Research on the Random Evolutionary Game of the Green Technology Innovation Alliance for Media Monitoring
Abstract
1. Introduction
2. Literature Review
2.1. Game Model of GIUR
2.2. The Impact of Media Monitoring
3. Methods and Analysis
3.1. Problem Description and Model Construction
3.2. Stochastic Evolutionary Game Model
3.2.1. The Replication Dynamic Equations
3.2.2. Evolution Replication Dynamic Equation Under Random Disturbance
3.2.3. Analysis of the Existence and Stability of Equilibrium Solutions
4. Results
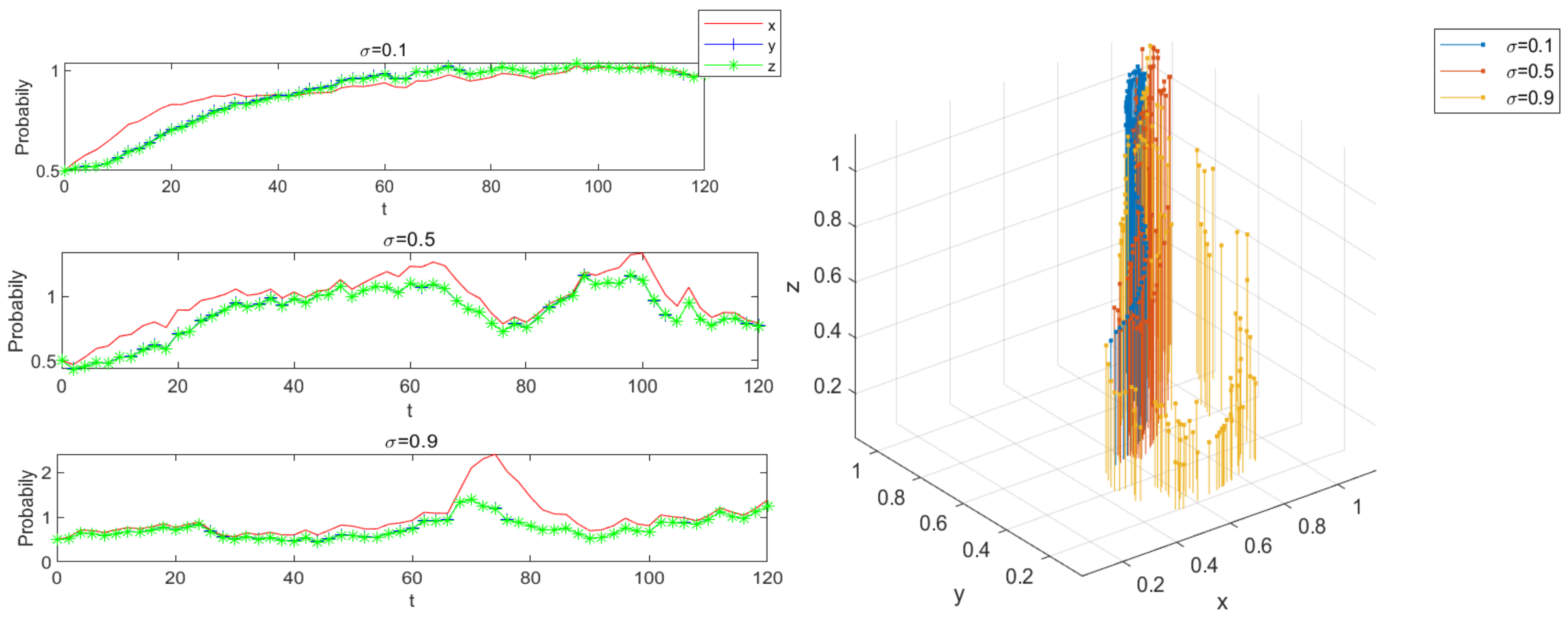
4.1. The Influence of Random Disturbance Intensity on the Evolutionary Process
4.2. The Influence of the Government Incentives Strength on the Evolutionary Process
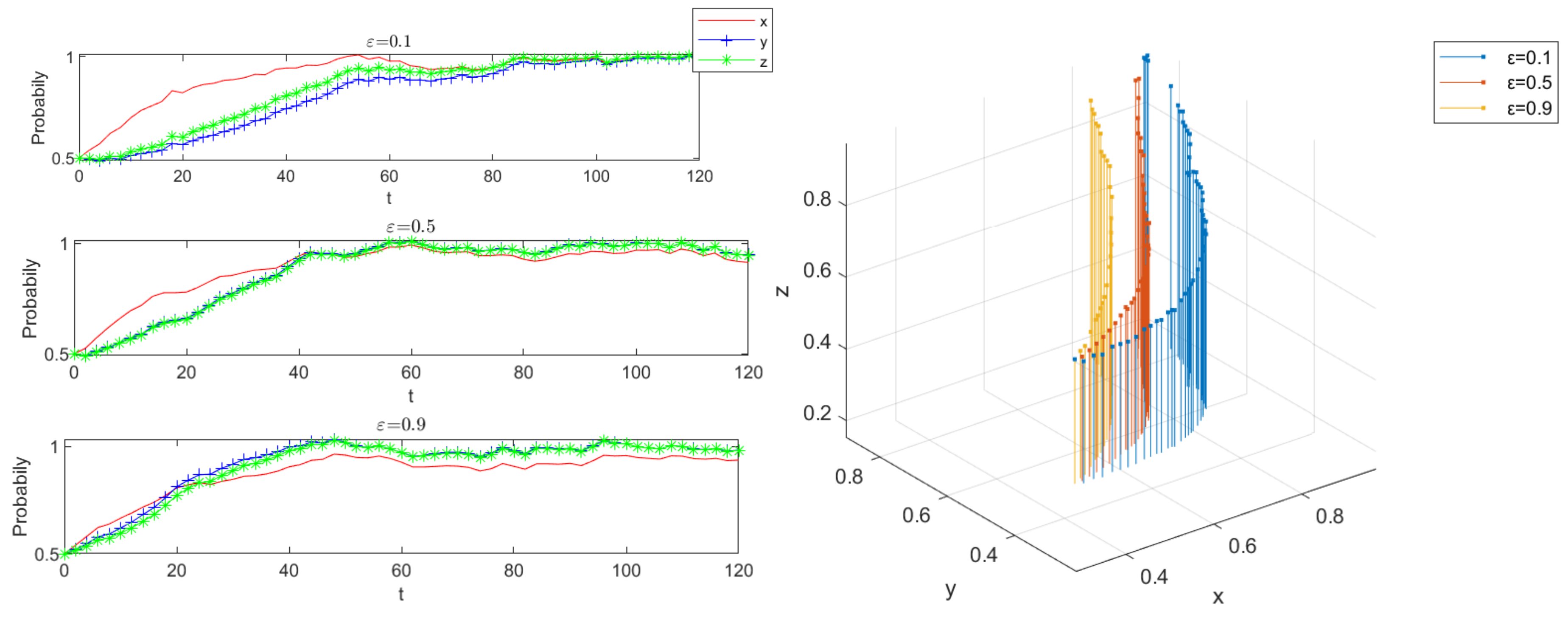
4.3. The Influence of Media Monitoring Capacity on the Evolutionary Process
4.4. The Influence of Product Greenness on Evolutionary Processes
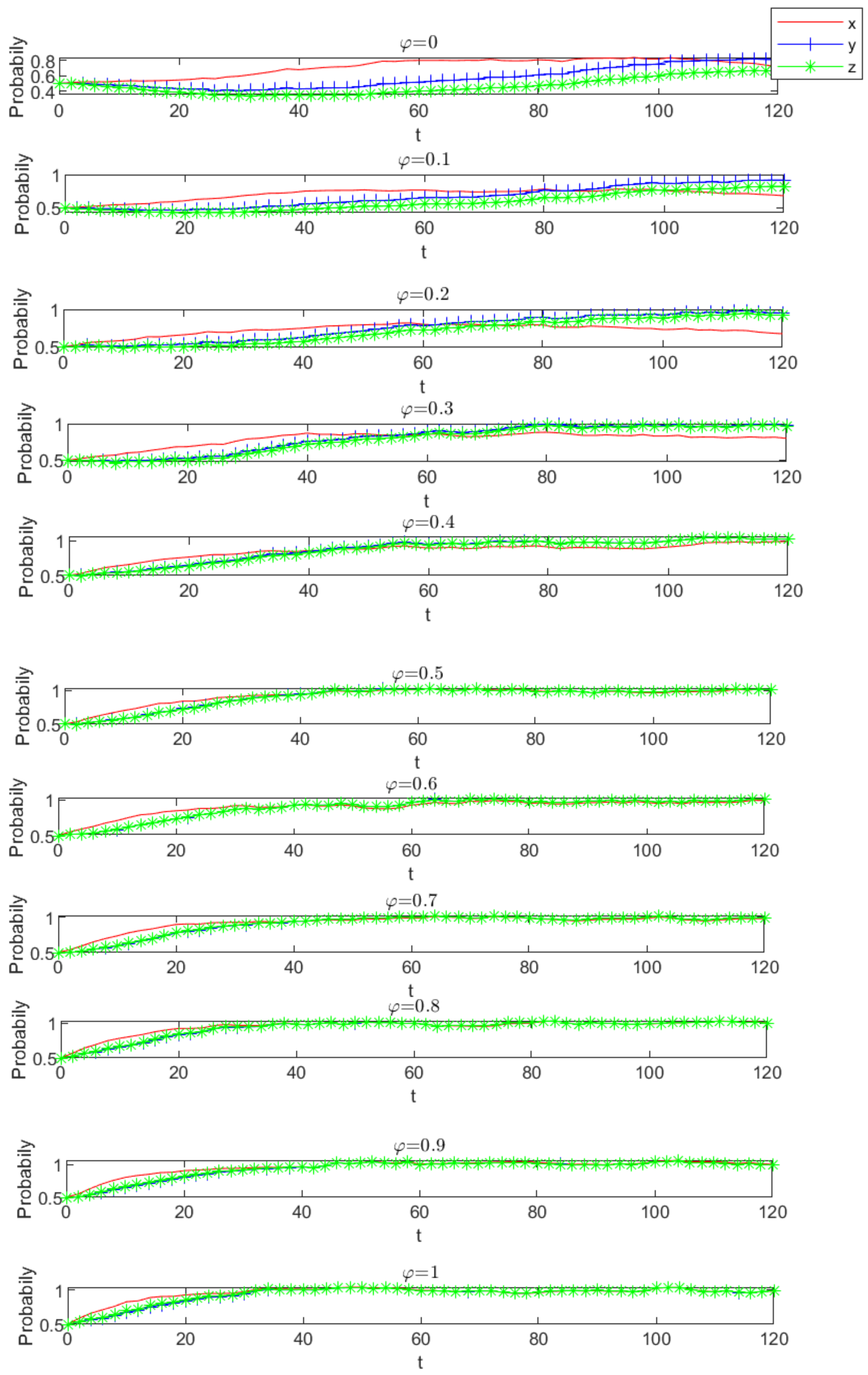
4.5. The Influence of Product Greenness on the Capacity of Media Monitoring During Evolution
4.6. The Influence of Media Monitoring Capacity on the Strength of Government Incentives in the Evolutionary Process
5. Discussion
6. Conclusions
Author Contributions
Funding
Institutional Review Board Statement
Informed Consent Statement
Data Availability Statement
Conflicts of Interest
Appendix A

Appendix B

Appendix C

Appendix D

Appendix E



References
- Guo, R.; Lv, S.; Liao, T.; Xi, F.; Zhang, J.; Zuo, X.; Cao, X.; Feng, Z.; Zhang, Y. Classifying green technologies for sustainable innovation and investment. Resour. Conserv. Recycl. 2020, 153, 104580. [Google Scholar] [CrossRef]
- Guo, T.; Wei, S.; Li, X. Building a green technology innovation system: Problems and suggestions. Stud. Dialectics Nat. 2019, 35, 46–50. (In Chinese) [Google Scholar] [CrossRef]
- Braun, E.; Wield, D. Regulation as a means for the social control of technology. Technol. Anal. Strateg. Manag. 1994, 6, 259–272. [Google Scholar] [CrossRef]
- Lee, C.-C.; Qin, S.; Li, Y. Does industrial robot application promote green technology innovation in the manufacturing industry? Technol. Forecast. Soc. Change 2022, 183, 121893. [Google Scholar] [CrossRef]
- Chen, Z.; Zhang, Y.; Wang, H.; Ouyang, X.; Xie, Y. Can green credit policy promote low-carbon technology innovation? J. Clean. Prod. 2022, 359, 132061. [Google Scholar] [CrossRef]
- Abbas, H.; Zhao, L.; Gong, X.; Faiz, N. The perishable products case to achieve sustainable food quality and safety goals implementing on-field sustainable supply chain model. Socio-Econ. Plan. Sci. 2023, 87, 101562. [Google Scholar] [CrossRef]
- Zhang, H.; Shao, Y.; Han, X.; Chang, H.-L. A road towards ecological development in China: The nexus between green investment, natural resources, green technology innovation, and economic growth. Resour. Policy 2022, 77, 102746. [Google Scholar] [CrossRef]
- Abad-Segura, E.; Fuente, A.; González-Zamar, M.-D.; Belmonte-Ureña, L. Effects of Circular Economy Policies on the Environment and Sustainable Growth: Worldwide Research. Sustainability 2020, 12, 5792. [Google Scholar] [CrossRef]
- Zhang, D.; Zheng, M.; Feng, G.-F.; Chang, C.-P. Does an environmental policy bring to green innovation in renewable energy? Renew. Energy 2022, 195, 1113–1124. [Google Scholar] [CrossRef]
- Hussain, J.; Lee, C.-C.; Chen, Y. Optimal green technology investment and emission reduction in emissions generating companies under the support of green bond and subsidy. Technol. Forecast. Soc. Change 2022, 183, 121952. [Google Scholar] [CrossRef]
- Nie, L.; Zhang, L.J. Evolutionary game analysis and simulation between government and pollutant discharge enterprises of green technology innovation. Econ. Probl. 2019, 10, 79–86. (In Chinese) [Google Scholar] [CrossRef]
- Xu, G.; Chen, H.; Wu, X.; Zhou, C. Game analysis on green cost-sharing between competing supply chains. J. Syst. Eng. 2020, 35, 244–256. (In Chinese) [Google Scholar] [CrossRef]
- Hemmert, M.; Bstieler, L.; Okamuro, H. Bridging the cultural divide: Trust formation in university–industry research collaborations in the US, Japan, and South Korea. Technovation 2014, 34, 605–616. [Google Scholar] [CrossRef]
- Gong, M.; Dai, A. Multiparty Evolutionary game strategy for green technology innovation under market orientation and pandemics. Front. Public Health 2022, 9, 821172. [Google Scholar] [CrossRef]
- Li, M.; Gao, X. Implementation of enterprises’ green technology innovation under market-based environmental regulation: An evolutionary game approach. J. Environ. Manag. 2022, 308, 114570. [Google Scholar] [CrossRef]
- Farazi, M.S.; Gopalakrishnan, S.; Perez-Luno, A. Vertical technology alliances: The impact of technological depth and breadth on alliance governance structure. In Proceedings of the Portland International Conference on Management of Engineering & Technology, Honolulu, HI, USA, 4–8 September 2016; p. 945956. [Google Scholar] [CrossRef]
- Morreale, A.; Robba, S.; Nigro, G.L.; Roma, P. A real options game of alliance timing decisions in biopharmaceutical research and development. Eur. J. Oper. Res. 2017, 261, 1189–1202. [Google Scholar] [CrossRef]
- Perkmann, M.; Neely, A.; Walsh, K. How should firms evaluate success in university–industry alliances? A performance measurement system. RD Manag. 2011, 41, 202–216. [Google Scholar] [CrossRef]
- Zhang, L.; Xue, L.; Zhou, Y. How do low-carbon policies promote green diffusion among alliance-based firms in China? An evolutionary-game model of complex networks. J. Clean. Prod. 2019, 210, 518–529. [Google Scholar] [CrossRef]
- Zhang, G.; Zhang, M. The stability of industry-university-research innovation alliance based on evolutionary game. Oper. Res. Manag. Sci. 2020, 29, 67–73. (In Chinese) [Google Scholar]
- Zhang, J.; Geng, H.; Xu, G.; Chen, J. Research on the influence of environmental regulation on green technology innovation. China Popul. Resour. Environ. 2019, 29, 168–176. (In Chinese) [Google Scholar]
- Etzkowitz, H.; Leydesdorff, L. The triple helix–university-industry-government relations: A laboratory for knowledge based economic development. EASSTR Eview 1995, 14, 14–19. [Google Scholar]
- Etzkowitz, H.; Leydesdorff, L. The dynamics of innovation: From national systems and “mode 2” to a triple helix of university–industry–government relations. Res. Policy 2000, 29, 109–123. [Google Scholar] [CrossRef]
- Senker, J. Rationale for partnerships: Building national innovation system. STI Rev. 1998, 23, 23–38. [Google Scholar]
- Chen, W.; Hu, Z.-H. Using evolutionary game theory to study governments and manufacturers’ behavioral strategies under various carbon taxes and subsidies. J. Clean. Prod. 2018, 201, 123–141. [Google Scholar] [CrossRef]
- Jiang, Z.; Xu, C.; Zhou, J. Government environmental protection subsidies, environmental tax collection, and green innovation: Evidence from listed enterprises in China. Environ. Sci. Pollut. Res. 2022, 30, 4627–4641. [Google Scholar] [CrossRef]
- Song, Z.; He, S.; Wang, Y.; An, J. Green pharmaceutical supply chain coordination considering green investment, green logistics, and government intervention. Environ. Sci. Pollut. Res. 2022, 29, 63321–63343. [Google Scholar] [CrossRef]
- Wu, G.; Xu, Q.; Niu, X.; Tao, L. How Does government policy improve green technology innovation: An empirical study in China. Front. Environ. Sci. 2022, 9, 799794. [Google Scholar] [CrossRef]
- Sotarauta, M.; Suvinen, N. Place leadership and the challenge of transformation: Policy platforms and innovation ecosystems in promotion of green growth. Eur. Plan. Stud. 2019, 27, 1748–1767. [Google Scholar] [CrossRef]
- Chen, Y.; Li, L. Differential game model of carbon emission reduction decisions with two types of government contracts: Green funding and green technology. J. Clean. Prod. 2023, 389, 135847. [Google Scholar] [CrossRef]
- Besley, T.; Prat, A. Handcuffs for the grabbing hand? Media capture and government accountability. Am. Econ. Rev. 2006, 96, 720–736. [Google Scholar] [CrossRef]
- Li, P.G.; Shen, Y.F. The corporate governance role of media: Empirical evidence from China. Econ. Res. J. 2010, 45, 14–27. (In Chinese) [Google Scholar]
- Chen, Z.; Jin, J.; Li, M. Does media coverage influence firm green innovation? The moderating role of regional environment. Technol. Soc. 2022, 70, 102006. [Google Scholar] [CrossRef]
- Zhang, Y.; Yi, X.; Qiu, H.; Chen, J. An evolutionary game analysis of contractor’s green construction behavior with government supervision and WeMedia’s influence. Math. Probl. Eng. 2022, 2022, 6722223. [Google Scholar] [CrossRef]
- Han, R.; Xu, J.; Pan, D. How Media exposure, media trust, and media bias perception influence public evaluation of COVID-19 pandemic in international metropolises. Int. J. Environ. Res. Public Health 2022, 19, 3942. [Google Scholar] [CrossRef]
- Zhou, Y.; Li, Y.-Q.; Ruan, W.-Q.; Zhang, S.-N. Owned media or earned media? The influence of social media types on impulse buying intention in internet celebrity restaurants. Int. J. Hosp. Manag. 2023, 111, 103487. [Google Scholar] [CrossRef]
- Oliver, A.G.; Campbell, R.; Graffin, S.; Bundy, J. Media coverage of earnings announcements: How newsworthiness shapes media volume and tone. J. Manag. 2023, 49, 1213–1245. [Google Scholar] [CrossRef]
- Kafouros, M.; Wang, C.; Piperopoulos, P.; Zhang, M. Academic collaborations and firm innovation performance in China: The role of region-specific institutions. Res. Policy 2015, 44, 803–817. [Google Scholar] [CrossRef]
- Wang, Y.; Yuan, C.; Zhang, S.; Wang, R. Moderation in all things: Industry-university-research alliance portfolio configuration and SMEs’ innovation performance in China. J. Small Bus. Manag. 2021, 60, 1516–1544. [Google Scholar] [CrossRef]
- Cui, Z.; Li, E. Does industry-university-research cooperation matter? An analysis of its coupling effect on regional innovation and economic development. Chin. Geogr. Sci. 2022, 32, 915–930. [Google Scholar] [CrossRef]
- Wang, X.H.; Hu, S.L. Does university-industry collaboration improve the technological innovation performance of manufacturing firms? An empirical study based on propensity score matching method. J. Technol. Econ. 2022, 32, 30–43. [Google Scholar]
- Lu, B.; Zhu, L. Public health events emergency management supervision strategy considering citizens’ and new media’s different ways of participation. Soft Comput. 2022, 26, 11749–11769. [Google Scholar] [CrossRef] [PubMed]
- Lv, W.-Q.; Wang, Y.-J.; Su, C.-H.; Chen, M.-H.; Kot, H.W. A comprehensive analysis of package tour quality: A stochastic evolutionary game. Tour. Manag. 2022, 91, 104478. [Google Scholar] [CrossRef]
- Bai, S.; Liu, Z.; Lv, Y. Evolutionary game analysis of consumer complaint handling in E-commerce. Discret. Dyn. Nat. Soc. 2022, 2022, 3792080. [Google Scholar] [CrossRef]
- Xu, Y.; Hu, B.; Qian, R. Analysis on stability of strategic alliances based on stochastic evolutionary game including simulations. Syst. Eng.-Theory Pract. 2011, 31, 920–926. (In Chinese) [Google Scholar]
- Baker, C.T.; Buckwar, E. Exponential stability in p-th mean of solutions, and of convergent euler-type solutions, of stochastic delay differential equations. SIAM Rev. 2001, 43, 525–546. [Google Scholar] [CrossRef]
- Fudenberg, D. Game Theory; MIT Press: Cambridge, MA, USA, 1991. [Google Scholar]
- Gibbons, R. Game Theory for Applied Economists; Princeton University Press: Princeton, NJ, USA, 1992. [Google Scholar]
- Yang, H.; Mo, J. Research on the bidding behavior of generation-side enterprises based on stochastic evolutionary games. IEEE Trans. Power Syst. 2022, 37, 3693–3703. [Google Scholar] [CrossRef]
- Zhu, Q.; Zheng, K.; Wei, Y. Three-party stochastic evolutionary game analysis of reward and punishment mechanism for green credit. Discret. Dyn. Nat. Soc. 2021, 2021, 5596015. [Google Scholar] [CrossRef]
- Ma, Y.; Wan, Z.; Jin, C. Evolutionary Game Analysis of Green Production Supervision Considering Limited Resources of the Enterprise. Pol. J. Environ. Stud. 2021, 30, 1715–1724. [Google Scholar] [CrossRef]
- Chen, H.; Yang, Z.; Qi, K. Study on the Stability of Green Technology Innovation Alliance among Government, Industry, University and Research under the Situation of Multi-party Game. Oper. Res. Manag. 2021, 30, 108–114. [Google Scholar]
- Li, W.; Li, N. Random Evolutionary Game of Multi-subject Collaborative Innovation in Green Intelligent Manufacturing Ecosystem. Oper. Res. Manag. 2023, 32, 111–118. [Google Scholar]
- Li, J.; Ren, H.; Zhen, J. Research on multiple regulatory paths of enterprise R&D manipulation based on stochastic evolutionary game. Chin. Manag. Sci. 2021, 29, 191–201. [Google Scholar] [CrossRef]
- Higham, D.J. An algorithmic introduction to numerical simulation of stochastic differential equations. SIAM Rev. 2001, 43, 525–546. [Google Scholar] [CrossRef]
- Geng, Y.; Chen, J.; Liu, T.; Tao, D. Public environmental attention, media coverage, and corporate green innovation: Evidence from heavily polluting industries in China. Environ. Sci. Pollut. Res. 2023, 30, 86911–86926. [Google Scholar] [CrossRef] [PubMed]
- Abbas, H.; Zhao, L.; Gong, X.; Jiang, M.; Faiz, N. Environmental effects on perishable product quality and trading under OBOR supply chain different route scenarios. Environ. Sci. Pollut. Res. 2022, 29, 68016–68034. [Google Scholar] [CrossRef]
- Abbas, H.; Zhao, L.; Gong, X.; Jiang, M.; Faiz, T. Environmental and economic influences of postharvest losses across the fish-food products supply chain in the developing regions. Environ. Dev. Sustain. 2023, 26, 28335–28366. [Google Scholar] [CrossRef]
- Singh, A.; Srivastava, Y. Cutting-Edge Developments in the Field of Green Innovation and Diffusion of Green Technology. In Patent Law, Green Technology and Innovation; Routledge: London, UK, 2022. [Google Scholar] [CrossRef]
- Shi, P.; Yin, L.; Wu, C. Voting by mouth: Media attention and environmental governance. Environ. Sci. Pollut. Res. 2023, 30, 103996–104014. [Google Scholar] [CrossRef]
- Pan, F.; Diao, Z.; Wang, L. The impact analysis of media attention on local environmental governance based on four-party evolutionary game. Ecol. Model. 2023, 478, 110293. [Google Scholar] [CrossRef]
- Hotte, K. How to Accelerate Green Technology Diffusion? Directed Technological Change in the Presence of Coevolving Absorptive Capacity; Sorbonne Pantheon, Bielefeld University: Paris, France, 2019; pp. 61–65. [Google Scholar] [CrossRef]






| Strategy Selection | Academia and Research Parties | ||||
|---|---|---|---|---|---|
| Actively Research and Develop (z) | Betray in the Middle (1 − z) | ||||
| Government | Supervise () | Companies | Cooperate () | ||
| Midway betray () | |||||
| not Supervise (1) | Companies | Cooperate () | |||
| Midway betray () | |||||
| Parameter | Meanings | Parameter | Meanings |
|---|---|---|---|
| The government’s regulation cost | The benefit gained by the enterprise before it chooses not to cooperate | ||
| The enterprises’ initial investment cost | The income of the UR before deciding not to cooperate | ||
| The URs initial investment cost | The benefits that enterprises gain from the value of the technologies learned during the cooperation period. | ||
| The enterprises’ subsequent cost of remaining in the partnership | The value of income or financial support of the semi-finished products acquired during the cooperation time of the UR | ||
| The URs subsequent cost of continuing to participate in the collaboration | Compensation given by the subject who betrays the betrayed subject. | ||
| The benefits to the government of choosing to regulate | The value-benefit ratio of harvest that the subject that chooses to cooperate receives from the subject that midway betrayal | ||
| The benefits to the government of choosing not to regulate | The total green innovation value added by the enterprise and the UR, choosing to continue the collaboration | ||
| The government incentives to enterprises | The percentage of value-added green innovation by enterprises | ||
| The government incentives to the UR | The percentage of value-added green innovation by UR | ||
| The government incentives for enterprises to choose to cooperate | The monitoring capacity of the media | ||
| The government incentives for the UR to choose to cooperate | The reputational benefits of government choosing to regulate | ||
| The proportion of the initial cost of continuing to cooperate that the enterprise chooses to betray | The reputational benefits of enterprises choosing to cooperate | ||
| The proportion of the initial cost of continuing active R&D that the UR chooses to midway betray | The reputation benefits of active research and development by the UR | ||
| The greenness of the products produced in collaboration |
Disclaimer/Publisher’s Note: The statements, opinions and data contained in all publications are solely those of the individual author(s) and contributor(s) and not of MDPI and/or the editor(s). MDPI and/or the editor(s) disclaim responsibility for any injury to people or property resulting from any ideas, methods, instructions or products referred to in the content. |
© 2025 by the authors. Licensee MDPI, Basel, Switzerland. This article is an open access article distributed under the terms and conditions of the Creative Commons Attribution (CC BY) license (https://creativecommons.org/licenses/by/4.0/).
Share and Cite
Zhong, Q.; Cui, H.; Yang, M.; Cheng, L.; Fang, L.; Sun, Q. Research on the Random Evolutionary Game of the Green Technology Innovation Alliance for Media Monitoring. Sustainability 2025, 17, 3986. https://doi.org/10.3390/su17093986
Zhong Q, Cui H, Yang M, Cheng L, Fang L, Sun Q. Research on the Random Evolutionary Game of the Green Technology Innovation Alliance for Media Monitoring. Sustainability. 2025; 17(9):3986. https://doi.org/10.3390/su17093986
Chicago/Turabian StyleZhong, Qing, Haiyang Cui, Mei Yang, Ling Cheng, Liuhua Fang, and Qianhui Sun. 2025. "Research on the Random Evolutionary Game of the Green Technology Innovation Alliance for Media Monitoring" Sustainability 17, no. 9: 3986. https://doi.org/10.3390/su17093986
APA StyleZhong, Q., Cui, H., Yang, M., Cheng, L., Fang, L., & Sun, Q. (2025). Research on the Random Evolutionary Game of the Green Technology Innovation Alliance for Media Monitoring. Sustainability, 17(9), 3986. https://doi.org/10.3390/su17093986

