Soybean EOS Spatiotemporal Characteristics and Their Climate Drivers in Global Major Regions
Abstract
:1. Introduction
2. Materials and Methods
2.1. Global Soybean Planting Map
2.2. Phenology and Climate Data Products
2.3. Data Processing
2.3.1. Extraction of High-Density Planting Areas
2.3.2. Phenological Screening of Soybean Samples
2.3.3. Climate-Based Analysis of the Spatiotemporal Variability in Soybean Phenology
3. Results
3.1. Spatial Patterns in Soybean EOS
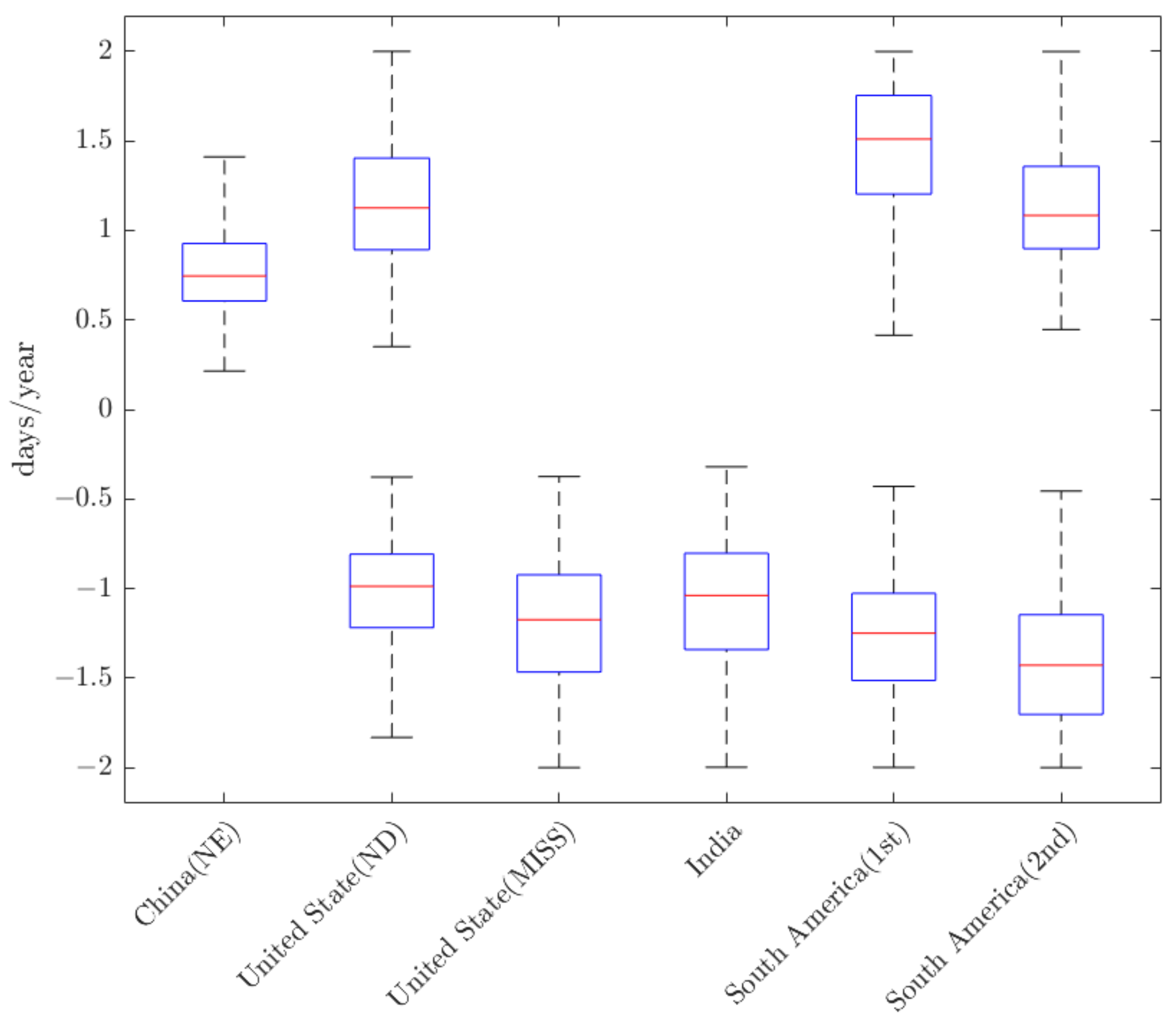
3.2. Trends and Spatial Patterns in Soybean EOS
3.3. Relationship between Changes in Soybean EOS and Climate Change
4. Discussion
4.1. Feasibility of Using Remote Sensing Phenology Products to Extract Soybean Crop Weather
4.2. Impact of Climate Change on the Spatial and Temporal Heterogeneity of Soybean EOS
5. Conclusions
Author Contributions
Funding
Conflicts of Interest
References
- Gale, F.; Valdes, C.; Ash, M. Interdependence of China, United States, and Brazil in Soybean Trade. In US Department of Agriculture’s Economic Research Service (ERS) Report; USDA: New York, NY, USA, 2019; pp. 1–48. [Google Scholar]
- Meade, B.; Puricelli, E.; McBride, W.D.; Valdes, C.; Hoffman, L.; Foreman, L.; Dohlman, E. Corn and Soybean Production Costs and Export Competitiveness in Argentina, Brazil, and the United States; SSRN Scholarly Paper ID 2981675; Social Science Research Network: Rochester, NY, USA, 2016. [Google Scholar]
- Gu, B.; van Grinsven, H.J.M.; Lam, S.K.; Oenema, O.; Sutton, M.A.; Mosier, A.; Chen, D. A Credit System to Solve Agricultural Nitrogen Pollution. Innovation 2021, 2, 100079. [Google Scholar] [CrossRef] [PubMed]
- Zhang, S.; Zhang, J.; Bai, Y.; Xun, L.; Wang, J.; Zhang, D.; Yang, S.; Yuan, J. Developing a Method to Estimate Maize Area in North and Northeast of China Combining Crop Phenology Information and Time-Series MODIS EVI. IEEE Access 2019, 7, 144861–144873. [Google Scholar] [CrossRef]
- He, L.; Asseng, S.; Zhao, G.; Wu, D.; Yang, X.; Zhuang, W.; Jin, N.; Yu, Q. Impacts of Recent Climate Warming, Cultivar Changes, and Crop Management on Winter Wheat Phenology across the Loess Plateau of China. Agric. For. Meteorol. 2015, 200, 135–143. [Google Scholar] [CrossRef]
- Tan, Q.; Liu, Y.; Dai, L.; Pan, T. Shortened Key Growth Periods of Soybean Observed in China under Climate Change. Sci. Rep. 2021, 11, 8197. [Google Scholar] [CrossRef]
- Tao, F.; Zhang, S.; Zhang, Z.; Rötter, R.P. Maize Growing Duration Was Prolonged across China in the Past Three Decades under the Combined Effects of Temperature, Agronomic Management, and Cultivar Shift. Glob. Chang. Biol. 2014, 20, 3686–3699. [Google Scholar] [CrossRef] [PubMed]
- Arvor, D.; Dubreuil, V.; Ronchail, J.; Simões, M.; Funatsu, B.M. Spatial Patterns of Rainfall Regimes Related to Levels of Double Cropping Agriculture Systems in Mato Grosso (Brazil). Int. J. Climatol. 2014, 34, 2622–2633. [Google Scholar] [CrossRef]
- Zhang, M.; Abrahao, G.; Thompson, S. Sensitivity of Soybean Planting Date to Wet Season Onset in Mato Grosso, Brazil, and Implications under Climate Change. Clim. Chang. 2021, 168, 15. [Google Scholar] [CrossRef]
- Bandaru, V.; Yaramasu, R.; Pnvr, K.; He, J.; Fernando, S.; Sahajpal, R.; Wardlow, B.D.; Suyker, A.; Justice, C. PhenoCrop: An Integrated Satellite-Based Framework to Estimate Physiological Growth Stages of Corn and Soybeans. Int. J. Appl. Earth Obs. Geoinf. 2020, 92, 102188. [Google Scholar] [CrossRef]
- Liu, L.; Zhang, X.; Yu, Y.; Gao, F.; Yang, Z. Real-Time Monitoring of Crop Phenology in the Midwestern United States Using VIIRS Observations. Remote Sens. 2018, 10, 1540. [Google Scholar] [CrossRef] [Green Version]
- Manish, B.; Deshraj, P.; Walikar, L.D.; Vijaya, K.P.; Agrawal, K.K. Thermal and Radiation Environments for Assessing Crop-Weather Relationship of Soybean in Eastern Madhya Pradesh. J. Agrometeorol. 2021, 21, 141–147. [Google Scholar] [CrossRef]
- Stocker, T.F.; Qin, D.; Plattner, G.K.; Tignor, M.; Allen, S.K.; Boschung, J.; Nauels, A.; Xia, Y.; Bex, B.; Midgley, B.M. Climate Change 2013: The Physical Science Basis. Contribution of Working Group I to the Fifth Assessment Report of the Intergovernmental Panel on Climate Change; Cambridge University Press: Cambridge, UK, 2014. [Google Scholar]
- Cheng, H. Future Earth and Sustainable Developments. Innovation 2020, 1, 100055. [Google Scholar] [CrossRef] [PubMed]
- Lamichhane, J.R.; Constantin, J.; Schoving, C.; Maury, P.; Debaeke, P.; Aubertot, J.N.; Dürr, C. Analysis of Soybean Germination, Emergence, and Prediction of a Possible Northward Establishment of the Crop under Climate Change. Eur. J. Agron. 2020, 113, 125972. [Google Scholar] [CrossRef]
- Liu, Y.; Dai, L. Modelling the Impacts of Climate Change and Crop Management Measures on Soybean Phenology in China. J. Clean. Prod. 2020, 262, 121271. [Google Scholar] [CrossRef]
- Ge, Q.; Wang, H.; Rutishauser, T.; Dai, J. Phenological Response to Climate Change in China: A Meta-Analysis. Glob. Change Biol. 2015, 21, 265–274. [Google Scholar] [CrossRef]
- Richardson, A.D.; Keenan, T.F.; Migliavacca, M.; Ryu, Y.; Sonnentag, O.; Toomey, M. Climate Change, Phenology, and Phenological Control of Vegetation Feedbacks to the Climate System. Agric. For. Meteorol. 2013, 169, 156–173. [Google Scholar] [CrossRef]
- He, L.; Jin, N.; Yu, Q. Impacts of Climate Change and Crop Management Practices on Soybean Phenology Changes in China. Sci. Total Environ. 2020, 707, 135638. [Google Scholar] [CrossRef]
- Ray, D.K.; West, P.C.; Clark, M.; Gerber, J.S.; Prishchepov, A.V.; Chatterjee, S. Climate Change Has Likely Already Affected Global Food Production. PLoS ONE 2019, 14, e0217148. [Google Scholar] [CrossRef]
- Titiek, I.; Yogi, S. The Effect of Planting Date and Harvesting Time on the Yield and Seed Quality of Rainy Season Soybean (Glycine max (L.) Merr.). J. Agric. Food Technol. 2012, 2, 73–78. [Google Scholar]
- Meng, J.H.; Dong, T.; Zhang, M.; You, X.; Wu, B. Predicting Optimal Soybean Harvesting Dates with Satellite Data. In Precision Agriculture’13; Stafford, J.V., Ed.; Academic Publishers: Wageningen, The Netherlands, 2013; pp. 209–215. [Google Scholar] [CrossRef]
- Wang, S.; Liu, F.; Zhou, Q.; Chen, Q.; Liu, F. Simulation and Estimation of Future Ecological Risk on the Qinghai-Tibet Plateau. Sci. Rep. 2021, 11, 17603. [Google Scholar] [CrossRef]
- Amherdt, S.; Di Leo, N.C.; Balbarani, S.; Pereira, A.; Cornero, C.; Pacino, M.C. Exploiting Sentinel-1 Data Time-Series for Crop Classification and Harvest Date Detection. Int. J. Remote Sens. 2021, 42, 7313–7331. [Google Scholar] [CrossRef]
- Salmon, J.M.; Friedl, M.A.; Frolking, S.; Wisser, D.; Douglas, E.M. Global Rain-Fed, Irrigated, and Paddy Croplands: A New High Resolution Map Derived from Remote Sensing, Crop Inventories and Climate Data. Int. J. Appl. Earth Obs. Geoinf. 2015, 38, 321–334. [Google Scholar] [CrossRef]
- Erb, K.H.; Luyssaert, S.; Meyfroidt, P.; Pongratz, J.; Don, A.; Kloster, S.; Kuemmerle, T.; Fetzel, T.; Fuchs, R.; Herold, M. Land Management: Data Availability and Process Understanding for Global Change Studies. Glob. Chang. Biol. 2017, 23, 512–533. [Google Scholar] [CrossRef] [PubMed] [Green Version]
- Ren, S.; Qin, Q.; Ren, H. Contrasting Wheat Phenological Responses to Climate Change in Global Scale. Sci. Total Environ. 2019, 665, 620–631. [Google Scholar] [CrossRef] [PubMed]
- Wang, Y.; Yao, Z.; Zhan, Y.; Zheng, X.; Zhou, M.; Yan, G.; Wang, L.; Werner, C.; Butterbach-Bahl, K. Potential Benefits of Liming to Acid Soils on Climate Change Mitigation and Food Security. Glob. Chang. Biol. 2021, 27, 2807–2821. [Google Scholar] [CrossRef]
- Strahler, A. MODIS Land Cover Product Algorithm Theoretical Basis Document (ATBD) Version 5.0. Available online: http://modis.gsfc.nasa.gov/data/atbd/atbd_mod12.pdf (accessed on 27 May 2021).
- Gray, J.; Sulla-Menashe, D.; Friedl, M.A. User Guide to Collection 6 MODIS Land Cover Dynamics (MCD12Q2) Product; NASA EOSDIS Land Processes DAAC: Missoula, MT, USA, 2019; p. 8. [Google Scholar]
- Frick, E.A.; Friedl, M.A.; Melaas, E.K.; Gray, J.M. A Comparison of Phenophase Transition Dates Calculated from MODIS EVI and NBAR-EVI. Agu. Fall Meet. Abstr. 2012, 2012, B11C-0438. [Google Scholar]
- Peng, D.; Zhang, X.; Wu, C.; Huang, W.; Gonsamo, A.; Huete, A.R.; Didan, K.; Tan, B.; Liu, X.; Zhang, B. Intercomparison and Evaluation of Spring Phenology Products Using National Phenology Network and AmeriFlux Observations in the Contiguous United States. Agric. For. Meteorol. 2017, 242, 33–46. [Google Scholar] [CrossRef] [Green Version]
- Wang, G.; Huang, Y.; Wei, Y.; Zhang, W.; Li, T.; Zhang, Q. Inner Mongolian Grassland Plant Phenological Changes and Their Climatic Drivers. Sci. Total Environ. 2019, 683, 1–8. [Google Scholar] [CrossRef]
- Muñoz-Sabater, J.; Dutra, E.; Agustí-Panareda, A.; Albergel, C.; Arduini, G.; Balsamo, G.; Boussetta, S.; Choulga, M.; Harrigan, S.; Hersbach, H.; et al. ERA5-Land: A State-of-the-Art Global Reanalysis Dataset for Land Applications. Earth Syst. Sci. Data 2021, 13, 4349–4383. [Google Scholar] [CrossRef]
- Yang, Y.; Tao, B.; Liang, L.; Huang, Y.; Matocha, C.; Lee, C.D.; Sama, M.; Masri, B.E.; Ren, W. Detecting Recent Crop Phenology Dynamics in Corn and Soybean Cropping Systems of Kentucky. Remote Sens. 2021, 13, 1615. [Google Scholar] [CrossRef]
- Zhang, M.; Abrahao, G.; Cohn, A.; Campolo, J.; Thompson, S. A MODIS-based Scalable Remote Sensing Method to Estimate Sowing and Harvest Dates of Soybean Crops in Mato Grosso, Brazil. Heliyon 2021, 7, e07436. [Google Scholar] [CrossRef]
- Gonsamo, A.; Chen, J.M. Circumpolar Vegetation Dynamics Product for Global Change Study. Remote Sens. Environ. 2016, 182, 13–26. [Google Scholar] [CrossRef] [Green Version]
- Xu, L.; Niu, B.; Zhang, X.; He, Y. Dynamic Threshold of Carbon Phenology in Two Cold Temperate Grasslands in China. Remote Sens. 2021, 13, 574. [Google Scholar] [CrossRef]
- Peng, D.; Wang, Y.; Xian, G.; Huete, A.R.; Huang, W.; Shen, M.; Wang, F.; Yu, L.; Liu, L.; Xie, Q.; et al. Investigation of Land Surface Phenology Detections in Shrublands Using Multiple Scale Satellite Data. Remote Sens. Environ. 2021, 252, 112133. [Google Scholar] [CrossRef]
- Xiao, W.; Sun, Z.; Wang, Q.; Yang, Y. Evaluating MODIS Phenology Product for Rotating Croplands through Ground Observations. J. Appl. Remote Sens. 2013, 7, 073562. [Google Scholar] [CrossRef]
- Sacks, W.J.; Deryng, D.; Foley, J.A.; Ramankutty, N. Crop Planting Dates: An Analysis of Global Patterns. Glob. Ecol. Biogeogr. 2010, 19, 607–620. [Google Scholar] [CrossRef]
- Begue, A.; Vintrou, E.; Saad, A.; Hiernaux, P. Differences between Cropland and Rangeland MODIS Phenology (Start-of-Season) in Mali. Int. J. Appl. Earth Obs. Geoinf. 2014, 31, 167–170. [Google Scholar] [CrossRef]











Publisher’s Note: MDPI stays neutral with regard to jurisdictional claims in published maps and institutional affiliations. |
© 2022 by the authors. Licensee MDPI, Basel, Switzerland. This article is an open access article distributed under the terms and conditions of the Creative Commons Attribution (CC BY) license (https://creativecommons.org/licenses/by/4.0/).
Share and Cite
Lou, Z.; Peng, D.; Zhang, X.; Yu, L.; Wang, F.; Pan, Y.; Zheng, S.; Hu, J.; Yang, S.; Chen, Y.; et al. Soybean EOS Spatiotemporal Characteristics and Their Climate Drivers in Global Major Regions. Remote Sens. 2022, 14, 1867. https://doi.org/10.3390/rs14081867
Lou Z, Peng D, Zhang X, Yu L, Wang F, Pan Y, Zheng S, Hu J, Yang S, Chen Y, et al. Soybean EOS Spatiotemporal Characteristics and Their Climate Drivers in Global Major Regions. Remote Sensing. 2022; 14(8):1867. https://doi.org/10.3390/rs14081867
Chicago/Turabian StyleLou, Zihang, Dailiang Peng, Xiaoyang Zhang, Le Yu, Fumin Wang, Yuhao Pan, Shijun Zheng, Jinkang Hu, Songlin Yang, Yue Chen, and et al. 2022. "Soybean EOS Spatiotemporal Characteristics and Their Climate Drivers in Global Major Regions" Remote Sensing 14, no. 8: 1867. https://doi.org/10.3390/rs14081867
APA StyleLou, Z., Peng, D., Zhang, X., Yu, L., Wang, F., Pan, Y., Zheng, S., Hu, J., Yang, S., Chen, Y., & Liu, S. (2022). Soybean EOS Spatiotemporal Characteristics and Their Climate Drivers in Global Major Regions. Remote Sensing, 14(8), 1867. https://doi.org/10.3390/rs14081867

