef]
- Zhao, Q.; Bai, Q.; Nie, K.; Wang, H.; Zeng, X. Multi-objective optimizationallocation of regional water resources based on NSGA-III algorithm and TOPSIS decision. J. Drain. Irrig. Mach. Eng. 2022, 40, 1233–1240. [Google Scholar]
- Yuan, Z.; Yang, K.; Chen, J.; Qian, L.; Li, Z.; Wu, J. Multi-Objective Optimal Allocation Scheme Decision of Regional Water Resources Based on NSGA-III. Yellow River 2024, 46, 79–84. [Google Scholar]
- Li, M.; Yang, X.; Wu, F.; Babuna, P. Spatial Equilibrium-Based Multi-Objective Optimal Allocation of Regional Water Resources. J. Hydrol. Reg. Stud. 2022, 44, 101219. [Google Scholar] [CrossRef]
- Dai, C.; Qin, X.; Chen, Y.; Guo, H. Dealing with equality and benefit for water allocation in a lake watershed: A Gini-coefficient based stochastic optimization approach. J. Hydrol. 2018, 561, 322–334. [Google Scholar] [CrossRef]
- Fan, J.; Liu, P.; Wu, B.; Zhang, H.; Zhou, L.; Zhang, X. Study on staged drought-limited water levels for Three Gorges Reservoir. J. Hydroelectr. Eng. 2025, 44, 62–71. [Google Scholar] [CrossRef]
- He, G.; Zhao, Y.; Wang, H.; He, F.; Li, H.; Qin, C.; Zhu, H. Impact of demographic characteristics on China′s economic and social water demand, with peak projections. Adv. Water Sci. 2024, 35, 220–231. [Google Scholar] [CrossRef]
- Zhang, X.; Kang, H. Optimal Allocation of Water Resources in the Renmin Shengli Canal Irrigation Area Under Rigid Constraints. Yellow River 2024, 46, 68–73. [Google Scholar]
- Yang, Z. Dynamic Optimization Configuration of Urban Water Resources Planning Based on Supply—Demand Balance Calculation. Water Conserv. Sci. Technol. Econ. 2025, 31, 103–108. [Google Scholar]
- Tian, Y.; Cheng, R.; Zhang, X.; Jin, Y. PlatEMO: A MATLAB Platform for Evolutionary Multi-Objective Optimization [Educational Forum]. IEEE Comput. Intell. Mag. 2017, 12, 73–87. [Google Scholar] [CrossRef]
- Zhu, X.; Su, X.; Hu, X.; Chu, J.; Jia, D.; Wu, H.; Zhang, T. Optimal allocation of multiple water sources in arid areas based on water-agriculture-ecology coordinated regulation. Trans. Chin. Soc. Agric. Eng. 2024, 40, 239–248. [Google Scholar] [CrossRef]
- Cheng, Y. Research on the Responsibility System of Ecological Environment Governance Based on Systems Thinking. Sci. Technol. Manag. Land Resour. 2025, 42, 34–44. [Google Scholar] [CrossRef]
- Ning, J.; Zhou, S.; Hou, J.; He, H. Study on the water environment effect of industrial transfer in China’s new development pattern. J. Nat. Resour. 2025, 40, 1330–1343. [Google Scholar] [CrossRef]
- Zhang, L.; Zhang, X.; Zhang, R.; Zhang, H. Research on multi-objective optimization of double-side incremental sheet forming process parameters. Manuf. Technol. Mach. Tool 2025, 148–156. [Google Scholar] [CrossRef]
- Chen, Z.; Zheng, J. Research on the Evaluation and Structural Optimization of Agricultural Productivity Development in Fujian Province: Based on the Entropy Weighted TOPSIS Model. J. Anhui Agric. Sci. 2024, 52, 250–255. [Google Scholar]
- Li, P.; Zhang, M.; Zhang, H.; Xiong, F. Research on multi-objective decision making method based on rough set theory and technique for order preference by similarity to an ideal solution. J. Shaanxi Univ. Sci. Technol. 2023, 41, 182–188. [Google Scholar]
- Ferdous, J.; Bensebaa, F.; Milani, A.S.; Hewage, K.; Bhowmik, P.; Pelletier, N. Development of a Generic Decision Tree for the Integration of Multi-Criteria Decision-Making (MCDM) and Multi-Objective Optimization (MOO) Methods under Uncertainty to Facilitate Sustainability Assessment: A Methodical Review. Sustainability 2024, 16, 2684. [Google Scholar] [CrossRef]
- Tao, Y.; Ding, X.; Luo, J.; Fu, X.; Wu, J.; Li, Y. Simulation Optimization of Airport Baggage Import System Based on Multi-Objective Wolf Pack Algorithm. J. Syst. Simul. 2024, 36, 1655–1669. [Google Scholar] [CrossRef]
- Wang, Y.; Hua, C.; Bai, X.; Cha, J. Comprehensive evaluation of regulated deficit irrigation schedule of greenhouse eggplant based on different weight methods combined with TOPSIS model. Agric. Eng. 2024, 14, 42–50. [Google Scholar] [CrossRef]
- Sun, C.; Wang, X.; Zhang, Y. Ecological Health Assessment of an Arid Basin Using the DPSIRM Model and TOPSIS—A Case Study of the Shiyang River Basin. Ecol. Indic. 2024, 161, 111973. [Google Scholar] [CrossRef]
- Niu, C.; Jia, X.; Xiao, L.; Dong, L.; Qiao, H.; Huang, F.; Liu, X.; Luo, S.; Qian, W. Evaluation of Water Richness in Sandstone Aquifers Based on the CRITIC-TOPSIS Method: A Case Study of the Guojiawan Coal Mine in Fugu Mining Area, Shaanxi Province, China. Water 2025, 17, 1424. [Google Scholar] [CrossRef]
- Jiang, F.; Zhang, B. Analysis and Evaluation of Water Resources Carrying Capacity in Jiuquan Based on AHP and Variation Coefficient Method. Water Sav. Irrig. 2023, 9, 94–99. [Google Scholar] [CrossRef]
- Wang, K.; Li, B.; Shang, F.; Han, J.; Wu, X.; Huang, Y. Progress and Challenges of Water Ecological Environment Protection from the Perspective of “Three Waters Overall Planning”. J. Basic Sci. Eng. 2025, 33, 111–121. [Google Scholar] [CrossRef]
- Hu, J.; Yao, J. Study on the urban-rural differences and influencing factors of residents’ water conservation behavior. Resour. Dev. Mark. 2025, 41, 684. [Google Scholar] [CrossRef]
- Li, Q.; Chen, Y.; Zhou, W. Thoughts on Optimal Allocation of Water Resources in Xinjiang Region. J. Water Resour. Res. 2025, 14, 58. [Google Scholar] [CrossRef]


















| Symbol | Definition | Unit |
|---|---|---|
| f1(x) | Minimization of the squared regional water shortage rate | % |
| f2(x) | Total regional economic benefit achieved through water resources allocation | CNY 108 |
| f3(x) | Total COD emissions in wastewater discharge | t |
| f4(x) = F | Spatial equilibrium level (i.e., coupling coordination degree), 0 < F < 1 | |
| i | Index of water supply sources | |
| j | Index of water use units | |
| k | Index of water use sectors | |
| Water demand of sector k in unit j | 108 m3 | |
| Amount of water allocated from source i to sector k in unit j | 108 m3 | |
| Total water use benefit coefficient of sector k in unit j | CNY/m3 | |
| Water use equity coefficient of sector k in unit j | ||
| Allocation relationship between source i in unit j and sector k | ||
| Wastewater discharge coefficient of sector k in unit j | ||
| Concentration of COD in the wastewater discharged by water use sector k in unit j | mg/L | |
| C | Attainable coupling degree among the water use units | |
| T | Attainable coordination degree among the water use units | |
| Available water supply of source i | ||
| Lower bound of water demand for sector k in unit j | 108 m3 | |
| Upper bound of water demand for sector k in unit j | 108 m3 | |
| Weighting coefficient of the unit j, | ||
| coupling coordination degree of the water resources, socio-economic, and ecological subsystems within the unit j | ||
| coupling degree of the water resources, socio-economic, and ecological subsystems within the unit j | ||
| coordination degree of the water resources, socio-economic, and ecological subsystems within the unit j | ||
| Indicators used to calculate the coupling coordination degree of the water resources, socio-economic, and ecological subsystems for each unit | ||
| Weighting coefficient of indicator n, | ||
| n | Total number of indicators considered |
| Coupling Coordination Degree (F) | Spatial Equilibrium Level | |
|---|---|---|
| [0, 0.2] | Barely coupled | Imbalanced |
| (0.2, 0.4] | Generally coupled | Relatively imbalanced |
| (0.4, 0.6] | Moderately coupled | Balanced |
| (0.6, 0.8] | Well coupled | Well balanced |
| (0.8, 1.0] | Highly coupled | Highly balanced |
| Water Use Unit | Population (104 People) | GDP (CNY 108) | Available Water Supply (108 m3) | Water Demand (108 m3) | Water Shortage (108 m3) |
|---|---|---|---|---|---|
| Jiuquan | 105.37 | 1189.73 | 25.39 | 26.39 | −1.00 |
| Jiayuguan | 33.34 | 477.97 | 2.70 | 2.71 | −0.01 |
| Zhangye | 111.45 | 739.39 | 20.10 | 20.52 | −0.42 |
| Study Area | 250.16 | 2407.09 | 48.18 | 49.61 | −1.43 |
| Water Use Unit | Agricultural Sector (CNY/m3) | Industrial Sector (CNY/m3) | Domestic Sector (CNY/m3) | Ecological Sector (CNY/m3) |
|---|---|---|---|---|
| Jiuquan | 10.43 | 555.07 | 555.07 | 555.07 |
| Jiayuguan | 17.76 | 285.71 | 285.71 | 285.71 |
| Zhangye | 12.06 | 563.38 | 563.38 | 563.38 |
| Water Use Unit | Wastewater Discharge Coefficient | COD Emission Concentration (mg/L) | ||
|---|---|---|---|---|
| Industrial Sector | Domestic Sector | Industrial Sector | Domestic Sector | |
| Jiuquan | 0.02 | 0.58 | 25.89 | 124.88 |
| Jiayuguan | 0.31 | 0.34 | 3.12 | 165.95 |
| Zhangye | 0.05 | 0.56 | 92.81 | 196.30 |
| Water Use Unit | Available Water Supply (108 m3) | Water Demand (108 m3) | Water Surplus (108 m3) |
|---|---|---|---|
| Jiuquan | 24.68 | 25.39 | 0.70 |
| Jiayuguan | 2.53 | 2.70 | 0.17 |
| Zhangye | 19.14 | 20.10 | 0.96 |
| Study Area | 46.35 | 48.18 | 1.83 |
| Water Source | Agricultural Sector | Industrial Sector | Domestic Sector | Ecological Sector |
|---|---|---|---|---|
| Surface water | 1 | 1 | 1 | 1 |
| Ground water | 1 | 1 | 1 | 0 |
| Other water | 0 | 1 | 0 | 1 |
| Index | Social Objective (%) | Economic Objective (CNY 108) | Ecological Objective (t) | Spatial Equilibrium Level |
|---|---|---|---|---|
| 22 | 1.273 | 1678.65 | 15,661.12 | 0.8614 |
| 18 | 1.106 | 1679.02 | 15,663.08 | 0.8615 |
| 65 | 1.216 | 1678.74 | 15,663.15 | 0.8618 |
| Water Use Unit | Water Source | Water Allocation Amount (104 m3) | |||
|---|---|---|---|---|---|
| Agricultural Sector | Industrial Sector | Domestic Sector | Ecological Sector | ||
| Juiquan | Surface water | 123,947.47 | 0.00 | 0.00 | 52,255.62 |
| Ground water | 58,542.23 | 4166.73 | 7720.84 | 0.00 | |
| Other water | 0.00 | 3220.62 | 0.00 | 0.00 | |
| Jiayuguan | Surface water | 57.65 | 0.00 | 0.00 | 7832.64 |
| Ground water | 5602.74 | 4372.53 | 3359.24 | 0.00 | |
| Other water | 0.00 | 5467.01 | 0.00 | 0.00 | |
| Zhangye | Surface water | 125,525.78 | 0.00 | 0.00 | 2843.96 |
| Ground water | 60,935.50 | 0.00 | 7247.94 | 0.00 | |
| Other water | 0.00 | 1597.24 | 0.00 | 1475.39 | |
| Water Use Unit | Water Source | Water Allocation Amount (104 m3) | |||
|---|---|---|---|---|---|
| Agricultural Sector | Industrial Sector | Domestic Sector | Ecological Sector | ||
| Juiquan | Surface water | 123,947.47 | 0.00 | 0.00 | 52,255.62 |
| Ground water | 58,542.23 | 4166.73 | 7720.84 | 0.00 | |
| Other water | 0.00 | 3220.62 | 0.00 | 0.00 | |
| Jiayuguan | Surface water | 57.65 | 0.00 | 0.00 | 7832.64 |
| Ground water | 5553.37 | 4318.88 | 3359.24 | 0.00 | |
| Other water | 0.00 | 5467.01 | 0.00 | 0.00 | |
| Zhangye | Surface water | 125,452.97 | 0.00 | 0.00 | 2916.77 |
| Ground water | 61,008.30 | 0.00 | 7247.94 | 0.00 | |
| Other water | 0.00 | 1648.03 | 0.00 | 1424.60 | |
| Water Use Unit | Water Source | Water Allocation Amount (104 m3) | |||
|---|---|---|---|---|---|
| Agricultural Sector | Industrial Sector | Domestic Sector | Ecological Sector | ||
| Juiquan | Surface water | 123,947.47 | 0.00 | 0.00 | 52,255.62 |
| Ground water | 58,542.23 | 4166.73 | 7720.84 | 0.00 | |
| Other water | 0.00 | 3220.62 | 0.00 | 0.00 | |
| Jiayuguan | Surface water | 57.65 | 0.00 | 0.00 | 7832.64 |
| Ground water | 5491.08 | 4404.90 | 3359.24 | 0.00 | |
| Other water | 0.00 | 5467.01 | 0.00 | 0.00 | |
| Zhangye | Surface water | 125,498.82 | 0.00 | 0.00 | 2870.93 |
| Ground water | 59,709.24 | 9.88 | 7247.94 | 0.00 | |
| Other water | 0.00 | 1622.43 | 0.00 | 1450.20 | |
| Projected Available Water Supply (104 m3) | ||||
|---|---|---|---|---|
| Water Use Unit | Surface Water | Ground Water | Other Water | Total |
| Jiuquan | 176,203.09 | 70,429.80 | 3220.62 | 249,853.51 |
| Jiayuguan | 7890.29 | 13,334.51 | 5467.01 | 26,691.82 |
| Zhangye | 128,369.74 | 68,183.44 | 3072.63 | 199,625.81 |
| Study Area | 312,463.13 | 151,947.75 | 11,760.27 | 476,171.14 |
| Optimal Allocation Water Supply (104 m3) | ||||
| Jiuquan | 176,203.09 | 70,429.80 | 3220.62 | 249,853.51 |
| Jiayuguan | 7890.29 | 13,334.51 | 5467.01 | 26,691.82 |
| Zhangye | 128,369.74 | 68,183.44 | 3072.63 | 199,625.81 |
| Study Area | 312,463.13 | 151,947.75 | 11,760.27 | 476,171.14 |
| Remaining Available Water Resources (104 m3) | ||||
| Jiuquan | 0.000 | 4000.00 | 0.000 | 4000.00 |
| Jiayuguan | 0.000 | 295.76 | 0.000 | 295.76 |
| Zhangye | 0.000 | 1337.24 | 0.000 | 1337.24 |
| Study Area | 0.00 | 5633.00 | 0.00 | 5633.00 |
| Projected Water Demand (104 m3) | |||||
|---|---|---|---|---|---|
| Water Use Unit | Agricultural Sector | Industrial Sector | Domestic Sector | Ecological Sector | Total |
| Jiuquan | 193,369.13 | 7776.16 | 7720.84 | 55,005.92 | 263,872.04 |
| Jiayuguan | 5677.33 | 9893.42 | 3359.24 | 8159.00 | 27,088.99 |
| Zhangye | 191,909.20 | 1672.99 | 7247.94 | 4355.42 | 205,185.55 |
| Study Area | 390,955.66 | 19,342.57 | 18,328.02 | 67,520.34 | 496,146.59 |
| Optimal Allocation Water Demand (104 m3) | |||||
| Jiuquan | 182,489.69 | 7387.35 | 7720.84 | 52,255.62 | 249,853.51 |
| Jiayuguan | 5660.40 | 9839.54 | 3359.24 | 7832.64 | 26,691.82 |
| Zhangye | 186,461.28 | 1597.24 | 7247.94 | 4319.35 | 199,625.81 |
| Study Area | 374,611.37 | 18,824.14 | 18,328.02 | 64,407.62 | 476,171.14 |
| Saved Water Reserves (104 m3) | |||||
| Jiuquan | 10,879.43 | 388.80 | 0.00 | 2750.29 | 14,018.53 |
| Jiayuguan | 16.94 | 53.87 | 0.00 | 326.36 | 397.17 |
| Zhangye | 5447.92 | 75.75 | 0.00 | 36.07 | 5559.74 |
| Study Area | 16,344.29 | 518.43 | 0.00 | 3112.72 | 19,975.44 |
| Water Use Sector | Core Policy Recommendations |
|---|---|
| Agricultural sector | Promote efficient irrigation, fund water-saving facilities, enforce irrigation regulations, and enhance precision management. |
| Industrial sector | Optimize industrial structure, adopt water-saving technologies, regulate high-consumption industries, and promote reclaimed water use. |
| Domestic sector | Implement conservation policies, strengthen public education, promote water-saving appliances, establish performance assessments, and protect groundwater. |
| Ecological sector | Improve industrial water efficiency, promote clean production, and integrate water allocation with pollution control. |
Disclaimer/Publisher’s Note: The statements, opinions and data contained in all publications are solely those of the individual author(s) and contributor(s) and not of MDPI and/or the editor(s). MDPI and/or the editor(s) disclaim responsibility for any injury to people or property resulting from any ideas, methods, instructions or products referred to in the content. |
© 2025 by the authors. Licensee MDPI, Basel, Switzerland. This article is an open access article distributed under the terms and conditions of the Creative Commons Attribution (CC BY) license (https://creativecommons.org/licenses/by/4.0/).
Share and Cite
Li, X.; Wang, Y.; Huang, C.; Li, F.; Wu, G. Multi-Objective Optimization of Water Resource Allocation with Spatial Equilibrium Considerations: A Case Study of Three Cities in Western Gansu Province. Sustainability 2025, 17, 8582. https://doi.org/10.3390/su17198582
Li X, Wang Y, Huang C, Li F, Wu G. Multi-Objective Optimization of Water Resource Allocation with Spatial Equilibrium Considerations: A Case Study of Three Cities in Western Gansu Province. Sustainability. 2025; 17(19):8582. https://doi.org/10.3390/su17198582
Chicago/Turabian StyleLi, Xuefang, Yucai Wang, Caixia Huang, Fuqiang Li, and Guanheng Wu. 2025. "Multi-Objective Optimization of Water Resource Allocation with Spatial Equilibrium Considerations: A Case Study of Three Cities in Western Gansu Province" Sustainability 17, no. 19: 8582. https://doi.org/10.3390/su17198582
APA StyleLi, X., Wang, Y., Huang, C., Li, F., & Wu, G. (2025). Multi-Objective Optimization of Water Resource Allocation with Spatial Equilibrium Considerations: A Case Study of Three Cities in Western Gansu Province. Sustainability, 17(19), 8582. https://doi.org/10.3390/su17198582

