Comparison of Machine Learning Methods for Predicting Soil Total Nitrogen Content Using Landsat-8, Sentinel-1, and Sentinel-2 Images
Abstract
1. Introduction
2. Materials and Methods
2.1. Study Area
2.2. Satellite Imagery and Processing
2.3. Soil Sampling and Analysis
2.4. Predictive Models
2.4.1. Random Forest
2.4.2. Gradient Boosting Machine
- Compute residuals:
- b.
- Fit a decision tree to the residuals.
- c.
- Compute multiplier :
- d.
- Update the model:
2.4.3. Extreme Gradient Boosting
2.5. Recursive Feature Elimination
2.6. Model Validation
3. Results
3.1. Model Evaluation and Comparison
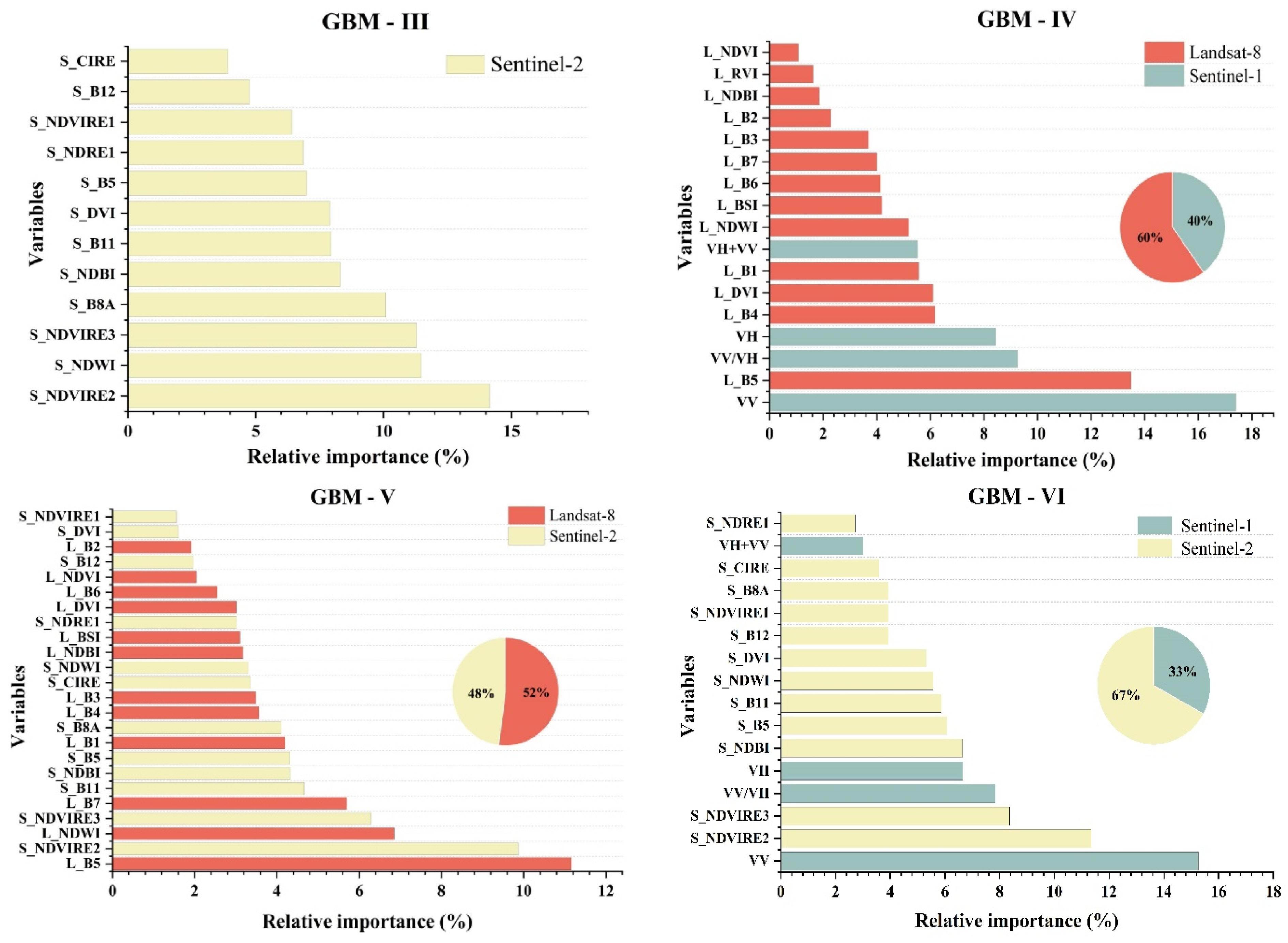
3.2. Relative Importance of Variables
3.3. Spatial Distribution Pattern of STN Content
4. Discussion
4.1. Accuracy and Influencing Factors of STN Content Prediction Models
4.2. Relative Importance of Variables
4.3. Spatial Distribution of STN Content
5. Conclusions
- The application of SAR and optical images proved useful for predicting STN content, and their combination showed enhanced model accuracy. The RF, GBM, and XGBoost methods demonstrated maximum improvements of 16%, 36%, and 45%, respectively;
- The XGBoost method had higher accuracy than the RF and GBM methods. The optimal model was built using the XGBoost method, with an R2 of 0.627, RMSE of 0.127 g·kg−1, and an MAE of 0.092 g·kg−1;
- Optical imagery is more helpful than SAR imagery in predicting STN content. In the models established by the RF and XGBoost methods, Landsat-8 had the highest relative importance (63% and 44%, respectively), followed by Sentinel-2 (24% and 33%, respectively). In the model established by the GBM method, the importance of Landsat-8 and Sentinel-2 was similar but higher than that of Sentinel-1;
- The STN content predicted by the three models has a certain degree of similarity for spatial distribution. The predicted range of STN content is from 0 to 2.01 g·kg−1. These maps showed significant spatial variability. The STN content is high in the densely forested areas in the north and low in the paddy wetlands in the southeast.
Author Contributions
Funding
Data Availability Statement
Acknowledgments
Conflicts of Interest
Appendix A






References
- Wang, Y.; Zhang, X.; Huang, C. Spatial variability of soil total nitrogen and soil total phosphorus under different land uses in a small watershed on the Loess Plateau, China. Geoderma 2009, 150, 141–149. [Google Scholar] [CrossRef]
- Zhang, Y.; Li, M.; Zheng, L.; Qin, Q.; Lee, W.S. Spectral features extraction for estimation of soil total nitrogen content based on modified ant colony optimization algorithm. Geoderma 2019, 333, 23–34. [Google Scholar] [CrossRef]
- Sarker, S.; Veremyev, A.; Boginski, V.; Singh, A. Critical Nodes in River Networks. Sci. Rep. 2019, 9, 11178. [Google Scholar] [CrossRef]
- Batjes, N.H. Total carbon and nitrogen in the soils of the world. Eur. J. Soil Sci. 1996, 47, 151–163. [Google Scholar] [CrossRef]
- Mao, D.; Luo, L.; Wang, Z.; Wilson, M.C.; Zeng, Y.; Wu, B.; Wu, J. Conversions between natural wetlands and farmland in China: A multiscale geospatial analysis. Sci. Total Environ. 2018, 634, 550–560. [Google Scholar] [CrossRef] [PubMed]
- Gao, Y.; Sarker, S.; Sarker, T.; Leta, O.T. Analyzing the critical locations in response of constructed and planned dams on the Mekong River Basin for environmental integrity. Environ. Res. Commun. 2022, 4, 101001. [Google Scholar] [CrossRef]
- Yang, L.; Luo, P.; Wen, L.; Li, D. Soil organic carbon accumulation during post-agricultural succession in a karst area, southwest China. Sci. Rep. 2016, 6, 37118. [Google Scholar] [CrossRef] [PubMed]
- Yang, R.; Zhang, G.; Yang, F.; Yang, Y.; Yang, D. Comparison of boosted regression tree and random forest models for mapping topsoil organic carbon concentration in an alpine ecosystem. Ecol. Indic. 2016, 60, 870–878. [Google Scholar] [CrossRef]
- Jeong, G.; Oeverdieck, H.; Park, S.J.; Huwe, B.; Ließ, M. Spatial soil nutrients prediction using three supervised learning methods for assessment of land potentials in complex terrain. Catena 2017, 154, 73–84. [Google Scholar] [CrossRef]
- Minasny, B.; McBratney, A.B. Digital soil mapping: A brief history and some lessons. Geoderma 2016, 264, 301–311. [Google Scholar] [CrossRef]
- Forkuor, G.; Hounkpatin, O.K.L.; Welp, G.; Thiel, M. High Resolution Mapping of Soil Properties Using Remote Sensing Variables in South-Western Burkina Faso: A Comparison of Machine Learning and Multiple Linear Regression Models. PLoS ONE 2017, 12, e0170478. [Google Scholar] [CrossRef] [PubMed]
- Bhattarai, N.; Quackenbush, L.J.; Dougherty, M.; Marzen, L.J. A simple Landsat–MODIS fusion approach for monitoring seasonal evapotranspiration at 30 m spatial resolution. Int. J. Remote Sens. 2015, 36, 115–143. [Google Scholar] [CrossRef]
- Siqueira, R.G.; Moquedace, C.M.; Francelino, M.R.; Schaefer, C.E.G.R.; Fernandes-Filho, E.I. Machine learning applied for Antarctic soil mapping: Spatial prediction of soil texture for Maritime Antarctica and Northern Antarctic Peninsula. Geoderma 2023, 432, 116405. [Google Scholar] [CrossRef]
- Zhou, T.; Geng, Y.; Ji, C.; Xu, X.; Wang, H.; Pan, J.; Bumberger, J.; Haase, D.; Lausch, A. Prediction of soil organic carbon and the C:N ratio on a national scale using machine learning and satellite data: A comparison between Sentinel-2, Sentinel-3 and Landsat-8 images. Sci. Total Environ. 2020, 755, 142661. [Google Scholar] [CrossRef] [PubMed]
- Xu, Y.; Li, B.; Shen, X.; Li, K.; Cao, X.; Cui, G.; Yao, Z. Digital soil mapping of soil total nitrogen based on Landsat 8, Sentinel 2, and WorldView-2 images in smallholder farms in Yellow River Basin, China. Environ. Monit. Assess. 2022, 194, 282. [Google Scholar] [CrossRef] [PubMed]
- Poggio, L.; Gimona, A. Assimilation of optical and radar remote sensing data in 3D mapping of soil properties over large areas. Sci. Total Environ. 2017, 579, 1094–1110. [Google Scholar] [CrossRef]
- Kamran, A.; Younes, G.; Shamsollah, A.; Samaneh, T. Integration of Sentinel-1/2 and topographic attributes to predict the spatial distribution of soil texture fractions in some agricultural soils of western Iran. Soil Tillage Res. 2023, 229, 105681. [Google Scholar]
- Yang, R.; Guo, W. Using time-series Sentinel-1 data for soil prediction on invaded coastal wetlands. Environ. Monit. Assess. 2019, 191, 462. [Google Scholar] [CrossRef]
- Zare, S.; Fallah, S.S.R.; Abtahi, S.A. Weakly-coupled geo-statistical mapping of soil salinity to Stepwise Multiple Linear Regression of MODIS spectral image products. J. Afr. Earth Sci. 2019, 152, 101–114. [Google Scholar] [CrossRef]
- Xu, S.; Wang, M.; Shi, X.; Yu, Q.; Zhang, Z. Integrating hyperspectral imaging with machine learning techniques for the high-resolution mapping of soil nitrogen fractions in soil profiles. Sci. Total Environ. 2021, 754, 142135. [Google Scholar] [CrossRef]
- Karunaratne, S.B.; Bishop, T.F.A.; Baldock, J.A.; Odeh, I.O.A. Catchment scale mapping of measureable soil organic carbon fractions. Geoderma 2014, 219–220, 14–23. [Google Scholar] [CrossRef]
- Xu, Y.; Smith, S.E.; Grunwald, S.; Abd-Elrahman, A.; Wani, S.P.; Nair, V.D. Estimating soil total nitrogen in smallholder farm settings using remote sensing spectral indices and regression kriging. Catena 2018, 163, 111–122. [Google Scholar] [CrossRef]
- Westhuizen, S.v.d.; Heuvelink, G.B.M.; Hofmeyr, D.P. Multivariate random forest for digital soil mapping. Geoderma 2023, 431, 116365. [Google Scholar] [CrossRef]
- Gomes, L.C.; Faria, R.M.; Souza, E.d.; Veloso, G.V.; Schaefer, C.E.G.R.; Filho, E.I.F. Modelling and mapping soil organic carbon stocks in Brazil. Geoderma 2019, 340, 337–350. [Google Scholar] [CrossRef]
- Wang, S.; Adhikari, K.; Wang, Q.; Jin, X.; Li, H. Role of environmental variables in the spatial distribution of soil carbon (C), nitrogen (N), and C:N ratio from the northeastern coastal agroecosystems in China. Ecol. Indic. 2018, 84, 263–272. [Google Scholar] [CrossRef]
- Zhang, X.; Xue, J.; Chen, S.; Wang, N.; Shi, Z.; Huang, Y.; Zhuo, Z. Digital Mapping of Soil Organic Carbon with Machine Learning in Dryland of Northeast and North Plain China. Remote Sens. 2022, 14, 2504. [Google Scholar] [CrossRef]
- Pham, T.D.; Yokoya, N.; Nguyen, T.T.T.; Le, N.N.; Ha, N.T.; Xia, J.; Takeuchi, W.; Pham, T.D. Improvement of Mangrove Soil Carbon Stocks Estimation in North Vietnam Using Sentinel-2 Data and Machine Learning Approach. GIScience Remote Sens. 2021, 58, 68–87. [Google Scholar] [CrossRef]
- Yang, J.; Fan, J.; Lan, Z.; Mu, X.; Wu, Y.; Xin, Z.; Miping, P.; Zhao, G. Improved Surface Soil Organic Carbon Mapping of SoilGrids250m Using Sentinel-2 Spectral Images in the Qinghai–Tibetan Plateau. Remote Sens. 2023, 15, 114. [Google Scholar] [CrossRef]
- Lan, J.; Hu, N.; Fu, W. Soil carbon–nitrogen coupled accumulation following the natural vegetation restoration of abandoned farmlands in a karst rocky desertification region. Ecol. Eng. 2020, 158, 106033. [Google Scholar] [CrossRef]
- Bhunia, G.S.; Shit, P.K.; Pourghasemi, H.R. Soil organic carbon mapping using remote sensing techniques and multivariate regression model. Geocarto Int. 2019, 34, 215–226. [Google Scholar] [CrossRef]
- John, K.; Isong, I.A.; Kebonye, N.M.; Ayito, E.O.; Agyeman, P.C.; Afu, S.M. Using Machine Learning Algorithms to Estimate Soil Organic Carbon Variability with Environmental Variables and Soil Nutrient Indicators in an Alluvial Soil. Land 2020, 9, 487. [Google Scholar] [CrossRef]
- Wang, M.; Mao, D.; Xiao, X.; Song, K.; Jia, M.; Ren, C.; Wang, Z. Interannual changes of coastal aquaculture ponds in China at 10-m spatial resolution during 2016–2021. Remote Sens. Environ. 2023, 284, 113347. [Google Scholar] [CrossRef]
- Xu, Y.; Wang, X.; Bai, J.; Wang, D.; Wang, W.; Guan, Y. Estimating the spatial distribution of soil total nitrogen and available potassium in coastal wetland soils in the Yellow River Delta by incorporating multi-source data. Ecol. Indic. 2020, 111, 106002. [Google Scholar] [CrossRef]
- Liu, Y.; Qian, J.; Yue, H. Comprehensive Evaluation of Sentinel-2 Red Edge and Shortwave-Infrared Bands to Estimate Soil Moisture. IEEE J. Sel. Top. Appl. Earth Obs. Remote Sens. 2021, 14, 7448–7465. [Google Scholar] [CrossRef]
- Nabiollahi, K.; Taghizadeh-Mehrjardi, R.; Shahabi, A.; Heung, B.; Scholten, T. Assessing agricultural salt-affected land using digital soil mapping and hybridized random forests. Geoderma 2021, 385, 114858. [Google Scholar] [CrossRef]
- Taghizadeh-Mehrjardi, R.; Schmidt, K.; Amirian-Chakan, A.; Rentschler, T.; Zeraatpisheh, M.; Sarmadian, F.; Valavi, R.; Davatgar, N.; Behrens, T.; Scholten, T. Improving the Spatial Prediction of Soil Organic Carbon Content in Two Contrasting Climatic Regions by Stacking Machine Learning Models and Rescanning Covariate Space. Remote Sens. 2020, 12, 1095. [Google Scholar] [CrossRef]
- Bremner, J.M. Determination of nitrogen in soil by the Kjeldahl method. J. Agric. Sci. 1960, 55, 11–33. [Google Scholar] [CrossRef]
- Fathololoumi, S.; Vaezi, A.R.; Alavipanah, S.K.; Ghorbani, A.; Biswas, A. Effect of multi-temporal satellite images on soil moisture prediction using a digital soil mapping approach. Geoderma 2021, 385, 114901. [Google Scholar] [CrossRef]
- Song, J.; Gao, J.; Zhang, Y.; Li, F.; Man, W.; Liu, M.; Wang, J.; Li, M.; Zheng, H.; Yang, X.; et al. Estimation of Soil Organic Carbon Content in Coastal Wetlands with Measured VIS-NIR Spectroscopy Using Optimized Support Vector Machines and Random Forests. Remote Sens. 2022, 14, 4372. [Google Scholar] [CrossRef]
- Hamzehpour, N.; Shafizadeh-Moghadam, H.; Valavi, R. Exploring the driving forces and digital mapping of soil organic carbon using remote sensing and soil texture. Catena 2019, 182, 104141. [Google Scholar] [CrossRef]
- Ridgeway, G. gbm: Generalized boosted regression models. R Package Version 2006, 1, 55. [Google Scholar]
- Jia, Y.; Jin, S.; Savi, P.; Gao, Y.; Tang, J.; Chen, Y.; Li, W. GNSS-R Soil Moisture Retrieval Based on a XGboost Machine Learning Aided Method: Performance and Validation. Remote Sens. 2019, 11, 1655. [Google Scholar] [CrossRef]
- Li, Y.; Zeng, H.; Zhang, M.; Wu, B.; Zhao, Y.; Yao, X.; Cheng, T.; Qin, X.; Wu, F. A county-level soybean yield prediction framework coupled with XGBoost and multidimensional feature engineering. Int. J. Appl. Earth Obs. Geoinf. 2023, 118, 103269. [Google Scholar] [CrossRef]
- Kuhn, M.; Johnson, K. Applied Predictive Modeling; Springer: Berlin/Heidelberg, Germany, 2013; Volume 26. [Google Scholar]
- Taghizadeh-Mehrjardi, R.; Nabiollahi, K.; Kerry, R. Digital mapping of soil organic carbon at multiple depths using different data mining techniques in Baneh region, Iran. Geoderma 2016, 266, 98–110. [Google Scholar] [CrossRef]
- Aitkenhead, M.J. Mapping peat in Scotland with remote sensing and site characteristics. Eur. J. Soil Sci. 2017, 68, 28–38. [Google Scholar] [CrossRef]
- Ottoy, S.; Vos, B.D.; Sindayihebura, A.; Hermy, M.; Orshoven, J.V. Assessing soil organic carbon stocks under current and potential forest cover using digital soil mapping and spatial generalisation. Ecol. Indic. 2017, 77, 139–150. [Google Scholar] [CrossRef]
- Zhang, X.; Yang, C.; Liu, H.; Wu, W. Predictions on organic matter and total nitrogen contents in tobacco-growing soil based on machine learning. Tob. Sci. Technol. 2022, 55, 20–27. (In Chinese) [Google Scholar] [CrossRef]
- Ghosh, S.M.; Behera, M.D.; Jagadish, B.; Das, A.K.; Mishra, D.R. A novel approach for estimation of aboveground biomass of a carbon-rich mangrove site in India. J. Environ. Manag. 2021, 292, 112816. [Google Scholar] [CrossRef]
- Wang, S.; Jin, X.; Adhikari, K.; Li, W.; Yu, M.; Bian, Z.; Wang, Q. Mapping total soil nitrogen from a site in northeastern China. Catena 2018, 166, 134–146. [Google Scholar] [CrossRef]
- Salunke, R.; Nobahar, M.; Alzeghoul, O.E.; Khan, S.; La Cour, I.; Amini, F. Near-Surface Soil Moisture Characterization in Mississippi’s Highway Slopes Using Machine Learning Methods and UAV-Captured Infrared and Optical Images. Remote Sens. 2023, 15, 1888. [Google Scholar] [CrossRef]
- Castaldi, F.; Chabrillat, S.; Don, A.; Wesemael, B.v. Soil Organic Carbon Mapping Using LUCAS Topsoil Database and Sentinel-2 Data: An Approach to Reduce Soil Moisture and Crop Residue Effects. Remote Sens. 2019, 11, 2121. [Google Scholar] [CrossRef]
- Zhou, T.; Geng, Y.; Chen, J.; Liu, M.; Haase, D.; Lausch, A. Mapping soil organic carbon content using multi-source remote sensing variables in the Heihe River Basin in China. Ecol. Indic. 2020, 114, 106288. [Google Scholar] [CrossRef]
- Wadoux, A.M.J.-C. Using deep learning for multivariate mapping of soil with quantified uncertainty. Geoderma 2019, 351, 59–70. [Google Scholar] [CrossRef]
- Li, Z.; Liu, F.; Peng, X.; Hu, B.; Song, X. Synergetic use of DEM derivatives, Sentinel-1 and Sentinel-2 data for mapping soil properties of a sloped cropland based on a two-step ensemble learning method. Sci. Total Environ. 2023, 866, 161421. [Google Scholar] [CrossRef] [PubMed]
- Zhou, Y.; Xue, J.; Chen, S.; Zho, Y.; Liang, Z.; Wang, N.; Shi, Z. Fine-Resolution Mapping of Soil Total Nitrogen across China Based on Weighted Model Averaging. Remote Sens. 2020, 12, 85. [Google Scholar] [CrossRef]
- Yang, R.; Guo, W. Modelling of soil organic carbon and bulk density in invaded coastal wetlands using Sentinel-1 imagery. Int. J. Appl. Earth Obs. Geoinf. 2019, 82, 101906. [Google Scholar] [CrossRef]
- Wang, J.; Bai, J.; Zhao, Q.; Lu, Q.; Xia, Z. Five-year changes in soil organic carbon and total nitrogen in coastal wetlands affected by flow-sediment regulation in a Chinese delta. Sci. Rep. 2016, 6, 21137. [Google Scholar] [CrossRef] [PubMed]
- Guo, Y.; Liu, Y.; Xu, M.; Zhang, X. Modeling and analysis of red edge index estimated by leaf area index in road vagetation. Sci. Surv. Mapp. 2021, 46, 93–98. [Google Scholar] [CrossRef]
- Zhou, T.; Geng, Y.; Chen, J.; Pan, J.; Haase, D.; Lausch, A. High-resolution digital mapping of soil organic carbon and soil total nitrogen using DEM derivatives, Sentinel-1 and Sentinel-2 data based on machine learning algorithms. Sci. Total Environ. 2020, 729, 138244. [Google Scholar] [CrossRef] [PubMed]
- Zhang, H.; Wu, P.; Yin, A.; Yang, X.; Zhang, X.; Zhang, M.; Gao, C. Organic carbon and total nitrogen dynamics of reclaimed soils following intensive agricultural use in eastern China. Agric. Ecosyst. Environ. 2016, 235, 193–203. [Google Scholar] [CrossRef]
- Magalhães, T.M.; Mamugy, F.P.S. Fine root biomass and soil properties following the conversion of miombo woodlands to shifting cultivation lands. Catena 2020, 194, 104693. [Google Scholar] [CrossRef]
- Li, X.; Shang, B.; Wang, D.; Wang, Z.; Wen, X.; Kang, Y. Mapping soil organic carbon and total nitrogen in croplands of the Corn Belt of Northeast China based on geographically weighted regression kriging model. Comput. Geosci. 2020, 135, 104392. [Google Scholar] [CrossRef]






| Satellite | Date | Number of Images | Pixel Size (m) | Width of Cloth (km) |
|---|---|---|---|---|
| Landsat-8 | 24 October 2020 | 2 | 30 × 30 | 185 |
| 31 October 2020 | 1 | |||
| Sentinel-1 | 15 September 2020 | 1 | 10 × 10 | 250 |
| 20 September 2020 | 1 | |||
| Sentinel-2 | 16 September 2020 | 3 | 10 × 10 and 20 × 20 | 290 |
| Satellite | Definition | Abbreviation | Formula |
|---|---|---|---|
| Landsat-8 | Coastal band | L_B1 | |
| Blue band | L_B2 | ||
| Green band | L_B3 | ||
| Red band | L_B4 | ||
| Near-infrared band | L_B5 | ||
| Shortwave infrared-1 band | L_B6 | ||
| Shortwave infrared-2 band | L_B7 | ||
| Normalized difference vegetation index | L_NDVI | (L_B5 − L_B4)/L_B5 + L_B4) | |
| Ratio vegetation index | L_RVI | L_B5/L_B4 | |
| Difference vegetation index | L_DVI | L_B5 − L_B4 | |
| Bare soil index | L_BSI | 1 + | |
| Normalized difference built-up index | L_NDBI | ||
| Normalized difference water index | L_NDWI | ||
| Sentinel 1 | VV-polarization of the backscatter coefficients | VV | |
| VH-polarization of the backscatter coefficients | VH | ||
| Polarization combination 1 | VV+VH | ||
| Polarization combination 2 | VV-VH | ||
| Polarization combination 3 | VV/VH | ||
| Sentinel-2 | Blue band | S_B2 | |
| Green band | S_B3 | ||
| Red band | S_B4 | ||
| Vegetation red edge-1 | S_B5 | ||
| Vegetation red edge-2 | S_B6 | ||
| Vegetation red edge-3 | S_B7 | ||
| Near-infrared band | S_B8 | ||
| Narrow near-infrared band | S_B8A | ||
| Shortwave infrared-1 band | S_B11 | ||
| Shortwave infrared-2 band | S_B12 | ||
| Normalized difference vegetation index | S_NDVI | ||
| Ratio vegetation index | S_RVI | ||
| Difference vegetation index | S_DVI | ||
| Bare soil index | S_BSI | 1 + | |
| Normalized difference built-up index | S_NDBI | ||
| Normalized difference water index | S_NDWI | ||
| Chlorophyll index of Red-edge | S_CIRE | ||
| Normalized difference Red-edge 1 | S_NDRE1 | ||
| Normalized difference Red-edge 2 | S_NDRE2 | ||
| Normalized difference vegetation index red-edge 1 | S_NDVIRE1 | ||
| Normalized difference vegetation index red-edge 2 | S_NDVIRE2 | (S_B8-S_B6)/(S_B8+S_B6) | |
| Normalized difference vegetation index red-edge 3 | S_NDVIRE3 | (S_B8-S_B7)/(S_B8+S_B7) |
| Minimum (g·kg−1) | Maximum (g·kg−1) | Mean (g·kg−1) | Median (g·kg−1) | SD (g·kg−1) | CV % | |
|---|---|---|---|---|---|---|
| STN | 0.052 | 2.396 | 0.745 | 0.764 | 0.446 | 59.866 |
| No. | Model | Variables |
|---|---|---|
| 1 | Model I | Landsat-8 predictors |
| 2 | Model II | Sentinel-1 predictors |
| 3 | Model III | Sentinel-2 predictors |
| 4 | Model Ⅳ | Landsat-8 + Sentinel-1 predictors |
| 5 | Model Ⅴ | Landsat-8 + Sentinel-2 predictors |
| 6 | Model Ⅵ | Sentinel-1 + Sentinel-2 predictors |
| 7 | Model Ⅶ | Landsat-8 + Sentinel-1 + Sentinel-2 predictors |
| Modeling Technique | Model | RMSE (g·kg−1) | MAE (g·kg−1) | R2 |
|---|---|---|---|---|
| RF | I | 0.193 | 0.134 | 0.446 |
| II | 0.216 | 0.158 | 0.411 | |
| III | 0.194 | 0.140 | 0.409 | |
| Ⅳ | 0.183 | 0.127 | 0.459 | |
| Ⅴ | 0.181 | 0.125 | 0.463 | |
| Ⅵ | 0.179 | 0.130 | 0.457 | |
| Ⅶ | 0.175 | 0.123 | 0.475 | |
| GBM | I | 0.247 | 0.176 | 0.410 |
| II | 0.277 | 0.208 | 0.391 | |
| III | 0.239 | 0.177 | 0.394 | |
| Ⅳ | 0.210 | 0.154 | 0.479 | |
| Ⅴ | 0.201 | 0.140 | 0.496 | |
| Ⅵ | 0.205 | 0.146 | 0.488 | |
| Ⅶ | 0.184 | 0.130 | 0.533 | |
| XGBoost | I | 0.176 | 0.131 | 0.498 |
| II | 0.226 | 0.171 | 0.431 | |
| III | 0.167 | 0.125 | 0.524 | |
| Ⅳ | 0.160 | 0.121 | 0.545 | |
| Ⅴ | 0.138 | 0.101 | 0.593 | |
| Ⅵ | 0.150 | 0.107 | 0.564 | |
| Ⅶ | 0.127 | 0.092 | 0.627 |
| Method | Minimum (g·kg−1) | Maximum (g·kg−1) | Mean (g·kg−1) | SD (g·kg−1) |
|---|---|---|---|---|
| RF | 0.17 | 1.64 | 0.82 | 0.22 |
| GBM | 0 | 1.87 | 0.84 | 0.26 |
| XGBoost | 0.09 | 2.01 | 0.80 | 0.28 |
Disclaimer/Publisher’s Note: The statements, opinions and data contained in all publications are solely those of the individual author(s) and contributor(s) and not of MDPI and/or the editor(s). MDPI and/or the editor(s) disclaim responsibility for any injury to people or property resulting from any ideas, methods, instructions or products referred to in the content. |
© 2023 by the authors. Licensee MDPI, Basel, Switzerland. This article is an open access article distributed under the terms and conditions of the Creative Commons Attribution (CC BY) license (https://creativecommons.org/licenses/by/4.0/).
Share and Cite
Zhang, Q.; Liu, M.; Zhang, Y.; Mao, D.; Li, F.; Wu, F.; Song, J.; Li, X.; Kou, C.; Li, C.; et al. Comparison of Machine Learning Methods for Predicting Soil Total Nitrogen Content Using Landsat-8, Sentinel-1, and Sentinel-2 Images. Remote Sens. 2023, 15, 2907. https://doi.org/10.3390/rs15112907
Zhang Q, Liu M, Zhang Y, Mao D, Li F, Wu F, Song J, Li X, Kou C, Li C, et al. Comparison of Machine Learning Methods for Predicting Soil Total Nitrogen Content Using Landsat-8, Sentinel-1, and Sentinel-2 Images. Remote Sensing. 2023; 15(11):2907. https://doi.org/10.3390/rs15112907
Chicago/Turabian StyleZhang, Qingwen, Mingyue Liu, Yongbin Zhang, Dehua Mao, Fuping Li, Fenghua Wu, Jingru Song, Xiang Li, Caiyao Kou, Chunjing Li, and et al. 2023. "Comparison of Machine Learning Methods for Predicting Soil Total Nitrogen Content Using Landsat-8, Sentinel-1, and Sentinel-2 Images" Remote Sensing 15, no. 11: 2907. https://doi.org/10.3390/rs15112907
APA StyleZhang, Q., Liu, M., Zhang, Y., Mao, D., Li, F., Wu, F., Song, J., Li, X., Kou, C., Li, C., & Man, W. (2023). Comparison of Machine Learning Methods for Predicting Soil Total Nitrogen Content Using Landsat-8, Sentinel-1, and Sentinel-2 Images. Remote Sensing, 15(11), 2907. https://doi.org/10.3390/rs15112907

