Abstract
The rising global energy demand, alongside concerns regarding environmental deterioration due to the use of fossil fuels, has spurred extensive investigation into renewable energy alternatives. Biomass-derived biodiesel, especially from lesser-known oil sources, emerges as a promising option. This research focuses on analyzing the fatty acid methyl esters (FAMEs) derived from Kariya (Hildegardia barteri (Mast.) Kosterm) seed oil through basic catalytic transesterification using gas chromatography–flame ionization detector (GC–FID) analysis, assessing its potential as a biodiesel feedstock. Oil extraction from Kariya seeds was carried out using three solvents (n-hexane, ethanol, and a 1:1 blend of hexane and ethanol), followed by transesterification with methanol. Gas chromatography–mass spectrometry (GC–MS) and GC–FID analyses were utilized to identify and quantify FAMEs in the resulting biodiesel. The results revealed various FAMEs, including methyl myristate, methyl palmitate, methyl stearate, methyl oleate, methyl linoleate, and methyl linolenate. Significant differences in FAME composition were observed among the samples, with hexane–ethanol Kariya oil biodiesel (HE-KOB) showing the highest FAME content (76.1%). This combination of solvents exhibited synergistic effects on the composition of HE-KOB, suggesting potential optimization strategies for biodiesel production. Fourier transform infrared spectroscopy (FTIR) provided additional insights into the molecular composition of the biodiesel samples, confirming their biodiesel nature through the identified functional groups such as methyl, methylene, hydrocarbon, ester, aldehyde, and alkene. Thermogravimetric analysis (TGA) for thermal decomposition also gave an insight into FAME composition and its contribution to the degree of conversion of biodiesel to energy. These findings highlight the feasibility of utilizing Kariya seed oil as a biodiesel feedstock, emphasizing the importance of solvent selection and transesterification conditions in optimizing FAME yield and composition. This research contributes to the exploration of underutilized oil sources for sustainable biodiesel production, aligning with the global shift towards cleaner and renewable energy sources.
1. Introduction
There is no denying the essential role energy plays in shaping the human condition and its critical importance to our existence. However, the rise in population and demand for more energy, and the use of conventional fossil fuels which affect the environment in terms of global warming and environmental pollution crises [1], have informed the need to investigate alternative sources of energy that are clean, non-toxic, bio-degradable and renewable. Among the renewable sources of energy, lignocellulosic biomass, such as organic materials derived from algae, plants, and seed oils from tree crops, has been identified as a potential source with great untapped potential for meeting the energy needs of modern society in both developing and developed countries [2]. The conversion of triglycerides into biodiesel is receiving increased attention as different methods are being applied to obtain biodiesel fuels. The most popular method of generating biofuel is the transesterification method [3,4,5]. The transesterification of vegetable oil to form biodiesel can be achieved by either direct acids, enzymes, or based catalysts. Among these techniques, base-catalyzed transesterification is frequently used in biodiesel production due to its minimal downsides when compared with the acid-catalyzed process [6]. Some researchers find it imperative that focus should be shifted to plants that yield non-edible oils, such as those derived from Jatropha curcas, Azadirachta indica, Calophyllum inophyllum, Pongamia pinnata [7], and Sapindus mukorossi (Soapnut) [8]. Only a few of these carbon sources have been thoroughly investigated and demonstrated as viable non-edible potential biodiesel feedstocks. Recognizing the cushioning effects, attention has turned to utilizing non-edible oilseeds for biodiesel production. However, according to reports, there are about 300 different oil-producing seed tree species yet to be investigated, which were believed to have a lot of potential non-edible oil sources for biodiesel feedstock amongst them [9]. Meanwhile, it is believed that certain oil-bearing tree species might have edible properties yet remain lesser-known or underutilized, as is the case with the tree species under study.
The tree species considered for this study is Hildegardia barteri (Mast.) Kosterm, also known as Kariya. It is a fast-growing deciduous tree species and has been confirmed to be a source of fiber [10] and oilseeds which are consumed by some either as raw or as roasted nuts in West Africa. The possibility of using Kariya seed oil for biodiesel production has been reported to be a potential source as most of the parameters checked meet standard requirements [11]. Nevertheless, integrating biodiesel derived from a West African tree seed oil into existing energy systems presents several practical challenges, limitations, and scalability issues. One significant challenge is the consistent and sustainable supply of feedstock, as many West African tree species are subject to seasonal and geographic constraints, and large-scale cultivation could lead to land use conflicts or environmental degradation. Additionally, the oil extraction and biodiesel production processes may require advanced technologies to enhance efficiency and minimize costs, especially if the seed oil contains high levels of free fatty acids that necessitate further refining. Compatibility with existing infrastructure is another limitation, as biodiesel’s properties, such as cold flow behavior and oxidative stability, may require the use of additives or blending with petro-diesel, increasing logistical complexity. Furthermore, the economic viability of scaling production hinges on achieving cost parity with fossil fuels, which may necessitate government subsidies, favorable policies, and investment in local processing facilities. Finally, limited consumer awareness and potential skepticism about biodiesel’s performance and environmental benefits could hinder its market acceptance. Addressing these challenges through sustainable practices, technological innovation, supportive policies, and effective public–private partnerships is essential for realizing the potential of West African tree seed oil biodiesel as a renewable energy source.
The production of biodiesel from lipid feedstocks through the process of either acid- or base-catalyzed transesterification is carried out chemically to ensure the conversion of triglycerides to their corresponding fatty acid methyl esters (FAMEs). In ensuring the efficient conversion of triglycerides to FAMEs, different methods of spectroscopy such as GC-MS, FT-IR, GC-FID, and TGA analyses have been applied in analyzing and monitoring the chemical components which indicates the quality of biofuel during combustion [12]. However, reports speculate that the most applied method when it comes to fatty acid methyl ester (FAME) analysis in biodiesel samples is the use of GC-FID, but this has to be performed with optimized method conditions as conventional methods of column conditioning are observed to take a longer period for analysis [13].
The present work aims to demonstrate different analyses and quantification of major FAMEs in biodiesel samples produced from Kariya seed oil through the basic catalysis transesterification reaction. The raw triglycerides were extracted by using three different solvents, namely n-hexane, ethanol, and a 1:1 blend of hexane and ethanol, followed by a serial characterization with GC-MS, GC-FID, FTIR-ATR, NMR, and TGA. Afterward, the influence of the different solvents was explored by testing the fuel properties of the different biodiesels produced.
2. Materials and Methods
- Chemicals
In this study, hexane (Sigma Aldrich, St. Louis, MO, USA), ethanol, methanol at 99.8% (MeOH), ethyl acetate, and sodium hydroxide (NaOH) were used. The vegetable oils were obtained from dried fruits of Kariya (H. barteri) which were harvested from the premises of the University of Ibadan, Nigeria. The fruits were de-hulled, oven-dried at 40 °C, weighed, milled, and packaged in ziplock bags which were sealed in an air-tight fashion and prepared for the extraction.
- Extraction Processes
The extraction of oil from oven-dried blended Kariya kernels was performed using Soxhlet equipment (in Nwoboshi Louis Chelunor Laboratory, Department of Forest Production and Products, University of Ibadan, Ibadan, Nigeria) with three different solvents, namely n-hexane, ethanol, and a mixture of n-hexane and ethanol in a ratio of 1:1 (v/v), to obtain three different Kariya oil samples. The resulting biodiesel samples were labeled as H-KOB, E-KOB, and HE-KOB, respectively.
- Base-catalyzed Transesterification
The biodiesel production process involved a 1:30 molar ratio of oil to methanol, with a methoxide solution prepared by dissolving 1% NaOH (by oil weight) in methanol. The oil was heated to 50–60 °C in a conical flask, stirred, and combined with the methoxide solution. Stirring continued for two hours at approximately 60 °C, with the mixture sealed to prevent methanol loss. After the reaction, the mixture was settled in a separating funnel for 12 h, allowing the biodiesel (top layer) and glycerol (bottom layer) to separate. The crude biodiesel was purified by washing with pre-heated distilled water at a 1:1 ratio (70–80 °C) to remove residual catalysts, soap, methanol, and glycerol.
- FAME Analysis
Ethyl acetate was used with FAME stock standards; these included methyl myristate (C14:0), methyl palmitate (C16:0), methyl stearate (C18:0), methyl oleate (C18:1), methyl linoleate (C18:2), and methyl linolenate (C18:3), were purchased from Sigma-Aldrich (St. Louis, MO, EUA), and were prepared at a concentration of 1 mg/mL and further serially diluted into four different levels (i.e., 0.5, 0.25, 0.125, and 0.0625 mg/mL). This was achieved by dissolving appropriate amounts of the afore-mentioned standards in ethyl acetate, and they were then stored in a freezer until the time of analysis.
- Gas Chromatography–Flame Ionization Detector (GC-FID)
GC-FID was carried out on a GC 8890 gas chromatograph (Agilent Technologies, Santa Clara, CA, USA), which was equipped with a flame ionization detector (FID). A DB-Wax capillary column was used for the separation of analytes, with a length of 15 m, an internal diameter of 320 mm, and a film thickness of 0.25 μm. The temperatures of the injector and FID were 250 and 300 °C, respectively; helium was used as the carrier gas (2.2 mL/min) and the injection volume was 1 μL in splitless mode. The other FID parameters included N2 as the make-up gas (to conduct the analytes through the detector to decrease the band enlargement) at a flow rate of 30 mL/min, whereas H2 fuel flow was used at a rate of 40 mL/min and the air flow rate was 450 mL/min. The oven temperature was initially set at 40 degrees, held for a minute before ramping up to 200 °C at a rate of 25 mL/min, and finally held at 230 °C (ramped at the rate of 3 degrees C/min) for 2.6 min. The data were collected and analyzed using OpenLab software (version 2.7, Agilent, USA).
- Gas Chromatography–Mass Spectrometry (GC-MS)
GC-MS was used in identifying and confirming the methyl esters present in the biodiesel samples. Helium was used as the carrier gas with a column head pressure of 10 psi and a high-polarity DB-WAX-UI column (15 m × 0.25 mm) with a film thickness of 0.25 µm was used to analyze the samples using the Agilent Intuvo 9000 GC system with 5977B MSD. The gas flow rate through the column was 1.2 mL/min. One microliter of the sample was injected using splitless injection at a temperature of 250 °C. The temperature gradient started with a 50 °C initial temperature with a 1 min hold, a linear increase to 190 °C at 30 °C/min with a 2 min hold, a slower linear increase to 250 °C at 15 °C/min, and a final 10 min hold. The total run time was 21.67 min. The spectra were pre-aligned to several common peaks before peak matching, according to the strategy of retention time alignment. The interpretation of spectra was performed using the database of the National Institute of Standards and Technology (NIST11.lib) and WILEY7.Libraries. The names, molecular weights, and formulae of components found in the oil samples were determined from the library of the known spectrum.
- Fourier transform infrared spectroscopy with attenuated total reflectance (FTIR-ATR)
FTIR-ATR was used for rapid follow-up assessment of the likely compounds found in the biodiesel samples [14]. Data for sample spectra were obtained from OPUS software (version 8.2) on the instrument. The peaks of the spectra obtained were compared with the study of [15].
- Nuclear Magnetic Resonance (NMR)
Samples were prepared using 50 mg biodiesel samples dissolved in 0.7 mL Chloroform in a standard 5 mm NMR tube. NMR data were acquired at 298 K using a 600.13 MHz Bruker Advance III instrument (Billerica, MA, USA) equipped with a Prodigy broadband observe cryoprobe. The 1D 1H data were acquired using the zg30 pulse program with an acquisition time (aq) of 2.72 s, a relaxation delay (d1) of 1 s, a spectral width of 20 ppm, and 32 scans. The chemical shifts were referenced with respect to TMS in CDCl3 at 0 ppm. MestReNova was used to process the data. The processed spectra were apodized with 0.3 Hz exponential line broadening and were zero-filled to the 256 K point.
- Thermogravimetric Analysis (TGA)
This is a technique used to study the thermal degradation of biomass feedstocks and their components. Data were analyzed using the standard STAR software package (version 16.00). The temperatures at 5%, 50%, and 100% decomposition of the samples or the rate of material weight changes upon heating were plotted.
- Combustion Analysis
The parameters which were associated with the combustion performance of fuels were evaluated. Examples of such parameters which were tested are density, heating value, calculated cetane number, and boiling point. They were analyzed according to the following procedures of ASTM D7042 [16], ASTM D4809 [17], ASTM D4737 [18] and ASTM D2887 [19], respectively, on the biodiesel samples.
- Sample preparation for FAME Analysis
The samples prepared for FAME analysis and concentration quantification were designated as H-KOB, E-KOB, and HE-KOB. They were prepared by diluting biodiesel in ethyl acetate (1 mg/mL) and the individual FAME standards were also diluted in ethyl acetate to four different levels of concentration (i.e., 0.5, 0.25, 0.125, and 0.0625 mg/mL), performed in serial dilution, in order to obtain calibration curves and then calculate the quantities of such FAMEs in the biodiesel samples which were automatically generated by the GC-FID equipment. Significant differences among the data obtained from the GC-FID results were evaluated using one-way ANOVA with the use of the R-program statistical package 4.4.1.
3. Results
3.1. Biodiesel Analysis
3.1.1. GC-MS
GC-MS was used to identify the methyl ester components present in the biodiesel samples. The following FAMEs were identified as shown in the chromatograms obtained from the analysis of the pure biodiesel samples (Figure 1): methyl myristate (C14:0), methyl palmitate (C16:0/C17H34O2), palmitoleic acid (C16:1/C16H30O2) methyl stearate (C18:0/C19H38O2), methyl oleate (C18:1/C19H36O2), methyl linoleate (C18:2/C19H34O2), methyl linolenate (C18:3/C19H32O2), and 17-Octadecynoic acid methyl ester. The presence of these FAMEs was substantial, except for palmitoleic acid and 17-Octadecynoic acid methyl ester, which were not quantified. One of the major differences between the three GC spectra is the peak for C18:2, which is linoleic acid methyl ester. This FAME was identified the most in HE-KOB but only detected in minor amounts in the other two biodiesel samples. This suggested a relatively higher unsaturated composition in HE-KOB than in the other two samples. In addition, the presence and proportion of methyl esters like methyl palmitate (methyl hexadecanoate) and methyl oleate (monounsaturated methyl octadecenoate) obtained in Kariya oil biodiesel (KOB) were like that of Jathropha and neem biodiesel [20], and likewise like palm and olive oil biodiesels which have been reported to be good resources for biodiesel production [21].
Figure 1.
Chromatographs from GC-MS analysis of biodiesel from H. barteri seed oil (‴ sign that marked on some peaks represents the compound contained terminal triple bond).
3.1.2. GC-FID Analysis
The FAME components in the biodiesel samples produced from the basic catalysis transesterification of H. barteri seed oils were analyzed and quantified by a GC–FID method, with a high-polarity ionic-liquid stationary-phase column. The mean values for each FAME quantified were obtained from duplicate analyses.
The results shown in Table 1 and the graphical representation in Figure 2 are the mean values obtained from the quantification of FAMEs present in the pure biodiesel samples; they reveal that more FAMEs were more expressed in both the HE-KOB sample (76.1%) than the H-KOB (69.85%) and E-KOB (6.88%) samples. This compares favorably well with the 79.1% FAME content obtained in palm oil biodiesel [22]. The HE-KOB results prove the synergism between the solvency powers of both solvents when compared to the individual solvents used for the extraction of feedstock (H. barteri seed oil) [23]. The influence on the composition of E-KOB gave a very low amount of transesterified methyl esters and instead precipitated in the presence of a methyl ester of hexadecenoic acid. However, the major FAME components—C14:0, C16:0, C18:0, C18:1, and C18:2 (Figure 2)—were found in the pure biodiesel, showing the prevalence of methyl palmitate (C16:0), methyl oleate (C18:1), and methyl linoleate (C18:2). The prevalence of these FAMEs was also similar to the results obtained for basic catalytic transesterified sunflower and corn oils [13].
Table 1.
Result from GC-FID analysis.
Figure 2.
Graphical representation of FAMEs quantified in KOB (H. barteri) biodiesel samples.
The identification and quantification of individual FAME concentrations is considered an important factor to analyze, as it helps to decide the suitability of any feedstock, ascertain the quality of biodiesel produced and confirm the conversion of the fatty acid component of the feedstock [24]. The results obtained in this study are shown in Table 1, indicating that HE-KOB had a higher expression of FAMEs than H-KOB and E-KOB. In addition, owing to the oxidation tendency, this information helps to identify the proportion of saturated FAME to unsaturated FAME concentrations (Table 1). Except for H-KOB, which has more saturated methyl esters, the other Kariya biodiesel samples reveal no significant difference between the proportions of saturated and unsaturated methyl esters. However, according to previous studies, the presence and prevalence of methyl palmitate (C16:0) and monounsaturated methyl octadecenoate (C18:1) as in Kariya oil biodiesel are good compounds that have the tendency to provide stability to the biodiesel. Studies according to [24,25] show that a higher degree of unsaturation in a FAME limits its suitability for fuel purposes due to the high polymerization tendency caused by peroxidation. It is therefore inferred from this research that the FAME composition of Kariya biodiesel will confer a considerable stability property and hence sustainability.
3.1.3. FTIR Analysis
The Fourier transform infrared spectroscopy (FTIR) results (Figure 3) for the biodiesel samples HE-KOB, E-KOB, and H-KOB provide valuable insights into their molecular composition and functional groups. The presence of methyl, methylene, ester, carboxylic acid, and alkene functional groups is consistent with all the biodiesel samples, which is typically composed of fatty acid methyl esters (FAMEs) (Table 2).
Figure 3.
FTIRATR spectra of biodiesel from H. barteri seed oil.
Table 2.
FTIR-ATR wavelength/peak assignment.
The variations in absorption peaks and their intensities among the samples indicate differences in their chemical compositions, which can be potentially connected to the production processes, especially the inclusion of different solvents for feedstock extraction. The presence of a functional group at 1741 cm−1 in all three spectra (Figure 3) is attributed to the stretching of carbonyl (C=O) from esters. Therefore, the results confirmed the successful esterification of all the three biodiesels. This corroborates with the findings on peanut oil biodiesel [26], indicating the conversion of triglycerides to methyl esters [27]. These same functional groups were also observed in the unrefined H. barteri oil samples analyzed in a previous study [28] and thereby confirmed the consistency of the molecular composition of the seed oil despite the thermochemical conversion process. The presence of halide groups in the HE-KOB sample may indicate the presence of contaminants or additives and could be ascribed to the effect of the handling or extraction process. Thus, there is a need for extra care during handling as this could affect the quality of the biodiesel. Similar wavelengths for the presence of functional groups such as CH2, CH3, and C-O in Jatropha biodiesel and its blends were reported [29], which were also confirmed to have common features with fossil diesel. This suggests the usability of Kariya biodiesel as an alternative source of fuel. In addition, the main IR region that allows for chemistry between raw triglycerides and their respective FAMEs is in the range 900–1500 cm−1, known as the “fingerprint” region. As shown in Figure 3, the main differences for all these three spectra lie in the peaks at 1436 cm−1 and 1196 cm−1, which correspond to the asymmetric stretching of methyl (-CH3) and the stretching of methyl ether (O-CH3), respectively [30]. These two peaks are not observed in the spectrum of EB-KOB, symbolizing the absence of the methyl ester in the ethanol-extracted triglycerides. Overall, the FTIR-ATR spectroscopy analysis provided additional valuable information about the molecular structure of biodiesel samples, aiding in quality control and ensuring compliance with standards.
3.1.4. NMR Analysis
To gain deeper insights into these crucial structural details, NMR analysis was performed. Figure 4 presents the 1H-NMR spectra of the three biodiesel samples (excluding any diesel blends) along with the structures of three methyl esters: one monounsaturated and two di-unsaturated fatty groups (conjugated and non-conjugated). The key signals are labeled on the spectra, as shown in Figure 4. The signals A and A*, observed at 5.31 ppm, are attributed to the C=C double bonds in the fatty groups of all biodiesel samples. This finding aligns with the GC-MS analysis, confirming that all three biodiesel samples contain di-unsaturated fatty groups in their structure. A key distinction among the three biodiesel samples is the signal C observed at 2.76 ppm, corresponding to a proton bonded to a carbon atom flanked by two C=C double bonds. This peak was prominent in the HE-KOB and E-KOB samples but minor in the H-KOB sample, indicating that the unconjugated di-unsaturated fatty acid structure might be influenced by the ethanol extraction protocol. Consistent findings were observed in the GC-MS analysis, which identified C18:2 as the major compound in the HE-KOB and E-KOB samples, but less abundant in H-KOB.
Figure 4.
H-NMR of the three biodiesel samples.
Another significant difference in the 1H-NMR spectra of the biodiesel samples is the signal B at 3.63 ppm. This peak was much less pronounced in E-KOB100 compared to the other two samples. Since signal B corresponds to the hydrogens in the methyl group (-CH3) of the methyl esters, it suggests incomplete transesterification with methanol in E-KOB100. Additionally, a distinct peak pattern associated with an epoxy group was observed in E-KOB100. Further NMR analysis (Supplementary Information) confirmed that this epoxy group is not derived from the C=C double bonds in the fatty acid backbone but is located on the opposite side of the ester group. This likely originates from bonded glycerol, further supporting the incomplete transesterification in E-KOB100. Moreover, protons that bond to the terminal alkyne C were also evenly detected in all biodiesel samples from the 1H-NMR spectra, assisted by 13C-NMR. While 13C-NMR and 2D-NMR were performed to confirm the 1H-NMR spectral assignments, they did not provide additional insights and are therefore included in the Supplementary Information Section.
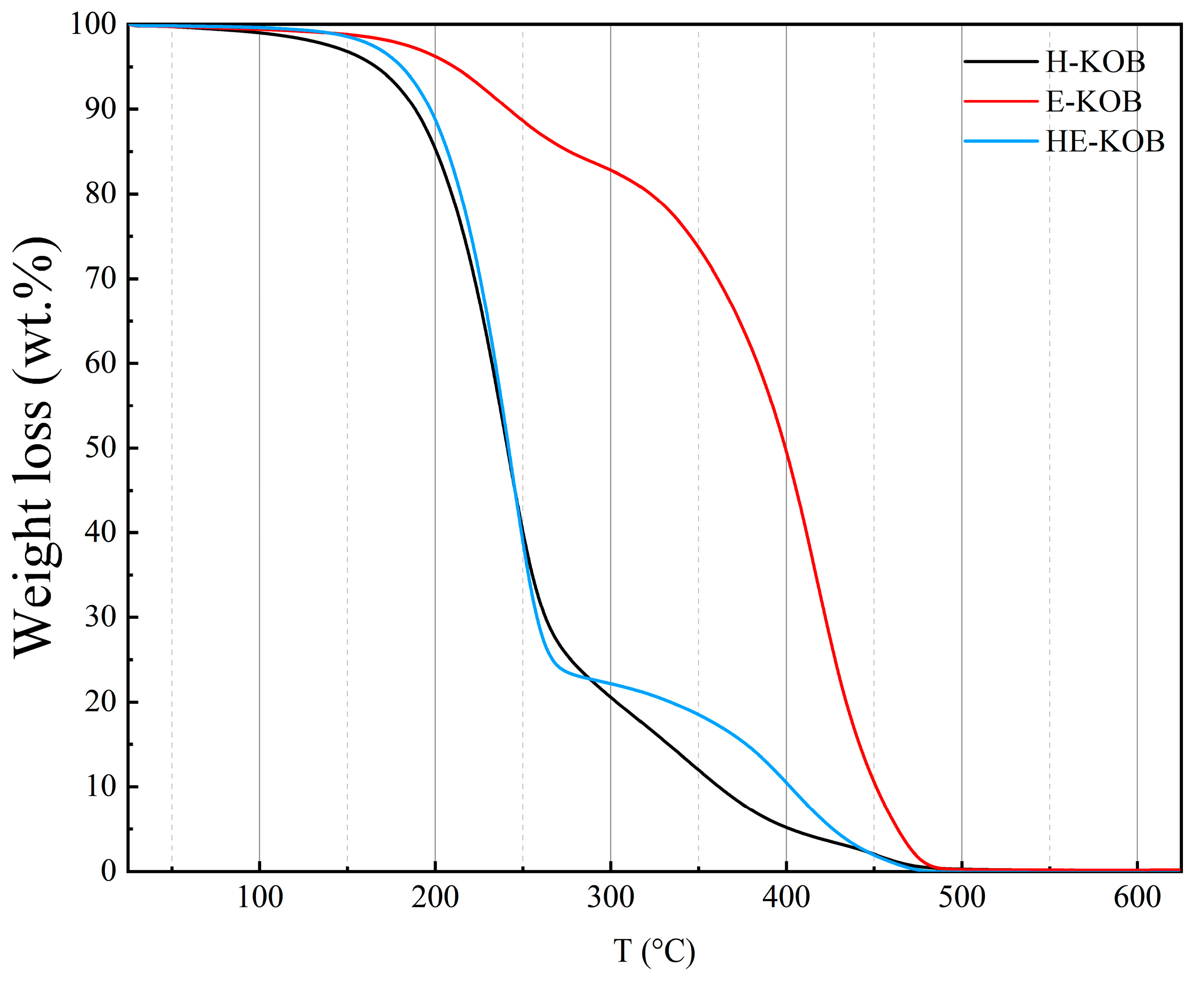
3.1.5. TGA
The TGA carried out also indicates the components of the biomass on thermal degradation and the stability before total (100%) decomposition [31]. As shown in Figure 5, the composition of H-KOB100 allowed thermal degradation at an earlier temperature than the E-KOB and HE-KOB samples. From Table 3, it can be seen that a higher proportion of unsaturated methyl ester was observed in HE-KOB when compared to the other samples. However, earlier thermal degradation was not observed for this sample, as shown in Figure 5. It is noteworthy that, from the studies on soybean biodiesel [32], it can be found that the thermal decomposition of the biodiesel occurred at the final temperature of 218 °C and was traced to the range of boiling points of dominant methyl esters which were unsaturated methyl esters in the biodiesel [33]. Hence, the aid of TGA for thermal decomposition is an efficient and simple method for determining the degree of conversion of biodiesel to energy during use [34]. Alves et al. used TGA to analyze several common triglycerides, including oleic acid and palmitic acid, and concluded that the saturated structure tended to have a slightly earlier degradation than the unsaturated ones [31]. As shown in Figure 5, the H-KOB sample had a slightly earlier degradation than the HE-KOB sample, which is slightly contradicted by the lower presence of unsaturated linoleic acid methyl ester (C18:2) in the biodiesel sample.
Figure 5.
Thermogravimetry analysis (TGA) of pure Kariya oil biodiesels.
Table 3.
Results of TGA.
As shown in Table 4, the range of the thermal decomposition rate (TDR), which suggests the temperature range over which the biodiesel methyl ester breaks down to the intermediate and/or final products of H-KOB, is 97.3–480 °C in three steps of 97.3–267 °C, 267–400 °C, and 400–480 °C, with mass losses of 72%, 22.7%, and 4.6%, respectively. The 0.5% residue burn out was completed at 623 °C. It was also revealed that the thermal decomposition of the HE-KOB sample was in the range of 126–468 °C in two steps of 126–272 °C and 272–468 °C with mass losses of 75.5% and 23.3%, respectively. The 0.5% residue burn out was completed at 479 °C. The thermal decomposition of E-KOB ranged between 112.5 and 486 °C in two steps of 112.5–269.8 °C and 269.8–486 °C, with mass losses of 13.6% and 85.3% at 623 °C. The 0.5% mass residues were burnt out completely. The average temperature decomposition range from this study is 366.7 °C, longer than the values of 240 °C reported for diesel by [35] and 350 °C for Jathropha curcas methyl ester [36], while H-KOB had the longest TDR of 382.7 °C, followed by E-KOB 373.5 °C, and HE-KOB had the shortest TDR of 342 °C. The thermal degradation that indicates the formation of more stable compounds due to the oxidation process has been reported to comprise two steps [37] or three steps [36] for commercial° biodiesel. The first slope indicates the volatilization of the fatty acid methyl ester that occurs between 125 and 250 °C; all of the first slopes of thermal degradation of the samples from this study (HE-KOB 99.3–272 °C, E-KOB 112–269 °C and H-KOB 97.3–269 °C) fell within this range, while the second slope is for the thermal conversion of monoacylglycerol—the second step of HE-KOB is 272.8 °C and the second step of E-KOB is 269.8–496 °C; likewise, the second and third steps of H-KOB are in this range.
Table 4.
TGA showing mass loss at different slopes.
Regarding the onset of decomposition in this study, H-KOB had the fastest onset decomposition temperature of 97.3 °C at 1% mass loss, followed by E-KOB 112.5 °C, similar to the Jatropha curcas biodiesel onset decomposition temperature of 113 °C [38], while the onset decomposition temperature of HE-KOB of 126 °C was the highest but was lower when compared to the onset decomposition temperature of soybean biodiesel (150 °C) [39] and sunflower biodiesel (168 °C) [40]. The final decomposition temperatures of the biodiesels examined in this study are in the order of HE-KOB (468 °C), H-KOB (480.9 °C), and E-KOB (486 °C); all these values are higher than the final decomposition temperatures of 340 °C reported for pongama biodiesel [41] and 398 °C reported for walnut biodiesel [42]. The mass residue of 0.5% for HE-KOB completely burned out at 479 °C. This is a shorter temperature range of residue carbonation and indicates that the residue materials are more volatile and have a lower thermal stability. H-KOB and E-KOB residues completely burned out at the same temperature of 623 °C, and this longer residue carbonation temperature indicates a more thermally stable residue.
3.2. Combustion Properties
Some of the physicochemical parameters which are associated with combustion performance of fuel were evaluated on the KOB samples except for E-KOB100 due to the insufficient quantity required for the test, as shown in Table 5.
Table 5.
Some combustion properties evaluated on KOB samples.
3.2.1. Density
The evaluation of density is important in judging the quality of fuel in terms of its ignition and completeness of combustion [43]. The results obtained in this study show that H-KOB100 has a higher density (0.906 g/cm3) than HE-KOB100 (0.881 g/cm3), but they both fall within the range recommended by the ASTM D6751 [44] and EN 14214 [45] standards. The different densities confirm that variations could be based on the sources of biomass and the production methods used. This corroborates the findings of [46] on the different FAMEs reviewed. The values obtained compare well with conventional biodiesels, such as palm FAME (0.864 g/cm3), sunflower FAME (0.88 g/cm3), and soyabean FAME (0.913 g/cm3). According to [47], it can be inferred that the density values obtained for HE-KOB100 and H-KOB100 will lead to a good burning quality, the efficiency of atomization, and air–fuel proportion during combustion in an engine.
3.2.2. High Heating Value (HHV)
This is also known as the gross calorific value and it is the amount of energy released from the combustion of a mass or volume unit of fuel. The results obtained from this study shows that HE-KOB100, with a lesser density, has a higher HHV (39.137 MJ/kg) than H-KOB100 (37.234 MJ/kg), but both samples meet the required value (min. of 35 MJ/kg) of the EN14214 standard. Though lower, they compare well with that of Jatropha (39.80 MJ/kg) and coconut oil (38.50 MJ/kg) [48]. Nevertheless, the synergism in the biodiesel sample HE-KOB100 was accentuated as evidenced by the composition analysis, resulting in the highest heating value measured.
3.2.3. Calculated Cetane Index (CCI)
This is a key parameter of fuel ignition, as it defines the ignition quality of a fuel. The findings of this research (Table 5) show that HE-KOB100 has a higher cetane number (53.789) than H-KOB100(44.843) and meets the minimum number, 47, required by ASTM D6765 [49]. Though the value of the H-KOB100 sample was lower, it was found to be higher than that of the sunflower FAME (37.9) [46]. The results obtained in this study suggest a short ignition delay, increased fuel efficiency and combustibility, improved engine performance, and reduced emission [50].
3.2.4. Boiling Point (BP)
The initial boiling point and final boiling point are distillation points used along with the density of fuel to calculate cetane indices according to the procedures of ASTM D4737. However, the boiling point temperature of fuels is reported to influence the vaporization and combustion of fuels, and low-BP fuels result in faster evaporation than a high-BP-temperature fuel [51]. The FBPs obtained in this study were of higher values, 537–546 °C, when compared with the findings on jet fuel (276 °C) [52], and thus show less volatility and more stability during combustion.
4. Conclusions
The results from the different spectroscopy experiments revealed that the different solvents used for Kariya oil extraction influenced the FAME composition of the biodiesels produced, with the hexane–ethanol extract (76.1%) and hexane extract (69.85%) biodiesels conforming to conventional biodiesel feedstocks according to past and recent research conducted. The results obtained from the quantification of fatty acid methyl esters (FAMEs) in the biodiesel samples indicated that the solvent blend (ethanol and hexane, v/v = 1:1) extract (HE-KOB) and hexane extract (H-KOB) exhibited a better expression of FAMEs than the ethanol extract biodiesel (E-KOB). The biodiesel sample from the HE-KOB contained the highest amount of linoleic acid methyl ester (18.05 wt.%), which was the highest amount of all the three biodiesel samples. Overall, Kariya oil results om the better biodiesel in terms of the percentage of methyl esters present. The dominant esters observed, C16:0 (methyl palmitate) and C18:1 (methyl oleate), also agree with the results obtained from the FT-IR analysis and confirms that Kariya oil-based biodiesel contains more unsaturated FAME components that have little affinity for oxidation. The findings from this study contribute to a better understanding of the quality and performance of biodiesel produced from Kariya seed oil, emphasizing its potential as an alternative renewable energy source in meeting modern society’s energy needs. Hence, it can be inferred that Kariya (H. barteri) oil biodiesel is sustainable, reliable, and would be a suitable promising option for use in compression ignition engines. Future research will focus on investigating how the factors that form the biodiesel production processes (including transesterification and solvent extraction) contribute to or affect the resulting composition of the biodiesel samples.
Supplementary Materials
The following supporting information can be downloaded at: https://www.mdpi.com/article/10.3390/su17030858/s1. Figure S1. 13C DEPT results for the H-KOB100, HE-KOB100, and E-KOB100 biodiesel samples. Figure S2. COSY spectrum for the HE-KOB100 biodiesel sample, displaying the spectral regions with peaks of interest. Figure S3. COSY spectrum for the H-KOB100 biodiesel sample, displaying the spectral regions with peaks of interest. Figure S4. COSY spectrum for the E-KOB100 biodiesel sample, displaying the spectral regions with peaks of interest. Figure S5. HSQC spectrum for the HE-KOB100 biodiesel sample, displaying the spectral regions with peaks of interest. Figure S6. HSQC spectrum for the H-KOB100 biodiesel sample, displaying the spectral regions with peaks of interest. Figure S7. HSQC spectrum for the E-KOB100 biodiesel sample, displaying the spectral regions with peaks of interest. Figure S8. HMBC spectrum for the HE-KOB100 biodiesel sample, displaying the spectral regions with peaks of interest. Figure S9. HMBC spectrum for the H-KOB100 biodiesel sample, displaying the spectral regions with peaks of interest. Figure S10. HMBC spectrum for the E-KOB100 biodiesel sample, displaying the spectral regions with peaks of interest. Figure S11. TOCSY spectrum for the H-KOB100 biodiesel sample, displaying the spectral regions with peaks of interest. Figure S12. One-dimensional 1H spectrum for the H-KOB100 biodiesel sample, displaying the resonances for the peak E in different structures (FAME, C18). Figure S13. TOCSY spectrum for the H-KOB100 biodiesel sample, displaying the correlation peaks for E. Figure S14. One-dimensional 1H spectrum for the H-KOB100 biodiesel sample, displaying the resonances for the terminal alkyne functionality. Figure S15. One-dimensional 1H spectrum for the E-KOB100 biodiesel sample, displaying the resonances for the oxiran-2-yl ester functional group. Figure S16. The staggered-stacked view of 1D 1H spectra for the biodiesel samples H-KOB100 (bottom), HE-KOB100 (middle), and E-KOB100 (top), displaying the relative intensities of the oxiran-2-yl ester and methoxy resonances.
Author Contributions
Conceptualization, A.-A.E.A., A.O.O., Y.H. and B.A.S.; Methodology, A.-A.E.A. and Y.H.; Validation, J.H.; Formal analysis, A.-A.E.A., H.C., J.H. and Y.H.; Investigation, J.O.A. and Y.H.; Resources, A.O.O. and B.A.S.; Data curation, Y.H.; Writing—original draft, A.-A.E.A., A.O.O., H.C., Y.H. and B.A.S.; Writing—review & editing, A.-A.E.A. and Y.H.; Visualization, Y.H.; Supervision, A.O.O., Y.H. and B.A.S.; Project administration, B.A.S.; Funding acquisition, B.A.S. All authors have read and agreed to the published version of the manuscript.
Funding
The portion of the work conducted at the Joint BioEnergy Institute was supported by the Department of Energy, Office of Science, Biological and Environmental Research Program, through contract No. DE-AC02-05CH11231 with Lawrence Berkeley National Laboratory.
Institutional Review Board Statement
Not applicable.
Informed Consent Statement
Not applicable.
Data Availability Statement
The original contributions presented in this study are included in the article/Supplementary Materials. Further inquiries can be directed to the corresponding author.
Acknowledgments
A.-A.E.A. would like to express appreciation to the coordinators of IUFRO-SPDC SSV for availing the opportunity to carry out this research. A.-A.E.A. would like to acknowledge Blake Simmons and Yinglei Han at the Joint BioEnergy Institute, Lawrence Berkeley National Laboratory and Sandia National Laboratories for hosting and supporting this research. We thank Pines Magnetic Resonance Center’s Core NMR Facility (PMRC Core) for spectroscopic assistance. The instrument used in this work was in part supported by NIH S10OD024998.
Conflicts of Interest
B.A.S. has financial interests in Illium Technologies, Caribou Biofuels, and Erg Bio. None of the other authors have outside financial interests to declare.
References
- Cossu, R.; Liu, J.; Pivato, A.; Ragazzi, M. Biomass to biofuels: Challenges and opportunities. Renew. Energy 2020, 158, 1–2. [Google Scholar] [CrossRef]
- Bridgewater, T. In Focus: Review-Biomass for Energy. J. Sci. Food Agric. 2006, 86, 1755–1768. [Google Scholar] [CrossRef]
- McKendry, P. Energy production from biomass (part 1): Overview of biomass. Bioresour. Technol. 2002, 83, 37–46. [Google Scholar] [CrossRef]
- Biddy, M.J.; Christopher, S.; Christopher, K. Chemicals from Biomass: A Market Assessment of Bio-Products with Near-Term Potential; National Renewable Energy Laboratory (NREL): Golden, CO, USA, 2016. [Google Scholar]
- Tizvir, A.; Shojaeefard, M.H.; Zahedi, A.; Molaeimanesh, G.R. Performance and emission characteristics of biodiesel fuel from Dunaliella tertiolecta microalgae. Renew. Energy 2022, 182, 552–561. [Google Scholar] [CrossRef]
- Canakci, M.; Van Gerpen, J. Biodiesel production via acid catalysis. Trans. Am. Soc. Agric. Eng. 1999, 42, 1203–1210. [Google Scholar] [CrossRef]
- Azam, M.M.; Waris, A.; Nahar, N.M. Prospects and potential of fatty acid methyl esters of some non-traditional seed oils for use as biodiesel in India. Biomass Bioenergy 2005, 29, 293–302. [Google Scholar]
- Arjun, B.C.; Martin, S.T.; Suzanne, M.B.; Watts, K.C.; Islam, M.R. Non-Edible Plant Oils as New Sources for Biodiesel Production. Int. J. Mol. Sci. 2008, 9, 169–180. [Google Scholar] [CrossRef] [PubMed]
- Subramanian, A.K.; Singal, S.K.; Saxena, M.; Singhal, S. Utilization of liquid biofuels in automotive diesel engines: An Indian perspective. Biomass Bioenergy 2005, 9, 65–72. [Google Scholar] [CrossRef]
- Oluwadare, A.O.; Adeniyi, A.E. Histological Characterisation of Saplings of Three Lesser-Used Hardwood Species as Indices of Their Suitability for Papermaking. Ib. J. Agric. Res. 2017, 2, 59–70. [Google Scholar]
- Oluwadare, A.O.; Adeniyi, A.E. Potential of seed oil of Hildergadia barteri (Mast.) Kosterm for biodiesel production. J. Eng. Technol. Ind. Appl.-ITEGAM-JETIA Manaus 2020, 6, 78–82. [Google Scholar] [CrossRef]
- Gerhard, K.; Razon, L.F. Progress in Energy and Combustion Science. Biodiesel Fuels 2017, 58, 36–59. [Google Scholar] [CrossRef]
- Sato, R.T.; Stroppa, P.H.F.; Silva, A.D.D.; Oliveira, M.A.L.D. Fast GC-FID method for monitoring acidic and basic catalytic transesterification reactions in vegetable oils to methyl ester biodiesel preparation. Quim. Nova 2016, 39, 352–355. [Google Scholar] [CrossRef]
- Ibeto, C.N.; Ofoefule Ezeugwu, H.C. Fuel quality assessment of Biodiesel produced from Groundnut oil (Arachis hypogea) and its blend with Petroleum Diesel. Am. J. Food Technol. 2011, 6, 798–803. [Google Scholar] [CrossRef]
- Pavia, D.; Lampman, G.; Kriz, G. Introduction to Spectroscopy, a Guide for Students of Organic Chemistry, 3rd ed.; Thomson Learning: Boston, MA, USA, 2001; pp. 22–368. [Google Scholar]
- ASTM D7042-21a; Standard Test Method for Dynamic Viscosity and Density of Liquids by Stabinger Viscometer (and the Calculation of Kinematic Viscosity). ASTM International: West Conshohocken, PA, USA, 2021.
- ASTM D4809-00; Standard Test Method for Heat of Combustion of Liquid Hydrocarbon Fuels by Bomb Calorimeter (Precision Method). ASTM International: West Conshohocken, PA, USA, 2000.
- ASTM D4737-21; Standard Test Method for Calculated Cetane Index by Four Variable Equation. ASTM International: West Conshohocken, PA, USA, 2001.
- ASTM D2887-22; Standard Test Method for Boiling Range Distribution of Petroleum Fractions by Gas ChromatographyStandard Test Method for Calculated Cetane Index by Four Variable Equation. ASTM International: West Conshohocken, PA, USA, 2001.
- Kaisan, M.U.; Abubakar, S.; Ashok, B.; Balasubramanian, D.; Narayan, S.; Grujic, I.; Stojanovic, N. Comparative analyses of biodiesel produced from jatropha and neem seed oil using a gas chromatography–mass spectroscopy technique. Biofuels 2021, 12, 757–768. [Google Scholar] [CrossRef]
- Carraretto, C.; Macor, A.; Mirandola, A.; Stoppato, A.; Tonon, S. Biodiesel as Alternative Fuel: Experimental Analysis and Energetic Evaluations. Energy 2004, 29, 2195–2211. [Google Scholar] [CrossRef]
- Lai, C.H.-L.; Lingga, N.; Lahey, C. Determination of FAME Content in Palm Oil Biodiesel by Gas Chromatography; AD-0024-GC; SHIMADZU (Asia Pacific) Pte. Ltd.: Singapore, 2008. [Google Scholar]
- Asaletha, R.; Kumaran, M.G.; Thomas, S. Thermoplastic Elastomers from Blends of Polystyrene and Natural Rubber: Morphology and Mechanical Properties. Eur. Polym. J. 1999, 35, 253–271. [Google Scholar] [CrossRef]
- Sokoto, M.A.; Hassan, L.G.; Dangoggo, S.M.; Ahmad, H.G.; Uba, A. Influence of Fatty Acid Methyl Esters on Fuel properties of Biodiesel Produced from the Seeds Oil of Curcubita pepo. Niger. J. Basic Appl. Sci. 2011, 19, 81–86. [Google Scholar] [CrossRef]
- Bamgboye, A.I.; Hansen, A.C. Prediction of Cetane number of Biodiesel Fuel from the fatty acid methyl ester composition. Int. J. Agrophy 2008, 22, 21–29. [Google Scholar]
- Oyerinde, A.Y.; Bello, E.I. Use of Fourier Transformation Infrared (FTIR) Spectroscopy for Analysis of Functional Groups in Peanut oil Biodiesel and Its Blends. Br. J. Appl. Sci. Technol. 2016, 13, 1–14. [Google Scholar] [CrossRef]
- Saifuddin, N.; Refai, H. Spectroscopy analysis of structural transesterification in biodiesel degradation. Res. J. Appl. Sci. Eng. Technol. 2014, 8, 1149–1159. [Google Scholar]
- Adeniyi, A.E.; Oluwadare, A.O. Spectroscopic Analysis of oil extracted from seeds of Hildergadia barteri (Mast.) Kostem. Nat. Prod. Chem. Res. 2018, 6, 4. [Google Scholar]
- Kumar, R.; Mishra, M.K.; Singh, S.K.; Kumar, A. Fourier Transform Infrared Spectrophotometry Studies of Jatropha Biodiesel and its blends for Engine Performance. Int. J. Mech. Eng. Technol. 2016, 7, 330–335. [Google Scholar]
- Rabelo, S.; Ferraz, V.; Oliveira, L.S.; Franca, A.S. FTIR analysis for quantification of fatty acid methyl esters in biodiesel produced by microwave-assisted transesterification. Int. J. Environ. Sci. Dev. 2015, 6, 964. [Google Scholar] [CrossRef]
- Alves, C.T.; Peters, M.A.; Onwudili, J.A. Application of thermogravimetric analysis method for the characterisation of products from triglycerides during biodiesel production. J. Anal. Appl. Pyrolysis 2022, 168, 105766. [Google Scholar] [CrossRef]
- Vega-Lizama, T.; Diaz-Ballote, L.; Hernandez-Mezquita, E.; May-Crespo, F.; Castro-Borges, P.; Castilllo-Atoche, A.; Gonzalez-Garcia, G.; Maldonado, L. Thermogravimetric analysis as a rapid and simple method to determine the degradation degree of soy biodiesel. Fuel 2015, 156, 158–162. [Google Scholar] [CrossRef]
- Freire, L.; Bicudo, T.; Rosenhaim, R.; Sinfrônio, F.; Botelho, J.; Carvalho Filho, J.; Santos, I.; Fernandes, V.; Antoniosi Filho, N.; Souza, A. Thermal investigation of oil and biodiesel from Jatropha curcas L. J. Therm. Anal. Calorim. 2009, 96, 1029–1033. [Google Scholar] [CrossRef]
- Souza, F.H.N.; Maia, F.J.N.; Mazzetto, S.E.; Nascimento, T.L.; de Andrade, N. Oxidative stability of soybean biodiesel in mixture with antioxidants by thermogravimetry and Rancimat method. Chem. Biochem. Eng. Q. 2013, 27, 327–334. [Google Scholar]
- Atgur, V.; Manavendra, G.; Banapurmath, N.R.; Rao, B.N.; Rajhi, A.A.; Khan, T.Y.; Vadlamudi, C.; Krishnappa, S.; Sajjan, A.M.; Venkatesh, R. Essence of thermal analysis to assess biodiesel combustion performance. Energies 2022, 15, 6622. [Google Scholar] [CrossRef]
- Selvaraj, R.; Moorthy, I.G.; Kumar, R.V.; Sivasubramanian, V. Microwave mediated production of FAME from waste cooking oil: Modelling and optimization of process parameters by RSM and ANN approach. Fuel 2019, 237, 40–49. [Google Scholar] [CrossRef]
- Patil, P.D.; Gude, V.G.; Reddy, H.K.; Muppaneni, T.; Deng, S. Biodiesel production from waste cooking oil using sulfuric acid and microwave irradiation processes. J. Environ. Prot. 2012, 3, 107–113. [Google Scholar] [CrossRef]
- Jain, S.; Sharma, M.P. Application of thermogravimetric analysis for thermal stability of Jatropha curcas biodiesel. Fuel 2012, 93, 252–257. [Google Scholar] [CrossRef]
- Chand, P.; Reddy, C.V.; Verkade, J.G.; Wang, T.; Grewell, D. Thermogravimetric quantification of biodiesel produced via alkali catalyzed transesterification of soybean oil. Energy Fuels 2009, 23, 989–992. [Google Scholar] [CrossRef]
- Gheorghe, D.; Tutunea, D.; Bică, M.; Gruia, A.; Călbureanu, M. Study of the thermal stability of biodiesel and diesel fuel. IOP Conf. Ser. Mater. Sci. Eng. 2019, 595, 012039. [Google Scholar] [CrossRef]
- Dwivedi, G.; Sharma, M.P. Experimental investigation on thermal stability of pongamia biodiesel by thermogravimetric analysis. Egypt. J. Pet. 2016, 25, 33–38. [Google Scholar] [CrossRef]
- Tutunea, D.; Ilie, D.; Racila, L.; Geonea, I.; Otat, O.; Matei, L. Application of thermogravimetric analysis for thermal characterization of walnut oil and biodiesel. IOP Conf. Ser. Mater. Sci. Eng. 2019, 568, 012075. [Google Scholar] [CrossRef]
- More, G.V.; Rao, Y.H. Biodiesel production with the help of different additives on the basis of standards–A review. J. Adv. Res. Dyn. Control Syst. 2018, 10, 2050–2064. [Google Scholar]
- ASTM D6751-20; Standard Specification for Biodiesel Fuel Blend Stock (B100) for Middle Distillate Fuels. ASTM International: West Conshohocken, PA, USA, 2020.
- EN 14214; Liquid Petroleum Products. Fatty Acid Methyl Esters (FAME) for Use in Diesel Engines and Heating Applications. Requirements and Test Methods. European Committee for Standardization: Brussels, Belgium, 2019.
- Palani, Y.; Devarajan, C.; Manickam, D.; Thanikod, S. Performance and emission characteristics of biodiesel-blend in diesel engine: A review. Environ. Eng. Res. 2022, 27, 200338. [Google Scholar] [CrossRef]
- Chauhan, B.S.; Kumar, N.; Cho, H.M. A study on the performance and emission of a diesel engine fuelled with Jathropha biodiesel oil and its blends. Energy 2012, 37, 616–622. [Google Scholar] [CrossRef]
- Silitonga, A.S.; Masjuki, H.H.; Mahlia, T.M.I. Overview properties of biodiesel diesel blends from edible and non-edible feedstock. Renew. Sustain. Energy Rev. 2013, 22, 346–360. [Google Scholar] [CrossRef]
- ASTM D6765; Standard Practice for Live Staking. ASTM International: West Conshohocken, PA, USA, 2001.
- Ryan, T.Y.; Knothe, G. Cetane numbers of branched and straight-chain fatty esters determined ignition quality tester. Fuel 2003, 82, 971–975. [Google Scholar]
- Canaan, R.E.; Dec, J.E.; Green, R.M.; Daly, D.T. The Influence of fuel volatility on the liquid phase fuel penetration in a heavy-duty D.I. Diesel engine. J. Engines 1998, 107, 583–602. [Google Scholar]
- Kook, S.; Pickett, L.M. Effect of Fuel Volatility and Ignition Quality on Combustion and Soot Formation at Fixed Premixing Conditions; SAND2009-4121C; Sandia National Lab.: Livermore, CA, USA, 2009. [Google Scholar]
Disclaimer/Publisher’s Note: The statements, opinions and data contained in all publications are solely those of the individual author(s) and contributor(s) and not of MDPI and/or the editor(s). MDPI and/or the editor(s) disclaim responsibility for any injury to people or property resulting from any ideas, methods, instructions or products referred to in the content. |
© 2025 by the authors. Licensee MDPI, Basel, Switzerland. This article is an open access article distributed under the terms and conditions of the Creative Commons Attribution (CC BY) license (https://creativecommons.org/licenses/by/4.0/).




