Characteristics of Summer Hailstorms Observed by Radar and Himawari-8 in Beijing, China
Abstract
1. Introduction
2. Materials and Methods
2.1. Data
2.1.1. Himawari-8
2.1.2. Radar Data
2.2. Method
3. Results
3.1. Spatio-Temporal Characteristics of a Typical Hail Case on 1 July 2021
3.2. Comparison of Characteristics for Typical Hail Events
3.2.1. Comparison of Spatial Characteristics for Hail Events Based on Weather Radar
3.2.2. Comparison of Spectral Characteristics for Hail Events
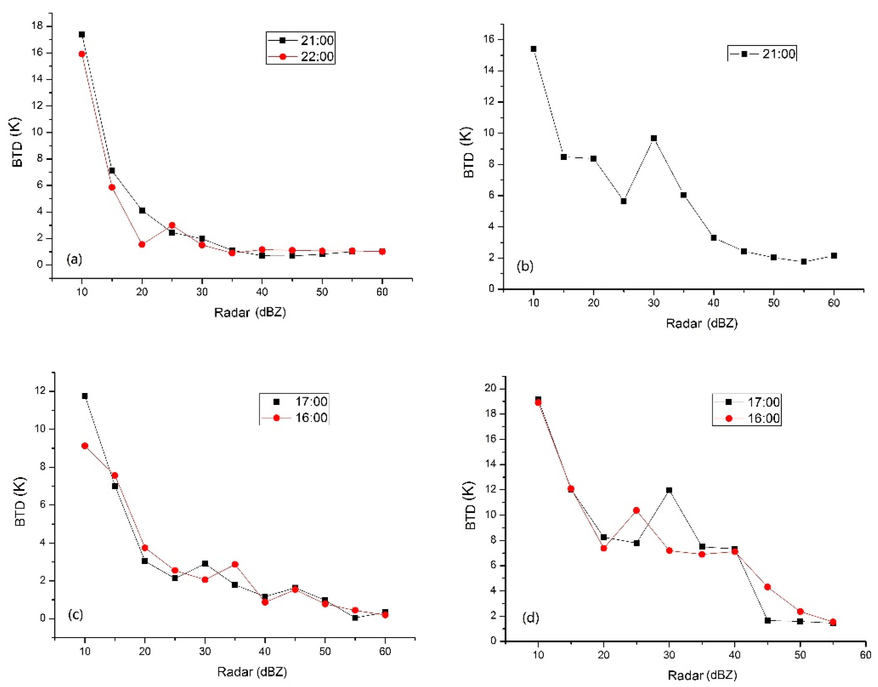
3.2.3. Relationship between Satellite BTD and Radar Reflectivity for Hail Events
3.2.4. Cloud Physical Characteristics during Hail Events
4. Discussion
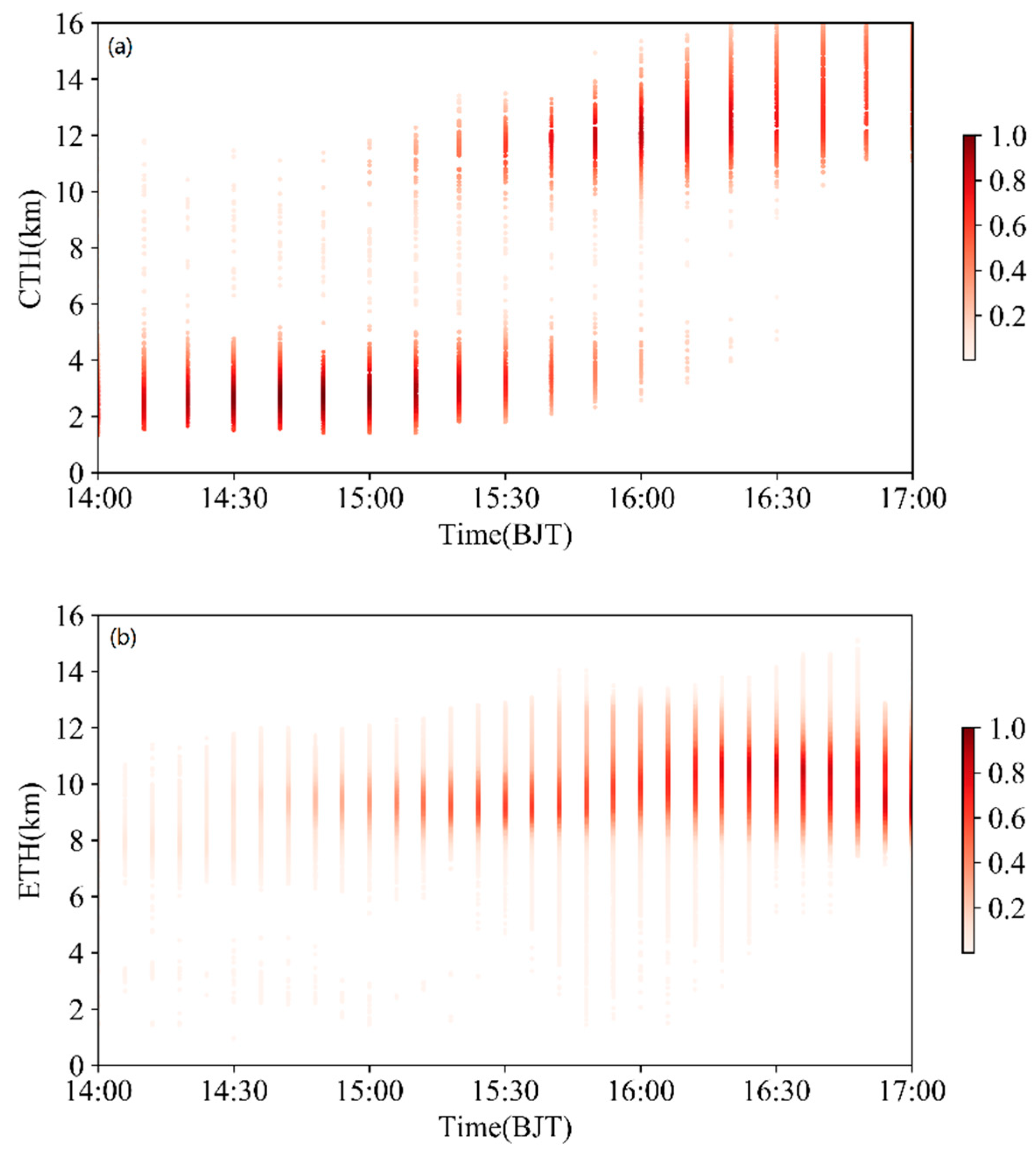
4.1. Comparison of Cloud-Top Heights from Satellite and Echo Top Heights from Weather Radar
4.2. Threshold Characteristics for BT and BTD
5. Conclusions
Author Contributions
Funding
Data Availability Statement
Acknowledgments
Conflicts of Interest
References
- Liu, D.; Feng, G.; Wu, S. The characteristics of cloud-to-ground lightning activity in hailstorms over northern China. Atmos. Res. 2009, 91, 459–465. [Google Scholar] [CrossRef]
- Li, X.; Zou, T.; Lin, J.; Kong, H.; Ren, Z. Decreased hail size in China since 1980. Sci. Rep. 2017, 7, 10913. [Google Scholar]
- Wapler, K. The life-cycle of hailstorms: Lightning, radar reflectivity and rotation characteristics. Atmos. Res. 2017, 193, 60–72. [Google Scholar] [CrossRef]
- Punge, H.J.; Kunz, M. Hail observations and hailstorm characteristics in Europe: A review. Atmos. Res. 2016, 176, 159–184. [Google Scholar] [CrossRef]
- Punge, H.J.; Bedka, K.M.; Kunz, M.; Bang, S.D.; Itterly, K.F. Characteristics of hail hazard in South Africa based on satellite detection of convective storms. Nat. Hazards Earth Syst. Sci. Discuss. 2021, 1–32. [Google Scholar] [CrossRef]
- Li, M.; Zhang, Q.; Zhang, F. Hail day frequency trends and associated atmospheric circulation patterns over China during 1960–2012. J. Clim. 2016, 29, 7027–7044. [Google Scholar] [CrossRef]
- Allen, J.; Giammanco, I.M.; Kumjian, M.R.; Punge, H.J.; Zhang, Q.; Groenemeijer, P.; Kunz, M.; Ortega, K. Understanding hail in the earth system. Rev. Geophys. 2020, 58, e2019RG000665. [Google Scholar] [CrossRef]
- Nisi, L.; Martius, O.; Hering, A.; Kunz, M.; Germann, U. Spatial and temporal distribution of hailstorms in the Alpine region: A long-term, high resolution, radar-based analysis. Q. J. R. Meteorol. Soc. 2016, 142, 1590–1604. [Google Scholar] [CrossRef]
- Holleman, I. Hail Detection Using Single-Polarization Radar; Ministerie van Verkeer en Waterstaat, Koninklijk Nederlands Meteorologisch Instituut: De Bilt, The Nederlands, 2001. [Google Scholar]
- Anderson, M.E.; Carey, L.D.; Petersen, W.A.; Knupp, K.R. C-band dual-polarimetric radar signatures of hail. Electron. J. Oper. Meteor. 2011, 12, 1–30. [Google Scholar]
- Lukach, M.; Foresti, L.; Giot, O.; Delobbe, L. Estimating the occurrence and severity of hail based on 10 years of observations from weather radar in Belgium. Meteorol. Appl. 2017, 24, 250–259. [Google Scholar] [CrossRef]
- Capozzi, V.; Picciotti, E.; Mazzarella, V.; Marzano, F.S.; Budillon, G. Fuzzy-logic detection and probability of hail exploiting short-range X-band weather radar. Atmos. Res. 2018, 201, 17–33. [Google Scholar] [CrossRef]
- Stržinar, G.; Skok, G. Comparison and optimization of radar-based hail detection algorithms in Slovenia. Atmos. Res. 2018, 203, 275–285. [Google Scholar] [CrossRef]
- Trefalt, S.; Martynov, A.; Barras, H.; Besic, N.; Hering, A.M.; Lenggenhager, S.; Noti, P.; Röthlisberger, M.; Schemm, S.; Germann, U.; et al. A severe hail storm in complex topography in Switzerland-Observations and processes. Atmos. Res. 2018, 209, 76–94. [Google Scholar] [CrossRef]
- Stefan, S.; Barbu, N. Radar-derived parameters in hail-producing storms and the estimation of hail occurrence in Romania using a logistic regression approach. Meteorol. Appl. 2018, 25, 614–621. [Google Scholar] [CrossRef]
- Aran, M.; Sairouni, A.; Bech, J.; Toda, J.; Rigo, T.; Cunillera, J.; Moré, J. Pilot project for intensive surveillance of hail events in Terres de Ponent (Lleida). Atmos. Res. 2007, 83, 315–335. [Google Scholar] [CrossRef]
- Pilorz, W.; Zięba, M.; Szturc, J.; Łupikasza, E. Large hail detection using radar-based VIL calibrated with isotherms from the ERA5 reanalysis. Atmos. Res. 2022, 274, 106185. [Google Scholar] [CrossRef]
- Kumjian, M.R.; Richardson, Y.P.; Meyer, T.; Kosiba, K.A.; Wurman, J. Resonance scattering effects in wet hail observed with a dual-X-band-frequency, dual-polarization Doppler on Wheels radar. J. Appl. Meteorol. Climatol. 2018, 57, 2713–2731. [Google Scholar] [CrossRef]
- Punge, H.J.; Bedka, K.M.; Kunz, M.; Werner, A. A new physically based stochastic event catalog for hail in Europe. Nat. Hazards 2014, 73, 1625–1645. [Google Scholar] [CrossRef]
- da Silva Neto, C.P.; Barbosa, H.A.; Beneti, C.A.A. A method for convective storm detection using satellite data. Atmósfera 2016, 29, 343–358. [Google Scholar] [CrossRef]
- Ravinder, A.; Reddy, P.K.; Prasad, N. Detection of wavelengths for hail identification using satellite imagery of clouds. In Proceedings of the 2013 Fifth International Conference on Computational Intelligence, Communication Systems and Networks, Madrid, Spain, 5–7 June 2013; IEEE: Piscataway, NJ, USA, 2013; pp. 205–211. [Google Scholar]
- Guerrero-Higueras, A.M.; Merino, A.; López, L.; Sánchez, J.L.; Matellán, V. Identification of summer hailstorm from MSG data using Python. In Proceedings of the Third Symposium on Advances in Modeling and Analysis Using Python, AMS Annual Meeting, Austin, TX, USA, 5 January 2013. [Google Scholar]
- Merino, A.; López, L.; Sánchez, J.L.; García-Ortega, E.; Cattani, E.; Levizzani, V. Daytime identification of summer hailstorm cells from MSG data. Nat. Hazards Earth Syst. Sci. 2014, 14, 1017–1033. [Google Scholar] [CrossRef]
- Bang, S.D.; Cecil, D.J. Constructing a multifrequency passive microwave hail retrieval and climatology in the GPM domain. J. Appl. Meteorol. Climatol. 2019, 58, 1889–1904. [Google Scholar] [CrossRef]
- Bauer-Messmer, B.; Waldvogel, A. Satellite data based detection and prediction of hail. Atmos. Res. 1997, 43, 217–231. [Google Scholar] [CrossRef]
- Houze, R.A., Jr. Nimbostratus and the separation of convective and stratiform precipitation. In International Geophysics; Academic Press: Cambridge, MA, USA, 2014; Volume 104, pp. 141–163. [Google Scholar]
- Mikuš, P.; Mahović, N.S. Satellite-based overshooting top detection methods and an analysis of correlated weather conditions. Atmos. Res. 2013, 123, 268–280. [Google Scholar] [CrossRef]
- Khlopenkov, K.V.; Bedka, K.M.; Cooney, J.W.; Itterly, K. Recent Advances in Detection of Overshooting Cloud Tops from Longwave Infrared Satellite Imagery. J. Geophys. Res. Atmos. 2021, 126, e2020JD034359. [Google Scholar] [CrossRef]
- Wilhelm, J.; Mohr, S.; Punge, H.J.; Mühr, B.; Schmidberger, M.; Daniell, J.E.; Kunz, M. Severe thunderstorms with large hail across Germany in June 2019. Weather 2021, 76, 228–237. [Google Scholar] [CrossRef]
- Guihua, L.; Xing, Y.; Ling, J.; Jin, D. Satellite retrieval of a strong hailstorm process. Atmos. Ocean. Sci. Lett. 2009, 2, 103–107. [Google Scholar] [CrossRef]
- Setvák, M.; Lindsey, D.T.; Rabin, R.M.; Wang, P.K.; Demeterová, A. Indication of water vapor transport into the lower stratosphere above midlatitude convective storms: Meteosat Second Generation satellite observations and radiative transfer model simulations. Atmos. Res. 2008, 89, 170–180. [Google Scholar] [CrossRef]
- Bedka, K.M. Overshooting cloud top detections using MSG SEVIRI Infrared brightness temperatures and their relationship to severe weather over Europe. Atmos. Res. 2011, 99, 175–189. [Google Scholar] [CrossRef]
- Auer, A.H., Jr. Hail recognition through the combined use of radar reflectivity and cloud-top temperatures. Mon. Weather. Rev. 1994, 122, 2218–2221. [Google Scholar] [CrossRef]
- Nugroho, A.D.; Winarso, P.A. Atmospheric Dynamics Analysis of Hail Events Using Radar C-Bands Imagery and Satellite Himawari-8 (Case Study: Yogyakarta January). In Proceedings of the 6th Geoinformation Science Symposium 2019, Yogyakarta, Indonesia, 26–27 August 2019; p. 48. [Google Scholar]
- Duan, M.; Xia, J.; Yan, Z.; Han, L.; Zhang, L.; Xia, H.; Yu, S. Reconstruction of the Radar Reflectivity of Convective Storms Based on Deep Learning and Himawari-8 Observations. Remote Sens. 2021, 13, 3330. [Google Scholar] [CrossRef]
- Hardaker, P.J.; Auer, A.H., Jr. The separation of rain and hail using single polarisation radar echoes and IR cloud-top temperatures. Meteorol. Appl. 1994, 1, 201–204. [Google Scholar] [CrossRef]
- Schuster, S.S.; Blong, R.J.; Leigh, R.J.; McAneney, K.J. Characteristics of the 14 April 1999 Sydney hailstorm based on ground observations, weather radar, insurance data and emergency calls. Nat. Hazards Earth Syst. Sci. 2005, 5, 613–620. [Google Scholar] [CrossRef]
- Gallo, K.; Smith, T.; Jungbluth, K.; Schumacher, P. Hail swaths observed from satellite data and their relation to radar and surface-based observations: A case study from Iowa in 2009. Weather. Forecast. 2012, 27, 796–802. [Google Scholar] [CrossRef]
- Kuzhevskaia, I.; Volkova, M.; Nechepurenko, O.; Chursin, V. A study of hailstorms in the South of Western Siberia. In IOP Conference Series: Materials Science and Engineering; IOP Publishing: Bristol, UK, 2019; Volume 698, p. 044036. [Google Scholar]
- Nisi, L.; Hering, A.; Germann, U.; Schroeer, K.; Barras, H.; Kunz, M.; Martius, O. Hailstorms in the Alpine region: Diurnal cycle, 4D-characteristics, and the nowcasting potential of lightning properties. Q. J. R. Meteorol. Soc. 2020, 146, 4170–4194. [Google Scholar] [CrossRef]
- Bechis, H.; Galligani, V.; Imaz, M.A.; Cancelada, M.; Simone, I.; Piscitelli, F.; Maldonado, P.; Salio, P.; Nesbitt, S.W. A case study of a severe hailstorm in Mendoza, Argentina, during the RELAMPAGO-CACTI field campaign. Atmos. Res. 2022, 271, 106127. [Google Scholar] [CrossRef]
- Bessho, K.; Date, K.; Hayashi, M.; Ikeda, A.; Imai, T.; Inoue, H.; Kumagai, Y.; Miyakawa, T.; Murata, H.; Ohno, T.; et al. An introduction to Himawari-8/9—Japan’s new-generation geostationary meteorological satellites. J. Meteorol. Soc. Japan. Ser. II 2016, 94, 151–183. [Google Scholar] [CrossRef]
- Yasuhiko, S.; Hiroshi, S.; Takahito, I.; Akira, S. Convective Cloud Information derived from Himawari-8 data. In Meteorological Satellite Center Technical Note; Meteorological Satellite Center (MSC): Kiyose, Tokyo, Japan, 2017; p. 22. [Google Scholar]
- Lai, R.; Teng, S.; Yi, B.; Letu, H.; Min, M.; Tang, S.; Liu, C. Comparison of cloud properties from Himawari-8 and FengYun-4A geostationary satellite radiometers with MODIS cloud retrievals. Remote Sens. 2019, 11, 1703. [Google Scholar] [CrossRef]
- Letu, H.; Nagao, T.M.; Nakajima, T.Y.; Riedi, J.; Ishimoto, H.; Baran, A.J.; Shang, H.; Sekiguchi, M.; Kikuchi, M. Ice cloud properties from Himawari-8/AHI next-generation geostationary satellite: Capability of the AHI to monitor the DC cloud generation process. IEEE Trans. Geosci. Remote Sens. 2018, 57, 3229–3239. [Google Scholar] [CrossRef]
- Schmetz, J.; Tjemkes, S.A.; Gube, M.; Van de Berg, L. Monitoring deep convection and convective overshooting with METEOSAT. Adv. Space Res. 1997, 19, 433–441. [Google Scholar] [CrossRef]
- Warren, R.A.; Protat, A. Should Interpolation of Radar Reflectivity be Performed in Z or dB Z? J. Atmos. Ocean. Technol. 2019, 36, 1143–1156. [Google Scholar] [CrossRef]
- Rosenfeld, D.; Woodley, W.L.; Lerner, A.; Kelman, G.; Lindsey, D.T. Satellite detection of severe convective storms by their retrieved vertical profiles of cloud particle effective radius and thermodynamic phase. J. Geophys. Res. Atmos. 2008, 113, D4. [Google Scholar] [CrossRef]
- Lensky, I.M.; Rosenfeld, D. The time-space exchangeability of satellite retrieved relations between cloud top temperature and particle effective radius. Atmos. Chem. Phys. 2006, 6, 2887–2894. [Google Scholar] [CrossRef]
- Laviola, S.; Levizzani, V.; Ferraro, R.R.; Beauchamp, J. Hailstorm detection by satellite microwave radiometers. Remote Sens. 2020, 12, 621. [Google Scholar] [CrossRef]





















| Case | Date | Precipitation (mm) | Max Hail Size (cm) | Location | Precipitation Duration | Hail Period (min) | 
|---|---|---|---|---|---|---|
| 1 | 20 May 2021 | 14.1 | 1 | MY, YQ | 15:23–17:24 | 10 | 
| 2 | 21 May 2021 | 2.7 | 0.5 | MTG, YQ | 19:43 | 1 | 
| 3 | 22 May 2021 | 48.6 | 1 | MTG, HD, MY, PG, SY | 17:30–22:19 | 10 | 
| 4 | 13 June 2021 | 5.3 | 1 | MY | 18:06 | 1 | 
| 5 | 25 June 2021 | 79.3 | 4.5 | HD, SJS, YQ, CP, MY, HR | 20:10–23:12 | 5 | 
| 6 | 27 June 2021 | 29.3 | 1 | HR, FS, YQ | 14:43–18:14 | 4 | 
| 7 | 29 June 2021 | 13.7 | 2 | MTG, HR | 17:11–20:52 | 2 | 
| 8 | 30 June 2021 | 69.4 | 3.1 | YQ, HR, FS, PG, MTG, HD | 14:59–20:57 | 10 | 
| 9 | 1 July 2021 | 89.5 | 3.2 | FS, HR, CP, MTG, HD, SY, CY, PG, DX | 14:46–18:38 | 5 | 
| 10 | 5 July 2021 | 98.4 | 1 | CY, MTG | 14:14–19:26 | 1 | 
| 11 | 7 July 2021 | 42.8 | 0.5 | MTG, HR, MY | 13:55–16:50 | 3 | 
| 12 | 8 July 2021 | 1.8 | 1.9 | MTG, FS, YQ, PG | 14:40–19:48 | 1 | 
| 13 | 9 August 2021 | 10.5 | 1.8 | YQ, HR, CP, MTG, CY, SY, TZ, FT, DX | 14:34–19:49 | 2 | 
| 14 | 20 August 2021 | 0.1 | 2 | YQ | 16:07–16:58 | 1 | 
| 15 | 23 August 2021 | 15.3 | 0.5 | YQ, FS | 20:22–22:23 | 1 | 
| Publisher’s Note: MDPI stays neutral with regard to jurisdictional claims in published maps and institutional affiliations. | 
© 2022 by the authors. Licensee MDPI, Basel, Switzerland. This article is an open access article distributed under the terms and conditions of the Creative Commons Attribution (CC BY) license (https://creativecommons.org/licenses/by/4.0/).
Share and Cite
Jing, Y.; Chen, Y.; Ma, X.; Ma, J.; Li, X.; Ma, N.; Bi, K. Characteristics of Summer Hailstorms Observed by Radar and Himawari-8 in Beijing, China. Remote Sens. 2022, 14, 5843. https://doi.org/10.3390/rs14225843
Jing Y, Chen Y, Ma X, Ma J, Li X, Ma N, Bi K. Characteristics of Summer Hailstorms Observed by Radar and Himawari-8 in Beijing, China. Remote Sensing. 2022; 14(22):5843. https://doi.org/10.3390/rs14225843
Chicago/Turabian StyleJing, Yingying, Yichen Chen, Xincheng Ma, Jianli Ma, Xia Li, Ningkun Ma, and Kai Bi. 2022. "Characteristics of Summer Hailstorms Observed by Radar and Himawari-8 in Beijing, China" Remote Sensing 14, no. 22: 5843. https://doi.org/10.3390/rs14225843
APA StyleJing, Y., Chen, Y., Ma, X., Ma, J., Li, X., Ma, N., & Bi, K. (2022). Characteristics of Summer Hailstorms Observed by Radar and Himawari-8 in Beijing, China. Remote Sensing, 14(22), 5843. https://doi.org/10.3390/rs14225843
 
        


 
       