Modeling the Spatial Distribution of Swordfish (Xiphias gladius) Using Fishery and Remote Sensing Data: Approach and Resolution
Abstract
1. Introduction
2. Materials and Methods
2.1. Fishery Data
2.2. Environmental Data
- (1)
- SSH, SSS, SST, and MLD data for 2009–2017 were obtained from the HYCOM (Naval Research Laboratory at Stennis Space Center; http://www.hycom.org/) [15,16].
- (2)
- Daily CHL data for 2009–2017 at the spatial resolution of 9 km were obtained from the MODIS-Aqua (NASA Goddard Space Flight Center; http://oceancolor.gsfc.nasa.gov/).
- (3)
- Daily lunar phase data for 2009–2017 were obtained from the US Navy’s Fraction of the Moon Illuminated data set (http://aa.usno.navy.mil/data/docs/MoonFraction.php). Values between 0 (new moon) and 1 (full moon) were used to represent the lunar effect in this study.
2.3. Modeling Approaches for Spatial Distribution
+ s(Latitude) + s(Longitude) + s(Interaction) + Month/Week
2.4. Model Validation and Accuracy Assessment
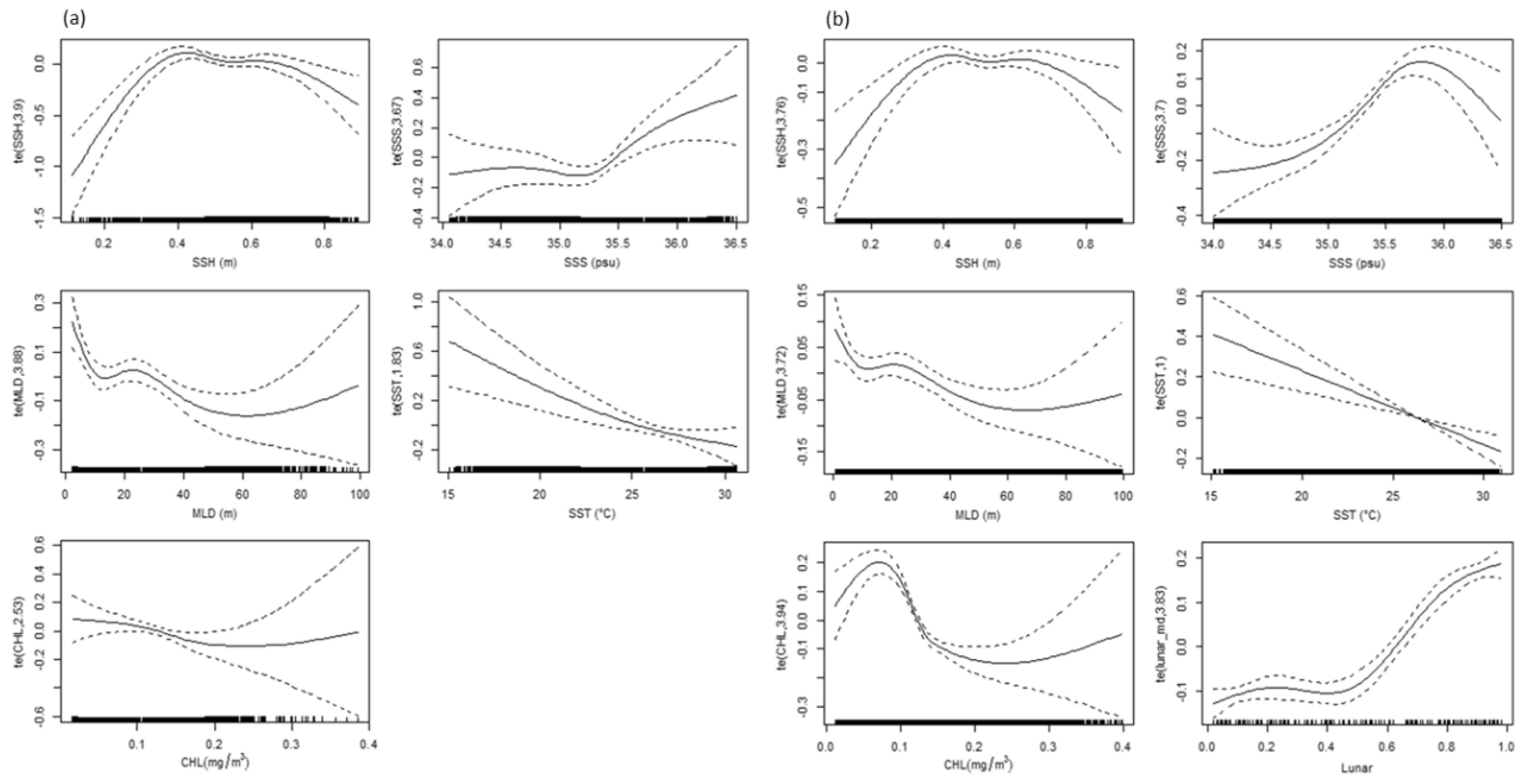
3. Results
4. Discussion
5. Conclusions
Author Contributions
Funding
Acknowledgments
Conflicts of Interest
References
- Ichinokawa, M.; Brodziak, J. Using adaptive area stratification to standardize catch rates with application to North Pacific swordfish (Xiphias gladius). Fish. Res. 2010, 106, 249–260. [Google Scholar] [CrossRef]
- Nakamura, I. Billfishes of the world. In An Annotated and Illustrated Catalogue of Marlins, Sailfishes, Spearfishes and Swordfishes Known to Date; FAO Species Catalogue; FAO: Rome, Italy, 1985; Volume 5, ISBN 92-5-102232-1. [Google Scholar]
- Carey, F.G.; Robinson, B.H. Daily patterns in the activities of swordfish, Xiphias gladius, observed by acoustic telemetry. Fish. Bull. 1981, 79, 277–292. [Google Scholar]
- ISC. Report of the Billfish Working Group Workshop; Billfish Working Group, International Scientific Committee for Tuna and Tuna-like Species in the North Pacific Ocean: Keelung, Taiwan, 2017. [Google Scholar]
- Bigelow, K.A.; Boggs, C.H.; He, X. Environmental effects on swordfish and blue shark catch rates in the US North Pacific longline fishery. Fish. Oceanogr. 1999, 8, 178–198. [Google Scholar] [CrossRef]
- Seki, M.P.; Polovina, J.J.; Kobayashi, D.R.; Bidigare, R.R.; Mitchum, G.T. An oceanographic characterization of swordfish (Xiphias gladius) longline fishing grounds in the springtime subtropical North Pacific. Fish. Oceanogr. 2002, 11, 251–266. [Google Scholar] [CrossRef]
- Rooker, J.R.; Simms, J.R.; Wells, R.D.; Holt, S.A.; Holt, G.J.; Graves, J.E.; Furey, N.B. Distribution and habitat associations of billfish and swordfish larvae across mesoscale features in the Gulf of Mexico. PLoS ONE 2012, 7, e34180. [Google Scholar] [CrossRef]
- Hsu, A.C.; Boustany, A.M.; Roberts, J.J.; Chang, J.H.; Halpin, P.N. Tuna and swordfish catch in the US northwest Atlantic longline fishery in relation to mesoscale eddies. Fish. Oceanogr. 2015, 24, 508–520. [Google Scholar] [CrossRef]
- Tserpes, G.; Peristeraki, P.; Valavanis, V.D. Distribution of swordfish in the eastern Mediterranean, in relation to environmental factors and the species biology. Hydrobiologia 2008, 612, 241–250. [Google Scholar] [CrossRef]
- Su, N.J.; Sun, C.L.; Punt, A.E.; Yeh, S.Z.; DiNardo, G. Environmental influences on seasonal movement patterns and regional fidelity of striped marlin Kajikia audax in the Pacific Ocean. Fish. Res. 2015, 166, 59–66. [Google Scholar] [CrossRef]
- Chang, Y.J.; Sun, C.L.; Chen, Y.; Yeh, S.Z.; DiNardo, G.; Su, N.J. Modelling the impacts of environmental variation on the habitat suitability of swordfish, Xiphias gladius, in the equatorial Atlantic Ocean. ICES J. Mar. Sci. 2013, 70, 1000–1012. [Google Scholar] [CrossRef]
- Lan, K.W.; Lee, M.A.; Wang, S.P.; Chen, Z.Y. Environmental variations on swordfish (Xiphias gladius) catch rates in the Indian Ocean. Fish. Res. 2015, 166, 67–79. [Google Scholar] [CrossRef]
- Domisch, S.; Jähnig, S.C.; Simaika, J.P.; Kuemmerlen, M.; Stoll, S. Application of species distribution models in stream ecosystems: The challenges of spatial and temporal scale, environmental predictors and species occurrence data. Fundam. Appl. Limnol. 2015, 186, 45–61. [Google Scholar] [CrossRef]
- Kärcher, O.; Frank, K.; Walz, A.; Markovic, D. Scale effects on the performance of niche-based models of freshwater fish distributions. Ecol. Model. 2019, 405, 33–42. [Google Scholar] [CrossRef]
- Bleck, R. An oceanic general circulation model framed in hybrid isopycnic-Cartesian coordinates. Ocean Modell. 2002, 4, 55–88. [Google Scholar] [CrossRef]
- Halliwell, G.R. Evaluation of vertical coordinate and vertical mixing algorithms in the HYbrid- Coordinate Ocean Model (HYCOM). Ocean Modell. 2004, 7, 285–322. [Google Scholar] [CrossRef]
- Hastie, T.J.; Tibshirani, R.J. Generalized Additive Models; Chapman and Hall: London, UK, 1990; ISBN 978-0412343902. [Google Scholar]
- Guisan, A.; Edwards, T.C.; Hastie, T. Generalized linear and generalized additive models in studies of species distributions: Setting the scene. Ecol. Modell. 2002, 157, 89–100. [Google Scholar] [CrossRef]
- Howell, E.A.; Kobayashi, D.R. El Niño effects in the Palmyra Atoll region: Oceanographic changes and bigeye tuna (Thunnus obesus) catch rate variability. Fish. Oceanogr. 2006, 15, 477–489. [Google Scholar] [CrossRef]
- Hess, G.R.; Bay, J.M. A regional assessment of windbreak habitat suitability. Environ. Monit. Assess. 2000, 61, 237–254. [Google Scholar] [CrossRef]
- Lauver, C.L.; Busby, W.H. Testing a GIS model of habitat suitability for adeclining grassland bird. Environ. Manag. 2002, 30, 88–97. [Google Scholar] [CrossRef]
- Thorson, J.T.; Adams, G.; Holsman, K. Spatio-temporal models of intermediate complexity for ecosystem assessments: A new tool for spatial fisheries management. Fish Fish. 2019, 20, 1083–1099. [Google Scholar] [CrossRef]
- Bellamy, C.; Scott, C.; Altringham, J. Multiscale, presence-only habitat suitability models: Fine-resolution maps for eight bat species. J. Appl. Ecol. 2013, 50, 892–901. [Google Scholar] [CrossRef]
- Fletcher, R.J., Jr.; Hefley, T.J.; Robertson, E.P.; Zuckerberg, B.; McCleery, R.A.; Dorazio, R.M. A practical guide for combining data to model species distributions. Ecology 2019, 100, e02710. [Google Scholar] [CrossRef] [PubMed]
- Polovina, J.J.; Howell, E.; Kobayashi, D.R.; Seki, M.P. The Transition Zone chlorophyll front, a dynamic global feature defining migration and forage habitat for marine resources. Prog. Oceanogr. 2001, 49, 469–483. [Google Scholar] [CrossRef]
- Tseng, C.T.; Su, N.J.; Sun, C.L.; Punt, A.E.; Yeh, S.Z.; Liu, D.C.; Su, W.C. Spatial and temporal variability of the Pacific saury (Cololabis saira) distribution in the northwestern Pacific Ocean. ICES J. Mar. Sci. 2013, 70, 991–999. [Google Scholar] [CrossRef]
- Dabuleviciene, T.; Kozlov, I.E.; Vaiciute, D.; Dailidiene, I. Remote sensing of coastal upwelling in the south-eastern Baltic sea: Statistical properties and implications for the coastal environment. Remote Sens. 2018, 10, 1752. [Google Scholar] [CrossRef]
- Sakagawa, G.T. Trends in fisheries for swordfish in the Pacific Ocean. In Planning the Future of Billfishes: Research and Management in the 90s and Beyond; Stroud, R.H., Ed.; National Coalition for Marine Conservation: Savannah, GA, USA, 1989; pp. 61–79. [Google Scholar]
- Dewar, H.; Prince, E.D.; Musyl, M.K.; Brill, R.W.; Sepulveda, C.; Luo, J.; Snodgrass, D. Movements and behaviors of swordfish in the Atlantic and Pacific Oceans examined using pop-up satellite archival tags. Fish. Oceanogr. 2011, 20, 219–241. [Google Scholar] [CrossRef]
- Evcin, O.; Kucuk, O.; Akturk, E. Habitat suitability model with maximum entropy approach for European roe deer (Capreolus capreolus) in the Black Sea Region. Environ. Monit. Assess. 2019, 191, 669. [Google Scholar] [CrossRef] [PubMed]
- Redding, D.W.; Lucas, T.; Blackburn, T.; Jones, K.E. Evaluating Bayesian spatial methods for modelling species distributions with clumped and restricted occurrence data. PLoS ONE 2017, 12, e0187602. [Google Scholar] [CrossRef]
- Iyer, S.G.; Banerjee, A.K.; Bhowmick, A.R. Making choices that matter—Use of statistical regularization in species distribution modelling for identification of climatic indicators—A case study with Mikania micrantha Kunth in India. Eco. Indic. 2019, 98, 92–103. [Google Scholar] [CrossRef]









| Residual Deviance | Deviance Explained | P(χ2) | R2 | AIC | |
|---|---|---|---|---|---|
| (a) Monthly 5° × 5° Grid | |||||
| NULL | 6940 | 17,435 | |||
| +SSH | 6605 | 334 | <0.001 | 0.048 | 17,163 |
| +SSS | 6289 | 316 | <0.001 | 0.094 | 16,884 |
| +CHL | 5786 | 503 | <0.001 | 0.166 | 16,415 |
| +SST | 5049 | 737 | <0.001 | 0.272 | 15,631 |
| +MLD | 4996 | 53 | <0.001 | 0.280 | 15,580 |
| +Latitude | 4827 | 169 | <0.001 | 0.304 | 15,392 |
| +Longitude | 4797 | 30 | <0.001 | 0.309 | 15,362 |
| +Interaction | 4510 | 286 | <0.001 | 0.350 | 15,029 |
| +Month | 4472 | 39 | <0.001 | 0.356 | 14,986 |
| (b) Weekly 1° × 1° Grid | |||||
| NULL | 50,819 | 103,128 | |||
| +Lunar | 50,294 | 524 | <0.001 | 0.010 | 102,815 |
| +SSH | 48,371 | 1923 | <0.001 | 0.048 | 101,618 |
| +SSS | 46,674 | 1698 | <0.001 | 0.082 | 100,520 |
| +CHL | 45,242 | 1432 | <0.001 | 0.110 | 99,564 |
| +SST | 41,723 | 3519 | <0.001 | 0.179 | 97,068 |
| +MLD | 41,505 | 218 | <0.001 | 0.183 | 96,914 |
| +Latitude | 40,353 | 1152 | <0.001 | 0.206 | 96,051 |
| +Longitude | 40,020 | 333 | <0.001 | 0.212 | 95,801 |
| +Interaction | 38,026 | 1994 | <0.001 | 0.252 | 94,247 |
| +Week | 37,757 | 269 | <0.001 | 0.257 | 94,040 |
| Variable | Slope | Intercept | R2 | |
|---|---|---|---|---|
| (a) Monthly 5° × 5° Grid | ||||
| AMM | +SST | 0.492 | 0.126 | 0.869 |
| +CHL | 0.670 | −0.015 | 0.859 | |
| +SSH | 0.730 | −0.084 | 0.815 | |
| +SSS | 0.872 | −0.146 | 0.829 | |
| +MLD | 1.306 | −0.312 | 0.918 | |
| GMM | +SST | 0.492 | 0.126 | 0.869 |
| +CHL | 0.657 | 0.018 | 0.902 | |
| +SSH | 0.667 | −0.007 | 0.881 | |
| +SSS | 0.740 | −0.016 | 0.926 | |
| +MLD | 1.019 | −0.039 | 0.944 | |
| (b) Weekly 1° × 1° Grid | ||||
| AMM | +Lunar | 0.228 | 0.420 | 0.510 |
| +CHL | 0.636 | 0.190 | 0.980 | |
| +SST | 0.859 | 0.017 | 0.886 | |
| +SSH | 1.012 | −0.093 | 0.918 | |
| +SSS | 1.040 | −0.109 | 0.835 | |
| +MLD | 1.120 | −0.108 | 0.841 | |
| GMM | +Lunar | 0.228 | 0.420 | 0.510 |
| +CHL | 0.447 | 0.328 | 0.832 | |
| +SST | 0.542 | 0.275 | 0.698 | |
| +SSH | 0.687 | 0.193 | 0.837 | |
| +SSS | 0.823 | 0.129 | 0.957 | |
| +MLD | 0.930 | 0.122 | 0.945 | |
© 2020 by the authors. Licensee MDPI, Basel, Switzerland. This article is an open access article distributed under the terms and conditions of the Creative Commons Attribution (CC BY) license (http://creativecommons.org/licenses/by/4.0/).
Share and Cite
Su, N.-J.; Chang, C.-H.; Hu, Y.-T.; Chiang, W.-C.; Tseng, C.-T. Modeling the Spatial Distribution of Swordfish (Xiphias gladius) Using Fishery and Remote Sensing Data: Approach and Resolution. Remote Sens. 2020, 12, 947. https://doi.org/10.3390/rs12060947
Su N-J, Chang C-H, Hu Y-T, Chiang W-C, Tseng C-T. Modeling the Spatial Distribution of Swordfish (Xiphias gladius) Using Fishery and Remote Sensing Data: Approach and Resolution. Remote Sensing. 2020; 12(6):947. https://doi.org/10.3390/rs12060947
Chicago/Turabian StyleSu, Nan-Jay, Chia-Hao Chang, Ya-Ting Hu, Wei-Chuan Chiang, and Chen-Te Tseng. 2020. "Modeling the Spatial Distribution of Swordfish (Xiphias gladius) Using Fishery and Remote Sensing Data: Approach and Resolution" Remote Sensing 12, no. 6: 947. https://doi.org/10.3390/rs12060947
APA StyleSu, N.-J., Chang, C.-H., Hu, Y.-T., Chiang, W.-C., & Tseng, C.-T. (2020). Modeling the Spatial Distribution of Swordfish (Xiphias gladius) Using Fishery and Remote Sensing Data: Approach and Resolution. Remote Sensing, 12(6), 947. https://doi.org/10.3390/rs12060947

