Application of Steel Waste as a Heterogenous Catalyst in Advanced Oxidation Processes—Preliminary Study
Abstract
1. Introduction
2. Materials and Methods
2.1. Materials
2.2. Characteristics of the Dyes Studied
2.2.1. Indigo Carmine
2.2.2. Tartrazine
2.2.3. Allura Red AC
2.3. Characteristic of Steel Shavings
2.4. Application of Advanced Oxidation Processes
2.4.1. Heterogenous Fenton Processes
2.4.2. Ozonation Processes
2.4.3. Hybrid Treatment System of the Ozonation/H2O2/Fenton Process for Improved Dye Removal
2.5. Kinetic Analysis
Cost Analysis
3. Results and Discussion
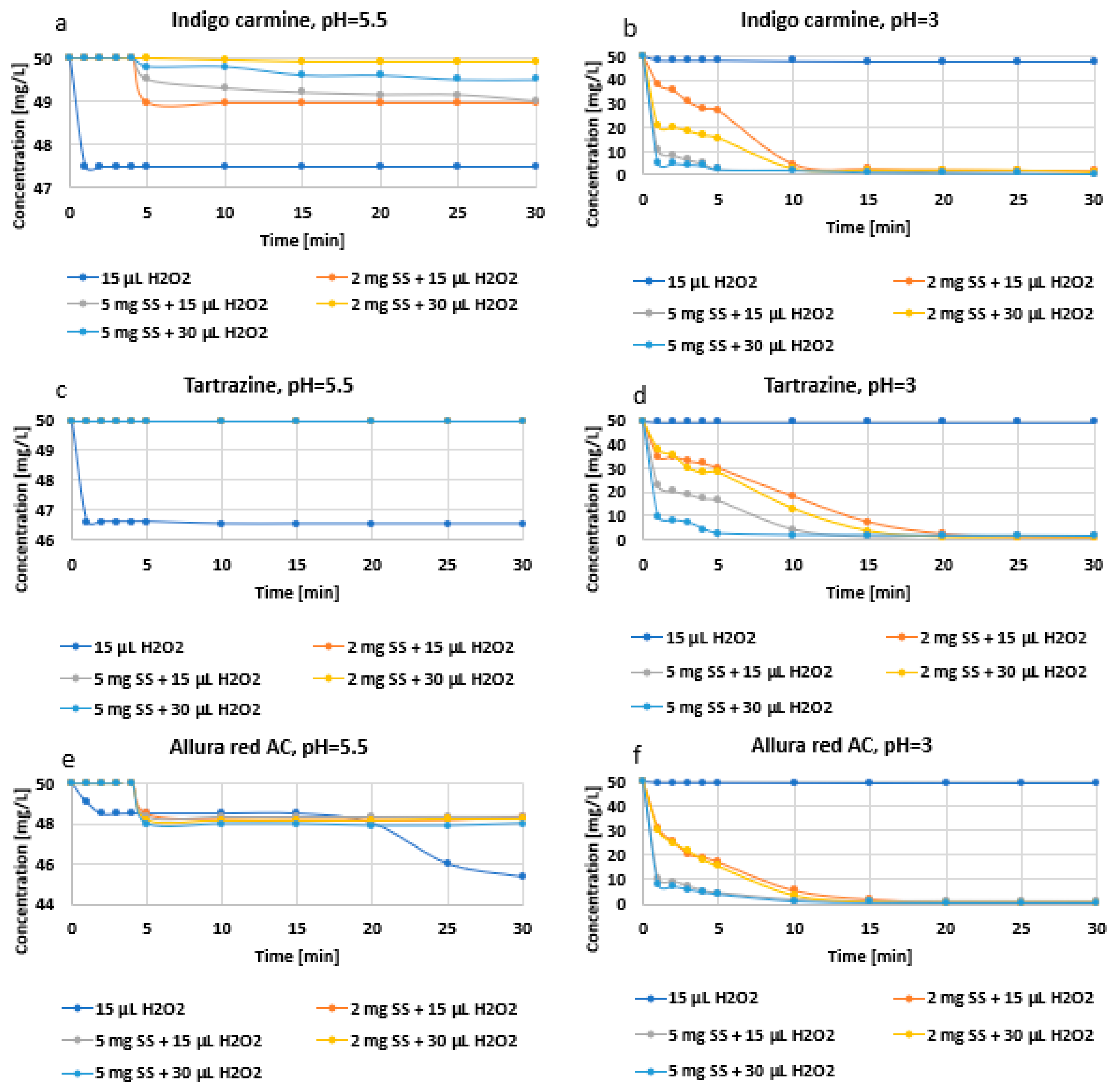
3.1. Degradation of Dyes in Heterogenous Fenton Processes
3.2. Degradation of Dyes in Ozonation and Hybrid Processes
3.3. Kinetics and Cost Analysis
4. Conclusions
Author Contributions
Funding
Institutional Review Board Statement
Informed Consent Statement
Data Availability Statement
Conflicts of Interest
References
- Pereira, L.; Alves, M. Dyes—Environmental Impact and Remediation. Environ. Prot. Strateg. Sustain. Dev. 2012, 4, 111–162. [Google Scholar]
 - Ardila-Leal, L.D.; Poutou-Piñales, R.A.; Pedroza-Rodríguez, A.M.; Quevedo-Hidalgo, B.E. A Brief History of Colour, the Environmental Impact of Synthetic Dyes and Removal by Using Laccases. Molecules 2021, 26, 3813. [Google Scholar] [CrossRef]
 - Majewska-Nowak, K.; Kawiecka-Skowron, J.; Kabsch-Korbutowicz, M.; Urbanowska, A. Skuteczność usuwania naturalnych i antropogenicznych barwnych substancji organicznych w procesie ultrafiltracji na membranach ceramicznych. Czas. Ochr. Sr. 2010, 32, 11–14. [Google Scholar]
 - Rauf, M.; Ashraf, S. Survey of recent trends in biochemically assisted degradation of dyes. Chem. Eng. J. 2012, 209, 520–530. [Google Scholar] [CrossRef]
 - Tejada-Tovar, C.; Villabona-Ortíz, Á.; Ortega-Toro, R. Removal of metals and dyes in water using low-cost agro-industrial waste materials. Appl. Sci. 2023, 13, 8481. [Google Scholar] [CrossRef]
 - Kolya, H.; Kang, C.W. Toxicity of Metal Oxides, Dyes, and Dissolved Organic Matter in Water: Implications for the Environment and Human Health. Toxics 2024, 12, 111. [Google Scholar] [CrossRef]
 - Sarkar, S.; Banerjee, A.; Halder, U.; Biswas, R.; Bandopadhyay, R. Degradation of Synthetic Azo Dyes of Textile Industry: A Sustainable Approach Using Microbial Enzymes. Water Conserv. Sci. Eng. 2017, 2, 121–131. [Google Scholar] [CrossRef]
 - Legerská, B.; Chmelová, D.; Ondrejovič, M. Degradation of synthetic dyes by laccases—A mini-review. NBC 2016, 15, 90–106. [Google Scholar] [CrossRef]
 - Tkaczyk, A.; Mitrowska, K.; Posyniak, A. Synthetic organic dyes as contaminants of the aquatic environment and their implications for ecosystems: A review. Sci. Total Environ. 2020, 717, 137222. [Google Scholar] [CrossRef] [PubMed]
 - Muthu, S.S.; Khadir, I. Advanced Oxidation Processes in Dye-Containing Wastewater. In Sustainable Textiles: Production, Processing, Manufacturing & Chemistry 2; Springer: Berlin/Heidelberg, Germany, 2022. [Google Scholar]
 - Mahbub, P.; Smallridge, A.; Irtassam, A.; Yeager, T. Scalable production of hydroxyl radicals (•OH) via homogeneous photolysis of hydrogen peroxide using a continuous-flow photoreactor. Chem. Eng. J. 2022, 427, 131762. [Google Scholar] [CrossRef]
 - Lupu, G.I.; Orbeci, C.; Bobirică, L.; Bobirică, C.; Pascu, L.F. Key principles of advanced oxidation processes: A systematic analysis of current and future perspectives of the removal of antibiotics from wastewater. Catalysts 2023, 13, 1280. [Google Scholar] [CrossRef]
 - Covinich, L.G.; Bengoechea, D.I.; Fenoglio, R.J.; Area, A.C. Advanced Oxidation Processes for Wastewater Treatment in the Pulp and Paper Industry: A Review. Am. J. Environ. Prot. 2014, 4, 56–70. [Google Scholar] [CrossRef]
 - Cuerda-Correa, E.M.; Alexandre-Franco, M.F.; Fernández-González, C. Advanced Oxidation Processes for the Removal of Antibiotics from Water. An Overview. Water 2019, 12, 102. [Google Scholar] [CrossRef]
 - Kurian, M. Advanced oxidation processes and nanomaterials—A review. Clean. Eng. Technol. 2021, 2, 100090. [Google Scholar] [CrossRef]
 - Kowal, A.L.; Świderska-Bróż, M.; Wolska, M. Oczyszczanie Wody, 2; Wydawnictwo Naukowe PWN: Warszawa, Poland, 2023. [Google Scholar]
 - Barbusiński, K. Intensyfikacja procesu oczyszczania ścieków i stabilizacji osadów nadmiernych z wykorzystaniem odczynnika Fentona. Zeszyty Naukowe. Inżynieria Sr. Politech. Śląska 2004, 50, 7–169. [Google Scholar]
 - Comninellis, C.; Kapalka, A.; Malato, S.; Parsons, S.A.; Poulios, I.; Mantzavinos, D. Advanced oxidation processes for water treatment: Advances and trends for R&D. JCTB 2008, 83, 769–776. [Google Scholar]
 - Jelonek, P.; Neczaj, E. The use of Advanced Oxidation Processes (AOP) for the treatment of landfill leachate. Inżynieria I Ochr. Sr. 2012, 15, 203–217. [Google Scholar]
 - Xu, M.; Wu, C.; Zhou, Y. Advancements in the Fenton Process for Wastewater Treatment. Adv. Oxid. Process. Appl. Trends Prospect. 2020, 61, 5772. [Google Scholar]
 - Deng, Y.; Zhao, R. Advanced Oxidation Processes (AOPs) in Wastewater Treatment. Curr Pollut. Rep. 2015, 1, 167–176. [Google Scholar] [CrossRef]
 - Barbusiński, K. Henry John Horstman Fenton—Short biography and brief history of Fenton reagent discovery. Metrologia 2009, 14, 101–105. [Google Scholar]
 - Janda, A.; Marcinkowski, T. Możliwości modyfikacji procesu Fentona w aspekcie skuteczności utleniania trudno biodegradowalnych zanieczyszczeń organicznych. Ochr. Sr. 2019, 41, 47–53. [Google Scholar]
 - Brillas, E.; Sire’s, I.; Oturan, M.A. Electro-Fenton Process and Related Electrochemical Technologies Based on Fenton’s Reaction Chemistry. Chem. Rev. 2009, 109, 6570–6631. [Google Scholar] [CrossRef] [PubMed]
 - Zhang, M.H.; Dong, H.; Zhao, L.; Wang, D.X.; Meng, D. A review on Fenton process for organic wastewater treatment based on optimization perspective. Sci. Total Environ. 2019, 670, 110–121. [Google Scholar] [CrossRef]
 - Barbusiński, K. Nadwęglan sodu jako reagent do efektywnego oczyszczania ścieków przemysłowych. Politechnika Śląska. Przemysł Chem. 2008, 87, 33–37. [Google Scholar]
 - Hassan, H.; Hameed, B.H. Oxidative decolorization of Acid Red 1 solutions by Fe–zeolite Y type catalyst. Desalination 2011, 276, 45–52. [Google Scholar] [CrossRef]
 - Mansouri, F.E.; Farissi, H.E.; Zerrouk, M.H.; Cacciola, F.; Bakkali, C.; Brigui, J.; Esteves da Silva, J.C. Dye removal from colored textile wastewater using seeds and biochar of barley (Hordeum vulgare L.). Appl. Sci. 2021, 11, 5125. [Google Scholar] [CrossRef]
 - Hosny, N.M.; Gomaa, I.; Elmahgary, M.G. Adsorption of polluted dyes from water by transition metal oxides: A review. Appl. Surf. Sci. 2023, 15, 100395. [Google Scholar] [CrossRef]
 - Salama, S.R.; El-Sayed, E.M.; El-Bahy, S.M.; Awad, F.S. Silver nanoparticles supported on UiO-66 (Zr): As an efficient and recyclable heterogeneous catalyst and efficient adsorbent for removal of indigo carmine. Colloids Surf. A Physicochem. Eng. Asp. 2021, 626, 1–13. [Google Scholar] [CrossRef]
 - Samuel, M.S.; Selvarajan, E.; Mathimani, T.; Santhanam, N.; Phuong, T.N.; Brindhadevi, K.; Pugazhendhi, A. Green synthesis of cobalt-oxide nanoparticle using jumbo Muscadine (Vitis rotundifolia): Characterization and photo-catalytic activity of acid Blue-74. J. Photochem. Photobiol. B 2020, 211, 112011. [Google Scholar] [CrossRef]
 - Ghanavati, L.; Hekmati, A.H.; Rashidi, A.; Shafiekhani, A. Application of electrospun Polyamide-6/Modified zeolite nanofibrous composite to remove Acid Blue 74 dye from textile dyeing wastewater. J. Text. Inst 2020, 112, 1730–1742. [Google Scholar] [CrossRef]
 - Harasym, J.; Bogacz-Radomska, L. Colorants in foods-from past to present. Eng. Sci. Technol. 2016, 3, 21–35. [Google Scholar]
 - El-Ashtoukhy, E.-S.Z. Removal of Indigo Carmine Dye from Synthetic Wastewater by Electrochemical Oxidation in a New Cell with Horizontally Oriented Electrodes. Int. J. Electrochem. Sci. 2012, 8, 846–858. [Google Scholar] [CrossRef]
 - Wawrzkiewicz, M.; Hubicki, Z. Weak Base Anion Exchanger Amberlite FPA51 as Effective Adsorbent for Acid Blue 74 Removal from Aqueous Medium. Kinet. Equilib. Stud. Sep. Sci. Technol. 2010, 45, 1076–1083. [Google Scholar] [CrossRef]
 - Barka, N.; Assabbane, A.; Nounah, A.; Aˆıt Ichou, Y. Photocatalytic degradation of indigo carmine in aqueous solution by TiO2-coated non-woven fibres. J. Hazard. Mater. 2008, 152, 1054–1059. [Google Scholar] [CrossRef] [PubMed]
 - Leulescu, M.; Rotaru, A.; Pălărie, I.; Moanţă, A.; Cioateră, N.; Popescu, M.; Rotaru, P. Tartrazine: Physical, thermal and biophysical properties of the most widely employed synthetic yellow food-colouring azo dye. J. Therm. Anal. Calorim. 2018, 134, 209–231. [Google Scholar] [CrossRef]
 - Ansari, R.; Keivani, M.B.; Delavar, A.F. Application of polyaniline nanolayer composite for removal of tartrazine dye from aqueous solutions. J. Polym. Res. 2011, 18, 1931–1939. [Google Scholar] [CrossRef]
 - Rovina, K.; Siddiquee, S.; Shaarani, S.M. A Review of Extraction and Analytical Methods for the Determination of Tartrazine (E 102) in FOODSTUFFS; CRC Press: Boca Raton, FL, USA, 2017. [Google Scholar]
 - Nascimento, G.E.; Cavalcanti, V.O.M.; Santana, R.M.R.; Sales, D.C.S.; Rodríguez-Díaz, J.M.; Napoleão, D.C.; Duarte, M.M.M.B. Degradation of a Sunset Yellow and Tartrazine Dye Mixture: Optimization Using Statistical Design and Empirical Mathematical Modeling. Water Air Soil Pollut.; Springer Nature: Cham, Switzerland, 2020; pp. 231–254. [Google Scholar]
 - Rovina, K.; Siddiquee, S.; Shaarani, S.M. Extraction, Analytical and Advanced Methods for Detection of Allura Red AC (E129) in Food and Beverages Products. Front. Microbiol. 2016, 7, 798. [Google Scholar] [CrossRef]
 - Wu, D.; Yan, J.; Wang, J.; Wang, Q.; Li, H. Characterisation of interaction between food colourant Allura red AC and human serum albumin: Multispectroscopic analyses and docking simulations. Food Chem. 2014, 170, 423–429. [Google Scholar] [CrossRef] [PubMed]
 - Bişgin, A.T.; Uçan, M.; Narin, İ. Comparison of Column Solid-Phase Extraction Procedures for Spectrophotometric Determination of E129 (Allura Red) in Foodstuff, Pharmaceutical, and Energy Drink Samples. J. AOAC Int. 2015, 98, 946–952. [Google Scholar] [CrossRef]
 - Ziembowicz, S.; Kida, M. Limitations and future directions of application of the Fenton-like process in micropollutants degradation in water and wastewater treatment: A critical review. Chemosphere 2022, 296, 134041. [Google Scholar] [CrossRef] [PubMed]
 - Bokare, A.D.; Choi, W. Review of iron-free Fenton-like systems for activating H2O2 in advanced oxidation processes. J. Hazard. Mater. 2014, 275, 121–135. [Google Scholar] [CrossRef]
 - Kowalczyk, M.; Kamizela, T.; Parkitna, K.; Milczarek, M. Zastosowanie reakcji Fentona w technologii osadów ściekowych. Zeszyty Naukowe. Inżynieria Sr. Uniw. Zielonogórski 2011, 141, 98–112. [Google Scholar]
 - Chen, Y.Y.; Ma, Y.L.; Yang, J.; Wang, L.Q.; Lv, J.M.; Ren, C.J. Aqueous tetracycline degradation by H2O2 alone: Removal and transformation pathway. Chem. Eng. J. 2017, 307, 15–23. [Google Scholar] [CrossRef]
 - Altmann, J.; Ruhl, A.S.; Zietzschmann, F.; Jekel, M. Direct comparison of ozonation and adsorption onto powdered activated carbon for micropollutant removal in advanced wastewater treatment. Water Res. 2014, 55, 185–193. [Google Scholar] [CrossRef]
 - Gao, M.; Zeng, Z.; Sun, B.; Zou, H.; Chen, J.; Shao, L. Ozonation of azo dye Acid Red 14 in a microporous tube-in-tube microchannel reactor: Decolorization and mechanism. Chemosphere 2012, 89, 190–197. [Google Scholar] [CrossRef] [PubMed]
 - Ikhlaq, A.; Parveen, S.; Raashid, M.; Masood, Z.; Rizvi, O.S.; Al Johani, T.A.; Qi, F. Methylene blue (MB) removal from aqueous solution by alum; catalytic ozonation process. Discov. Chem. Eng. 2024, 4, 1–17. [Google Scholar] [CrossRef]
 - Nabizadeh, R.; Amrollahi, R.; Ghafary, B.; Alam, S.N. Influence of ozone supply mode and aeration on photocatalytic ozonation of organic pollutants in wastewater using TiO2 and ZnO nanoparticles. Heliyon 2023, 9, e22854. [Google Scholar] [CrossRef] [PubMed]
 - Cruz-Alcalde, A.; Esplugas, S.; Sans, C. Continuous versus single H2O2 addition in peroxone process: Performance improvement and modelling in wastewater effluents. J. Hazard. Mater. 2020, 387, 121993. [Google Scholar] [CrossRef]
 - Chen, Y.J.; Fan, T.Y.; Wang, L.P.; Cheng, T.W.; Chen, S.S.; Yuan, M.H.; Cheng, S. Application of Fenton method for the removal of organic matter in sewage sludge at room temperature. Sustainability 2020, 12, 1518. [Google Scholar] [CrossRef]
 - Available online: https://www.alibaba.com/ (accessed on 1 December 2014).
 



| Structural formula | ![]()  | 
| Summary formula | |
| Class | indigo | 
| Molar mass | 466.36 g/mol | 
| Density | 1.11 g/mL | 
| International color index | 73015 | 
| CAS number | 860-22-0 | 
| E number | E132 | 
| ADI | 0–1.5 mg/kg m.c. | 
| Structural formula | ![]()  | 
| Summary formula | |
| Class | azo | 
| Molar mass | 534.36 g/mol | 
| Density | 0.7 g/mL | 
| International color index | 19140 | 
| CAS number | 1934-21-0 | 
| E number | E102 | 
| ADI | 0–7.5 mg/kg m.c. | 
| Structural formula | ![]()  | 
| Summary formula | |
| Class | azo | 
| Molar mass | 496.42 g/mol | 
| Density | 0.448 g/mL | 
| International color index | 16035 | 
| CAS number | 25956-17-6 | 
| E number | E129 | 
| ADI | 0–7.0 mg/kg m.c. | 
| H2O2 Dose | H2O2 Concentration [g/L] | 
|---|---|
| 15 µL of H2O2 | 0.1 | 
| 30 µL of H2O2 | 0.2 | 
| AOP | Fenton Process (pH = 3; 5 mg of SS; 30 µL of H2O2) | Ozonation (pH = 3; 5 mg of SS; 15 µL of H2O2) | ||||
|---|---|---|---|---|---|---|
| Dye | Indigo Carmine | Tartrazine | Allura Red AC | Indigo Carmine | Tartrazine | Allura Red AC | 
| Kinetic analysis | ||||||
| Time [min] | 30 | 30 | 30 | 5 | 30 | 30 | 
| Dye removal [%] | 98.8 | 97.6 | 98.2 | 100 | 67.36 | 81.14 | 
| Kinetics analysis | The second-order reaction (R2 = 0.9614) | The first-order reaction (R2 = 0.9812) | The first-order reaction (R2 = 0.9562) | The first-order reaction (R2 = 0.9776) | The second-order reaction (R2 = 0.9764) | The second-order reaction (R2 = 0.9614) | 
| Calculated averaged reaction rate | 0.0207 | 0.1532 | 0.1664 | 0.7691 | 0.0016 | 0.0033 | 
| Cost analysis | ||||||
| EE/O [kWh/m3] | 67.7 | 80.3 | 71 | 35.5 | 3084.8 | 2070.5 | 
| Elektricity cost [PLN/m3] | 41.974 | 49.786 | 44.02 | 22.01 | 1912.576 | 1283.71 | 
| H2O2 cost [PLN/m3] | 137.96 | 137.96 | 137.96 | 68.98 | 68.98 | 68.98 | 
| Steel shavings cost [PLN/m3] | 0.22 | 0.22 | 0.22 | 0.22 | 0.22 | 0.22 | 
| Total cost [PLN/m3] | 180.1 | 187.9 | 182.2 | 91.21 | 1990.78 | 1352.91 | 
Disclaimer/Publisher’s Note: The statements, opinions and data contained in all publications are solely those of the individual author(s) and contributor(s) and not of MDPI and/or the editor(s). MDPI and/or the editor(s) disclaim responsibility for any injury to people or property resulting from any ideas, methods, instructions or products referred to in the content.  | 
© 2025 by the authors. Licensee MDPI, Basel, Switzerland. This article is an open access article distributed under the terms and conditions of the Creative Commons Attribution (CC BY) license (https://creativecommons.org/licenses/by/4.0/).
Share and Cite
Ziembowicz, S.; Kida, M.; Sarzyńska, K. Application of Steel Waste as a Heterogenous Catalyst in Advanced Oxidation Processes—Preliminary Study. Sustainability 2025, 17, 1187. https://doi.org/10.3390/su17031187
Ziembowicz S, Kida M, Sarzyńska K. Application of Steel Waste as a Heterogenous Catalyst in Advanced Oxidation Processes—Preliminary Study. Sustainability. 2025; 17(3):1187. https://doi.org/10.3390/su17031187
Chicago/Turabian StyleZiembowicz, Sabina, Małgorzata Kida, and Karolina Sarzyńska. 2025. "Application of Steel Waste as a Heterogenous Catalyst in Advanced Oxidation Processes—Preliminary Study" Sustainability 17, no. 3: 1187. https://doi.org/10.3390/su17031187
APA StyleZiembowicz, S., Kida, M., & Sarzyńska, K. (2025). Application of Steel Waste as a Heterogenous Catalyst in Advanced Oxidation Processes—Preliminary Study. Sustainability, 17(3), 1187. https://doi.org/10.3390/su17031187
        

       

