Abstract
Exploring the relationship between cereal yield and the remotely sensed normalized difference vegetation index (NDVI) is of great importance to decision-makers and agricultural stakeholders. In this study, an approach based on the Pearson correlation coefficient and linear regression is carried out to reveal the relationship between cereal yield and Moderate Resolution Imaging Spectroradiometer (MODIS) NDVI data in the Fez-Meknes region of Morocco. The results obtained show strong correlations reaching 0.70 to 0.89 between the NDVI and grain yield. The linear regression model explains 58 to 79% of the variability in yield in regional provinces marked by the importance of cereal cultivation, and 51 to 53% in the mountainous provinces with less agricultural land devoted to major cereals. The regression slopes indicate that a 0.1 increase in the NDVI results in an expected increase in grain yield of 4.9 to 8.7 quintals (q) per ha, with an average of 6.8 q/ha throughout the Fez-Meknes region. The RMSE ranges from 2.12 to 4.96 q/ha. These results are promising in terms of early yield forecasting based on MODIS-NDVI data, and consequently, in terms of grain import planning, especially since the national grain production does not cover the demand. Such remote sensing data are therefore essential for administrations that are in charge of food security decisions.
1. Introduction
In Morocco, agriculture is a crucial sector that contributes significantly to the economy and plays an important role in combating rural exodus. It creates nearly 38% of the total employment, with 73.7% of employment in rural areas, and provides more than 65% of the income for the rural population [1]. Its contribution to the country’s annual GDP ranges between 11% and 14%, with an average of 12.5% over the period 2000–2020 [2]. The main cereal crops are soft wheat, hard wheat, and barley, which play a major role in national agriculture, covering around 59% of the national agricultural land area [3], which reaches 8.8 million hectares [4]. Cereal farming represents 93% of the cultivated land in arid and semi-arid regions, while moister regions and irrigated areas are reserved for high-value export crops, influenced by the international division of labor and macroeconomic policies [5]. Given that each Moroccan consumes 255 kg of wheat per year, four times the global average [6], the imports of main cereals increased by 911% between 1971 and 2021 [7]. In this context, early forecasting of cereal crop yields is crucial to assist policymakers and cereal marketing institutions in planning imports and better coping with global food price fluctuations. This forecast would also strengthen the capacities of agricultural importers to manage global food price fluctuations and ensure the sustainability of the national cereal market supply.
The available field data are difficult to use for predicting environmental changes at the regional level, as these data are acquired at small spatial and temporal scales and vary in terms of type and reliability [8,9]. In contrast, remote sensing is capable of providing data in a synoptic manner, with more extensive spatial coverage [10]. As such, remote sensing is an effective tool for obtaining information on crop characteristics, estimating cultivated area, and monitoring changes, primarily focusing on crop growth status and final harvest, at a relatively low cost [10,11,12]. This technology has been used in the agricultural field since the 1970s [13,14].
Vegetation indices such as leaf area index (LAI), vegetation condition index (VCI), percent of average seasonal greenness (PASG), vegetation supply water index (VSWI), normalized difference red edge (NDRE), enhanced vegetation index (EVI), and normalized difference vegetation index (NDVI) have been widely used to assess plant water stress, tree growth, crop phenology, response of vegetation to different hydroclimatic factors, and to classify terrestrial vegetation cover. Therefore, these indices are useful for monitoring vegetation cover health, assessing the impacts of agroclimatic conditions on crops, and predicting grain yield based on vegetation greenness level [15,16,17,18,19,20,21,22,23,24,25]. Therefore, they are useful for strengthening and improving early warning systems.
NDVI is a widely used remote sensing index for evaluating vegetation cover due to its robust sensitivity to vegetation, simplicity, direct relationship with vegetation productivity, availability at different spatial and temporal resolutions, and the elimination of noise caused by many geographical and climatic factors. Moreover, it is also less sensitive to topographic effects in the presence of dense vegetation compared to other vegetation indices. There is a strong linear correlation between NDVI and vegetation biomass [24,25,26,27]. However, NDVI has limitations, such as dependence on soil background brightness, saturation in cases of high vegetation cover, topographic illumination and shading effects, and solar angle dependence [12,13,14,27,28]. NDVI is defined as the difference between the reflectance of the red band (0.66 μm) and the near-infrared band (0.86 μm), divided by their sum [29]. It was first used in a study conducted in the Great Plains of the United States in 1973 [30]. NDVI is considered an important predictor of crop yield, especially in rainy areas, while precipitation and temperature have been more important in arid areas with low rainfall [31].
Recently, several studies have been conducted based on NDVI to predict cereal yields, evaluate crop phenological characteristics, measure crop canopy coverage, and study ecological responses to environmental changes such as drought, flooding, and frost [8,19,32,33,34,35,36,37,38,39].
Currently, satellite data from the National Aeronautics and Space Administration’s (NASA) Terra spacecraft’s Moderate Resolution Imaging Spectroradiometer (MODIS) are freely accessible. Through atmospheric correction and cloud filtering by the MODIS scientific team, these data, which include NDVI, have created new opportunities for real-time crop monitoring [14,40]. On the other hand, despite the spatial expansion of the area under cereals in Morocco from 2.8 million ha during the 1930–1940 decade to 4.6 million ha during the 2010–2020 decade, cereal self-sufficiency has not been achieved, which is a worrying factor in reducing dependence on the world market. Indeed, the main cereals are essentially cultivated in rainfed areas, which are vulnerable to unexpected drought risks, particularly since agricultural drought has increased in Morocco to reach 1 year out of 2.6 years in the 21st century [41], compared to 1 year out of 5 between 1940 and 1994, which can be seen in the context of global warming [42]. Given the dramatic economic and social consequences of food deficits in Morocco, it is crucial to predict yields and monitor the state of agricultural production. In this regard, there are various methods for predicting cereal crop yields, including statistical models based on multiple linear regression, where NDVI is used as a predictor of yields [10,22,33].
The objective of this study is to evaluate the relationship between MODIS-NDVI data at different dates during the period of 2000–2020 and the yield of major cereal crops in the Fez-Meknes region, as well as to determine the most favorable date for more reliable predictions of cereal yields in the Fez-Meknes region. MODIS-derived NDVI data have not yet been utilized for the purpose of predicting crop yields in this region.
2. Study Area
This study focuses on the north-central region of Morocco, Fez-Meknes, located between latitudes 32.58 and 34.9 N and longitudes −2.8 and −5.9 W. It is bordered to the north by the Rif mountains and to the south by the Middle Atlas. The region extends 255 km from east to west and 254 km from north to south, with a total area of 40,423 km2. It is divided into seven provinces and two prefectures [43]. The relief of the region is constituted by mountains, including the Rif mountains in the north and the Middle Atlas in the south, with altitudes ranging from 17 to 3298 m. The Saïs plateau, located in the middle of the region, is one of the most fertile and productive sites for vegetables and cereals at national level. The hills are mainly located in the north and south, constituting an intermediate zone between the plains and the mountains. Climatically, the region is characterized by three types of climate: continental, cold and humid, and semi-arid [44]. This region represents 5.7% of the national territory, but has 4.4 million inhabitants, or 12.3% of the national population, and holds 32% of the national livestock [45] (Figure 1).
Figure 1.
Geographical location of the study area.
It should be noted that the agricultural sector is an essential component of the Fez-Meknes region’s economy, contributing 22.1% of the wealth created in the region and accounting for 15.9% of the national agricultural Gross Domestic Product [46]. In terms of its social impact, the agricultural sector is the main provider of jobs in the region, representing 40% of the jobs offered in 2019 [45]. The regional useful agricultural area represents 15% of the national useful agricultural area, of which 53% is reserved for main cereals [47]. Cereals are a traditional crop in the region, which are mainly grown under rainfed conditions, covering an area of 802 thousand hectares per year between 2000 and 2020. The region occupies an important place in the national cereal production, contributing 20% with an annual average of 13.6 million quintals per year. It occupies second place after the region of Grand Casablanca-Settat, with a small difference of 1.43% (361 thousand quintals). Durum wheat accounts for 51% of grain production, followed by soft wheat (28%) and barley (21%). The yield of these three crops is 17 q/ha at the regional level against 12 q/ha at the national level, based on the average between 2000 and 2020 [48]. However, it is highly exposed to interannual fluctuations due to climatic drought, with a coefficient of variation reaching 34%. In sum, cereals are an essential crop in the region and a fundamental plant sector contributing to economic and social development, the fight against rural exodus, and the country’s food security.
3. Materials and Methods
3.1. Yield Data for Main Cereals
The main cereals cultivated in Morocco are soft wheat, barley, and durum wheat. The annual series of production in tons and the yield of the main cereals in quintals per hectare were obtained from the Ministry of Agriculture, Maritime Fishing, Rural Development and Water and Forests, covering the period from 2000 to 2020 (N = 20). The land cultivated in cereal crops is concentrated in the province of Taounate and the province of Taza, which account for 37% and 19%, respectively, of the region total. Cereal cultivation is lower in the provinces of Ml Yaacoub (10.4%), Meknes (8.5%), El Hajeb (8.03%), Sefrou (6.7%), Boulmane (5.3%), and Ifrane (4.5%). Similarly, nearly half of the regional cereal production (48%) is provided by two provinces: Taounate, which contributes 30%, and Taza, which contributes 18%. The provinces with remarkable contributions have a large agricultural area reserved for cereal crops, except for Meknes, which only allocates 8.5% of its regional agricultural area to cereal crops, but contributes 13.7% to regional cereal production. This is due to favorable soil conditions, the role of inputs such as nitrogen fertilization and pesticides, and the intensive use of agricultural technology during planting, weed treatment, and harvesting. The El Hajeb and Moulay Yaacoub regions have 8% and 10% of the agricultural area dedicated to cereal crops but produce 12% of the regional production each, as illustrated in Figure 2.
Figure 2.
Percentage of land cultivated with cereal crops and cereal production by province in the Fez-Meknes region. Source of statistical data: MAMFRDF, 2021.
3.2. Remote Sensing Data
The MODIS-NDVI data for the mean time series for the Fez-Meknes region in this study were obtained from the Global Agricultural Monitoring System (GLAM) (https://glam1.gsfc.nasa.gov/ (accessed on 15 February 2023)), which provides global NDVI data every eight days in near real-time. These datasets are derived from satellite images captured by sensors on NASA’s Terra spacecraft at medium spatial resolution of 500 m. They undergo atmospheric correction and cloud filtering on a per-pixel basis through the efforts of the MODIS science team. These NDVI datasets of this sensor have two breaks during the growing season, the first on 22 March 2002 and the second on 18 February 2016. They have been filled in using the average values of the dates immediately before and after. GLAM was established in 2000 by NASA in collaboration with the United States Department of Agriculture (USDA) as part of the Global Agricultural Monitoring Project, which aims to provide objective and regular assessments of global agricultural production forecasts and conditions affecting food security worldwide [22,49]. Using MODIS-NDVI data, analysts can track the progress of the growing season, perform interannual comparisons of seasonal dynamics, and inform policymakers about the agricultural situation.
3.3. Statistical Analysis
The relationship between the 8-day NDVI of cultivated land and grain yield was calculated across years of the study and for each province in the region individually using the Pearson correlation coefficient and linear regression method. The performance of the model was evaluated using the Root Mean Square Error (RMSE) [50]. The results of the correlation coefficients for all regional provinces and during different NDVI dates will be illustrated in a table. The color of each cell will depend on the value of the correlation coefficient. The results of the linear regression will be presented in graphs that include the regression equations and determination coefficients. The analyses were conducted using R studio, Excel 2016, and Origin 2023. For spatial visualization, maps were created using ArcMap 10.3.
4. Results
4.1. Spatial and Temporal Variability of Grain Yield and NDVI
During the period of 2000–2020, the province of Meknes had the highest grain yield among the main cereals, with 22 q/ha. Specifically, the wheat grain yield was very high at 23.7 q/ha, compared to barley, which was 18.6 q/ha. The provinces of El Hajeb, Taza, Ml Yaacoub, Ifrane, and Sefrou also recorded average grain yields (respectively, 18.5, 17.4, 17.3, 17.09, and 17.07 q/ha). On the other hand, the provinces of Taounate (15.5 q/ha) and Boulmane (12.2 q/ha) had low yields. However, the regional yield of main cereals remains higher than the national yield.
The interannual coefficient of variation in the yield of major cereals was highest in the provinces of Taza (50%) and Ml Yaacoub (43%). For the provinces of El Hajeb, Meknes, Sefrou, and Taounate, it ranged from 37% to 41%. The mountainous provinces of the region recorded relatively lower temporal variations, reaching 29% and 31%, respectively, for the provinces of Boulmane and Ifrane. In comparison, the national coefficient of variation was 35% for the period 2000–2020. This indicates that most provinces in the region (75%) exhibit higher variability than that revealed at the national level. The Fez-Meknes region is quite exposed to the risk of agricultural drought, with provinces located in the plains more vulnerable compared to those in the Middle Atlas Mountains (Ifrane and Boulmane). This can be explained by the effect of higher relative humidity at higher altitudes, due to the temperature decreasing with the altitude. Additionally, local showers tend to affect mountainous provinces more than plain provinces.
The highest average NDVI for the study period (2000–2020) averaged over the growing season and taken into account in the study (mid-December to early June) was observed in the provinces of Meknes and Taounate, with values of 0.54 and 0.52, respectively. The lowest NDVI was recorded in the provinces of Sefrou and Ifrane, with a value of 0.42. The interannual variability of the growing season average NDVI reached its maximum in the provinces of Taza and Ml Yaacoub (16% and 18%, respectively), while it was relatively moderate in the provinces of Taounate (13%) and El Hajeb (11%). On the other hand, it was low in the provinces of Boulmane (CV 8%) and Ifrane (CV 9%), as well as in the provinces of Meknes and Sefrou (10%).
NDVI is largely affected by changes in water availability for crops, which has an impact on their final yield. For example, during the 2006–2007 agricultural year, which was classified as dry on a climatic level, with a regional average yield of 5.20 q/ha, the NDVI varied between 0.31 and 0.53 in the province of Meknes, between 0.26 and 0.44 in the province of Ml Yaacoub, between 0.23 and 0.36 in the province of Taza, between 0.30 and 0.42 in the province of Ifrane, between 0.26 and 0.48 in the province of El Hajeb, between 0.23 and 0.26 in the province of Boulmane, between 0.41 and 0.51 in the province of Taounate, and between 0.32 and 0.45 in the province of Sefrou. In contrast, during the 2012–2013 agricultural campaign, which was classified as wet with a regional average yield of 21.5 q/ha, the NDVI values rapidly increased during the months of February, March, and April, which are decisive months for cereal harvesting. In general, the values varied between 0.58 and 0.74 in the north of the region and between 0.28 and 0.57 in the south of the region during these months. It is possible to observe differences in the NDVI between the two agricultural campaigns, from February to April, due to contrasting climatic conditions. However, these differences decreased in May as cereals entered the senescence phase, a period characterized by a decrease in precipitation and an increase in temperatures. This occurred whether it was a dry or wet year, as illustrated in Figure 3.
Figure 3.
Evolution of NDVI during (a) a dry year example (2006–2007) and (b) a wet year example (2012–2013).
4.2. Links between Grain Yield and NDVI at Different Dates
The results of the correlation analysis between the wheat and barley yields are presented in Table 1. Strong relationships were observed at different periods in all regional provinces. The strongest relationships with yield (correlations greater than 0.70) were found for the NDVI from mid-January to early April for the province of Taza, as well as in the province of Taounate, and from early February to mid-April in the provinces of Ml Yaacoub and El Hajeb. Therefore, the cereal harvest can be estimated in these two provinces from early winter. In addition, strong and positive correlations were observed in the provinces of Meknes and El Hajeb between early March and mid-April. In these provinces, the correlation coefficient increased in mid-February into the spring, where it exceeded 0.80. The correlation coefficients demonstrated a highly significant relationship between the NDVI and yield (probability level of 0.1%) between 16 January and 14 April, particularly in the provinces of Taza, Taounate, and Ml Yaacoub, and between 9 February and 14 April for the provinces of El Hajeb and Meknes. Furthermore, in the mountainous provinces, the strongest link appeared between the end of April and the end of May, especially for the province of Boulmane, and between the beginning and end of April for the province of Ifrane. The coefficients were significant at the probability level of 1% and 0.1% from 5 March to 24 May.
Table 1.
Correlation coefficients between NDVI (from 17 December to 01 June) for cereal grain yield and arable land based on mean data across twenty years (2000–2020; n = 20) for provinces in the region. The color of each cell is a function of the value of the correlation coefficient. Significance levels (p values under the null hypothesis of zero correlation) are also given and classified: 0.001 = ***; 0.01 = **; 0.05 = *.
However, very weak correlations were recorded at the beginning and end of the growing season in the provinces that were marked by early sowing and are located in the plains and plateaus of the Fez-Meknes region, such as Meknes, Ml Yaacoub, Taza, Taounate, El Hajeb, and Sefrou. The mountainous provinces recorded positive correlations ranging from moderate to high in May and early June due to late sowing and low temperatures. Negative correlations are very rare and were recorded only three times (−0.15, −0.11, and −0.01) at the beginning and end of the growing season, notably in the provinces of Taounate, Ifrane, and Boulmane (Table 1).
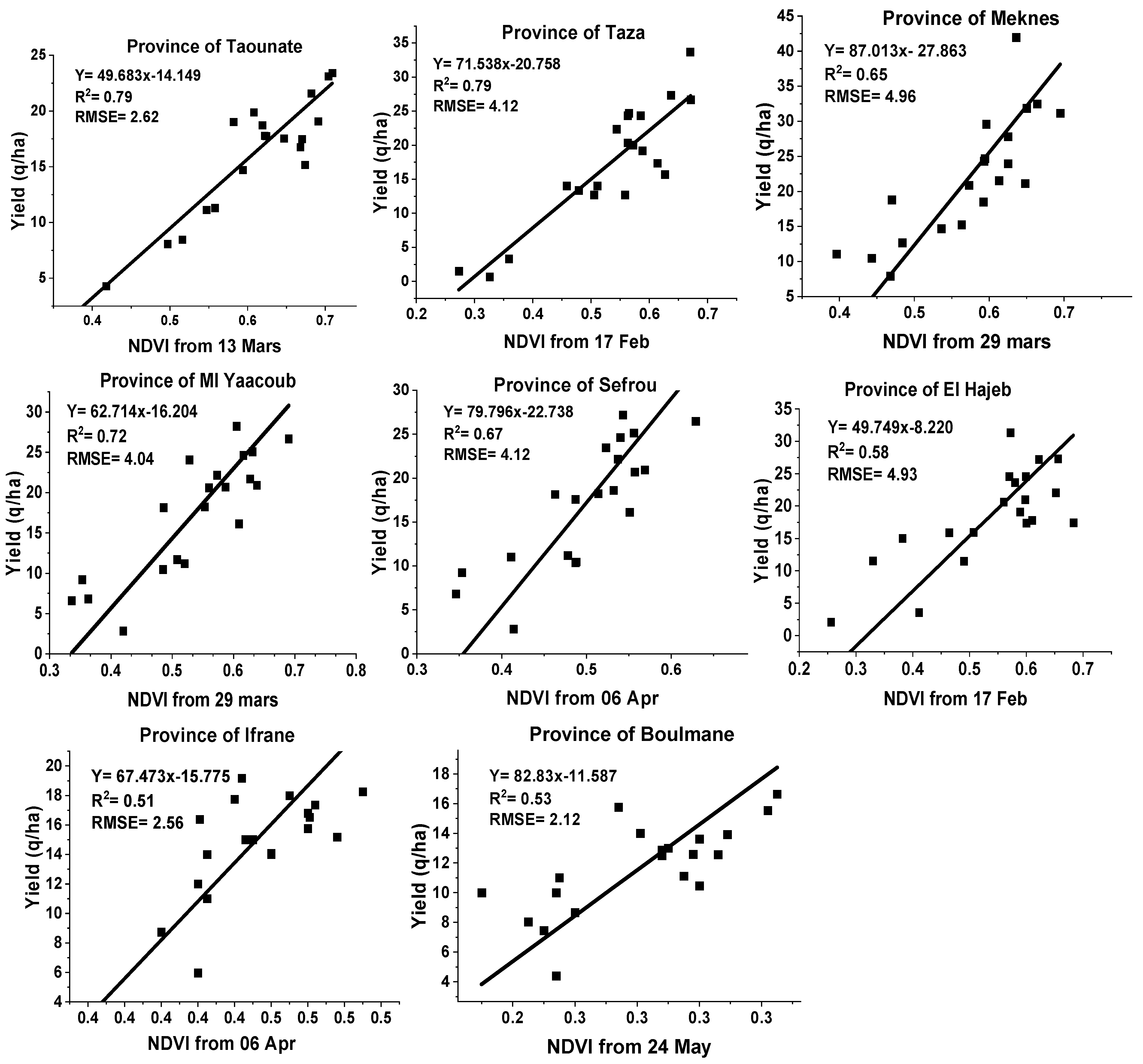
A linear regression was applied to the dates with the highest correlation between MODIS-NDVI and grain yield to predict the yield in the provinces of the region based on the observed NDVI (Figure 4). Regression line slopes ranged from 49 to 87 q/ha per unit, indicating that a 0.1 increase in the NDVI results in an expected increase in the grain yield of 4.9 to 8.7 q/ha, with an average of 6.8 q/ha. The correlation between the wheat and barley yields and NDVI was very strong, with a regression coefficient ranging from 0.77 to 0.89 in the provinces of Taza, Taounate, Ml Yaacoub, Sefrou, El Hajeb, and Meknes, indicating that developed models explain 58 to 79% of the variability in wheat and barley yields. In the two mountainous provinces of the region (Boulmane and Ifrane), the relationship between MODIS-NDVI and grain yield was the weakest (R2 0.51 to 0.53). The best prediction model was found in the provinces of Taza and Taounate. These results are promising, as these two provinces produce almost 50% of the region’s cereal production. The NDVI in the second and third decades of March and the first decade of April, during the grain heading and flowering phase, had the strongest impact on the expected yield of rainfed cereal crops in the region. The Root Mean Square Error (RMSE) relative to the prediction of cereal yield from the regression models varied from 212 to 496 kg/ha (2.12 to 4.96 q/ha). Indeed, the performance of these regression functions varied from year to year, which was possibly due to sowing dates and weather conditions.
Figure 4.
Relationship between grain yield and NDVI on the dates when their correlations recorded the maximum values in the provinces of the Fez-Meknes region.
5. Discussion
The aim of this agroclimatic study is to examine the relationship between the NDVI variation and cereal yield in the Fez-Meknes region, located in central-north Morocco. This region is primarily focused on rainfed cereal cultivation, notably wheat and barley. These are staple crops, and their by-products such as wheat bran and straw are essential feed for livestock. Additionally, a comparative analysis of cereal production and consumption, particularly for wheat, which is most widely consumed by the population at 255 kg/inhabitant/year, shows that the gap is widening in favor of imports, which have increased by 911% between 1971 and 2021. As a result, Morocco is dependent on the international market, where the import dependence rate has reached 39.8%, while food self-sufficiency represented 60.2% in the last decade (2012–2021). Therefore, predicting yields is crucial for the local population and national economy, as it ensures the country’s food security and maintains the supply of the national market in main cereals, given the weight of this region in national production (20%).
It appears from the temporal analysis of the strongest relationship between wheat and barley yields and MODIS-NDVI values as quantified by the correlation coefficient in the region of Fez-Meknes (r = 0.70 to 0.89) is less strong than that obtained by [22], where correlations exceeded 0.90 in some months. However, our results are superior to those noted by [33] in their study of the relationship between the MODIS-NDVI and grain yield of crops in semi-arid and subhumid agroclimatic zones in Canada (r = 0.48 to 0.78). The coefficients of determination obtained in most provinces of the region (R2 = 0.58 to 0.79) are higher than those observed by [22] in Central Europe, where the authors found that the R2 of the relationship between cereal yield and NDVI was 0.49 to 0.64. Furthermore, these coefficients are higher than those found by [16] in Italy, where R2 oscillated between 0.01 and 0.46 in the context of the correlation between AVHRR-NDVI and the wheat yield. Similarly, [33] found that the coefficient of determination between spring wheat and barley yields on the one hand and MODIS-NDVI on the other hand varied between 0.47 and 0.90. In relation to our study, [40] reported a coefficient of determination (R2) of 0.65 to 0.87 between MODIS-NDVI data and winter wheat production in the Shandong province of China. In Morocco, [39] found a coefficient of determination of 0.76 between wheat yield and three factors (temperature, soil moisture, and rainfall). Additionally, and also close to our study area, [51] observed in Tunisia a coefficient of determination ranging from 0.39 to 0.70 between durum and soft wheat yields and NDVI derived from SPOT-Vegetation.
Cereal yields can be predicted about 3 months before the start of the harvest for the provinces of Taza and El Hajeb, 58 days before the harvest for Taounate, 52 days before for Meknes and Ml Yaacoub, 40 days for Sefrou, and 66 days for Boulmane. This is based on comparing the typical harvest period with the date of the best NDVI predictor obtained by a linear regression, taking into account the beginning of the harvest in the plain and plateau provinces, which often begins on June 1, and July 1 for the mountain provinces. Indeed, the two most productive provinces of the main cereals in the region (Taza and Taounate) have predictable yields as early as January, with the correlation coefficient reaching 0.72, which is significant at the level α = 0.05. This result is similar to that obtained by [52], who were able to predict the crop yield 10 weeks before harvest. The authors of [22] were able to predict the yield of cereals (wheat, barley, rye, and triticale) 3–4 months before harvest in many Central European countries, while [53] were able to predict the yield of wheat and maize 6–8 weeks before harvest in the Tisza River Basin in Central Europe. Furthermore, [31] found that the wheat yield in Morocco can be estimated two months before harvest based on the three factors considered (NDVI/AVHRR, precipitation, and temperature), to which our results compare favorably, despite the use of only one predictor (NDVI/MODIS). This may be in part because MODIS observations have a higher spatial resolution than AVHRR and thus may be more sensitive to interannual variations in crop growth. Further research is needed to improve our results further by applying a crop mask to the NDVI map, instead of using the province-wide average NDVI as performed here.
Generally, these results are valuable for policymakers who must make decisions regarding the planning of cereal imports. This is particularly important in light of the agricultural sector’s vulnerability to climate changes.
6. Conclusions
This paper presents an effective system to evaluate the relationship between MODIS-NDVI and grain yield, and to determine the most favorable date to predict harvest. Crop yield is largely dependent on the characteristics of the crop at each stage of development. Strong correlations of up to 0.89 were found between the NDVI, which is primarily related to observed fluctuations in photosynthetic activity, and grain yield of cereals three months before harvest in some provinces. The linear regression model explained between 58% and 79% of the variability in yield in regional provinces with high cereal cultivation, while it explained between 51% and 53% of the variability in mountainous provinces, due to a low useful agricultural area devoted to main cereals. The RMSE varies between 2.12 and 4.96 q/ha. The spring season represents the best period for estimating the grain yield, as it coincides with the heading and flowering phases of the main cereals. The results presented here demonstrate a highly significant relationship between the MODIS-NDVI and grain yield. These results are promising in terms of early yield prediction, especially since wheat flour consumption in Morocco is three times higher than the world average. Thus, remote sensing plays an important role in estimating grain yields. Thus, MODIS-NDVI data can be a powerful tool for predicting yields in provinces with large agricultural areas dedicated to cereals. They are therefore essential for administrations that are in charge of food security decisions within the Fez-Meknes region or in the country in general. Simple statistical models remain robust in predicting crop yields, despite the use of machine learning algorithms in some recent studies in Morocco. Nevertheless, this study could be improved in several avenues that require further research, such as applying the crop mask to the NDVI map, the integration of more factors influencing the crop yield, and considering more advanced machine learning algorithms.
Author Contributions
Conceptualization, M.B. and M.H.; methodology, M.B. and R.K.; formal analysis, H.B.; writing—original draft preparation, R.K. and A.M.; writing—review and editing, All; visualization, N.Y.K. and M.B.; supervision, N.Y.K., R.K., D.Z. and M.B.; project administration, M.B. and M.H. All authors have read and agreed to the published version of the manuscript.
Funding
This research received no external funding.
Data Availability Statement
The remote sensing datasets of NDVI were downloaded from the Global Agricultural Monitoring System (GLAM) (https://glam1.gsfc.nasa.gov/ (accessed on 15 February 2023)). The grain yield data were obtained from the Ministry of Agriculture, Marine Fisheries, Rural Development, and Forestry.
Acknowledgments
Authors are thankful to S. Mestari, from the Surveys and Censuses Department at the Ministry of Agriculture, Maritime Fishing, Rural Development and Water and Forests, who gave us the statistical data on the main cereals in Fez-Meknes region. The authors also thank the anonymous reviewers for their valuable suggestions.
Conflicts of Interest
The authors declare no conflict of interest.
References
- Elboukhary El Intidami, M.; Benamar, F. Adoption de la technologie d’irrigation localisée (TIL) par les agriculteurs de la province de Zagora: Rôles des perceptions aux attributs de la technologie. Int. J. Account. Financ. Audit. Manag. Econ. 2020, 1, 210–229. [Google Scholar] [CrossRef]
- World Bank. Agriculture and Food. 2021. Available online: https://www.banquemondiale.org/fr/topic/agriculture/overview (accessed on 26 February 2022).
- Harbouze, R.; Pellissier, J.-P.; Rolland, J.-P.; Khechimi, W. Rapport de Synthèse sur l’agriculture au Maroc, CIHEAM-IAMM, Research Report. 2019. Available online: https://hal.archives-ouvertes.fr/hal-02137637 (accessed on 12 June 2021).
- MAPMEFDR. Agriculture en Chiffres. 2019. Available online: https://www.agriculture.gov.ma/fr/publications/agriculture-en-chiffres-2018-edition-2019 (accessed on 23 June 2022).
- Balaghi, R. Wheat Grain Yield Forecasting Models for Food Security in Morocco; Université de Liège: Liège, Belgique, 2006. [Google Scholar] [CrossRef]
- Bishaw, Z.; Yigezu, Y.A.; Niane, A.; Telleria, R.J.; Najjar, D. Political Economy of the Wheat Sector in Morocco: Seed Systems, Varietal Adoption, and Impacts; International Center for Agricultural Research in the Dry Areas: Beirut, Lebanon, 2019; p. 300. [Google Scholar]
- ONICL. Importations_Cereales. 2022. Available online: https://www.onicl.org.ma/portail/sites/default/files/FichierPage/importations_cereales.pdf (accessed on 23 June 2021).
- Pettorelli, N.; Vik, J.O.; Mysterud, A.; Gaillard, J.-M.; Tucker, C.J.; Stenseth, N.C. Using the satellite-derived NDVI to assess ecological responses to environmental change. Trends Ecol. Evol. 2005, 20, 503–510. [Google Scholar] [CrossRef] [PubMed]
- Pande, C.B.; Kadam, S.A.; Rajesh, J.; Gorantiwar, S.D.; Shinde, M.G. Predication of Sugarcane Yield in the Semi-Arid Region Based on the Sentinel-2 Data Using Vegetation’s Indices and Mathematical Modeling. In Climate Change Impacts on Natural Resources, Ecosystems and Agricultural Systems; Pande, C.B., Moharir, K.N., Singh, S.K., Pham, Q.B., Elbeltagi, A., Eds.; Springer International Publishing: Cham, Switzerland, 2023; pp. 327–343. [Google Scholar] [CrossRef]
- Idrissi, A.; Nadem, S.; Boudhar, A.; Benabdlouahab, T. Review of wheat yield estimating methods in Morocco. Afr. J. Land Policy Geospat. Sci. 2022, 5, 818–831. [Google Scholar]
- Bent Salama Erhili, S. Using Remote Sensing Technology to Monitor and Detect Changes in Vegetation Cover in the Area between the Cities of Makkah and Taif. J. Geogr. Lett. 2013, 403, 1–45. (In Arabic) [Google Scholar]
- Son, N.; Chen, C.; Minh, V.; Trung, N. A comparative analysis of multitemporal MODIS EVI and NDVI data for large-scale rice yield estimation. Agric. For. Meteorol. 2014, 197, 52–64. [Google Scholar] [CrossRef]
- Bolton, D.K.; Friedl, M.A. Forecasting crop yield using remotely sensed vegetation indices and crop phenology metrics. Agric. For. Meteorol. 2013, 173, 74–84. [Google Scholar] [CrossRef]
- Wu, B.; Zhang, M.; Zeng, H.; Tian, F.; Potgieter, A.B.; Qin, X.; Yan, N.; Chang, S.; Zhao, Y.; Dong, Q.; et al. Challenges and opportunities in remote sensing-based crop monitoring: A review. Natl. Sci. Rev. 2022, 10, nwac290. [Google Scholar] [CrossRef] [PubMed]
- Al-Ansari, N.; Abed, S.A.; Ewaid, S.H. Agriculture in Iraq. J. Earth Sci. Geo Eng. 2021, 11, 223–241. [Google Scholar] [CrossRef]
- Benedetti, R.; Rossini, P. On the use of NDVI profiles as a tool for agricultural statistics: The case study of wheat yield estimate and forecast in Emilia Romagna. Remote Sens. Environ. 1993, 45, 311–326. [Google Scholar] [CrossRef]
- DeFries, R.S.; Townshend, J.R.G. NDVI-derived land cover classifications at a global scale. Int. J. Remote Sens. 1994, 15, 3567–3586. [Google Scholar] [CrossRef]
- Hakam, O.; Baali, A.; Azennoud, K.; Lyazidi, A.; Bourchachen, M. Assessments of Drought Effects on Plant Production Using Satellite Remote Sensing Technology, GIS and Observed Climate Data in Northwest Morocco, Case of the Lower Sebou Basin. Int. J. Plant Prod. 2023, 1–16. [Google Scholar] [CrossRef]
- Jayawardhana, W.; Chathurange, V. Extraction of Agricultural Phenological Parameters of Sri Lanka Using MODIS, NDVI Time Series Data. Procedia Food Sci. 2016, 6, 235–241. [Google Scholar] [CrossRef]
- Jaziri, B.; Samaali, H.; Mjejra, M. L’apport des indices SPI et NDVI pour l’évaluation des conditions du risque de sécheresse aux alentours du Barrage Sejnane (Tunisie Septentrionale). In Analale Universitatii Bucuresti. Seria Geografie; Editura Universitatii din Oradea: Oradea, Romania, 2018; pp. 63–89. Available online: https://www.researchgate.net/profile/Brahim-Jaziri/publication/335821897 (accessed on 15 February 2023).
- Lloyd, D. A phenological classification of terrestrial vegetation cover using shortwave vegetation index imagery. Int. J. Remote Sens. 1990, 11, 2269–2279. [Google Scholar] [CrossRef]
- Panek, E.; Gozdowski, D. Analysis of relationship between cereal yield and NDVI for selected regions of Central Europe based on MODIS satellite data. Remote Sens. Appl. Soc. Environ. 2020, 17, 100286. [Google Scholar] [CrossRef]
- Ali, S.; Basit, A.; Makanda, T.A.; Inamullah; Khan, F.U.; Sajid, M.; Riaz, T.; Abbasi, H.F.; Manzoor; Sohail, A. Improving drought mitigation strategies and disaster risk reduction through MODIS and TRMM-based data in relation to climate change over Pakistan. Environ. Sci. Pollut. Res. 2023, 30, 40563–40575. [Google Scholar] [CrossRef]
- Kumari, N.; Srivastava, A.; Dumka, U.C. A Long-Term Spatiotemporal Analysis of Vegetation Greenness over the Himalayan Region Using Google Earth Engine. Climate 2021, 9, 109. [Google Scholar] [CrossRef]
- Tian, F.; Fensholt, R.; Verbesselt, J.; Grogan, K.; Horion, S.; Wang, Y.J. Evaluating temporal consistency of long-term global NDVI datasets for trend analysis. Remote Sens. Environ. 2015, 163, 326–340. [Google Scholar] [CrossRef]
- Ren, J.; Chen, Z.; Zhou, Q.; Tang, H. Regional yield estimation for winter wheat with MODIS-NDVI data in Shandong, China. Int. J. Appl. Earth Obs. Geoinf. 2008, 10, 403–413. [Google Scholar] [CrossRef]
- Matsushita, B.; Yang, W.; Chen, J.; Onda, Y.; Qiu, G. Sensitivity of the Enhanced Vegetation Index (EVI) and Normalized Difference Vegetation Index (NDVI) to Topographic Effects: A Case Study in High-density Cypress Forest. Sensors 2007, 7, 2636–2651. [Google Scholar] [CrossRef]
- Kumari, N.; Saco, P.M.; Rodriguez, J.F.; Johnstone, S.A.; Srivastava, A.; Chun, K.P.; Yetemen, O. The Grass Is Not Always Greener on the Other Side: Seasonal Reversal of Vegetation Greenness in Aspect-Driven Semiarid Ecosystems. Geophys. Res. Lett. 2020, 47, e2020GL088918. [Google Scholar] [CrossRef]
- Viana, C.M.; Oliveira, S.; Oliveira, S.C.; Rocha, J. Land Use/Land Cover Change Detection and Urban Sprawl Analysis. In Spatial Modeling in GIS and R for Earth and Environmental Sciences; Pourghasemi, H.R., Gokceoglu, C., Eds.; Elsevier: Amsterdam, The Netherlands, 2019; pp. 621–651. [Google Scholar] [CrossRef]
- Rouse, J.W.; Haas, R.H.; Deering, D.W.; Schell, J.A.; Harlan, J.C. Monitoring the Vernal Advancement and Retrogradation (Green Wave Effect) of Natural Vegetation. E75-10354; November 1974. Available online: https://ntrs.nasa.gov/citations/19750020419 (accessed on 12 August 2022).
- Balaghi, R.; Tychon, B.; Eerens, H.; Jlibene, M. Empirical regression models using NDVI, rainfall and temperature data for the early prediction of wheat grain yields in Morocco. Int. J. Appl. Earth Obs. Geoinf. 2008, 10, 438–452. [Google Scholar] [CrossRef]
- Bouras, E.H.; Jarlan, L.; Er-Raki, S.; Albergel, C.; Richard, B.; Balaghi, R.; Khabba, S. Linkages between Rainfed Cereal Production and Agricultural Drought through Remote Sensing Indices and a Land Data Assimilation System: A Case Study in Morocco. Remote Sens. 2020, 12, 4018. [Google Scholar] [CrossRef]
- Mkhabela, M.; Bullock, P.; Raj, S.; Wang, S.; Yang, Y. Crop yield forecasting on the Canadian Prairies using MODIS NDVI data. Agric. For. Meteorol. 2011, 151, 385–393. [Google Scholar] [CrossRef]
- Gandhi, G.M.; Parthiban, S.; Thummalu, N.; Christy, A. Ndvi: Vegetation Change Detection Using Remote Sensing and Gis—A Case Study of Vellore District. Procedia Comput. Sci. 2015, 57, 1199–1210. [Google Scholar] [CrossRef]
- Ghorbanian, A.; Mohammadzadeh, A.; Jamali, S. Linear and Non-Linear Vegetation Trend Analysis throughout Iran Using Two Decades of MODIS NDVI Imagery. Remote. Sens. 2022, 14, 3683. [Google Scholar] [CrossRef]
- Rahman, A.; Roytman, L.; Krakauer, N.Y.; Nizamuddin, M.; Goldberg, M. Use of vegetation health data for estimation of Aus rice yield in Bangladesh. Sensors 2009, 9, 2968–2975. [Google Scholar] [CrossRef]
- Sruthi, S.; Aslam, M.M. Agricultural Drought Analysis Using the NDVI and Land Surface Temperature Data; a Case Study of Raichur District. Aquat. Procedia 2015, 4, 1258–1264. [Google Scholar] [CrossRef]
- Tenreiro, T.R.; García-Vila, M.; Gómez, J.A.; Jiménez-Berni, J.A.; Fereres, E. Using NDVI for the assessment of canopy cover in agricultural crops within modelling research. Comput. Electron. Agric. 2021, 182, 106038. [Google Scholar] [CrossRef]
- Ed-Daoudi, R.; Alaoui, A.; Ettaki, B.; Zerouaoui, J. Improving Crop Yield Predictions in Morocco Using Machine Learning Algorithms. J. Ecol. Eng. 2023, 24, 392–400. [Google Scholar] [CrossRef]
- Zhou, Y.; Sommer, M.L.; Hochholdinger, F. Cold response and tolerance in cereal roots. J. Exp. Bot. 2021, 72, 7474–7481. [Google Scholar] [CrossRef]
- Karrou, M.; Theib, O. Assessment of the severity and impact of drought spells on rainfed cereals in Morocco. Afr. J. Agric. Res. 2014, 9, 3519–3530. [Google Scholar]
- Barakat, F.; Handoufe, A. Approche agroclimatique de la sécheresse agricole au Maroc. Sci. Chang. Planétaires/Sécheresse 1998, 9, 201–210. [Google Scholar]
- Ministère de l’Intérieur, Direction Générale des Collectivités Locales. La Monographie de la Région Fès-Meknès. 2015. Available online: http://www.equipement.gov.ma/Carte-Region/RegionFes/Presentation-de-la-region/Monographie/Pages/Monographie-de-la-region.aspx (accessed on 20 May 2022).
- Kessabi, R.; Hanchane, M.; Guijarro, J.A.; Krakauer, N.Y.; Addou, R.; Sadiki, A.; Belmahi, M. Homogenization and Trends Analysis of Monthly Precipitation Series in the Fez-Meknes Region, Morocco. Climate 2022, 10, 64. [Google Scholar] [CrossRef]
- Haut-Commissariat au Plan. Monographie de la Région de Fès-Meknès. 2020. Available online: https://www.hcp.ma/region-fes/Annuaires-et-Monographies_r2.html (accessed on 25 March 2023).
- Haut-Commissariat au Plan. Comptes Régionaux Produit Intérieur Brut et Dépenses de Consommation Finale des Ménages 2020. Available online: https://www.hcp.ma/Les-comptes-regionaux-Produit-interieur-brut-et-depenses-de-consommation-finale-des-menages-2020_a3572.html (accessed on 29 December 2022).
- Chambre D’Agriculture De Fès-Meknès, le secteur agricole dans la région de Fès-meknès. Chamb. D’Agric. De Fès Mekès 2019, 1, 74.
- Ministère de l’Agriculture MAPMEFDR de la Pêche Maritime, du Développement Rural et des Eaux et Forêts, “la production des céréales au Maroc”. 2021; [Fichier de données Excel, non publier].
- Tucker, C.; Pack, E. Global Agricultural Monitoring System. GIMMS Glob. Agric. Monit. 2000. Available online: https://glam1.gsfc.nasa.gov/api/doc/about (accessed on 16 December 2022).
- Kahimba, F.C.; Bullock, P.R.; Sri Ranjan, R.; Cutforth, H.W. Evaluation of the SolarCalc model for simulating hourly and daily incoming solar radiation in the Northern Great Plains of Canada. Can. Biosyst. Eng. 2009, 51, 1–11. [Google Scholar]
- Meroni, M.; Marinho, E.; Sghaier, N.; Verstrate, M.M.; Leo, O. Remote Sensing Based Yield Estimation in a Stochastic Framework — Case Study of Durum Wheat in Tunisia. Remote Sens. 2013, 5, 539–557. [Google Scholar] [CrossRef]
- Bognár, P.; Ferencz, C.; Pásztor, S.; Molnár, G.; Timár, G.; Hamar, D.; Lichtenberger, J.; Székely, B.; Steinbach, P.; Ferencz, O.E. Yield forecasting for wheat and corn in Hungary by satellite remote sensing. Int. J. Remote Sens. 2011, 32, 4759–4767. [Google Scholar] [CrossRef]
- Nagy, A.; Fehér, J.; Tamás, J. Wheat and maize yield forecasting for the Tisza river catchment using MODIS NDVI time series and reported crop statistics. Comput. Electron. Agric. 2018, 151, 41–49. [Google Scholar] [CrossRef]
Disclaimer/Publisher’s Note: The statements, opinions and data contained in all publications are solely those of the individual author(s) and contributor(s) and not of MDPI and/or the editor(s). MDPI and/or the editor(s) disclaim responsibility for any injury to people or property resulting from any ideas, methods, instructions or products referred to in the content. |
© 2023 by the authors. Licensee MDPI, Basel, Switzerland. This article is an open access article distributed under the terms and conditions of the Creative Commons Attribution (CC BY) license (https://creativecommons.org/licenses/by/4.0/).



