Characteristics of Internal Solitary Waves in the Timor Sea Observed by SAR Satellite
Abstract
1. Introduction
2. Materials and Methods
2.1. Data Introduction
2.1.1. Satellite Images
2.1.2. Mooring Data
2.2. Identification of ISWs from SAR Images
- For series x(t), find all of the local minima and maxima of it, then construct the upper and envelope of the series by cubic spline interpolation.
- The average value of the upper and lower envelopes is recorded as the average envelope. The series is subtracted from the average envelope to obtain a new series x′(t).
- Check whether the new series x′(t) meets the definition of IMF. The IMF needs to meet two conditions: first, the number of extreme points is equal to or at most one different from the number of crossing zeros; second, the average value of the upper envelope composed of local maxima and the lower envelope composed of local minima is zero. If the above conditions are met, the new series is the IMF. Otherwise, repeat Step 1 and Step 2 for x′(t) until the conditions are met.
- After obtaining the IMF using the above steps, the IMF is subtracted from the original sequence x(t) to obtain a new sequence x1(t). Repeat Steps 1 to 3 for x1(t) to obtain next IMF until the series cannot be decomposed any more.
2.3. Reconstruction of the Underwater Structure of ISWs
2.3.1. KdV Equation in Continuously Stratified Liquid
2.3.2. KdV Equation in the Two-Layer Liquid
2.3.3. Flow Field and Energy of ISWs
3. Results
3.1. The Statistical Characteristics of ISWs in Space and Time
3.2. Case Study
3.2.1. Surface Characteristics of ISWs
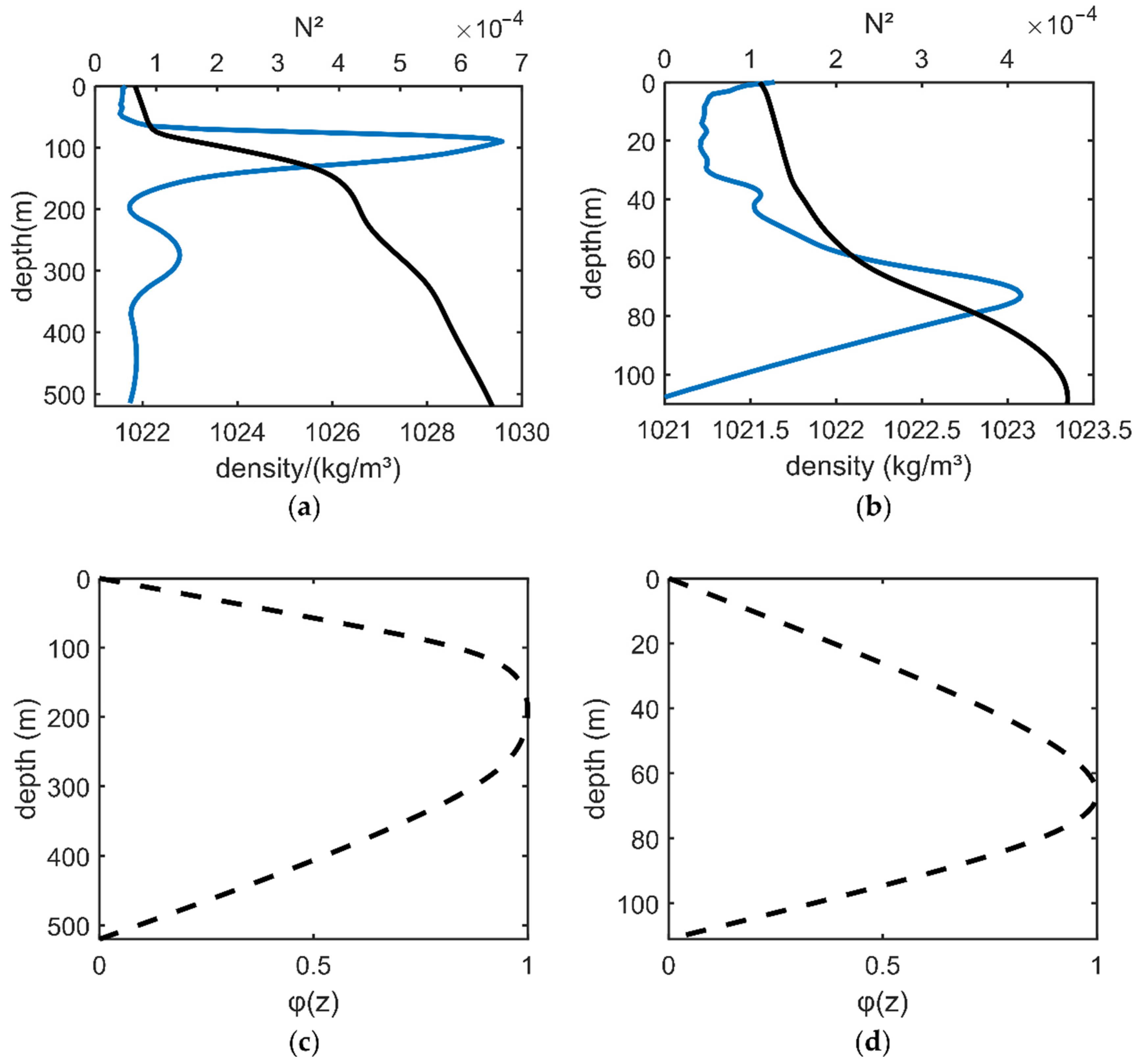
3.2.2. Underwater Structures of ISWs
3.2.3. Comparison with Moorings Measurement
4. Discussion
5. Conclusions
Author Contributions
Funding
Data Availability Statement
Acknowledgments
Conflicts of Interest
References
- Bourgault, D.; Galbraith, P.S.; Chavanne, C. Generation of Internal Solitary Waves by Frontally Forced Intrusions in Geophysical Flows. Nat. Commun. 2016, 7, 13606. [Google Scholar] [CrossRef]
- Grimshaw, R. Internal Solitary Waves. In Advances in Coastal and Ocean Engineering; World Scientific Publishing Company: Singapore, 1997. [Google Scholar]
- Katsnelson, B.G.; Grigorev, V.; Badiey, M.; Lynch, J.F. Temporal Sound Field Fluctuations in the Presence of Internal Solitary Waves in Shallow Water. J. Acoust. Soc. Am. 2009, 126, 41–48. [Google Scholar] [CrossRef]
- Jia, Y.; Tian, Z.; Shi, X.; Liu, J.P.; Chen, J.; Liu, X.; Ye, R.; Ren, Z.; Tian, J. Author Correction: Deep-Sea Sediment Resuspension by Internal Solitary Waves in the Northern South China Sea. Sci. Rep. 2019, 9, 17522. [Google Scholar] [CrossRef] [PubMed]
- Gentil, M.; Floc’H, F.; Meunier, T.; Ruiz-Angulo, A.; Lebourges-Dhaussy, A. Internal Solitary Waves on the NW African Shelf: A Heuristic Approach to Localize Diapycnal Mixing Hotspots. Cont. Shelf Res. 2021, 226, 104492. [Google Scholar] [CrossRef]
- Cui, J.; Dong, S.; Wang, Z.; Han, X.; Lv, P. Kinematic Response of Submerged Structures under the Action of Internal Solitary Waves. Ocean Eng. 2020, 196, 106814. [Google Scholar] [CrossRef]
- Li, J.; Zhang, Q.; Chen, T. Numerical Investigation of Internal Solitary Wave Forces on Submarines in Continuously Stratified Fluids. J. Mar. Sci. Eng. 2021, 9, 1374. [Google Scholar] [CrossRef]
- Zou, P.X.; Bricker, J.D.; Uijttewaal, W. The Impacts of Internal Solitary Waves on a Submerged Floating Tunnel. Ocean Eng. 2021, 238, 109762. [Google Scholar] [CrossRef]
- Wang, T.; Huang, X.; Zhao, W.; Zheng, S.; Yang, Y.; Tian, J. Internal Solitary Wave Activities near the Indonesian Submarine Wreck Site Inferred from Satellite Images. J. Mar. Sci. Eng. 2022, 10, 197. [Google Scholar] [CrossRef]
- Gong, Y.; Xie, J.; Xu, J.; Chen, Z.; He, Y.; Cai, S. Oceanic Internal Solitary Waves at the Indonesian Submarine Wreckage Site. Acta Oceanol. Sin. 2022, 41, 109–113. [Google Scholar] [CrossRef]
- Chen, L.; Zheng, Q.; Xiong, X.; Yuan, Y.; Xie, H.; Guo, Y.; Yu, L.; Yun, S. Dynamic and Statistical Features of Internal Solitary Waves on the Continental Slope in the Northern South China Sea Derived from Mooring Observations. J. Geophys. Res. Ocean. 2019, 124, 4078–4097. [Google Scholar] [CrossRef]
- Huang, X.; Huang, S.; Zhao, W.; Zhang, Z.; Zhou, C.; Tian, J. Temporal Variability of Internal Solitary Waves in the Northern South China Sea Revealed by Long-Term Mooring Observations. Prog. Oceanogr. 2022, 201, 102716. [Google Scholar] [CrossRef]
- Yang, Y.; Huang, X.; Zhao, W.; Zhou, C.; Huang, S.; Zhang, Z.; Tian, J. Internal Solitary Waves in the Andaman Sea Revealed by Long-Term Mooring Observations. J. Phys. Oceanogr. 2021, 51, 3609–3627. [Google Scholar] [CrossRef]
- Wei, Y.; Guo, L.X. Simulation of Scattering on a Time-Varying Sea Surface beneath Which an Internal Solitary Wave Travels. Int. J. Remote Sens. 2017, 38, 5251–5270. [Google Scholar] [CrossRef]
- Chen, C.Y. An Experimental Study of Stratified Mixing Caused by Internal Solitary Waves in a Two-Layered Fluid System over Variable Seabed Topography. Ocean Eng. 2007, 34, 1995–2008. [Google Scholar] [CrossRef]
- Zhao, Z.; Klemas, V.; Zheng, Q.; Li, X.; Yan, X.-H. Estimating Parameters of a Two-Layer Stratified Ocean from Polarity Conversion of Internal Solitary Waves Observed in Satellite SAR Images. Remote Sens. Environ. 2004, 92, 276–287. [Google Scholar] [CrossRef]
- Liu, B.; Hong, Y.; Zhao, Z.; Li, X. Internal Solitary Wave Propagation Observed by Tandem Satellites. Geophys. Res. Lett. 2014, 41, 2077–2085. [Google Scholar] [CrossRef]
- Purwandana, A.; Cuypers, Y. Characteristics of Internal Solitary Waves in the Maluku Sea, Indonesia. Oceanologia 2023, 65, 333–342. [Google Scholar] [CrossRef]
- Kozlov, I.E.; Zubkova, E.V.; Kudryavtsev, V.N. Internal Solitary Waves in the Laptev Sea: First Results of Spaceborne SAR Observations. IEEE Geosci. Remote Sens. Lett. 2017, 14, 2047–2051. [Google Scholar] [CrossRef]
- Haury, L.R.; Briscoe, M.G.; Orr, M.H. Tidally Generated Internal Wave Packets in Massachusetts Bay. Nature 1979, 278, 312–317. [Google Scholar] [CrossRef]
- Cummins, P.F.; Vagle, S.; Armi, L.; Farmer, D.M. Stratified Flow over Topography: Upstream Influence and Generation of Nonlinear Internal Waves. Proc. R. Soc. A Math. Phys. Eng. Sci. 2003, 459, 1467–1487. [Google Scholar] [CrossRef]
- Lee, C.-Y.; Beardsley, R.C. The Generation of Long Nonlinear Internal Waves in a Weakly Stratified Shear Flow. J. Geophys. Res. 1974, 79, 453–462. [Google Scholar] [CrossRef]
- Holloway, P.E.; Pelinovsky, E.; Talipova, T.; Barnes, B. A Nonlinear Model of Internal Tide Transformation on the Australian North West Shelf. J. Phys. Oceanogr. 1997, 27, 871–896. [Google Scholar] [CrossRef]
- Maxworthy, T. A Note on the Internal Solitary Waves Produced by Tidal Flow over a Three-Dimensional Ridge. J. Geophys. Res. Ocean. 1979, 84, 338–346. [Google Scholar] [CrossRef]
- Helfrich, K.R.; Melville, W.K. Long Nonlinear Internal Waves. Annu. Rev. Fluid Mech. 2006, 38, 395–425. [Google Scholar] [CrossRef]
- Jackson, C.R.; Silva, J.C.B.D.; Jeans, G.J.O. The Generation of Nonlinear Internal Waves. Oceanography 2012, 25, 108–123. [Google Scholar] [CrossRef]
- Tensubam, C.M.; Raju, N.J.; Dash, M.K.; Barskar, H. Estimation of Internal Solitary Wave Propagation Speed in the Andaman Sea Using Multi–Satellite Images. Remote Sens. Environ. 2021, 252, 112123. [Google Scholar] [CrossRef]
- Yang, Y.; Huang, X.; Zhou, C.; Zhang, Z.; Zhao, W.; Tian, J. Three-Dimensional Structures of Internal Solitary Waves in the Northern South China Sea Revealed by Mooring Array Observations. Prog. Oceanogr. 2022, 209, 102907. [Google Scholar] [CrossRef]
- Zhang, X.; Huang, X.; Yang, Y.; Zhao, W.; Wang, H.; Yuan, C.; Tian, J. Energy Cascade from Internal Solitary Waves to Turbulence via near N-Waves in the Northern South China Sea. J. Phys. Oceanogr. 2023. [Google Scholar] [CrossRef]
- Koohestani, K.; Stepanyants, Y.; Allahdadi, M.N. Analysis of Internal Solitary Waves in the Gulf of Oman and Sources Responsible for Their Generation. Water 2023, 15, 746. [Google Scholar] [CrossRef]
- Purwandana, A.; Cuypers, Y.; Bouruet-Aubertot, P. Observation of Internal Tides, Nonlinear Internal Waves and Mixing in the Lombok Strait, Indonesia. Cont. Shelf Res. 2021, 216, 104358. [Google Scholar] [CrossRef]
- Karang, I.; Chonnaniyah; Osawa, T. Landsat 8 Observation of the Internal Solitary Waves in the Lombok Strait. Indones. J. Geogr. 2019, 51, 251–260. [Google Scholar] [CrossRef]
- Jackson, C. Internal Wave Detection Using the Moderate Resolution Imaging Spectroradiometer (MODIS). J. Geophys. Res. Ocean. 2007, 112, C11012. [Google Scholar] [CrossRef]
- Ermakov, S.A.; da Silva, J.C.B.; Robinson, I.S. Role of Surface Films in ERS SAR Signatures of Internal Waves on the Shelf: 2. Internal Tidal Waves. J. Geophys. Res. Ocean. 1998, 103, 8033–8043. [Google Scholar] [CrossRef]
- Wang, C.; Wang, X.; Da Silva, J.C.B. Studies of Internal Waves in the Strait of Georgia Based on Remote Sensing Images. Remote Sens. 2019, 11, 96. [Google Scholar] [CrossRef]
- Gong, Y.; Song, H.; Zhao, Z.; Guan, Y.; Kuang, Y. On the Vertical Structure of Internal Solitary Waves in the Northeastern South China Sea. Deep Sea Res. Part I Oceanogr. Res. Pap. 2021, 173, 103550. [Google Scholar] [CrossRef]
- Xu, X.; Wang, J.; Meng, X.; Wen, X. Internal Wave Parameter Inversion Based on Empirical Mode Decomposition. J. China Univ. Posts Telecommun. 2014, 21, 87–93. [Google Scholar] [CrossRef]
- Huang, N.E.; Shen, Z.; Long, S.R.; Wu, M.C.; Shih, H.H.; Zheng, Q.; Yen, N.-C.; Tung, C.C.; Liu, H.H. The Empirical Mode Decomposition and the Hilbert Spectrum for Nonlinear and Non-Stationary Time Series Analysis. Proc. R. Soc. London. Ser. A Math. Phys. Eng. Sci. 1998, 454, 903–995. [Google Scholar] [CrossRef]
- Huang, N.E.; Shen, Z.; Long, S.R. A New View of Nonlinear Water Waves: The Hilbert Spectrum. Annu. Rev. Fluid Mech. 1999, 31, 417–457. [Google Scholar] [CrossRef]
- Benjamin, T.B. Internal Waves of Permanent Form in Fluids of Great Depth. J. Fluid Mech. 1967, 29, 559–592. [Google Scholar] [CrossRef]
- Joseph, R.I. Solitary Waves in a Finite Depth Fluid. J. Phys. A Math. Gen. 1977, 10, L225. [Google Scholar] [CrossRef]
- Benjamin, T.B. Internal Waves of Finite Amplitude and Permanent Form. J. Fluid Mech. 1966, 25, 241–270. [Google Scholar] [CrossRef]
- Jia, T.; Liang, J.; Li, X.-M.; Fan, K. Retrieval of Internal Solitary Wave Amplitude in Shallow Water by Tandem Spaceborne SAR. Remote Sens. 2019, 11, 1706. [Google Scholar] [CrossRef]
- Small, J.; Hallock, Z.; Pavey, G.; Scott, J. Observations of Large Amplitude Internal Waves at the Malin Shelf Edge during SESAME 1995. Cont. Shelf Res. 1999, 19, 1389–1436. [Google Scholar] [CrossRef]
- Ostrovsky, L.A.; Stepanyants, Y.A. Do Internal Solitions Exist in the Ocean? Rev. Geophys. 1989, 27, 293. [Google Scholar] [CrossRef]
- Kang, D.; Fringer, O. On the Calculation of Available Potential Energy in Internal Wave Fields. J. Phys. Oceanogr. 2010, 40, 2539–2545. [Google Scholar] [CrossRef]
- Kozlov, I.E.; Atadzhanova, O.A.; Zimin, A.V. Internal Solitary Waves in the White Sea: Hot-Spots, Structure, and Kinematics from Multi-Sensor Observations. Remote Sens. 2022, 14, 4948. [Google Scholar] [CrossRef]
- Brandt, P.; Romeiser, R.; Rubino, A. On the Determination of Characteristics of the Interior Ocean Dynamics from Radar Signatures of Internal Solitary Waves. J. Geophys. Res. Ocean. 1999, 104, 30039. [Google Scholar] [CrossRef]
- Fliegel, M.; Hunkins, K. Internal Wave Dispersion Calculated Using the Thomson-Haskell Method. J. Phys. Oceanogr. 1975, 5, 541–548. [Google Scholar] [CrossRef]











| Name of ISWs | Reconstruction Method | L/m | α | β | c/(m/s) | V/(m/s) | η0/m |
|---|---|---|---|---|---|---|---|
| ISW0729 | Two-Layer Liquid | 1076 | −7.4 × 10−3 | 2.31 × 104 | 2.21 | 2.29 | 32.4 |
| Continuously Stratified Liquid | 1076 | −1.26 × 10−2 | 2.46 × 104 | 2.04 | 2.13 | 20.2 | |
| Mooring Data | / | / | / | / | 1.92 | 15.7 | |
| ISW0424 | Two-Layer Liquid | 205 | 5.9 × 10−3 | 275.77 | 0.56 | 0.59 | 18.4 |
| Continuously Stratified Liquid | 205 | 7.8 × 10−3 | 302.50 | 0.52 | 0.56 | 15.3 | |
| Mooring Data | / | / | / | / | 0.47 | 11.1 |
Disclaimer/Publisher’s Note: The statements, opinions and data contained in all publications are solely those of the individual author(s) and contributor(s) and not of MDPI and/or the editor(s). MDPI and/or the editor(s) disclaim responsibility for any injury to people or property resulting from any ideas, methods, instructions or products referred to in the content. |
© 2023 by the authors. Licensee MDPI, Basel, Switzerland. This article is an open access article distributed under the terms and conditions of the Creative Commons Attribution (CC BY) license (https://creativecommons.org/licenses/by/4.0/).
Share and Cite
Zhang, Y.; Hong, M.; Zhang, Y.; Zhang, X.; Cai, J.; Xu, T.; Guo, Z. Characteristics of Internal Solitary Waves in the Timor Sea Observed by SAR Satellite. Remote Sens. 2023, 15, 2878. https://doi.org/10.3390/rs15112878
Zhang Y, Hong M, Zhang Y, Zhang X, Cai J, Xu T, Guo Z. Characteristics of Internal Solitary Waves in the Timor Sea Observed by SAR Satellite. Remote Sensing. 2023; 15(11):2878. https://doi.org/10.3390/rs15112878
Chicago/Turabian StyleZhang, Yunxiang, Mei Hong, Yongchui Zhang, Xiaojiang Zhang, Jiehua Cai, Tengfei Xu, and Zilong Guo. 2023. "Characteristics of Internal Solitary Waves in the Timor Sea Observed by SAR Satellite" Remote Sensing 15, no. 11: 2878. https://doi.org/10.3390/rs15112878
APA StyleZhang, Y., Hong, M., Zhang, Y., Zhang, X., Cai, J., Xu, T., & Guo, Z. (2023). Characteristics of Internal Solitary Waves in the Timor Sea Observed by SAR Satellite. Remote Sensing, 15(11), 2878. https://doi.org/10.3390/rs15112878

