Z-Transform-Based FDTD Implementations of Biaxial Anisotropy for Radar Target Scattering Problems
Abstract
1. Introduction
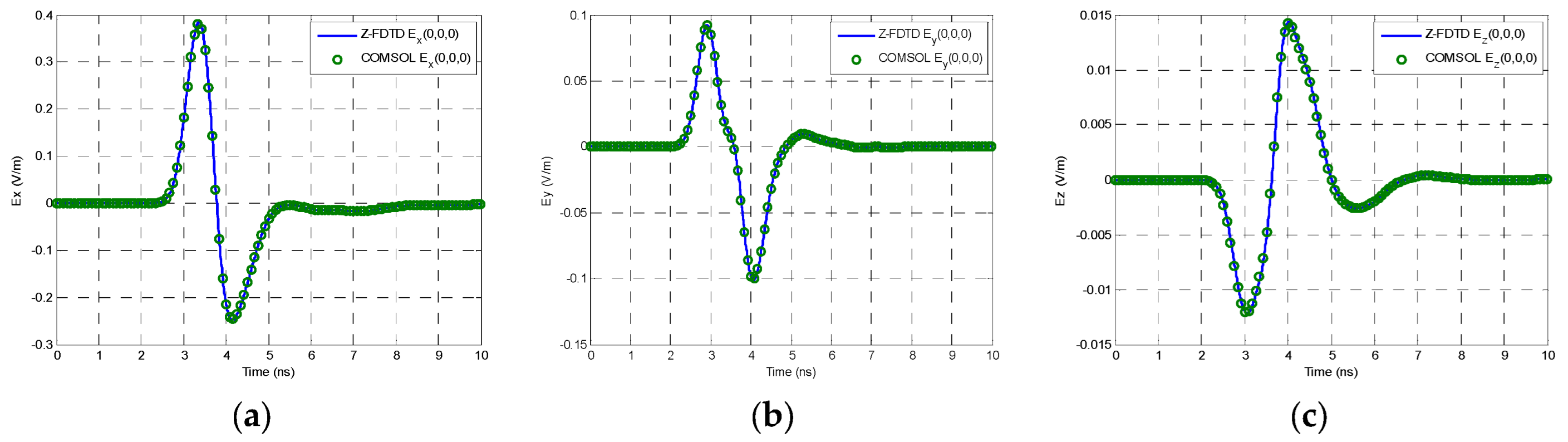
- (a)
- Based on the Z-transform technique, the general FDTD formulations can be derived in the biaxial anisotropy with those tensors, including permittivity ε, permeability μ, conductivity σe and magnetic loss σm;
- (b)
- To truncate the Z-FDTD method effectively and reliably, we choose complex-frequency-shifted PML (CFS-PML) surrounding the finite computation region and then excite an electric dipole with the time-domain pulse to strike the boundary, and obtain the frequency-domain profile in different sections by means of Fourier transform;
- (c)
- With our Z-FDTD proposal, near- and far-field results can be successfully captured under the circumstance of the complex biaxial anisotropy in electromagnetic scattering, and then we carry out those numerical validates as compared with the commercial software COMSOL.
2. Z-FDTD Formula in Biaxial Anisotropy
2.1. Relation between Time- or Frequency-Domain Derivative Operator and Z-Domain Operator
2.2. Biaxial Anisotropy by Z-Transform Iteration
2.3. Specific Processes of Z-FDTD Iteration
3. Z-FDTD’s CFS-PML for Dipole Radiation
3.1. CFS-PML-Based Formulations in Z-FDTD Method
3.2. Dipole Radiation in 3D Z-FDTD Method
4. Numerical Examples for Electromagnetic Scattering
4.1. Single Brick with Biaxial Anisotropy
4.2. Multi-Layered Sphere with Different Biaxial Anisotropies
5. Conclusions
Author Contributions
Funding
Data Availability Statement
Conflicts of Interest
References
- Taflove, A.; Hagness, S.C. Computational Electrodynamics: The Finite-Difference Time-Domain Method; Artech House: Boston, MA, USA; London, UK, 1998. [Google Scholar]
- Elsherbeni, A.Z.; Demir, V. The Finite-Difference Time-Domain Method for Electromagnetics with MATLAB Simulations; Scitech Publishing: Raleigh, NC, USA, 2015. [Google Scholar]
- Sullivan, D.M. Frequency-dependent FDTD methods using Z transforms. IEEE Trans. Antennas Propagat. 1992, 40, 1223–1230. [Google Scholar] [CrossRef]
- Sullivan, D.M. Nonlinear FDTD formulations using Z transforms. IEEE Trans. Micro. Theory Tech. 1995, 43, 676–682. [Google Scholar] [CrossRef]
- Sullivan, D.M. Z-transform theory and the FDTD method. IEEE Trans. Antennas Propagat. 1996, 44, 28–34. [Google Scholar] [CrossRef]
- Weedon, W.H.; Rappaport, C.M. A general method for FDTD modeling of wave propagation in arbitrary frequency-dispersive media. IEEE Trans. Antennas Propagat. 1997, 45, 401–410. [Google Scholar] [CrossRef]
- Pereda, J.A.; Vegas, A.; Prieto, A. FDTD modeling of wave propagation in dispersive media by using the Mobius transformation technique. IEEE Trans. Micro. Theory Tech. 2002, 50, 1689–1695. [Google Scholar] [CrossRef]
- Yan, M.; Shao, K.R.; Hu, X.W.; Guo, Y.; Zhu, J.; Lavers, J.D. Z-transform-based FDTD analysis of perfectly conducting cylinder covered with unmagnetized plasma. IEEE Trans. Magnet. 2007, 43, 2968–2970. [Google Scholar] [CrossRef][Green Version]
- Demir, V.; Elsherbeni, A.Z.; Arvas, E. FDTD formulation for dispersive chiral media using the Z transform method. IEEE Trans. Antennas Propagat. 2005, 53, 3374–3384. [Google Scholar] [CrossRef]
- Nadobny, J.; Sullivan, D.; Wust, P. A general three-dimensional tensor FDTD-formulation for electrically inhomogeneous lossy media using the Z-transform. IEEE Trans. Antennas Propagat. 2008, 56, 1027–1040. [Google Scholar] [CrossRef]
- Nayyeri, V.; Soleimani, M.; Mohassel, J.R.; Dehmollaian, M. FDTD modeling of dispersive bianisotropic media using Z-transform method. IEEE Trans. Antennas Propagat. 2011, 59, 2268–2279. [Google Scholar] [CrossRef]
- Kastner, R. A multidimensional Z-transform evaluation of the discrete finite difference time domain Green’s function. IEEE Trans. Antennas Propagat. 2006, 54, 1215–1222. [Google Scholar] [CrossRef]
- Jeng, S.K. An analytical expression for 3-D dyadic FDTD-compatible Green’s function in infinite free space via Z-transform and partial difference operators. IEEE Trans. Antennas Propagat. 2011, 59, 1347–1355. [Google Scholar] [CrossRef]
- Abdijalilov, K.; Grebel, H. Z-transform theory and FDTD stability. IEEE Trans. Antennas Propagat. 2004, 52, 2950–2954. [Google Scholar] [CrossRef]
- Lin, Z.; Thylen, L. On the accuracy and stability of several widely used FDTD approaches for modeling Lorentz dielectrics. IEEE Trans. Antennas Propagat. 2009, 57, 3378–3381. [Google Scholar] [CrossRef]
- Heh, D.Y.; Tan, E.L. Corrected impulse invariance method in Z-transform theory for frequency-dependent FDTD methods. IEEE Trans. Antennas Propagat. 2009, 57, 2683–2690. [Google Scholar] [CrossRef]
- Penney, C.W.; Luebbers, R.J.; Schuster, J.W. Scattering from coated targets using a frequency-dependent, surface impedance boundary condition in FDTD. IEEE Trans. Antennas Propagat. 1996, 44, 434–443. [Google Scholar] [CrossRef]
- Feng, N.; Yue, Y.; Liu, Q.H. Direct Z-transform implementation of the CFS-PML based on memory-minimized method. IEEE Trans. Micro. Theory Tech. 2015, 63, 877–882. [Google Scholar] [CrossRef]
- Feng, N.; Wang, J.; Zhu, J.; Liang, Z.; Wang, G.P.; Joines, W.T. Switchable truncations between the 1st- and 2nd-order DZT-CFS-UPMLs for relevant FDTD problems. IEEE Trans. Antennas Propagat. 2020, 68, 360–365. [Google Scholar] [CrossRef]
- Giannopoulos, A. Higher-order convolution PML (CPML) for FDTD electromagnetic modeling. IEEE Trans. Antennas Propagat. 2020, 68, 6226–6231. [Google Scholar] [CrossRef]
- Wang, Z.; Guo, L.; Li, J. Analysis of echo characteristics of spatially inhomogeneous and time-varying plasma sheath. IEEE Trans. Plasma Sci. 2021, 49, 1804–1811. [Google Scholar] [CrossRef]
- Han, X.; Xu, H.; Chang, Y.; Lin, M.; Wei, X. Investigation on the parameters distribution and electromagnetic scattering of radome inductively coupled plasma. IEEE Trans. Antennas Propagat. 2021, 69, 8711–8721. [Google Scholar] [CrossRef]









Publisher’s Note: MDPI stays neutral with regard to jurisdictional claims in published maps and institutional affiliations. |
© 2022 by the authors. Licensee MDPI, Basel, Switzerland. This article is an open access article distributed under the terms and conditions of the Creative Commons Attribution (CC BY) license (https://creativecommons.org/licenses/by/4.0/).
Share and Cite
Zhang, Y.; Feng, N.; Zhu, J.; Xie, G.; Yang, L.; Huang, Z. Z-Transform-Based FDTD Implementations of Biaxial Anisotropy for Radar Target Scattering Problems. Remote Sens. 2022, 14, 2397. https://doi.org/10.3390/rs14102397
Zhang Y, Feng N, Zhu J, Xie G, Yang L, Huang Z. Z-Transform-Based FDTD Implementations of Biaxial Anisotropy for Radar Target Scattering Problems. Remote Sensing. 2022; 14(10):2397. https://doi.org/10.3390/rs14102397
Chicago/Turabian StyleZhang, Yuxian, Naixing Feng, Jinfeng Zhu, Guoda Xie, Lixia Yang, and Zhixiang Huang. 2022. "Z-Transform-Based FDTD Implementations of Biaxial Anisotropy for Radar Target Scattering Problems" Remote Sensing 14, no. 10: 2397. https://doi.org/10.3390/rs14102397
APA StyleZhang, Y., Feng, N., Zhu, J., Xie, G., Yang, L., & Huang, Z. (2022). Z-Transform-Based FDTD Implementations of Biaxial Anisotropy for Radar Target Scattering Problems. Remote Sensing, 14(10), 2397. https://doi.org/10.3390/rs14102397
