Clean Heating Technology Diffusion with Government Departments’ and Commercial Banks’ Participation: An Evolutionary Game Analysis
Abstract
1. Introduction
2. Evolutionary Game Model Construction and Analysis
2.1. Problem Description and Modeling Assumptions
2.1.1. Problem Description
2.1.2. Basic Assumptions
2.2. Payoff Analysis and Solving for Replicator Dynamics Equations
2.2.1. Payoff Analysis
2.2.2. Calculation of Replicator Dynamics Equation
2.3. Equilibrium Points and Stability Analysis
2.3.1. Solving for Equilibrium Points and Eigenvalue Analysis
2.3.2. Stability Analysis of Equilibrium Points
- (1)
- Case A: Stability conditions for equilibrium point
- (2)
- Case B: Stability conditions for equilibrium point
- (3)
- Case C: Stability conditions for equilibrium point
- (4)
- Case D: Stability conditions for equilibrium point
3. Simulation Results and Analysis
3.1. Parameter Settings
3.2. ESS Simulation Results for the Four Cases
3.3. The Impact of Key Parameters on Strategy Evolution
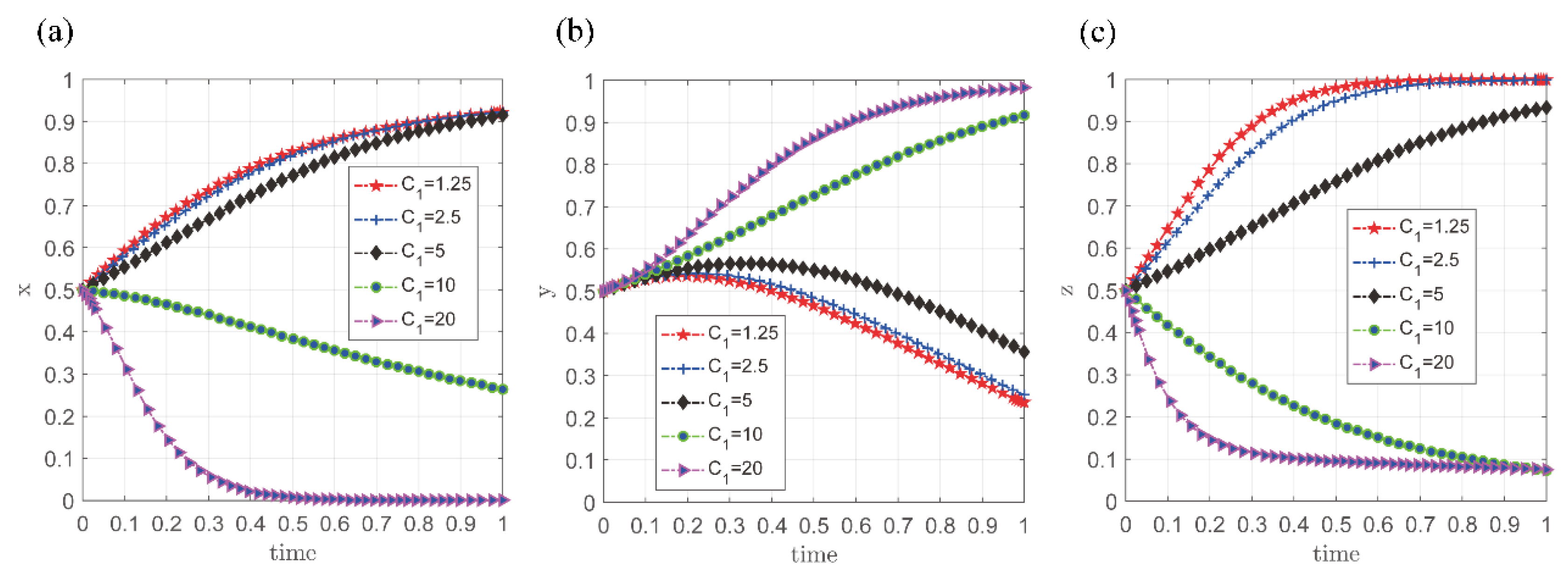
3.3.1. The Impact of Cost- and Subsidy-Related Variables on the Strategy Selections
- (1)
- The impact of on strategy selections of game players
- (2)
- The impact of on strategy selections of game players
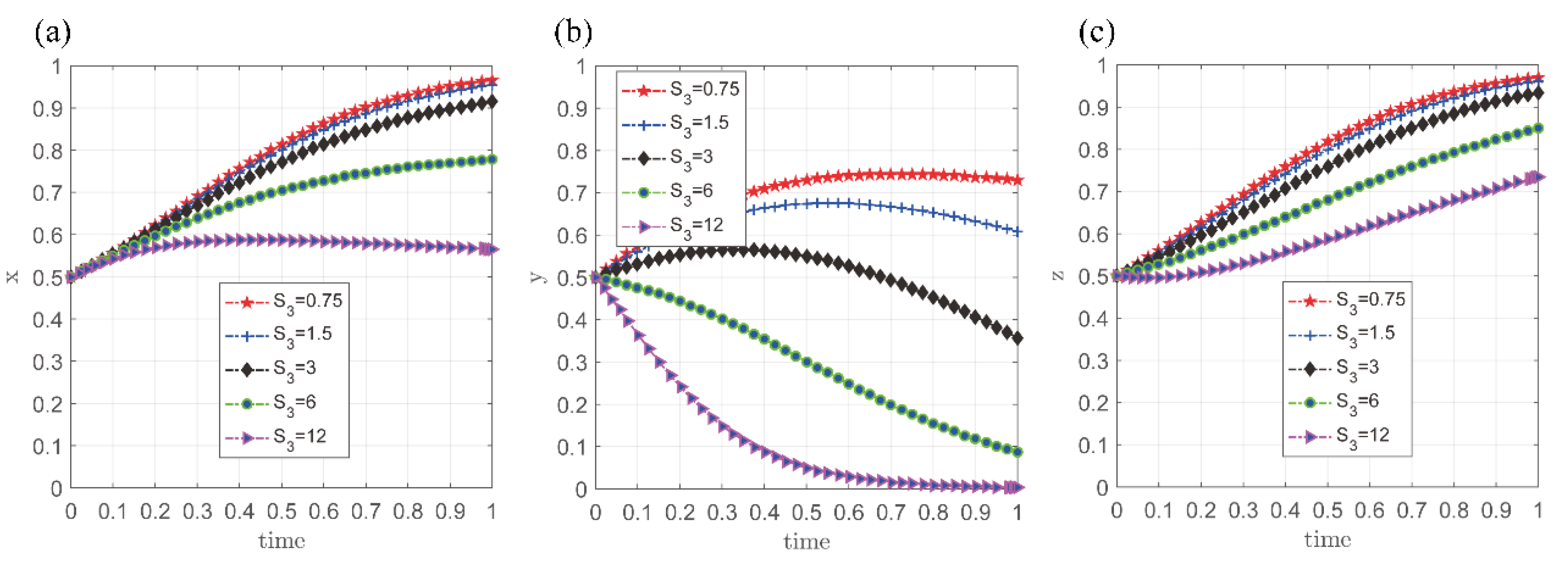
3.3.2. The Impact of Loss- and Return-Related Variables on Strategy Selections
- (1)
- The impact of on strategy selections of game players
- (2)
- The impact of on strategy selections of game players
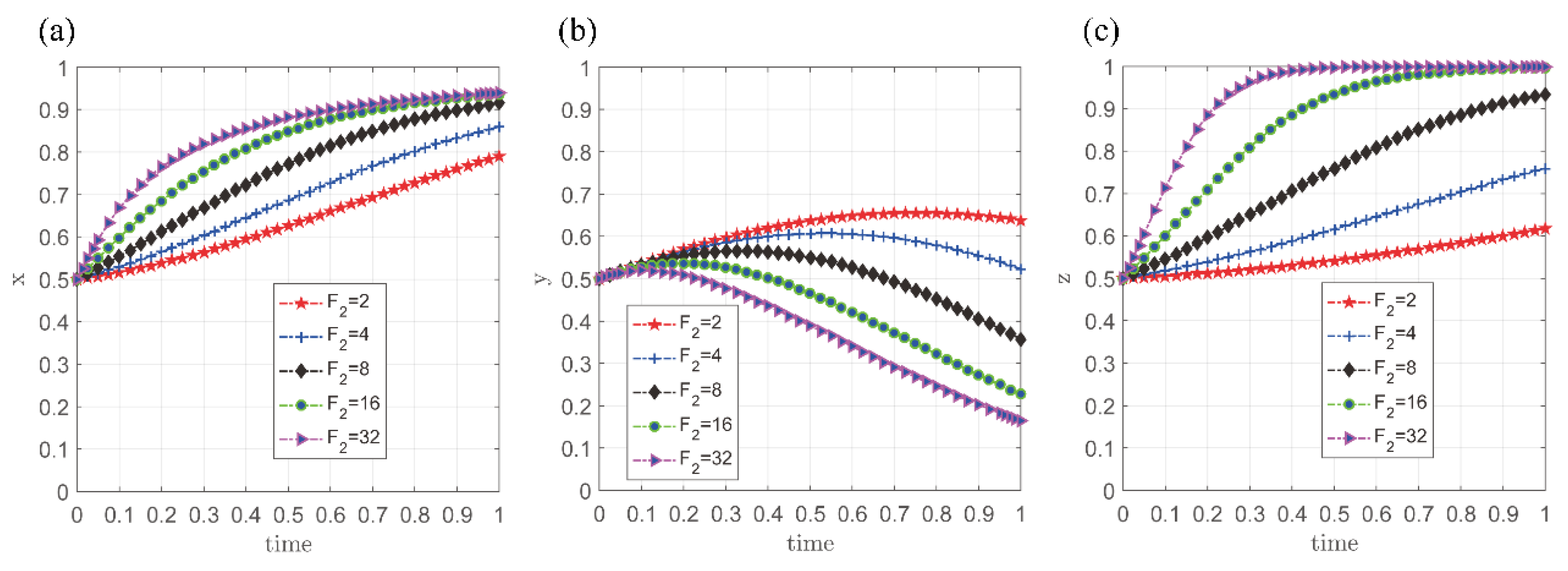
3.3.3. The Impact of Punishment-Related Variables on Strategy Selections
- (1)
- The impact of on strategy selections of game players
- (2)
- The impact of on strategy selections of game players
- (3)
- The impact of on strategy selections of game players
3.3.4. The Impact of Probability-Related Variables on the Strategy Selections
- (1)
- The impact of on strategy selections of game players
- (2)
- The impact of on strategy selections of game players
- (3)
- The impact of on strategy selections of game players
- (4)
- The impact of on strategy selections of game players
4. Discussions
4.1. Incentive Effects of Cost Reduction and Return Increase
4.2. Penalty Mechanisms for Non-Compliance
4.3. Informal Regulation for Opportunistic Behaviors
4.4. Optimization and Adjustment of Green Credit Policies
4.5. Rationalization of Subsidy Schemes
5. Conclusions and Policy Implications
5.1. Conclusions
5.2. Policy Implications
5.3. Limitations and Future Research
Author Contributions
Funding
Institutional Review Board Statement
Informed Consent Statement
Data Availability Statement
Acknowledgments
Conflicts of Interest
Appendix A. Payoff Analysis and Calculation of Replicator Dynamic Equations
Appendix A.1. Payoff Analysis for Eight Strategy Combinations
- ①
- Strategy combination (No Support, No Subsidy, No R&D)
- ②
- Strategy combination (No Support, No Subsidy, R&D)
- ③
- Strategy combination (No Support, Subsidy, No R&D)
- ④
- Strategy combination (No Support, Subsidy, R&D)
- ⑤
- Strategy combination (Support, No Subsidy, No R&D)
- ⑥
- Strategy combination (Support, No Subsidy, R&D)
- ⑦
- Strategy combination (Support, Subsidy, No R&D)
- ⑧
- Strategy combination (Support, subsidy, R&D)
Appendix A.2. Calculation of Replicator Dynamic Equations
- ①
- Replicator dynamic equation for commercial banks
- ②
- Replicator dynamic equation for government departments
- ③
- Replicator dynamic equation for heating enterprises
Appendix B. Questionnaire, Expert Profiles, and Scoring in the Delphi Survey
| Number | Survey Items | Minimum Value | Most Likely Value | Maximum Value |
|---|---|---|---|---|
| 1 | Returns from clean heating technology R&D () | |||
| 2 | Liquidated damages that heating enterprises need to pay to the commercial banks for “loan fraud” () | |||
| 3 | Cost of clean heating technology R&D () | |||
| 4 | Government subsidy for heating enterprises () | |||
| 5 | Government fine for commercial banks’ non-implementation of green credit policies () | |||
| 6 | Credit loss of heating enterprises for “loan fraud” () | |||
| 7 | Government fine for heating enterprises’ “subsidy fraud” () |
| Expert | Age | Education Background | Organization | Position | Work Experience | Expertise |
|---|---|---|---|---|---|---|
| E1 | 51 | Bachelor’s degree | Heating enterprise | Technical Director | 22 | Leading research on clean heating technology |
| E2 | 44 | Master’s degree | Heating enterprise | Department manager | 17 | Responsible for a clean heating technology project |
| E3 | 43 | Master’s degree | Government department | Department head | 16 | Responsible for the promotion of clean heating technology |
| E4 | 42 | Master’s degree | Government department | Research fellow | 15 | Deeply participated in drafting green credit policies for clean energy projects |
| E5 | 40 | Doctorate degree | University | Professor | 13 | Deeply participated in research project of clean heating technology |
| E6 | 42 | Doctorate degree | University | Professor | 16 | Engaged in policy research on clean heating technology |
| E7 | 46 | Master’s degree | University | Professor | 18 | Responsible for a major R&D project of clean heating technology |
| E8 | 38 | Doctorate degree | Research institution | Research fellow | 10 | Deeply participated in research project of clean heating technology |
| E9 | 42 | Master’s degree | Commercial bank | General manager | 14 | Responsible for the review of green credit loan applications |
| Survey Items | Scoring of Experts | ||||||||
|---|---|---|---|---|---|---|---|---|---|
| E1 | E2 | E3 | E4 | E5 | E6 | E7 | E8 | E9 | |
| 9.5 | 10 | 10.6 | 9 | 10.1 | 11 | 10.2 | 10.5 | 9.6 | |
| 7.2 | 9 | 7.9 | 8.2 | 7.4 | 8.5 | 8.6 | 7.6 | 8.5 | |
| 4.5 | 5 | 4.5 | 5.4 | 4.6 | 5.3 | 5.5 | 4.4 | 5.3 | |
| 2.4 | 3.2 | 2.6 | 3 | 2.7 | 3.5 | 3.3 | 2.5 | 3.1 | |
| 9 | 10.5 | 10.2 | 8.8 | 10.6 | 10.4 | 9.7 | 9.5 | 10.8 | |
| 1.8 | 2 | 1.7 | 2.2 | 2.1 | 1.8 | 2 | 1.9 | 2.2 | |
| 4.8 | 5.2 | 4.7 | 5.5 | 5.1 | 4.4 | 5.2 | 5.4 | 4.5 | |
References
- Wang, Z.; Li, C.; Cui, C.; Liu, H.; Cai, B. Cleaner heating choices in northern rural China: Household factors and the dual substitution policy. J. Environ. Manag. 2019, 249, 109433. [Google Scholar] [CrossRef] [PubMed]
- BERC. Building Energy Research Center of Tsinghua University: China Building Energy Use 2020. Available online: https://berc.dest.net.cn/?ky/Article250/ (accessed on 8 August 2024).
- Zhao, N.; Zhang, Y.; Li, B.; Hao, J.; Chen, D.; Zhou, Y.; Dong, R. Natural gas and electricity: Two perspective technologies of substituting coal-burning stoves for rural heating and cooking in Hebei Province of China. Energy Sci. Eng. 2019, 7, 120–131. [Google Scholar] [CrossRef]
- Mahmoud, M.; Ramadan, M.; Naher, S.; Pullen, K.; Olabi, A.G. The impacts of different heating systems on the environment: A review. Sci. Total Environ. 2021, 766, 142625. [Google Scholar] [CrossRef] [PubMed]
- Sadrizadeh, S.; Yao, R.; Yuan, F.; Awbi, H.; Bahnfleth, W.; Bi, Y.; Cao, G.; Croitoru, C.; de Dear, R.; Haghighat, F.; et al. Indoor air quality and health in schools: A critical review for developing the roadmap for the future school environment. J. Build. Eng. 2022, 57, 104908. [Google Scholar] [CrossRef]
- Lin, J.; Lin, B. Heat tariff and subsidy in China based on heat cost analysis. Energy Econ. 2018, 71, 411–420. [Google Scholar] [CrossRef]
- Streimikiene, D. Renewable energy technologies in households: Challenges and low carbon energy transition justice. Econ. Sociol. 2022, 15, 108–120. [Google Scholar] [CrossRef]
- Zhu, Y.; Wu, S.; Li, J.; Jia, Q.; Zhang, T.; Zhang, X.; Han, D.; Tan, Y. Towards a carbon-neutral community: Integrated renewable energy systems (IRES)–sources, storage, optimization, challenges, strategies and opportunities. J. Energy Storage 2024, 83, 110663. [Google Scholar] [CrossRef]
- Chen, S.; Bravo-Melgarejo, S.; Mongeau, R.; Malavolti, E. Adopting and diffusing hydrogen technology in air transport: An evolutionary game theory approach. Energy Econ. 2023, 125, 106864. [Google Scholar] [CrossRef]
- Sinsel, S.R.; Riemke, R.L.; Hoffmann, V.H. Challenges and solution technologies for the integration of variable renewable energy sources—A review. Renew. Energy 2020, 145, 2271–2285. [Google Scholar] [CrossRef]
- Huang, X.; Lin, Y.; Lim, M.K.; Zhou, F.; Liu, F. Electric vehicle charging station diffusion: An agent-based evolutionary game model in complex networks. Energy 2022, 257, 124700. [Google Scholar] [CrossRef]
- Liu, P.; Li, X.; Li, J. Competitive firms’ low-carbon technology diffusion under pollution regulations: A network-based evolutionary analysis. Energy 2023, 282, 128836. [Google Scholar] [CrossRef]
- Yang, Y.; Liu, H.; Liu, L. An evolutionary game for analysis of implementation strategies in inter-regional diffusion of clean technology. Socio-Econ. Plan. Sci. 2024, 95, 102009. [Google Scholar] [CrossRef]
- Zheng, Y.; Bai, C.; Wang, L.; Han, C.; Yang, M.; Pappu, A. Evolutionary game analysis on the diffusion of general purpose technologies with government multiple supports. Econ. Innov. New Technol. 2024, 33, 436–454. [Google Scholar] [CrossRef]
- Li, F.; Cao, X.; Sheng, P. Impact of pollution-related punitive measures on the adoption of cleaner production technology: Simulation based on an evolutionary game model. J. Clean Prod. 2022, 339, 130703. [Google Scholar] [CrossRef]
- Li, J.; Song, L.; Zhu, Y. Subsidies, clean heating choices, and policy costs: Evidence from rural households in northern China. Sustainability 2021, 13, 169. [Google Scholar] [CrossRef]
- Shi, Y.; Wei, Z.; Shahbaz, M.; Zeng, Y. Exploring the dynamics of low-carbon technology diffusion among enterprises: An evolutionary game model on a two-level heterogeneous social network. Energy Econ. 2021, 101, 105399. [Google Scholar] [CrossRef]
- Zhao, L.; Sun, M. How can credit supervision mechanism improve security crowdsourcing ecosystem governance: An evolutionary game theory perspective. IEEE Access 2024, 12, 21647–21661. [Google Scholar] [CrossRef]
- Ning, J.; Li, X.; Gao, Y. Dynamic analysis and influence mechanism of digital technology diffusion in the energy industry based on the evolutionary game model of complex networks. Energy Environ. 2023, 0958305X231217653. [Google Scholar] [CrossRef]
- Zhang, M.; Huang, Y.; Jin, Y.; Bao, Y. Government regulation strategy, leading firms’ innovation strategy, and following firms imitation strategy: An analysis based on evolutionary game theory. PLoS ONE 2023, 18, e0286730. [Google Scholar] [CrossRef]
- Wang, Q.; Tan, Z.; De, G.; Tan, Q.; Pu, L. An evolutionary game study of clean heating promotion mechanisms under the policy regulation in China. Sustainability 2019, 11, 3778. [Google Scholar] [CrossRef]
- Fang, Y.; Chen, L.; Mei, S.; Wei, W.; Huang, S.; Liu, F. Coal or electricity? An evolutionary game approach to investigate fuel choices of urban heat supply systems. Energy 2019, 181, 107–122. [Google Scholar] [CrossRef]
- Liu, W.; Li, Y.; Zhu, W. Evolutionary game analysis of clean heating governance in rural areas of Northern China. Front. Environ. Sci. 2022, 10, 988353. [Google Scholar] [CrossRef]
- Dos Santos, L.L.C.; Canha, L.N.; Bernardon, D.P. Projection of the diffusion of photovoltaic systems in residential low voltage consumers. Renew. Energy 2018, 116, 384–401. [Google Scholar] [CrossRef]
- Wang, Z.; Feng, Y.; Yao, N.; Lin, O.; Li, Q.; Liu, B. Impact of policy interventions on low-carbon technology innovation diffusion in supply networks. Manag. Decis. Econ. 2024, 45, 5040–5053. [Google Scholar] [CrossRef]
- Zou, C.; Huang, Y.; Hu, S.; Huang, Z. Government participation in low-carbon technology transfer: An evolutionary game study. Technol. Forecast. Soc. Change 2023, 188, 122320. [Google Scholar] [CrossRef]
- Maynard Smith, J. The theory of games and the evolution of animal conflicts. J. Theor. Biol. 1974, 47, 209–221. [Google Scholar] [CrossRef]
- Zhu, C.; Fan, R.; Luo, M.; Zhang, Y.; Qin, M. Simulating policy interventions for different quota targets of renewable portfolio standard: A combination of evolutionary game and system dynamics approach. Sustain. Prod. Consump. 2022, 30, 1053–1069. [Google Scholar] [CrossRef]
- Han, J.; Tan, Q.; Ji, Q.; Li, Y.; Liu, Y.; Wang, Y. Simulating the CCUS technology diffusion in thermal power plants: An agent-based evolutionary game model in complex networks. J. Clean. Prod. 2023, 421, 138515. [Google Scholar] [CrossRef]
- Xu, L.; Huang, D.; He, Z.; Cao, J. Evolutionary game analysis of the innovation and diffusion of water-saving technology. Water Econ. Policy 2023, 9, 2340009. [Google Scholar] [CrossRef]
- Wang, H.; Gao, L.; Jia, Y. The predicament of clean energy technology promotion in China in the carbon neutrality context: Lessons from China’s environmental regulation policies from the perspective of the evolutionary game theory. Energy Rep. 2022, 8, 4706–4723. [Google Scholar]
- Song, X.; Shen, M.; Lu, Y.; Shen, L.; Zhang, H. How to effectively guide carbon reduction behavior of building owners under emission trading scheme? An evolutionary game-based study. Environ. Impact Assess. Rev. 2021, 90, 106624. [Google Scholar] [CrossRef]
- Xia, X.; Zeng, X.; Wang, W.; Liu, C.; Li, X. Carbon constraints and carbon emission reduction: An evolutionary game model within the energy-intensive sector. Expert Syst. Appl. 2024, 244, 122916. [Google Scholar] [CrossRef]
- Liao, D.; Tan, B. An evolutionary game analysis of new energy vehicles promotion considering carbon tax in post-subsidy era. Energy 2023, 264, 126156. [Google Scholar] [CrossRef]
- Wang, Y.; Fan, R.; Lin, J.; Chen, F.; Qian, R. The effective subsidy policies for new energy vehicles considering both supply and demand sides and their influence mechanisms: An analytical perspective from the network-based evolutionary game. J. Environ. Manag. 2023, 325, 116483. [Google Scholar] [CrossRef] [PubMed]
- Li, X.; Chen, L.; Sun, F.; Hao, Y.; Du, X.; Mei, S. Share or not share, the analysis of energy storage interaction of multiple renewable energy stations based on the evolution game. Renew. Energy 2023, 208, 679–692. [Google Scholar] [CrossRef]
- Zhang, T.; Cao, S.; Pan, L.; Zhou, C. A policy effect analysis of China’s energy storage development based on a multi-agent evolutionary game model. Energies 2020, 13, 6293. [Google Scholar] [CrossRef]
- Hu, F.; Zhou, D.; Zhu, Q.; Wang, Q. How dynamic renewable portfolio standards affect trading behavior of power generators? Considering green certificate and reward/penalty mechanism. Appl. Energy 2024, 375, 124114. [Google Scholar] [CrossRef]
- Zhu, C.; Fan, R.; Lin, J.; Chen, R.; Luo, M. How to promote municipal household waste management by waste classification and recycling? A stochastic tripartite evolutionary game analysis. J. Environ. Manag. 2023, 344, 118503. [Google Scholar] [CrossRef]
- Chen, L.; Zhang, M.; Zhao, S. Game analysis of the multiagent evolution of existing building green retrofitting from the perspective of green credit. Discrete Dyn. Nat. Soc. 2021, 2021, 5560671. [Google Scholar] [CrossRef]
- Fan, R.; Wang, Y.; Chen, F.; Du, K.; Wang, Y. How do government policies affect the diffusion of green innovation among peer enterprises? An evolutionary-game model in complex networks. J. Clean. Prod. 2022, 364, 132711. [Google Scholar] [CrossRef]
- Chen, L.; Bai, X.; Chen, B.; Wang, J. Incentives for green and low-carbon technological innovation of enterprises under environmental regulation: From the perspective of evolutionary game. Front. Energy Res. 2022, 9, 793667. [Google Scholar] [CrossRef]
- Wang, X.; Cho, S.; Scheller-Wolf, A. Green technology development and adoption: Competition, regulation, and uncertainty—A global game approach. Manag. Sci. 2021, 67, 201–219. [Google Scholar] [CrossRef]
- Lashgari, Z.; Bahiraie, A.; Eshaghi Gordji, M. A new credit and loan lending strategy and credit in banking systems: An evolutionary game theory approach. J. Appl. Math. 2022, 2022, 3400319. [Google Scholar] [CrossRef]
- Zuo, W.; Li, Y.; Wang, Y. Research on the optimization of new energy vehicle industry research and development subsidy about generic technology based on the three-way decisions. J. Clean. Prod. 2019, 212, 46–55. [Google Scholar] [CrossRef]
- Zhang, L.; Long, R.; Huang, Z.; Li, W.; Wei, J. Evolutionary game analysis on the implementation of subsidy policy for sustainable transportation development. J. Clean. Prod. 2020, 267, 122159. [Google Scholar] [CrossRef]
- Sun, R.; He, D.; Su, H. Evolutionary game analysis of blockchain technology preventing supply chain financial risks. J. Theor. Appl. Electron. Commer. Res. 2021, 16, 2824–2842. [Google Scholar] [CrossRef]
- Gao, Y.; Ning, J.; Zhang, M. An evolutionary game dynamic analysis of enterprise technological innovation implementation strategy: From the perspective of green bonds. IEEE Trans. Eng. Manag. 2024, 71, 11551–11564. [Google Scholar] [CrossRef]
- Binmore, K.; Samuelson, L. Evolution and mixed strategies. Games Econ. Behav. 2001, 34, 200–226. [Google Scholar] [CrossRef]
- Dou, Y.; Sun, X.; Ji, A.; Wang, Y.; Xue, X. Development strategy for prefabricated construction projects: A tripartite evolutionary game based on prospect theory. Eng. Constr. Archit. Manag. 2023, 30, 105–124. [Google Scholar] [CrossRef]
- Zhao, R.; Peng, L.; Zhao, Y.; Feng, Y. Coevolution mechanisms of stakeholder strategies in the green building technologies innovation ecosystem: An evolutionary game theory perspective. Environ. Impact Assess. Rev. 2024, 105, 107418. [Google Scholar] [CrossRef]
- Zhao, H.; Liu, X.; Wang, Y. Evolutionary game analysis of opportunistic behavior of Sponge City PPP projects: A perceived value perspective. Sci. Rep. 2022, 12, 8798. [Google Scholar] [CrossRef] [PubMed]
- Jia, C.; Zhang, R.; Wang, D. Evolutionary game analysis of low-carbon technology innovation diffusion under PPP mode in China. PLoS ONE 2022, 17, e0279493. [Google Scholar] [CrossRef] [PubMed]
- Li, M.; Gao, X. Implementation of enterprises’ green technology innovation under market-based environmental regulation: An evolutionary game approach. J. Environ. Manag. 2022, 308, 114570. [Google Scholar] [CrossRef] [PubMed]
- Hu, Q.; Chan, S.F.; Zhang, G.; Yang, Z. The joint-liability mechanism: Controlling opportunism through peer monitoring among Chinese supplier groups. J. Bus. Ind. Mark. 2016, 31, 640–653. [Google Scholar] [CrossRef]
- Zhou, K.; Wang, Q.; Tang, J. Evolutionary game and simulation analysis of enterprise’s green technology innovation under green credit policy: Evidence from China. Technol. Anal. Strateg. Manag. 2024, 36, 1551–1570. [Google Scholar] [CrossRef]
- Wang, J.; Liu, X. Research on the development strategy selection of the new energy vehicle industry from the perspective of green credit—Based on the foursquare evolutionary game analysis. PLoS ONE 2024, 19, e0297813. [Google Scholar]
- Li, J.; Ren, H.; Zhang, C.; Li, Q.; Duan, K. Substantive Innovation or Strategic Innovation? Research on Multiplayer Stochastic Evolutionary Game Model and Simulation. Complexity 2020, 2020, 9640412. [Google Scholar] [CrossRef]













| Variables | Definition | Initial Value |
|---|---|---|
| Cost of clean heating technology R&D | 5 | |
| Government subsidy for heating enterprises | 3 | |
| Interest rate of green credit | 0.05 | |
| Probability of successful R&D for clean heating technology | 0.5 | |
| Returns from clean heating technology R&D | 10 | |
| Probability of heating enterprises being reported for “subsidy fraud” | 0.5 | |
| Government fine for heating enterprises’ “subsidy fraud” | 5 | |
| Probability of heating enterprises being reported for “loan fraud” | 0.5 | |
| Liquidated damages that heating enterprises need to pay to the commercial banks for “loan fraud” | 8 | |
| Credit loss of heating enterprises for “loan fraud” | 2 | |
| Probability of commercial banks being reported for non-compliance with green credit policies | 0.5 | |
| The fine for non-compliance with the green credit policy | 10 |
| Commercial Banks | Government Departments | Heat Supply Enterprises | |
|---|---|---|---|
| R&D | No R&D | ||
| Support | Subsidy | , | , |
| , | |||
| No Subsidy | , | , | |
| , | , | ||
| No Support | Subsidy | , | , |
| , | , | ||
| No Subsidy | , | 0, | |
| , | , | ||
| 0 | 0 | ||
| Points | Eigenvalues () | Stability |
|---|---|---|
| Unstable | ||
| ,0 | Unstable | |
| Case A | ||
| Unstable | ||
| Case B | ||
| Case C | ||
| Case D | ||
| Unstable |
Disclaimer/Publisher’s Note: The statements, opinions and data contained in all publications are solely those of the individual author(s) and contributor(s) and not of MDPI and/or the editor(s). MDPI and/or the editor(s) disclaim responsibility for any injury to people or property resulting from any ideas, methods, instructions or products referred to in the content. |
© 2025 by the authors. Licensee MDPI, Basel, Switzerland. This article is an open access article distributed under the terms and conditions of the Creative Commons Attribution (CC BY) license (https://creativecommons.org/licenses/by/4.0/).
Share and Cite
Fan, R.; Lu, J.; Zhu, C. Clean Heating Technology Diffusion with Government Departments’ and Commercial Banks’ Participation: An Evolutionary Game Analysis. Sustainability 2025, 17, 3413. https://doi.org/10.3390/su17083413
Fan R, Lu J, Zhu C. Clean Heating Technology Diffusion with Government Departments’ and Commercial Banks’ Participation: An Evolutionary Game Analysis. Sustainability. 2025; 17(8):3413. https://doi.org/10.3390/su17083413
Chicago/Turabian StyleFan, Ruguo, Jianfeng Lu, and Chaoping Zhu. 2025. "Clean Heating Technology Diffusion with Government Departments’ and Commercial Banks’ Participation: An Evolutionary Game Analysis" Sustainability 17, no. 8: 3413. https://doi.org/10.3390/su17083413
APA StyleFan, R., Lu, J., & Zhu, C. (2025). Clean Heating Technology Diffusion with Government Departments’ and Commercial Banks’ Participation: An Evolutionary Game Analysis. Sustainability, 17(8), 3413. https://doi.org/10.3390/su17083413
