Advances in Primary Air Pollutant Emissions of Industrial Boilers in China: Emission Characteristics, Emission Inventories, and Mitigation Potentials
Abstract
1. Introduction
2. Emission Characteristics of Convention Air Pollutants of Industrial Boilers
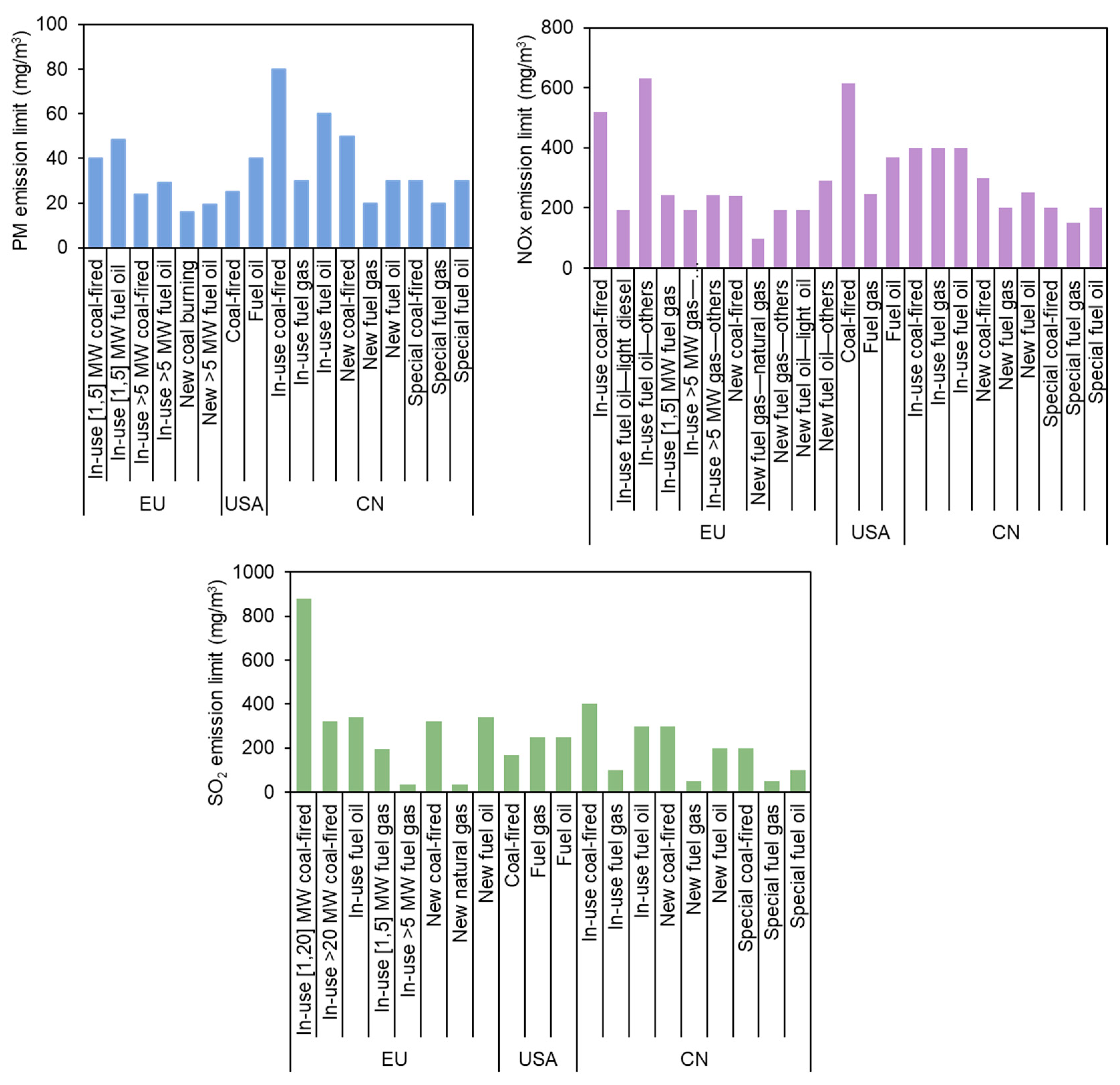
2.1. Emission Characteristics of PM
2.2. Emission Characteristics of SO2
2.3. Emission Characteristics of NOx
3. Emission Inventories of Air Pollutants of Industrial Boilers
3.1. Dynamic Emission Factors of Air Pollutants of Industrial Boilers
3.2. Compilation of Emission Inventories of Air Pollutants of Industrial Boilers
4. Emission Reduction Potentials of Air Pollutants of Industrial Boilers
4.1. Control Policy on Air Pollutant Emissions of Industrial Boilers
4.2. Analysis of Air Pollutant Emission Reduction Potential of Industrial Boilers
5. Emission Control Strategies for Air Pollutants of Industrial Boilers
5.1. Development of Air Pollutant Emission Standards for Industrial Boilers
5.2. Evolution of Air Pollutant Emission Control Technology for Industrial Boilers
6. Conclusions and Future Perspectives
Author Contributions
Funding
Conflicts of Interest
Abbreviations
| APCDs | air pollution control devices |
| BFIB | biomass-fired industrial boiler |
| CFB | circulating fluidized bed |
| CFIB | coal-fired industrial boiler |
| De-NOx | denitrification |
| De-PM | dedusting |
| De-SO2 | desulfurization |
| ESP | electrostatic precipitator |
| FGD | flue gas desulfurization |
| FF | fabric filter |
| GF | grate-fired |
| GFIB | gas-fired industrial boiler |
| LNB | low-NOx burner |
| MDC | mechanical dust collector |
| NOx | nitric oxide |
| OFIB | oil-fired industrial boiler |
| PC | pulverized coal |
| PM | particulate matter |
| PM2.5 | fine particulate matter |
| PM10 | inhalable particulate matter |
| SCR | selective catalytic reduction |
| SNCR | selective non-catalytic reduction |
| SO2 | sulfur dioxide |
| VOCs | volatile organic compounds |
| WDC | wet dust collector |
References
- Zhao, H.; He, W.; Cheng, J.; Liu, Y.; Zheng, Y.; Tian, H.; He, K.; Lei, Y.; Zhang, Q. Heterogeneities in Regional Air Pollutant Emission Mitigation across China during 2012–2020. Earth’s Future 2024, 12, e2023EF004139. [Google Scholar] [CrossRef]
- Hua, H.; Jiang, S.Y.; Sheng, H.; Zhang, Y.; Liu, X.W.; Zhang, L.; Yuan, Z.W.; Chen, T.M. A High Spatial-Temporal Resolution Emission Inventory of Multi-Type Air Pollutants for Wuxi City. J. Clean. Prod. 2019, 229, 278–288. [Google Scholar] [CrossRef]
- Liu, Z.Y.; Mao, X.Q.; Tu, J.J.; Jaccard, M. A Comparative Assessment of Economic-Incentive and Command-and-Control Instruments for Air Pollution and CO2 Control in China’s Iron and Steel Sector. J. Environ. Manag. 2014, 144, 135–142. [Google Scholar] [CrossRef] [PubMed]
- Tong, Y.L.; Gao, J.J.; Wang, K.; Jing, H.; Wang, C.L.; Zhang, X.X.; Liu, J.Y.; Yue, T.; Wang, X.; Xing, Y. Highly-Resolved Spatial-Temporal Variations of Air Pollutants from Chinese Industrial Boilers. Environ. Pollut. 2021, 289, 117931. [Google Scholar] [CrossRef]
- Yue, T.; Gao, J.J.; Tong, Y.L.; Wang, C.L.; Wang, K.; Zhang, X.X.; Zuo, P.L.; Tong, L.; Liang, Q.M. Historical Emission and Future Mitigation of Primary Air Pollutants from Industrial Boiler in China. Environ. Eng. Manag. J. 2021, 20, 841–851. [Google Scholar] [CrossRef]
- Tong, Y.L.; Gao, J.J.; Yue, T.; Liu, Y.; Yuan, Y. Spatio-Temporal Heterogeneity and Synergistic Effects of Air Pollutants and CO2 Emissions from Chinese Coal-Fired Industrial Boilers. Resour. Conserv. Recycl. 2024, 204, 107504. [Google Scholar] [CrossRef]
- Wang, G.; Deng, J.G.; Zhang, Y.; Zhang, Q.; Duan, L.; Hao, J.M.; Jiang, J.K. Air Pollutant Emissions from Coal-Fired Power Plants in China over the Past Two Decades. Sci. Total Environ. 2020, 741, 140326. [Google Scholar] [CrossRef] [PubMed]
- Zhang, Y.X.; Schauer, J.J.; Zhang, Y.H.; Zeng, L.M.; Wei, Y.J.; Liu, Y.; Shao, M. Characteristics of Particulate Carbon Emissions from Real-World Chinese Coal Combustion. Environ. Sci. Technol. 2008, 42, 5068–5073. [Google Scholar] [CrossRef] [PubMed]
- SCC (State Council of China). Action Plan for Air Pollution Prevention and Control; Ministry of Ecology and Environment of People’s Republic of China: Beijing, China, 2013.
- SCC (State Council of China). Action Plan for Continuous Improvement of Air Quality; Ministry of Ecology and Environment of People’s Republic of China: Beijing, China, 2023.
- MEE (Ministry of Ecology and Environment of China). Implementation Plan for Synergizing the Reduction of Pollution and Carbon Emissions; Ministry of Ecology and Environment of People’s Republic of China: Beijing, China, 2022.
- SCC (State Council of China). Three-Year Action Plan for Winning the Battle for Blue Sky; Ministry of Ecology and Environment of People’s Republic of China: Beijing, China, 2018.
- GB 13271-2014; Emission Standard of Air Pollutants for Boiler. MEE (Ministry of Ecology and Environment of China): Beijing, China, 2014.
- Yue, T.; Gao, X.; Gao, J.; Tong, Y.; Wang, K.; Zuo, P.; Zhang, X.; Tong, L.; Wang, C.; Xue, Y. Emission Characteristics of NOx, CO, NH3 and VOCs from Gas-Fired Industrial Boilers Based on Field Measurements in Beijing City, China. Atmos. Environ. 2018, 184, 1–8. [Google Scholar] [CrossRef]
- Yue, T.; Tong, Y.L.; Gao, J.J.; Yuan, Y.; Wang, L.Q.; Wei, H.C. High-Precision Spatio-Temporal Variations and Future Perspectives of Multiple Air Pollutant Emissions from Chinese Biomass-Fired Industrial Boilers. Sci. Total Environ. 2024, 907, 167982. [Google Scholar] [CrossRef]
- Cheng, K.; Zhou, X.Y.; Wang, Y.; Li, J.Y.; Yu, S.G.; Liu, H.J.; Jiang, J.S.; Yi, P. Analysis of Emission Characteristics and Driving Forces of Air Pollutants and GHG from Coal-Fired Industrial Boilers in China. J. Cleaner Prod. 2023, 430, 139768. [Google Scholar] [CrossRef]
- HJ 953-2018; Technical Specification for Application and Issuance of Pollutant Permit Boiler. MEE (Ministry of Ecology and Environment of China): Beijing, China, 2018.
- Wu, G.X. Various Boiler Construction Characteristics and Smoke and Dust Elimination. Environ. Prot. 1974, 4, 16–25+42, (In Chinese with English Abstract). [Google Scholar]
- GB 3841-1983; Standard of Smoke and Dust Emission for Boiler. MEE (Ministry of Ecology and Environment of China): Beijing, China, 1983.
- Mukherjee, S.; Siddiqi, H.; Maiti, P.; Parmar, P.; Meikap, B.C. A Comprehensive Analysis of Removal of Hazardous Dust Particulates from Chemical and Process Industries off Gases by Advanced Wet Scrubbing Techniques—A Review. J. Loss Prev. Process Ind. 2024, 91, 105406. [Google Scholar] [CrossRef]
- He, K.B.; Wang, S.X.; Zhang, Q. Technical Manual for the Compilation of Urban Air Pollutant Emission Inventories; Tsinghua University: Beijing, China, 2017. [Google Scholar]
- MEE (Ministry of Ecology and Environment of China). Technical Guidelines for the Compilation of Emission Inventories of Primary Sources of Atmospheric Fine Particulates; Ministry of Ecology and Environment of People’s Republic of China: Beijing, China, 2014.
- Kanojiya, M.T.; Mandavgade, N.; Kalbande, V.; Padole, C. Design and Fabrication of Cyclone Dust Collector for Industrial Application. Mater. Today Proc. 2022, 49, 378–382. [Google Scholar] [CrossRef]
- Sun, D.G. Study on Emission Characteristics of Coal-Fired Industrial Boilers and Measures of Energy Conservation and Emission Reduction. Master’s Dissertation, Tsinghua University, Beijing, China, 2012. [Google Scholar]
- Xu, Y.; Sun, R.; Gao, X.; Sun, M.; Zhang, Z.; Zhang, Y. Emission Characterization of Particulate Matter from Heating Boilers: An Empirical Study. Environ. Sci. Technol. 2016, 39, 70–74, (In Chinese with English Abstract). [Google Scholar]
- Wang, S.X.; Zhao, X.J.; Li, X.H.; Wei, W.; Hao, J.M. Emission characteristics of fine particles from grate firing boilers. Environ. Sci. 2009, 30, 963–968, (In Chinese with English Abstract). [Google Scholar]
- GB 13271-1991; Emission Standard of Air Pollutants for Boiler. MEE (Ministry of Ecology and Environment of China): Beijing, China, 1992.
- Sun, Z.R.; Wu, Y.P. Study on Emission Factors of Coal-Fired Sulfur Dioxide in Shanghai. Environ. Sci. Shanghai 1988, 12, 15–18, (In Chinese with English Abstract). [Google Scholar]
- Cheng, X.L. Application of Low-NOx Combustion and In-furnace Desulfurization Technology on 75 t/h Circulating Fluidized Bed Boiler. Ind. Boil. 2018, 28–31, (In Chinese with English Abstract). [Google Scholar] [CrossRef]
- Huang, R. Current Situation and Suggestions for Control of Sulfur Dioxide Emissions from Coal-fired Industrial Boilers in Shanghai Municipality. Environ. Eng. 2011, 29, 87–90, (In Chinese with English Abstract). [Google Scholar] [CrossRef]
- Yao, W.R. Test on the Effectiveness of Sulfur Dioxide Removal by Wet Type Dust Collector. Environ. Prot. 1989, 2, 11–13, (In Chinese with English Abstract). [Google Scholar]
- GB 13271-2001; Emission Standard of Air Pollutants for Boiler. MEE (Ministry of Ecology and Environment of China): Beijing, China, 2001.
- Ye, X.R. Analysis on the Correlation between Low Nitrogen Combustion Technology and Heat Loss of Flue Gas in Gas-fired Industrial Boilers. Ind. Boil. 2020, 32–33, (In Chinese with English Abstract). [Google Scholar] [CrossRef]
- Xue, Y.F.; Nie, T.; Zhou, Z.; Yan, J.; Nie, L. Emission of NOx from Gas-fired Industrial Boilers in Beijing and Their Impact on Air Quality. Environ. Sci. Technol. 2014, 37, 118–122, (In Chinese with English Abstract). [Google Scholar]
- Yan, X.; Song, G.W.; Yan, J.; Luo, Z.; Sun, X.S.; Wei, C.W.; Zhang, R.; Li, G.H.; Ding, Q.; Zhang, D. Emission Characteristics of Gas-Fired Boilers in Beijing City, China: Category-Specific Emission Factor, Emission Inventory, and Spatial Characteristics. Aerosol Air Qual. Res. 2017, 17, 1825–1836. [Google Scholar] [CrossRef]
- Yang, W.; Zhou, Z.; Zhou, J.; Lv, H.; Liu, J.; Cen, K. Application of Hybrid Coal Reburning/SNCR Processes for NOx Reduction in a Coal-Fired Boiler. Environ. Eng. Sci. 2009, 26, 311–318. [Google Scholar] [CrossRef]
- Zhu, C.Y.; Tian, H.Z.; Hao, Y.; Gao, J.J.; Hao, J.M.; Wang, Y.; Hua, S.B.; Wang, K.; Liu, H.J. A High-Resolution Emission Inventory of Anthropogenic Trace Elements in Beijing-Tianjin-Hebei (BTH) Region of China. Atmos. Environ. 2018, 191, 452–462. [Google Scholar] [CrossRef]
- Xu, Y.; Hu, J.L.; Ying, Q.; Hao, H.K.; Wang, D.X.; Zhang, H.L. Current and Future Emissions of Primary Pollutants from Coal-Fired Power Plants in Shaanxi, China. Sci. Total Environ. 2017, 595, 505–514. [Google Scholar] [CrossRef]
- Fleiter, T.; Plötz, P. Diffusion of Energy-Efficient Technologies. In Encyclopedia of Energy, Natural Resource, and Environmental Economics; Shogren, J.F., Ed.; Elsevier: Waltham, MA, USA, 2013; pp. 63–73. ISBN 978-0-08-096452-2. [Google Scholar]
- Grübler, A.; Nakićenović, N.; Victor, D.G. Dynamics of Energy Technologies and Global Change. Energy Policy 1999, 27, 247–280. [Google Scholar] [CrossRef]
- Bond, T.C.; Bhardwaj, E.; Dong, R.; Jogani, R.; Jung, S.; Roden, C.; Streets, D.G.; Trautmann, N.M. Historical Emissions of Black and Organic Carbon Aerosol from Energy-Related Combustion, 1850–2000. Glob. Biogeochem. Cycles 2007, 21. [Google Scholar] [CrossRef]
- Zhu, C.Y.; Tian, H.Z.; Cheng, K.; Liu, K.Y.; Wang, K.; Hua, S.B.; Gao, J.J.; Zhou, J.R. Potentials of Whole Process Control of Heavy Metals Emissions from Coal-Fired Power Plants in China. J. Clean Prod. 2016, 114, 343–351. [Google Scholar] [CrossRef]
- Tian, H.Z.; Zhu, C.Y.; Gao, J.J.; Cheng, K.; Hao, J.M.; Wang, K.; Hua, S.B.; Wang, Y.; Zhou, J.R. Quantitative Assessment of Atmospheric Emissions of Toxic Heavy Metals from Anthropogenic Sources in China: Historical Trend, Spatial Distribution, Uncertainties, and Control Policies. Atmos. Chem. Phys. 2015, 15, 10127–10147. [Google Scholar] [CrossRef]
- Streets, D.G.; Bond, T.C.; Lee, T.; Jang, C. On the Future of Carbonaceous Aerosol Emissions. J. Geophys. Res. Atmos 2004, 109. [Google Scholar] [CrossRef]
- Streets, D.G.; Devane, M.K.; Lu, Z.; Bond, T.C.; Sunderland, E.M.; Jacob, D.J. All-Time Releases of Mercury to the Atmosphere from Human Activities. Environ. Sci. Technol. 2011, 45, 10485–10491. [Google Scholar] [CrossRef] [PubMed]
- Xue, Y.F.; Tian, H.Z.; Yan, J.; Zhou, Z.; Wang, J.L.; Nie, L.; Pan, T.; Zhou, J.R.; Hua, S.B.; Wang, Y.; et al. Temporal Trends and Spatial Variation Characteristics of Primary Air Pollutants Emissions from Coal-Fired Industrial Boilers in Beijing, China. Environ. Pollut. 2016, 213, 717–726. [Google Scholar] [CrossRef] [PubMed]
- Wu, Q.R.; Wang, S.X.; Li, G.L.; Liang, S.; Lin, C.-J.; Wang, Y.F.; Cai, S.Y.; Liu, K.Y.; Hao, J.M. Temporal Trend and Spatial Distribution of Speciated Atmospheric Mercury Emissions in China During 1978–2014. Environ. Sci. Technol. 2016, 50, 13428–13435. [Google Scholar] [CrossRef]
- Huneeus, N.; van der Gon, H.D.; Castesana, P.; Menares, C.; Granier, C.; Granier, L.; Alonso, M.; Andrade, M.d.F.; Dawidowski, L.; Gallardo, L.; et al. Evaluation of Anthropogenic Air Pollutant Emission Inventories for South America at National and City Scale. Atmos. Environ. 2020, 235, 117606. [Google Scholar] [CrossRef]
- EEA (European Environment Agency). EMEP/EEA Air Pollutant Emission Inventory Guidebook 2013: Technical Guidance to Prepare National Emission Inventories; Publications Office: Luxembourg, 2013.
- Tian, H.Z.; Hao, J.M.; Lu, Y.Q.; Zhu, T.L. Inventories and Distribution Characteristics of NOx Emissions in China. China Environ. Sci. 2001, 14–18, (In Chinese with English Abstract). [Google Scholar]
- Fu, Q.Y.; Shen, Y.; Zhang, J. On the Ship Pollutant Emission Inventory in Shanghai Port. J. Saf. Environ. 2012, 12, 57–64, (In Chinese with English Abstract). [Google Scholar]
- Zhao, B.; Ma, J.Z. Development of an Air Pollutant Emission Inventory for Tianjin. Acta Sci. Circumstantiae 2008, 368–375, (In Chinese with English Abstract). [Google Scholar] [CrossRef]
- Liu, F.; Zhang, Q.; Tong, D.; Zheng, B.; Li, M.; Huo, H.; He, K.B. High-Resolution Inventory of Technologies, Activities, and Emissions of Coal-Fired Power Plants in China from 1990 to 2010. Atmos. Chem. Phys. 2015, 15, 13299–13317. [Google Scholar] [CrossRef]
- Hua, S.; Tian, H.; Wang, K.; Zhu, C.; Gao, J.; Ma, Y.; Xue, Y.; Wang, Y.; Duan, S.; Zhou, J. Atmospheric Emission Inventory of Hazardous Air Pollutants from China’s Cement Plants: Temporal Trends, Spatial Variation Characteristics and Scenario Projections. Atmos. Environ. 2016, 128, 1–9. [Google Scholar] [CrossRef]
- Wang, Z.S. Study on Allocation Method of Industrial Boiler Air Pollutants Emission Inventory. Environ. Eng. Sci. 2014, 32, 444–447+529, (In Chinese with English Abstract). [Google Scholar]
- Xue, Y.; Nie, L.; Zhou, Z.; Tian, H.; Yan, J.; Wu, X.; Cheng, L. Historical and Future Emission of Hazardous Air Pollutants (HAPs) from Gas-Fired Combustion in Beijing, China. Environ. Sci. Pollut. Res. Int. 2017, 24, 16946–16957. [Google Scholar] [CrossRef]
- Zhou, Z.H.; Deng, Y.; Tan, Q.W.; Wu, K.Y.; Yang, X.Y.; Zhou, X.L. Emission Inventory and Characteristics of Anthropogenic Air Pollutant Sources in the Sichuan Province. Environ. Sci. 2018, 39, 5344–5358, (In Chinese with English Abstract). [Google Scholar] [CrossRef]
- Shi, Q.R.; Zheng, B.; Zheng, Y.X.; Tong, D.; Liu, Y.; Ma, H.; Hong, C.P.; Geng, G.N.; Guan, D.B.; He, K.B.; et al. Co-Benefits of CO2 Emission Reduction from China’s Clean Air Actions between 2013–2020. Nat. Commun. 2022, 13, 5061. [Google Scholar] [CrossRef] [PubMed]
- Zhu, S.P.; Horne, J.R.; Mac Kinnon, M.; Samuelsen, G.S.; Dabdub, D. Comprehensively Assessing the Drivers of Future Air Quality in California. Environ. Int. 2019, 125, 386–398. [Google Scholar] [CrossRef] [PubMed]
- Wang, K.; Tong, Y.L.; Yue, T.; Gao, J.J.; Wang, C.L.; Zuo, P.L.; Liu, J.Y. Measure-Specific Environmental Benefits of Air Pollution Control for Coal-Fired Industrial Boilers in China from 2015 to 2017. Environ. Pollut. 2021, 273, 116470. [Google Scholar] [CrossRef] [PubMed]
- Tong, Y.L.; Wang, K.; Gao, J.J.; Yue, T.; Zuo, P.L.; Wang, C.L.; Tong, L.; Zhang, X.X.; Zhang, Y.; Liang, Q.M.; et al. Mercury Distribution and Emission Reduction Potentials of Chinese Coal-Fired Industrial Boilers. Air Qual. Atmos. Health 2022, 15, 967–978. [Google Scholar] [CrossRef]
- Strum, M.; Cook, R.; Thurman, J.; Ensley, D.; Pope, A.; Palma, T.; Mason, R.; Michaels, H.; Shedd, S. Projection of Hazardous Air Pollutant Emissions to Future Years. Sci. Total Environ. 2006, 366, 590–601. [Google Scholar] [CrossRef][Green Version]
- Zheng, C.H.; Shen, J.L.; Zhang, Y.X.; Huang, W.W.; Zhu, X.B.; Wu, X.C.; Chen, L.H.; Gao, X.; Cen, K.F. Quantitative Assessment of Industrial VOC Emissions in China: Historical Trend, Spatial Distribution, Uncertainties, and Projection. Atmos. Environ. 2017, 150, 116–125. [Google Scholar] [CrossRef]
- Tian, H.Z.; Liu, K.Y.; Hao, J.M.; Wang, Y.; Gao, J.J.; Qiu, P.P.; Zhu, C.Y. Nitrogen Oxides Emissions from Thermal Power Plants in China: Current Status and Future Predictions. Environ. Sci. Technol. 2013, 47, 11350–11357. [Google Scholar] [CrossRef] [PubMed]
- Zhao, Y.; Wang, S.X.; Duan, L.; Lei, Y.; Cao, P.F.; Hao, J.M. Primary Air Pollutant Emissions of Coal-Fired Power Plants in China: Current Status and Future Prediction. Atmos. Environ. 2008, 42, 8442–8452. [Google Scholar] [CrossRef]
- GB J4-73; Trial Standards for Industrial Three Wastes Emissions. MEE (Ministry of Ecology and Environment of China): Beijing, China, 1973.
- GB 3095-1996; Ambient Air Quality Standard. MEE (Ministry of Ecology and Environment of China): Beijing, China, 1996.







| Particle Size Range | Grate-Fired Furnace (%) | Reciprocating Grate Boiler (%) | Spreader Stoker (%) | Pulverized Coal Furnace (%) |
|---|---|---|---|---|
| <10 μm | 5 | 7 | 11 | 40–50 |
| <20 μm | 8 | 15 | 23 | 70 |
| <44 μm | 30 | 30 | 42 | 80 |
| <74 μm | 40 | 38 | 56 | 97 |
| <149 μm | 49 | 57 | 73 | 98 |
| >149 μm | 60 | 47 | 27 | 2 |
| Category | TSP | PM10 | PM2.5 | SO2 | NOx | OC | EC | |
|---|---|---|---|---|---|---|---|---|
| CFIB (kg/t coal) | GF | 1.4 A a | 0.5 A a | 0.2 A a | 16 S b, 12.8 S b,c | 2.95 | 6.29 | 4.14 |
| CFB | 5.6 A a | 1.6 A a | 0.4 A a | 15 S b, 4.5 S b,d | 4.01, 1.54 e | 4.57 | 3.91 | |
| PC | 7.5 A a | 1.7 A a | 0.5 A a | 18 S b, 13.6 S b,c | 6.79, 3.78 e | 1.71 | 2.66 | |
| BFIB (kg/t biomass) | GF | 1.47 | 1.12 | 0.95 | 0.7 | 2.79 | 0.14 | 0.17 |
| GFIB, (g/m3 gas) | ACB | 0.03 | 0.03 | 0.02 | - | 3.39, 0.26 f | - | - |
| CCB | 0.03 | 0.03 | 0.02 | - | 1.50, 0.64 f, 0.45 g | - | - | |
| OFIB (kg/t oil) | kerosene | 0.9 | 0.9 | 0.9 | 19 S b | 21.1 | 0.04 | 0.12 |
| diesel | 0.5 | 0.5 | 0.5 | 19 S b | 7.34 | 0.01 | 0.14 | |
| fuel oil | 0.85 | 0.85 | 0.65 | 19 S b | 5.94 | 0.05 | 0.04 | |
| Industrial Boiler | Scale | Year | Pollutant (Emissions) | Reference |
|---|---|---|---|---|
| CFIBs + BFIBs + GFIBs + OFIBs | China | 2017 | PM (1.240 kt), PM2.5 (347 kt), PM10 (761 kt), SO2 (1.648 kt), NOx (1.340 kt) | Tong et al. [4] |
| CFIBs + GFIBs | China | 1980–2016 | PM (5.43 Mt), SO2 (6.99 Mt) and NOx (2.47 Mt) for 2016 | Yue et al. [5] |
| CFIBs | China | 1991–2020 | PM (221.1 kt), PM2.5 (67.7 kt), SO2 (614.1 kt), and NOx (734.0 kt) for year of 2020 | Tong et al. [6] |
| CFIBs | Beijing City | 2013 | PM10 (19,242 t), PM2.5 (13,345 t), SO2 (26,615 t), NOx (22,965 t), CO (63,779 t), and VOCs (1406 t) | Xue et al. [46] |
| GFIBs | Beijing | 2012 | NOx (9339 t) | Xue et al. [34] |
| GFIBs | Beijing | 2014 | NOx (11,121 t), SO2 (468 t), and CO (222 t) | Yan et al. [35] |
| GFIBs | Beijing | 2000–2014 | NOx (22,422 t), PM10 (1042 t), PM2.5 (781 t), CO (19,097 t), VOCs (653 t), SO2 (82 t) for year of 2014 | Xue et al. [56] |
| Fuel | Air Pollutant Emission Control Technology Routes | Air Pollutant Emission Concentration (mg/m3) | Technical Characteristics and Applicable Conditions | |||
|---|---|---|---|---|---|---|
| Prevention Technology | Control Technology | PM | SO2 | NOx | ||
| Coal-fired | LNB | SNCR + FF/ESP-FF+ limestone/lime-gypsum/Na-alkali/magnesium wet FGD | 10–30 | 25 | 120–200 a | Applicable to boilers with a capacity of ≥10 t/h, and the denitrification reductant injection zone has high requirements for flow field and temperature. Protective measures are recommended for GF furnaces to adopt FF. |
| 120–300 b | ||||||
| 90–200 c | ||||||
| LNB | SNCR-SCR/SCR + FF/ESP-FF + limestone/lime-gypsum/Na-alkali/magnesium wet FGD | 10–30 | 25 | 40–150 | Applicable to boilers with a capacity of ≥10 t/h, and the operation effect of this technology is stable. The operation and investment cost of SCR is higher than that of SNCR-SCR. | |
| LNB | SNCR + dry-ESP + limestone/lime-gypsum/Na-alkali/magnesium wet FGD | 20–50 | 25 | 120–200 a | Applicable to boilers with a capacity of ≥10 t/h, and the specific resistance of the flue gas condition should be in the range of 1 × 104~1 × 1011 Ω·cm. The injection zone of denitrification reducing agent has high requirements on flow field and temperature. | |
| 120–300 b | ||||||
| 90–200 c | ||||||
| LNB | SNCR-SCR/SCR + dry-ESP + limestone/lime-gypsum/Na-alkali/magnesium wet FGD | 20–50 | 25 | 40–150 | Applicable to boilers with a capacity of ≥10 t/h, and the specific resistance of the flue gas condition should be in the range of 1 × 104~1 × 1011 Ω·cm. The operation effect of this technology is stable, and the operation and investment cost of SCR is higher than that of SNCR-SCR. | |
| LNB | SNCR + CFB + FF | 10–30 | 25 | 120–200 a | It is suitable for boilers with sulfur content <1.5% and with a capacity of ≥10 t/h. The injection zone of denitrification reducing agent has high requirements for flow field and temperature. The CFB FGD may have the problem of bed collapse under low load operation. | |
| 120–300 b | ||||||
| 90–200 c | ||||||
| LNB | SNCR-SCR/SCR + CFB + FF | 10–30 | 25 | 40–150 | It is suitable for boilers with sulfur content <1.5% and with a capacity of ≥10 t/h. There may be a bed collapse problem in the CFB FGD under low load operation. SCR operation and investment costs are higher than SNCR-SCR. | |
| Biomass-fired | LNB | MDC + FF | 10–30 | 5–200 | 120–400 | Suitable for CFB boilers and GF furnaces with loose NOx and SO2 emission requirements. The technology covers a small area, and the investment cost and operation cost are relatively low. |
| LNB | SNCR + MDC + FF | 10–30 | 5–200 | 90–200 | Suitable for CFB boilers and GF furnaces. The injection zone of denitrification reducing agent has high requirements for flow field and temperature. The technology has a small land occupation, low investment cost, and low operating cost. | |
| LNB | SNCR-SCR/SCR + MDC + FF + limestone/lime-gypsum/Na-alkali/magnesium wet FGD | 10–30 | 5–35 | 40–150 | It is suitable for CFB boilers and GF furnaces with strict emission requirements for NOx and SO2. An anti-alkali metal poisoning catalyst should be used. SCR operation and investment costs are higher than SNCR-SCR. | |
Disclaimer/Publisher’s Note: The statements, opinions and data contained in all publications are solely those of the individual author(s) and contributor(s) and not of MDPI and/or the editor(s). MDPI and/or the editor(s) disclaim responsibility for any injury to people or property resulting from any ideas, methods, instructions or products referred to in the content. |
© 2025 by the authors. Licensee MDPI, Basel, Switzerland. This article is an open access article distributed under the terms and conditions of the Creative Commons Attribution (CC BY) license (https://creativecommons.org/licenses/by/4.0/).
Share and Cite
Tong, Y.; Guo, X.; Guo, F.; Yue, T. Advances in Primary Air Pollutant Emissions of Industrial Boilers in China: Emission Characteristics, Emission Inventories, and Mitigation Potentials. Sustainability 2025, 17, 1987. https://doi.org/10.3390/su17051987
Tong Y, Guo X, Guo F, Yue T. Advances in Primary Air Pollutant Emissions of Industrial Boilers in China: Emission Characteristics, Emission Inventories, and Mitigation Potentials. Sustainability. 2025; 17(5):1987. https://doi.org/10.3390/su17051987
Chicago/Turabian StyleTong, Yali, Xudong Guo, Fenghui Guo, and Tao Yue. 2025. "Advances in Primary Air Pollutant Emissions of Industrial Boilers in China: Emission Characteristics, Emission Inventories, and Mitigation Potentials" Sustainability 17, no. 5: 1987. https://doi.org/10.3390/su17051987
APA StyleTong, Y., Guo, X., Guo, F., & Yue, T. (2025). Advances in Primary Air Pollutant Emissions of Industrial Boilers in China: Emission Characteristics, Emission Inventories, and Mitigation Potentials. Sustainability, 17(5), 1987. https://doi.org/10.3390/su17051987

