Correction: Chen et al. High-Precision Stand Age Data Facilitate the Estimation of Rubber Plantation Biomass: A Case Study of Hainan Island, China. Remote Sens. 2020, 12, 3853
Error in Authorship
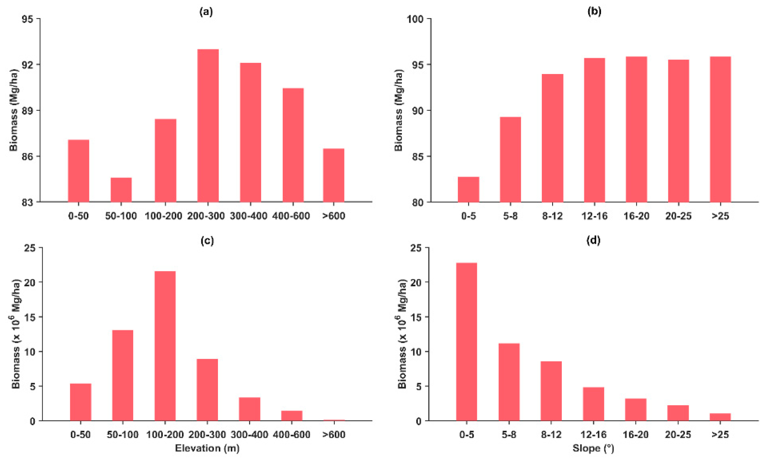
Error in Figure
Reference
- Chen, B.; Yun, T.; Ma, J.; Kou, W.; Li, H.; Yang, C.; Xiao, X.; Zhang, X.; Sun, R.; Xie, G.; et al. High-Precision Stand Age Data Facilitate the Estimation of Rubber Plantation Biomass: A Case Study of Hainan Island, China. Remote Sens. 2020, 12, 3853. [Google Scholar] [CrossRef]

Publisher’s Note: MDPI stays neutral with regard to jurisdictional claims in published maps and institutional affiliations. |
© 2022 by the authors. Licensee MDPI, Basel, Switzerland. This article is an open access article distributed under the terms and conditions of the Creative Commons Attribution (CC BY) license (https://creativecommons.org/licenses/by/4.0/).
Share and Cite
Chen, B.; Yun, T.; Ma, J.; Kou, W.; Li, H.; Yang, C.; Xiao, X.; Zhang, X.; Sun, R.; Xie, G.; et al. Correction: Chen et al. High-Precision Stand Age Data Facilitate the Estimation of Rubber Plantation Biomass: A Case Study of Hainan Island, China. Remote Sens. 2020, 12, 3853. Remote Sens. 2022, 14, 5044. https://doi.org/10.3390/rs14195044
Chen B, Yun T, Ma J, Kou W, Li H, Yang C, Xiao X, Zhang X, Sun R, Xie G, et al. Correction: Chen et al. High-Precision Stand Age Data Facilitate the Estimation of Rubber Plantation Biomass: A Case Study of Hainan Island, China. Remote Sens. 2020, 12, 3853. Remote Sensing. 2022; 14(19):5044. https://doi.org/10.3390/rs14195044
Chicago/Turabian StyleChen, Bangqian, Ting Yun, Jun Ma, Weili Kou, Hailiang Li, Chuan Yang, Xiangming Xiao, Xian Zhang, Rui Sun, Guishui Xie, and et al. 2022. "Correction: Chen et al. High-Precision Stand Age Data Facilitate the Estimation of Rubber Plantation Biomass: A Case Study of Hainan Island, China. Remote Sens. 2020, 12, 3853" Remote Sensing 14, no. 19: 5044. https://doi.org/10.3390/rs14195044
APA StyleChen, B., Yun, T., Ma, J., Kou, W., Li, H., Yang, C., Xiao, X., Zhang, X., Sun, R., Xie, G., & Wu, Z. (2022). Correction: Chen et al. High-Precision Stand Age Data Facilitate the Estimation of Rubber Plantation Biomass: A Case Study of Hainan Island, China. Remote Sens. 2020, 12, 3853. Remote Sensing, 14(19), 5044. https://doi.org/10.3390/rs14195044

