Sustainable Utilization of CO2 from Exhaust Gases for the Autotrophic Cultivation of the Biohydrogen-Producing Microalga Tetraselmis subcordiformis
Abstract
1. Introduction
2. Materials and Methods
2.1. Research Organization
2.2. Materials
2.2.1. T. subcordiformis Biomass
2.2.2. Culture Medium Used in S1 (Biomass Production)
2.2.3. Culture Medium Used in S2 (Biohydrogen Production)
2.2.4. Carbon Dioxide (CO2) Sources
2.3. Photobioreactors for T. subcordiformis Biomass Cultivation (S1)
2.4. Hydrogen Production Bioreactor (S2)
2.5. Analytical, Computational and Statistical Methods
3. Results and Discussion
3.1. T. subcordiformis Culture and Properties of the Obtained Biomass
3.2. CO2 Biofixation and pH Changes
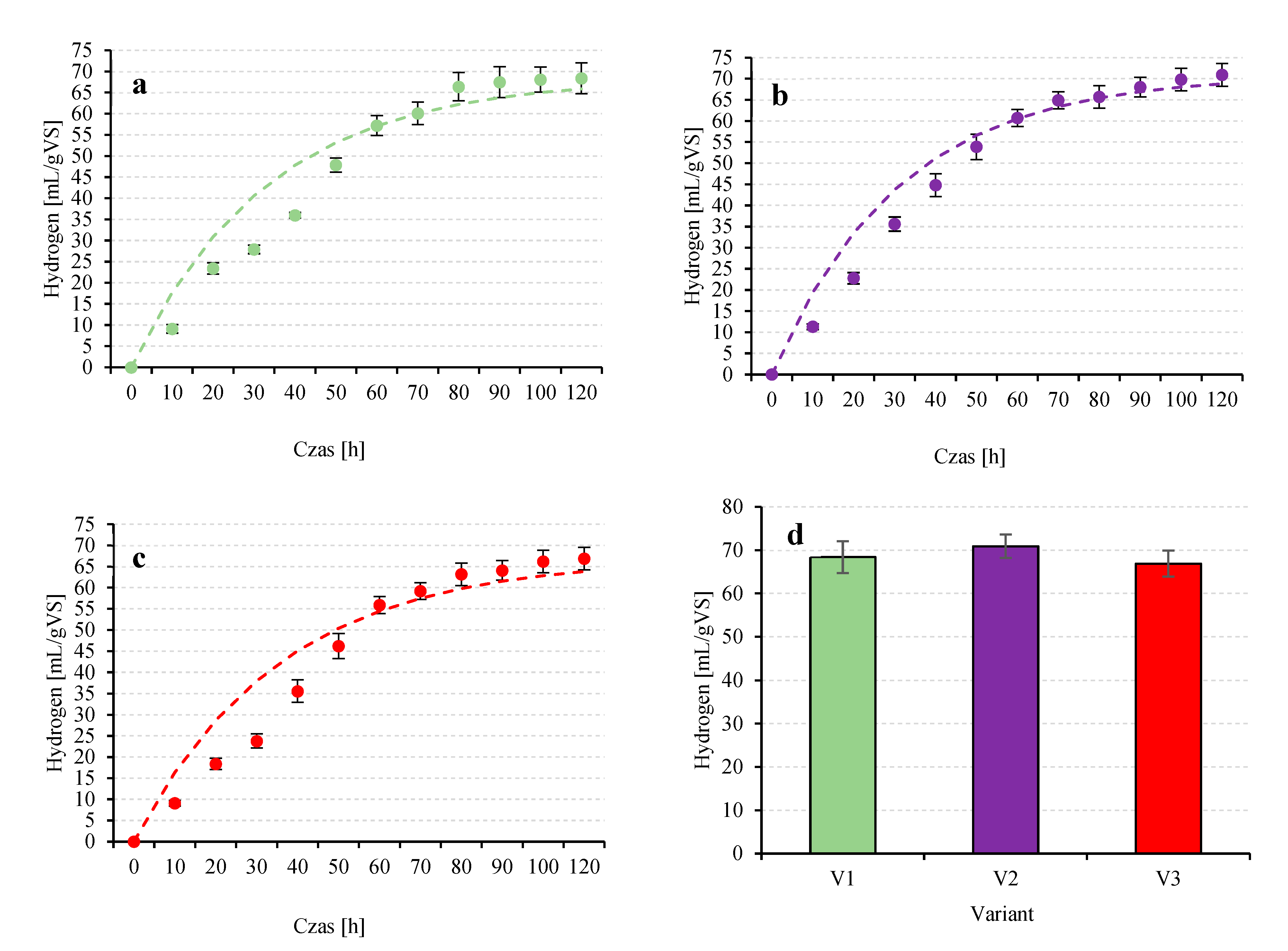
3.3. Hydrogen Production
4. Conclusions
Author Contributions
Funding
Institutional Review Board Statement
Informed Consent Statement
Data Availability Statement
Conflicts of Interest
References
- Friedlingstein, P.; O’Sullivan, M.; Jones, M.W.; Andrew, R.M.; Hauck, J.; Landschützer, P.; Le Quéré, C.; Li, H.; Luijkx, I.T.; Olsen, A.; et al. Global Carbon Budget 2024. Earth Syst. Sci. Data 2025, 17, 965–1039. [Google Scholar] [CrossRef]
- Rajabloo, T.; Valee, J.; Marenne, Y.; Coppens, L.; De Ceuninck, W. Carbon capture and utilization for industrial applications. Energy Rep. 2023, 9, 111–116. [Google Scholar] [CrossRef]
- Siddique, M.H.; Maqbool, F.; Shahzad, T.; Waseem, M.; Rasul, I.; Hayat, S.; Afzal, M.; Faisal, M.; Muzammil, S. Recent advances in carbon dioxide utilization as renewable energy. In Green Sustainable Process for Chemical and Environmental Engineering and Science; Elsevier: Amsterdam, The Netherlands, 2023; pp. 197–210. [Google Scholar] [CrossRef]
- Omokaro, G.O.; Nafula, Z.S.; Iloabuchi, N.E.; Chikukula, A.A.; Osayogie, O.G.; Nnoli, E.C. Microalgae as biofactories for sustainable applications: Advancing carbon sequestration, bioenergy, and environmental remediation. Sustain. Chem. Clim. Action 2025, 7, 100098. [Google Scholar] [CrossRef]
- Soudagar, M.E.M.; Sharma, A.; Srinivasan, R.; Nagarajan, N.; Mohanavel, V.; Ravichandran, M.; Ayyar, M.; Al Obaid, S.; Alharbi, S.A. Collection of rich microalgae from textile wastewater and utilized for hydrogen production via hydrothermal gasification route: Performance study. Algal Res. 2025, 89, 104052. [Google Scholar] [CrossRef]
- Quinn, J.C.; Hanif, A.; Sharvelle, S.; Bradley, T.H. Microalgae to biofuels: Life cycle impacts of methane production of anaerobically digested lipid extracted algae. Bioresour. Technol. 2014, 171, 37–43. [Google Scholar] [CrossRef] [PubMed]
- Pandey, S.; Narayanan, I.; Selvaraj, R.; Varadavenkatesan, T.; Vinayagam, R. Biodiesel production from microalgae: A comprehensive review on influential factors, transesterification processes, and challenges. Fuel 2024, 367, 131547. [Google Scholar] [CrossRef]
- Spennati, E.; Casazza, A.A.; Converti, A.; Busca, G. Investigation on thermal pyrolysis of microalgae grown in winery wastewater: Biofuels and chemicals production. Biomass Convers. Biorefinery 2024, 14, 17647–17661. [Google Scholar] [CrossRef]
- Zhakupov, D.; Kulmukanova, L.; Sarbassov, Y.; Shah, D. Flue gas analysis for biomass and coal co-firing in fluidized bed: Process simulation and validation. Int. J. Coal Sci. Technol. 2022, 9, 59. [Google Scholar] [CrossRef]
- Li, G.; Xiao, W.; Yang, T.; Lyu, T. Optimization and Process Effect for Microalgae Carbon Dioxide Fixation Technology Applications Based on Carbon Capture: A Comprehensive Review. C 2023, 9, 35. [Google Scholar] [CrossRef]
- Ye, Q.; Shen, Y.; Zhang, Q.; Wu, X.; Guo, W. Life-cycle assessment of flue gas CO2 fixation from coal-fired power plant and coal chemical plant by microalgae. Sci. Total Environ. 2022, 848, 157728. [Google Scholar] [CrossRef]
- Dammak, M.; Hadrich, B.; Miladi, R.; Barkallah, M.; Hentati, F.; Hachicha, R.; Laroche, C.; Michaud, P.; Fendri, I.; Abdelkafi, S. Effects of nutritional conditions on growth and biochemical composition of Tetraselmis sp. Lipids Health Dis. 2017, 16, 41. [Google Scholar] [CrossRef]
- Guo, Z.; Chen, Z.; Zhang, W.; Yu, X.; Jin, M. Improved hydrogen photoproduction regulated by carbonylcyanide m-chlorophenylhrazone from marine green alga Platymonas subcordiformis grown in CO2-supplemented air bubble column bioreactor. Biotechnol. Lett. 2008, 30, 877–883. [Google Scholar] [CrossRef] [PubMed]
- Ji, C.; Cao, X.; Liu, H.; Qu, J.; Yao, C.; Zou, H.; Xue, S. Investigating Cellular Responses During Photohydrogen Production by the Marine Microalga Tetraselmis subcordiformis by Quantitative Proteome Analysis. Appl. Biochem. Biotechnol. 2015, 177, 649–661. [Google Scholar] [CrossRef]
- Nagarajan, D.; Dong, C.; Chen, C.; Lee, D.; Chang, J. Biohydrogen production from microalgae—Major bottlenecks and future research perspectives. Biotechnol. J. 2021, 16, 2000124. [Google Scholar] [CrossRef]
- Mehariya, S.; Annamalai, S.N.; Thaher, M.I.; Quadir, M.A.; Khan, S.; Rahmanpoor, A.; Kashem, A.; Faisal, M.; Sayadi, S.; Al Hawari, A.; et al. A comprehensive review on versatile microalga Tetraselmis: Potentials applications in wastewater remediation and bulk chemical production. J. Environ. Manag. 2024, 365, 121520. [Google Scholar] [CrossRef] [PubMed]
- Zieliński, M.; Barczak, Ł.; Rusanowska, P.; Kazimierowicz, J.; Dębowski, M. Comparison of Biohydrogen Production by Tetraselmis subcordiformis During Cultivation Using Soil-Less Agricultural Wastewater and Effluent from Microbial Fuel Cells. Energies 2024, 17, 5287. [Google Scholar] [CrossRef]
- Zieliński, M.; Barczak, Ł.; Rusanowska, P.; Nowicka, A.; Dębowski, M. Microbial Fuel Cells as CO2 Source in the Autotrophic Cultivation of the Green Microalgae Tetraselmis subcordiformis: Impact on Biomass Growth, Nutrient Removal, and Hydrogen Production. Energies 2025, 18, 874. [Google Scholar] [CrossRef]
- Gonçalves, J.; Freitas, J.; Fernandes, I.; Silva, P. Microalgae as Biofertilizers: A Sustainable Way to Improve Soil Fertility and Plant Growth. Sustainability 2023, 15, 12413. [Google Scholar] [CrossRef]
- Ahmad, A.; Hassan, S.W.; Banat, F. An overview of microalgae biomass as a sustainable aquaculture feed ingredient: Food security and circular economy. Bioengineered 2022, 13, 9521–9547. [Google Scholar] [CrossRef]
- Aslam, A.; Thomas-Hall, S.R.; Manzoor, M.; Jabeen, F.; Iqbal, M.; uz Zaman, Q.; Schenk, P.M.; Tahir, M.A. Mixed microalgae consortia growth under higher concentration of CO2 from unfiltered coal fired flue gas: Fatty acid profiling and biodiesel production. J. Photochem. Photobiol. B Biol. 2018, 179, 126–133. [Google Scholar] [CrossRef]
- Jiao, H.; Tsigkou, K.; Elsamahy, T.; Pispas, K.; Sun, J.; Manthos, G.; Schagerl, M.; Sventzouri, E.; Al-Tohamy, R.; Kornaros, M.; et al. Recent advances in sustainable hydrogen production from microalgae: Mechanisms, challenges, and future perspectives. Ecotoxicol. Environ. Saf. 2024, 270, 115908. [Google Scholar] [CrossRef]
- Department Experimental Phycology and Culture Collection of Algae (EPSAG). Available online: https://sagdb.uni-goettingen.de/detailedList.php?str_number=161-1a (accessed on 27 August 2025).
- Guan, Y.; Deng, M.; Yu, X.; Zhang, W. Two-stage photo-biological production of hydrogen by marine green alga Platymonas subcordiformis. Biochem. Eng. J. 2004, 19, 69–73. [Google Scholar] [CrossRef]
- Gabrielyan, D.A.; Gabel, B.V.; Sinetova, M.A.; Gabrielian, A.K.; Markelova, A.G.; Shcherbakova, N.V.; Los, D.A. Optimization of CO2 Supply for the Intensive Cultivation of Chlorella sorokiniana IPPAS C-1 in the Laboratory and Pilot-Scale Flat-Panel Photobioreactors. Life 2022, 12, 1469. [Google Scholar] [CrossRef]
- Zhao, B.; Su, Y. Process effect of microalgal-carbon dioxide fixation and biomass production: A review. Renew. Sustain. Energy Rev. 2014, 31, 121–132. [Google Scholar] [CrossRef]
- Zieliński, M.; Kazimierowicz, J.; Dębowski, M. The Possibility of Deploying CO2 from Biogas Combustion to Improve the Productivity of a Periodical Chlorella vulgaris Culture. Front. Biosci. 2023, 15, 3. [Google Scholar] [CrossRef]
- Dębowski, M.; Zieliński, M.; Vdovychenko, A.; Kazimierowicz, J. The Use of the Autotrophic Culture of Arthrospira platensis for CO2 Fixation from Biogas Combustion. Processes 2024, 12, 396. [Google Scholar] [CrossRef]
- Cho, J.M.; Oh, Y.-K.; Lee, J.; Chang, Y.K.; Park, W.-K. Development of dual strain microalgae cultivation system for the direct carbon dioxide utilization of power plant flue gas. Bioresour. Technol. 2024, 393, 130051. [Google Scholar] [CrossRef] [PubMed]
- Qin, J.; Jia, M.; Sun, J. Examining the effects of elevated CO2 on the growth kinetics of two microalgae, Skeletonema dohrnii (Bacillariophyceae) and Heterosigma akashiwo (Raphidophyceae). Front. Mar. Sci. 2024, 11, 1347029. [Google Scholar] [CrossRef]
- Vermeersch, L.; Perez-Samper, G.; Cerulus, B.; Jariani, A.; Gallone, B.; Voordeckers, K.; Steensels, J.; Verstrepen, K.J. On the duration of the microbial lag phase. Curr. Genet. 2019, 65, 721–727. [Google Scholar] [CrossRef]
- Seyedmahdi, H.; Saeed, A.; Mohamad, S.H.; Fatemeh, M. Growth response of Spirulina platensis PCC9108 to elevated CO2 levels and flue gas. Biol. J. Microorg. 2014, 2, 29–36. [Google Scholar]
- Ansari, A.A.; Khoja, A.H.; Nawar, A.; Qayyum, M.; Ali, E. Wastewater treatment by local microalgae strains for CO2 sequestration and biofuel production. Appl. Water Sci. 2017, 7, 4151–4158. [Google Scholar] [CrossRef]
- Kusi, P.A.; McGee, D.; Tabraiz, S.; Ahmed, A. Bicarbonate concentration influences carbon utilization rates and biochemical profiles of freshwater and marine microalgae. Biotechnol. J. 2024, 19, 2400361. [Google Scholar] [CrossRef]
- Lin, Q.; Gu, N.; Li, G.; Lin, J.; Huang, L.; Tan, L. Effects of inorganic carbon concentration on carbon formation, nitrate utilization, biomass and oil accumulation of Nannochloropsis oculata CS 179. Bioresour. Technol. 2012, 111, 353–359. [Google Scholar] [CrossRef] [PubMed]
- Cai, Y.; Zhai, L.; Fang, X.; Wu, K.; Liu, Y.; Cui, X.; Wang, Y.; Yu, Z.; Ruan, R.; Liu, T.; et al. Effects of C/N ratio on the growth and protein accumulation of heterotrophic Chlorella in broken rice hydrolysate. Biotechnol. Biofuels Bioprod. 2022, 15, 102. [Google Scholar] [CrossRef]
- Cheng, Y.-S.; Labavitch, J.M.; VanderGheynst, J.S. Elevated CO2 concentration impacts cell wall polysaccharide composition of green microalgae of the genus Chlorella. Lett. Appl. Microbiol. 2015, 60, 1–7. [Google Scholar] [CrossRef]
- Li, J.; Tang, X.; Pan, K.; Zhu, B.; Li, Y.; Ma, X.; Zhao, Y. The regulating mechanisms of CO2 fixation and carbon allocations of two Chlorella sp. strains in response to high CO2 levels. Chemosphere 2020, 247, 125814. [Google Scholar] [CrossRef]
- Mahmoudi, H.; Kossalbayev, B.; Sarsekeyeva, F.; Zaletova, D.; Lyaguta, M. The influence of varying concentrations of CO2 on the buildup of carbohydrates in microalgae biomass. BIO Web Conf. 2024, 100, 02013. [Google Scholar] [CrossRef]
- Zhang, Z.; Li, Y.; Yang, S.; Wen, S.; Zhu, H.; Zhou, H. Target of Rapamycin Is a Crucial Regulator of Photosynthesis and Nutrient Metabolism Partitioning in Nannochloropsis gaditana. Biotechnol. Biofuels Bioprod. 2025, 18, 1–19. [Google Scholar] [CrossRef]
- Pancha, I.; Chokshi, K.; Tanaka, K.; Imamura, S. Microalgal Target of Rapamycin (TOR): A Central Regulatory Hub for Growth, Stress Response and Biomass Production. Plant Cell Physiol. 2020, 61, 675–684. [Google Scholar] [CrossRef]
- Mallén-Ponce, M.J.; Pérez-Pérez, M.E.; Crespo, J.L. Deciphering the Function and Evolution of the Target of Rapamycin Signaling Pathway in Microalgae. J. Exp. Bot. 2022, 73, 6993–7005. [Google Scholar] [CrossRef] [PubMed]
- Mallen-Ponce, M.J.; Perez-Perez, M.E.; Crespo, J.L. Photosynthetic Assimilation of CO2 Regulates TOR Activity. Proc. Natl. Acad. Sci. USA 2022, 119, e2115261119. [Google Scholar] [CrossRef]
- Gao, K. Approaches and involved principles to control pH/pCO2 stability in algal cultures. J. Appl. Phycol. 2021, 33, 3497–3505. [Google Scholar] [CrossRef]
- Babiak, W.; Krzemińska, I. Extracellular Polymeric Substances (EPS) as Microalgal Bioproducts: A Review of Factors Affecting EPS Synthesis and Application in Flocculation Processes. Energies 2021, 14, 4007. [Google Scholar] [CrossRef]
- Iakovidou, G.; Itziou, A.; Tsiotsias, A.; Lakioti, E.; Samaras, P.; Tsanaktsidis, C.; Karayannis, V. Application of Microalgae to Wastewater Bioremediation, with CO2 Biomitigation, Health Product and Biofuel Development, and Environmental Biomonitoring. Appl. Sci. 2024, 14, 6727. [Google Scholar] [CrossRef]
- Russo, M.E.; Capasso, C.; Marzocchella, A.; Salatino, P. Immobilization of Carbonic Anhydrase for CO2 Capture and Utilization. Appl. Microbiol. Biotechnol. 2022, 106, 3419–3430. [Google Scholar] [CrossRef] [PubMed]
- Yao, D.; Wu, L.; Tan, D.; Yu, Y.; Jiang, Q.; Wu, Y.; Wang, H.; Liu, Y. Enhancing CO2 Fixation by Microalgae in a Photobioreactor: Molecular Mechanisms with Exogenous Carbonic Anhydrase. Bioresour. Technol. 2024, 408, 131176. [Google Scholar] [CrossRef]
- Viswanaathan, S.; Perumal, P.K.; Sundaram, S. Integrated Approach for Carbon Sequestration and Wastewater Treatment Using Algal–Bacterial Consortia: Opportunities and Challenges. Sustainability 2022, 14, 1075. [Google Scholar] [CrossRef]
- Liu, X.; Wang, Y.; Chen, H.; Zhang, J.; Wang, C.; Li, X.; Pang, S. Acute Toxicity and Associated Mechanisms of Four Strobilurins in Algae. Environ. Toxicol. Pharmacol. 2018, 60, 12–16. [Google Scholar] [CrossRef] [PubMed]
- Lager, I.; Andréasson, O.; Dunbar, T.L.; Andreasson, E.; Escobar, M.A.; Rasmusson, A.G. Changes in External PH Rapidly Alter Plant Gene Expression and Modulate Auxin and Elicitor Responses. Plant. Cell Environ. 2010, 33, 1513–1528. [Google Scholar] [CrossRef] [PubMed]
- Kessler, A.; Baldwin, I.T. Plant Responses to Insect Herbivory: The Emerging Molecular Analysis. Annu. Rev. Plant Biol. 2002, 53, 299–328. [Google Scholar] [CrossRef]
- Yang, Q.; Li, H.; Wang, D.; Zhang, X.; Guo, X.; Pu, S.; Guo, R.; Chen, J. Utilization of chemical wastewater for CO2 emission reduction: Purified terephthalic acid (PTA) wastewater-mediated culture of microalgae for CO2 bio-capture. Appl. Energy 2020, 276, 115502. [Google Scholar] [CrossRef]
- Kazemifar, F. A Review of Technologies for Carbon Capture, Sequestration, and Utilization: Cost, Capacity, and Technology Readiness. Greenh. Gases Sci. Technol. 2022, 12, 200–230. [Google Scholar] [CrossRef]
- Nwabueze, Q.A.; Leggett, S. Advancements in the Application of CO2 Capture and Utilization Technologies—A Comprehensive Review. Fuels 2024, 5, 508–532. [Google Scholar] [CrossRef]
- Sudha, P.N.; Vijayalakshmi, K.; Hemapriya, D.; Saranya, M.; Kim, S.K. Microalgal Efficiency for Wastewater Treatment. Encycl. Mar. Biotechnol. 2020, 1, 459–495. [Google Scholar] [CrossRef]
- Padhi, D.; Kashyap, S.; Mohapatra, R.K.; Dineshkumar, R.; Nayak, M. Microalgae-Based Flue Gas CO2 Sequestration for Cleaner Environment and Biofuel Feedstock Production: A Review. Environ. Sci. Pollut. Res. 2025, 32, 13539–13565. [Google Scholar] [CrossRef] [PubMed]
- Wang, R.; Wang, X.; Zhu, T. Research Progress and Application of Carbon Sequestration in Industrial Flue Gas by Microalgae: A Review. J. Environ. Sci. 2025, 152, 14–28. [Google Scholar] [CrossRef]
- Schade, S.; Meier, T. A Comparative Analysis of the Environmental Impacts of Cultivating Microalgae in Different Production Systems and Climatic Zones: A Systematic Review and Meta-Analysis. Algal Res. 2019, 40, 101485. [Google Scholar] [CrossRef]
- Arora, K.; Kaur, P.; Kumar, P.; Singh, A.; Patel, S.K.S.; Li, X.; Yang, Y.H.; Bhatia, S.K.; Kulshrestha, S. Valorization of Wastewater Resources Into Biofuel and Value-Added Products Using Microalgal System. Front. Energy Res. 2021, 9, 646571. [Google Scholar] [CrossRef]
- Wu, N.; Moreira, C.M.; Zhang, Y.; Doan, N.; Yang, S.; Phlips, E.J.; Svoronos, S.A.; Pullammanappallil, P.C.; Wu, N.; Moreira, C.M.; et al. Techno-Economic Analysis of Biogas Production from Microalgae through Anaerobic Digestion. Anaerob. Dig. 2019. [Google Scholar] [CrossRef]
- Foo, S.C.; Mok, C.Y.; Ho, S.Y.; Khong, N.M.H. Microalgal Culture Preservation: Progress, Trends and Future Developments. Algal Res. 2023, 71, 103007. [Google Scholar] [CrossRef]
- Novoveská, L.; Nielsen, S.L.; Eroldoğan, O.T.; Haznedaroglu, B.Z.; Rinkevich, B.; Fazi, S.; Robbens, J.; Vasquez, M.; Einarsson, H. Overview and Challenges of Large-Scale Cultivation of Photosynthetic Microalgae and Cyanobacteria. Mar. Drugs 2023, 21, 445. [Google Scholar] [CrossRef]
- Choudhary, S.; Poluri, K.M. Microalgal-Based Biorefinery Approaches Toward a Sustainable Future. In Industrial Microbiology and Biotechnology; Springer: Singapore, 2024; pp. 229–275. [Google Scholar] [CrossRef]
- Satheesh, S.; Pugazhendi, A.; Al-Mur, B.A.; Balasubramani, R. Biohydrogen production coupled with wastewater treatment using selected microalgae. Chemosphere 2023, 334, 138932. [Google Scholar] [CrossRef]
- Ji, C.F.; Legrand, J.; Pruvost, J.; Chen, Z.A.; Zhang, W. Characterization of Hydrogen Production by Platymonas Subcordiformis in Torus Photobioreactor. Int. J. Hydrog. Energy 2010, 35, 7200–7205. [Google Scholar] [CrossRef]
- Dębowski, M.; Dudek, M.; Zieliński, M.; Nowicka, A.; Kazimierowicz, J. Microalgal Hydrogen Production in Relation to Other Biomass-Based Technologies—A Review. Energies 2021, 14, 6025. [Google Scholar] [CrossRef]
- Ji, C.F.; Yu, X.J.; Chen, Z.A.; Xue, S.; Legrand, J.; Zhang, W. Effects of Nutrient Deprivation on Biochemical Compositions and Photo-Hydrogen Production of Tetraselmis subcordiformis. Int. J. Hydrog. Energy 2011, 36, 5817–5821. [Google Scholar] [CrossRef]
- Guo, Z.; Li, Y.; Guo, H. Characterization of H2 Photoproduction by Marine Green Alga Tetraselmis subcordiformis Integrated with an Alkaline Fuel Cell. Biotechnol. Lett. 2016, 38, 435–440. [Google Scholar] [CrossRef] [PubMed]
- Guo, Z.; Li, Y.; Guo, H. Effect of Light/Dark Regimens on Hydrogen Production by Tetraselmis subcordiformis Coupled with an Alkaline Fuel Cell System. Appl. Biochem. Biotechnol. 2017, 183, 1295–1303. [Google Scholar] [CrossRef] [PubMed]






| Parametr | Unit | V1 | V2 | V3 |
|---|---|---|---|---|
| Volatile solids (VS) | [%FM] | 89.3 ± 1.7 a | 88.7 ± 3.7 a | 88.3 ± 2.0 a |
| Total nitrogen (TN) | [mg/gTS] | 47.6 ± 2.5 a | 46.3 ± 1.3 a | 48.1 ± 4.1 a |
| Total phosphorus (TP) | [mg/gTS] | 8.7 ± 0.9 a | 9.1 ± 1.4 a | 9.0 ± 2.3 a |
| Total carbon (TC) | [mg/gTS] | 539 ± 21 a | 577 ± 27 b | 554 ± 47 ab |
| Total organic carbon (TOC) | [mg/gTS] | 470 ± 17 a | 493 ± 12 b | 483 ± 29 ab |
| Protein | [%TS] | 29.7 ± 1.5 a | 28.9 ± 0.9 a | 30.0 ± 3.2 a |
| Lipids | [%TS] | 7.4 ± 0.4 a | 7.2 ± 1.1 a | 8.1 ± 1.9 b |
| Saccharides | [%TS] | 36.5 ± 2.2 a | 37.2 ± 1.4 a | 36.7 ± 3.1 a |
| Component | Unit | Variant 1 | Variant 2 | Variant 3 | |||
|---|---|---|---|---|---|---|---|
| Inflow | Outflow | Inflow | Outflow | Inflow | Outflow | ||
| CO2 | % obj. | 13.4 ± 1.2 | 1.3 ± 0.2 | 14.9 ± 1.7 | 3.3 ± 0.2 | 0.04 ± 0.002 | 0.029 ± 0.003 |
| N2 | % obj. | 75.8 ± 2.3 | 77.4 ± 0.8 | 73.7 ± 1.9 | 76.9 ± 1.1 | 78.2 ± 0.1 | 78 ± 0.1 |
| O2 | % obj. | 8.2 ± 0.9 | 21.3 ± 0.4 | 6.9 ± 2.1 | 20.9 ± 0.4 | 21.1 ± 0.1 | 21.3 ± 0.1 |
| CO | ppm | 141 ± 14 | 0 ± 0 | 91 ± 31 | 0 ± 0 | 0 ± 0 | 0 ± 0 |
| NOx | ppm | 145 ± 33 | 0 ± 0 | 140 ± 19 | 0 ± 0 | 7 ± 1 | 0 ± 0 |
| SOx | ppm | 83 ± 11 | 0 ± 0 | 139 ± 11 | 0 ± 0 | 9 ± 1 | 0 ± 0 |
| CO2UE | % | 43.1 ± 3.1 | 46.7 ± 2.4 | 37.5 ± 1.2 | |||
| Parameter | Unit | Value | ||
|---|---|---|---|---|
| V1 | V2 | V3 | ||
| H2 | mL/gVS | 68.4 ± 3.7 | 70.9 ± 2.7 | 66.9 ± 3.0 |
| H2 | mL/L | 181.9 ± 9.8 | 192.1 ± 7.3 | 149.8 ± 6.7 |
| k | 1/gVS·h | 0.03 | 0.032 | 0.028 |
| r | mL/gVS·h | 2.05 ± 0.11 | 2.268 ± 0.08 | 1.87 ± 0.06 |
| H2 | % | 58.2 ± 1.1 | 59.1 ± 2.3 | 58.9 ± 1.7 |
| CO2 | % | 40.6 ± 1.2 | 39.7 ± 2.0 | 39.5 ± 1.1 |
| O2 | % | 1.2 ± 0.2 | 1.2 ± 0.1 | 1.6 ± 0.3 |
Disclaimer/Publisher’s Note: The statements, opinions and data contained in all publications are solely those of the individual author(s) and contributor(s) and not of MDPI and/or the editor(s). MDPI and/or the editor(s) disclaim responsibility for any injury to people or property resulting from any ideas, methods, instructions or products referred to in the content. |
© 2025 by the authors. Licensee MDPI, Basel, Switzerland. This article is an open access article distributed under the terms and conditions of the Creative Commons Attribution (CC BY) license (https://creativecommons.org/licenses/by/4.0/).
Share and Cite
Dębowski, M.; Kazimierowicz, J.; Świca, I.; Zieliński, M. Sustainable Utilization of CO2 from Exhaust Gases for the Autotrophic Cultivation of the Biohydrogen-Producing Microalga Tetraselmis subcordiformis. Sustainability 2025, 17, 8612. https://doi.org/10.3390/su17198612
Dębowski M, Kazimierowicz J, Świca I, Zieliński M. Sustainable Utilization of CO2 from Exhaust Gases for the Autotrophic Cultivation of the Biohydrogen-Producing Microalga Tetraselmis subcordiformis. Sustainability. 2025; 17(19):8612. https://doi.org/10.3390/su17198612
Chicago/Turabian StyleDębowski, Marcin, Joanna Kazimierowicz, Izabela Świca, and Marcin Zieliński. 2025. "Sustainable Utilization of CO2 from Exhaust Gases for the Autotrophic Cultivation of the Biohydrogen-Producing Microalga Tetraselmis subcordiformis" Sustainability 17, no. 19: 8612. https://doi.org/10.3390/su17198612
APA StyleDębowski, M., Kazimierowicz, J., Świca, I., & Zieliński, M. (2025). Sustainable Utilization of CO2 from Exhaust Gases for the Autotrophic Cultivation of the Biohydrogen-Producing Microalga Tetraselmis subcordiformis. Sustainability, 17(19), 8612. https://doi.org/10.3390/su17198612

