Estimation of Water Quality Parameters through a Combination of Deep Learning and Remote Sensing Techniques in a Lake in Southern Chile
Abstract
:1. Introduction
2. Materials and Methods
2.1. Site Description
2.2. Sample Collection
2.3. Preprocessing of Landsat 8 Satellite Images
2.4. Prediction Using Statistical and Deep Learning Models
2.4.1. SARIMAX
- p represents the order for the Autoregressive part (AR)
- q represents the order for the moving average part (MA)
- I represents the differencing order
- P represents the seasonal AR order
- Q represents the seasonal MA order
- D represents the seasonal differencing
- s represents the seasonal coefficients
2.4.2. Long Short-Term Memory (LSTM)
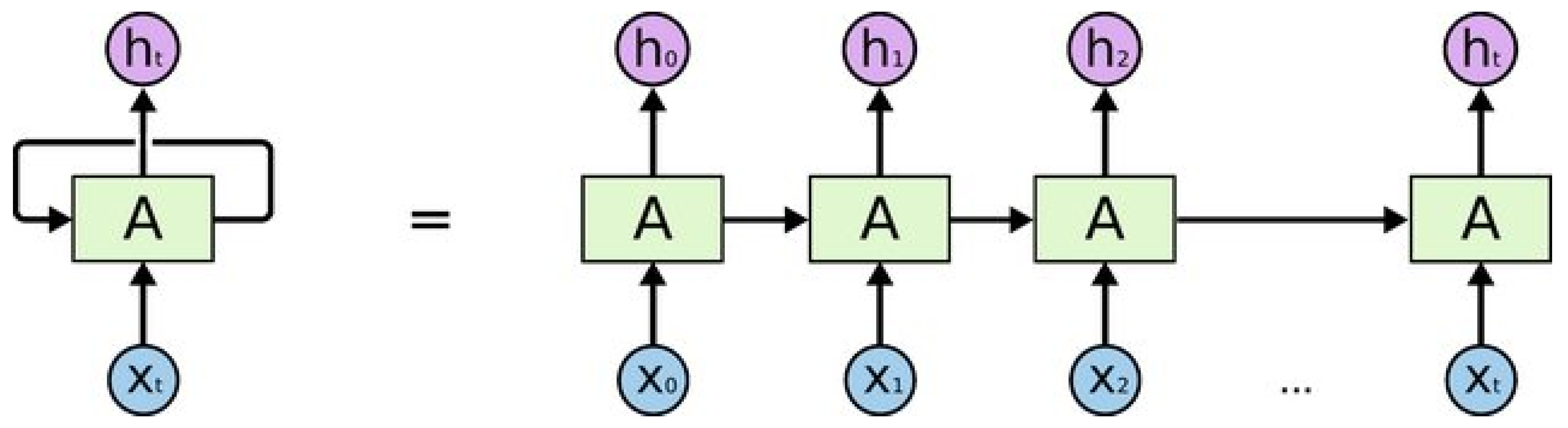
2.4.3. Recurrent Neural Networks (RNN)
- Case A (Measurement Data): In the first case, we included the real variables measured in the monitoring campaigns for the four seasons of the year and in the eight stations of the lake.
- Case B (Measurement and Meteorological Data): In addition to the actual variables, we included meteorological data as conditioning variables that can influence the autochthonous processes of the lake.
- Case C (Measurement, Meteorological Data and Satellite Data): In this case, we include bands and indices from the L-8 satellite image processing.
2.5. Statistical Validation
3. Results
3.1. Limnological Behavior and Meteorological Data
3.2. Results and Validation of Statistical and Deep Learning Models Cases
3.2.1. Case A (Measurement Data)
3.2.2. Case B (Measurement and Meteorological Data)
3.2.3. Case C (Measurement, Meteorological Data and Satellite Data)
3.3. Feature Importance
4. Discussion
5. Conclusions
Supplementary Materials
Author Contributions
Funding
Data Availability Statement
Acknowledgments
Conflicts of Interest
References
- Sheferaw Ayele, H.; Atlabachew, M. Review of Characterization, Factors, Impacts, and Solutions of Lake Eutrophication: Lesson for Lake Tana, Ethiopia. Environ. Sci. Pollut. Res. 2021, 28, 14233–14252. [Google Scholar] [CrossRef] [PubMed]
- El-Sheekh, M.; Abdel-Daim, M.M.; Okba, M.; Gharib, S.; Soliman, A.; El-Kassas, H. Green Technology for Bioremediation of the Eutrophication Phenomenon in Aquatic Ecosystems: A Review. Afr. J. Aquat. Sci. 2021, 46, 274–292. [Google Scholar] [CrossRef]
- Wurtsbaugh, W.A.; Paerl, H.W.; Dodds, W.K. Nutrients, Eutrophication and Harmful Algal Blooms along the Freshwater to Marine Continuum. Wiley Interdiscip. Rev. Water 2019, 6, e1373. [Google Scholar] [CrossRef]
- Mishra, R.K. The Effect of Eutrophication on Drinking Water. Br. J. Multidiscip. Adv. Stud. 2023, 4, 7–20. [Google Scholar] [CrossRef]
- Hakeem, K.R.; Bhat, R.A.; Qadri, H. Bioremediation and Biotechnology: Sustainable Approaches to Pollution Degradation; Springer International Publishing: Berlin/Heidelberg, Germany, 2020; ISBN 9783030356910. [Google Scholar]
- Zhang, Y.; Luo, P.; Zhao, S.; Kang, S.; Wang, P.; Zhou, M.; Lyu, J. Control and Remediation Methods for Eutrophic Lakes in the Past 30 Years. Water Sci. Technol. 2020, 81, 1099–1113. [Google Scholar] [CrossRef] [PubMed]
- Erarto, F.; Getahun, A. Impacts of Introductions of Alien Species with Emphasis on Fishes. Int. J. Fish. Aquat. Stud. 2020, 8, 207–216. [Google Scholar]
- Henriksson, P.J.G.; Troell, M.; Banks, L.K.; Belton, B.; Beveridge, M.C.M.; Klinger, D.H.; Pelletier, N.; Phillips, M.J.; Tran, N. Interventions for Improving the Productivity and Environmental Performance of Global Aquaculture for Future Food Security. One Earth 2021, 4, 1220–1232. [Google Scholar] [CrossRef]
- Kibuye, F.A.; Zamyadi, A.; Wert, E.C. A Critical Review on Operation and Performance of Source Water Control Strategies for Cyanobacterial Blooms: Part II-Mechanical and Biological Control Methods. Harmful Algae 2021, 109, 102119. [Google Scholar] [CrossRef]
- Zhan, Q.; Teurlincx, S.; van Herpen, F.; Raman, N.V.; Lürling, M.; Waajen, G.; de Senerpont Domis, L.N. Towards Climate-Robust Water Quality Management: Testing the Efficacy of Different Eutrophication Control Measures during a Heatwave in an Urban Canal. Sci. Total Environ. 2022, 828, 154421. [Google Scholar] [CrossRef]
- Mandal, R.; Dutta, G. From Photosynthesis to Biosensing: Chlorophyll Proves to Be a Versatile Molecule. Sens. Int. 2020, 1, 100058. [Google Scholar] [CrossRef]
- Sayyed, R.; Uarrotaaeditors, V.G. Secondary Metabolites and Volatiles of PGPR in Plant-Growth Promotion; Springer: Berlin/Heidelberg, Germany, 2022. [Google Scholar]
- Gomes, P.; Valente, T.; Geraldo, D.; Ribeiro, C. Photosynthetic Pigments in Acid Mine Drainage: Seasonal Patterns and Associations with Stressful Abiotic Characteristics. Chemosphere 2020, 239, 124774. [Google Scholar] [CrossRef] [PubMed]
- Wang, X.; Li, Y.; Wei, S.; Pan, L.; Miao, J.; Lin, Y.; Wu, J. Toxicity Evaluation of Butyl Acrylate on the Photosynthetic Pigments, Chlorophyll Fluorescence Parameters, and Oxygen Evolution Activity of Phaeodactylum tricornutum and Platymonas subcordiformis. Environ. Sci. Pollut. Res. 2021, 28, 60954–60967. [Google Scholar] [CrossRef] [PubMed]
- Li, J.; Xiao, X.; Guo, L.; Chen, H.; Feng, M.; Yu, X. A Novel QPCR-Based Method to Quantify Seven Phyla of Common Algae in Freshwater and Its Application in Water Sources. Sci. Total Environ. 2022, 823, 153340. [Google Scholar] [CrossRef] [PubMed]
- Wu, D.; Li, R.; Liu, J.; Khan, N. Monitoring Algal Blooms in Small Lakes Using Drones: A Case Study in Southern Illinois. J. Contemp. Water Res. Educ. 2023, 177, 83–93. [Google Scholar] [CrossRef]
- Jankowski, K.J.; Mejia, F.H.; Blaszczak, J.R.; Holtgrieve, G.W. Aquatic Ecosystem Metabolism as a Tool in Environmental Management. Wiley Interdiscip. Rev. Water 2021, 8, e1521. [Google Scholar] [CrossRef]
- Rodríguez-López, L.; Duran-Llacer, I.; Bravo Alvarez, L.; Lami, A.; Urrutia, R. Recovery of Water Quality and Detection of Algal Blooms in Lake Villarrica through Landsat Satellite Images and Monitoring Data. Remote Sens. 2023, 15, 1929. [Google Scholar] [CrossRef]
- Pei, T.; Xu, J.; Liu, Y.; Huang, X.; Zhang, L.; Dong, W.; Qin, C.; Song, C.; Gong, J.; Zhou, C. GIScience and Remote Sensing in Natural Resource and Environmental Research: Status Quo and Future Perspectives. Geogr. Sustain. 2021, 2, 207–215. [Google Scholar] [CrossRef]
- Katkani, D.; Babbar, A.; Mishra, V.K.; Trivedi, A.; Tiwari, S.; Kumawat, R.K. A Review on Applications and Utility of Remote Sensing and Geographic Information Systems in Agriculture and Natural Resource Management. Int. J. Environ. Clim. Chang. 2022, 12, 1–18. [Google Scholar] [CrossRef]
- Khruschev, S.S.; Plyusnina, T.Y.; Antal, T.K.; Pogosyan, S.I.; Riznichenko, G.Y.; Rubin, A.B. Machine Learning Methods for Assessing Photosynthetic Activity: Environmental Monitoring Applications. Biophys. Rev. 2022, 14, 821–842. [Google Scholar] [CrossRef]
- Stramski, D.; Joshi, I.; Reynolds, R.A. Ocean Color Algorithms to Estimate the Concentration of Particulate Organic Carbon in Surface Waters of the Global Ocean in Support of a Long-Term Data Record from Multiple Satellite Missions. Remote Sens. Environ. 2022, 269, 112776. [Google Scholar] [CrossRef]
- Wang, W.; Shi, K.; Zhang, Y.; Li, N.; Sun, X.; Zhang, D.; Zhang, Y.; Qin, B.; Zhu, G. A Ground-Based Remote Sensing System for High-Frequency and Real-Time Monitoring of Phytoplankton Blooms. J. Hazard. Mater. 2022, 439, 129623. [Google Scholar] [CrossRef] [PubMed]
- Xu, D.; Pu, Y.; Zhu, M.; Luan, Z.; Shi, K. Automatic Detection of Algal Blooms Using Sentinel-2 MSI and Landsat OLI Images. IEEE J. Sel. Top. Appl. Earth Obs. Remote Sens. 2021, 14, 8497–8511. [Google Scholar] [CrossRef]
- Dwivedi, Y.K.; Hughes, L.; Ismagilova, E.; Aarts, G.; Coombs, C.; Crick, T.; Duan, Y.; Dwivedi, R.; Edwards, J.; Eirug, A.; et al. Artificial Intelligence (AI): Multidisciplinary Perspectives on Emerging Challenges, Opportunities, and Agenda for Research, Practice and Policy. Int. J. Inf. Manag. 2021, 57, 101994. [Google Scholar] [CrossRef]
- Kim, J.H.; Shin, J.K.; Lee, H.; Lee, D.H.; Kang, J.H.; Cho, K.H.; Lee, Y.G.; Chon, K.; Baek, S.S.; Park, Y. Improving the Performance of Machine Learning Models for Early Warning of Harmful Algal Blooms Using an Adaptive Synthetic Sampling Method. Water Res. 2021, 207, 117821. [Google Scholar] [CrossRef]
- Li, H.; Qin, C.; He, W.; Sun, F.; Du, P. Improved Predictive Performance of Cyanobacterial Blooms Using a Hybrid Statistical and Deep-Learning Method. Environ. Res. Lett. 2021, 16, 124045. [Google Scholar] [CrossRef]
- Cao, H.; Han, L.; Li, L. A Deep Learning Method for Cyanobacterial Harmful Algae Blooms Prediction in Taihu Lake, China. Harmful Algae 2022, 113, 102189. [Google Scholar] [CrossRef]
- Guan, Q.; Feng, L.; Hou, X.; Schurgers, G.; Zheng, Y.; Tang, J. Eutrophication Changes in Fifty Large Lakes on the Yangtze Plain of China Derived from MERIS and OLCI Observations. Remote Sens. Environ. 2020, 246, 111890. [Google Scholar] [CrossRef]
- Rodríguez-López, L.; González-Rodríguez, L.; Duran-Llacer, I.; Cardenas, R.; Urrutia, R. Spatio-Temporal Analysis of Chlorophyll in Six Araucanian Lakes of Central-South Chile from Landsat Imagery. Ecol. Inform. 2021, 65, 101431. [Google Scholar] [CrossRef]
- Ma, J.; He, F.; Qi, T.; Sun, Z.; Shen, M.; Cao, Z.; Meng, D.; Duan, H.; Luo, J. Thirty-Four-Year Record (1987–2021) of the Spatiotemporal Dynamics of Algal Blooms in Lake Dianchi from Multi-Source Remote Sensing Insights. Remote Sens. 2022, 14, 4000. [Google Scholar] [CrossRef]
- Rolim, S.B.A.; Veettil, B.K.; Vieiro, A.P.; Kessler, A.B.; Gonzatti, C. Remote Sensing for Mapping Algal Blooms in Freshwater Lakes: A Review. Environ. Sci. Pollut. Res. 2023, 30, 19602–19616. [Google Scholar] [CrossRef]
- Norambuena, J.A.; Poblete-Grant, P.; Beltrán, J.F.; De Los Ríos-Escalante, P.; Farías, J.G. Evidence of the Anthropic Impact on a Crustacean Zooplankton Community in Two North Patagonian Lakes. Sustainability 2022, 14, 6052. [Google Scholar] [CrossRef]
- McNamara, K.; Rust, A.C.; Cashman, K.V.; Castruccio, A.; Abarzúa, A.M. Comparison of Lake and Land Tephra Records from the 2015 Eruption of Calbuco Volcano, Chile. Bull. Volcanol. 2019, 81, 10. [Google Scholar] [CrossRef]
- Rodríguez-López, L.; Bustos Usta, D.; Bravo Alvarez, L.; Duran-Llacer, I.; Lami, A.; Martínez-Retureta, R.; Urrutia, R. Machine Learning Algorithms for the Estimation of Water Quality Parameters in Lake Llanquihue in Southern Chile. Water 2023, 15, 1994. [Google Scholar] [CrossRef]
- Segovia, M.J.; Diaz, D.; Slezak, K.; Zuñiga, F. Magnetotelluric Study in the Los Lagos Region (Chile) to Investigate Volcano-Tectonic Processes in the Southern Andes. Earth Planets Space 2021, 73, 5. [Google Scholar] [CrossRef]
- DMC. Dirección Meteorológica de Chile. 2023. Available online: https://climatologia.meteochile.gob.cl/ (accessed on 10 March 2023).
- Arismendi, I.; Nahuelhual, L. Non-Native Salmon and Trout Recreational Fishing in Lake Llanquihue, Southern Chile: Economic Benefits and Management Implications. Rev. Fish. Sci. 2007, 15, 311–325. [Google Scholar] [CrossRef]
- Wulder, M.A.; Loveland, T.R.; Roy, D.P.; Crawford, C.J.; Masek, J.G.; Woodcock, C.E.; Allen, R.G.; Anderson, M.C.; Belward, A.S.; Cohen, W.B.; et al. Current Status of Landsat Program, Science, and Applications. Remote Sens. Environ. 2019, 225, 127–147. [Google Scholar] [CrossRef]
- Chatenoux, B.; Richard, J.P.; Small, D.; Roeoesli, C.; Wingate, V.; Poussin, C.; Rodila, D.; Peduzzi, P.; Steinmeier, C.; Ginzler, C.; et al. The Swiss Data Cube, Analysis Ready Data Archive Using Earth Observations of Switzerland. Sci. Data 2021, 8, 295. [Google Scholar] [CrossRef]
- USGS 2019. Landsat 8 Data Users Handbook, Version 5.0 LSDS-1574. 2019. Available online: https://www.Usgs.Gov/Media/Files/Landsat-8-Data-Users-Handbook (accessed on 7 January 2023).
- Ilori, C.O.; Pahlevan, N.; Knudby, A. Analyzing Performances of Different Atmospheric Correction Techniques for Landsat 8: Application for Coastal Remote Sensing. Remote Sens. 2019, 11, 469. [Google Scholar] [CrossRef]
- Vanhellemont, Q.; Ruddick, K. Acolite for Sentinel-2: Aquatic Applications of MSI Imagery. In Proceedings of the 2016 ESA Living Planet Symposium, Prague, Czech Republic, 9–13 May 2016; pp. 9–13. [Google Scholar]
- Vanhellemont, Q.; Ruddick, K. Atmospheric Correction of Metre-Scale Optical Satellite Data for Inland and Coastal Water Applications. Remote Sens. Environ. 2018, 216, 586–597. [Google Scholar] [CrossRef]
- Vanhellemont, Q. Adaptation of the Dark Spectrum Fitting Atmospheric Correction for Aquatic Applications of the Landsat and Sentinel-2 Archives. Remote Sens. Environ. 2019, 225, 175–192. [Google Scholar] [CrossRef]
- Vanhellemont, Q. Sensitivity Analysis of the Dark Spectrum Fitting Atmospheric Correction for Metre- and Decametre-Scale Satellite Imagery Using Autonomous Hyperspectral Radiometry. Opt. Express 2020, 28, 29948. [Google Scholar] [CrossRef] [PubMed]
- Vanhellemont, Q.; Ruddick, K. Turbid Wakes Associated with Offshore Wind Turbines Observed with Landsat 8. Remote Sens. Environ. 2014, 145, 105–115. [Google Scholar] [CrossRef]
- Vanhellemont, Q.; Ruddick, K. Advantages of High Quality SWIR Bands for Ocean Colour Processing: Examples from Landsat-8. Remote Sens. Environ. 2015, 161, 89–106. [Google Scholar] [CrossRef]
- Rodríguez-López, L.; Duran-Llacer, I.; González-Rodríguez, L.; Cardenas, R.; Urrutia, R. Retrieving Water Turbidity in Araucanian Lakes (South-Central Chile) Based on Multispectral Landsat Imagery. Remote Sens. 2021, 13, 3133. [Google Scholar] [CrossRef]
- Rodríguez-López, L.; González-Rodríguez, L.; Duran-Llacer, I.; García, W.; Cardenas, R.; Urrutia, R. Assessment of the Diffuse Attenuation Coefficient of Photosynthetically Active Radiation in a Chilean Lake. Remote Sens. 2022, 14, 4568. [Google Scholar] [CrossRef]
- Parra, M.; Jimenez, J.M.; Lloret, J.; Parra, L. Description of the Processing Technique for the Monitoring of Marine Environments with a Sustainable Approach Using Remote Sensing. In Water, Land, and Forest Susceptibility and Sustainability: Insight Towards Management, Conservation and Ecosystem Services: Volume 2: Science of Sustainable Systems; Elsevier: Amsterdam, The Netherlands, 2023; Volume 2, pp. 165–188. ISBN 9780443158476. [Google Scholar]
- DGA. Ministerio de Obras Públicas Nombre Consultores: Director del Proyecto Profesionales; DGA: Santiago, Chile, 2018. [Google Scholar]
- Smith, B.; Pahlevan, N.; Schalles, J.; Ruberg, S.; Errera, R.; Ma, R.; Giardino, C.; Bresciani, M.; Barbosa, C.; Moore, T.; et al. A Chlorophyll-a Algorithm for Landsat-8 Based on Mixture Density Networks. Front. Remote Sens. 2021, 1, 623678. [Google Scholar] [CrossRef]
- Lobo, F.L.; Costa, M.P.F.; Novo, E.M.L.M. Time-Series Analysis of Landsat-MSS/TM/OLI Images over Amazonian Waters Impacted by Gold Mining Activities. Remote Sens. Environ. 2015, 157, 170–184. [Google Scholar] [CrossRef]
- Pamula, A.S.P.; Gholizadeh, H.; Krzmarzick, M.J.; Mausbach, W.E.; Lampert, D.J. A Remote Sensing Tool for near Real-Time Monitoring of Harmful Algal Blooms and Turbidity in Reservoirs. J. Am. Water Resour. Assoc. 2023, 8, 295. [Google Scholar] [CrossRef]
- Attiah, G.; Kheyrollah Pour, H.; Scott, K.A. Lake Surface Temperature Retrieved from Landsat Satellite Series (1984 to 2021) for the North Slave Region. Earth Syst. Sci. Data 2023, 15, 1329–1355. [Google Scholar] [CrossRef]
- Magrì, S.; Ottaviani, E.; Prampolini, E.; Federici, B.; Besio, G.; Fabiano, B. Application of Machine Learning Techniques to Derive Sea Water Turbidity from Sentinel-2 Imagery. Remote Sens. Appl. 2023, 30, 100951. [Google Scholar] [CrossRef]
- Arias-Rodriguez, L.F.; Tüzün, U.F.; Duan, Z.; Huang, J.; Tuo, Y.; Disse, M. Global Water Quality of Inland Waters with Harmonized Landsat-8 and Sentinel-2 Using Cloud-Computed Machine Learning. Remote Sens. 2023, 15, 1390. [Google Scholar] [CrossRef]
- Sagan, V.; Peterson, K.T.; Maimaitijiang, M.; Sidike, P.; Sloan, J.; Greeling, B.A.; Maalouf, S.; Adams, C. Monitoring Inland Water Quality Using Remote Sensing: Potential and Limitations of Spectral Indices, Bio-Optical Simulations, Machine Learning, and Cloud Computing. Earth Sci. Rev. 2020, 205, 103187. [Google Scholar] [CrossRef]
- Yin, Z.; Li, J.; Zhang, B.; Liu, Y.; Yan, K.; Gao, M.; Xie, Y.; Zhang, F.; Wang, S. Increase in Chlorophyll-a Concentration in Lake Taihu from 1984 to 2021 Based on Landsat Observations. Sci. Total Environ. 2023, 873, 162168. [Google Scholar] [CrossRef] [PubMed]
- Luo, J.; Ni, G.; Zhang, Y.; Wang, K.; Shen, M.; Cao, Z.; Qi, T.; Xiao, Q.; Qiu, Y.; Cai, Y.; et al. A New Technique for Quantifying Algal Bloom, Floating/Emergent and Submerged Vegetation in Eutrophic Shallow Lakes Using Landsat Imagery. Remote Sens. Environ. 2023, 287, 113480. [Google Scholar] [CrossRef]
- Rodríguez-López, L.; Duran-Llacer, I.; González-Rodríguez, L.; Abarca-del-Rio, R.; Cárdenas, R.; Parra, O.; Martínez-Retureta, R.; Urrutia, R. Spectral Analysis Using LANDSAT Images to Monitor the Chlorophyll-a Concentration in Lake Laja in Chile. Ecol. Inform. 2020, 60, 101183. [Google Scholar] [CrossRef]
- Ma, J.; Jin, S.; Li, J.; He, Y.; Shang, W. Spatio-Temporal Variations and Driving Forces of Harmful Algal Blooms in Chaohu Lake: A Multi-Source Remote Sensing Approach. Remote Sens. 2021, 13, 427. [Google Scholar] [CrossRef]
- Hu, C. A Novel Ocean Color Index to Detect Floating Algae in the Global Oceans. Remote Sens. Environ. 2009, 113, 2118–2129. [Google Scholar] [CrossRef]
- Box, G.E. Box 2015; John Wiley & Sons: Hoboken, NJ, USA, 2015. [Google Scholar]
- Korstanje, J. Advanced Forecasting with Python; Apress: New York, NY, USA, 2021. [Google Scholar]
- Dickey, D.A.; Fuller, W.A. Distribution of the Estimators for Autoregressive Time Series With a Unit Root. J. Am. Stat. Assoc. 1979, 74, 427–431. [Google Scholar] [CrossRef]
- Hochreiter, S.; Urgen Schmidhuber, J. Long Short-Term Memory. Neural Comput. 1997, 9, 1735–1780. [Google Scholar] [CrossRef]
- Yu, Y.; Si, X.; Hu, C.; Zhang, J. A Review of Recurrent Neural Networks: Lstm Cells and Network Architectures. Neural Comput. 2019, 31, 1235–1270. [Google Scholar] [CrossRef]
- Rumelhart, D. Learning Representations by Back-Propagating Errors. Nature 1986, 323, 533–536. [Google Scholar] [CrossRef]
- Gers, F.A.; Urgen Schmidhuber, J.; Cummins, F. Learning to Forget: Continual Prediction with LSTM. Neural Comput. 2020, 12, 2451–2471. [Google Scholar] [CrossRef]
- Das, K.; Jiang, J.; Rao, J.N.K. Mean Squared Error of Empirical Predictor. Ann. Statist. 2004, 32, 818–840. [Google Scholar] [CrossRef]
- Maier, A.K.; Syben, C.; Stimpel, B.; Würfl, T.; Hoffmann, M.; Schebesch, F.; Fu, W.; Mill, L.; Kling, L.; Christiansen, S. Learning with Known Operators Reduces Maximum Error Bounds. Nat. Mach. Intell. 2019, 1, 373–380. [Google Scholar] [CrossRef]
- Everitt, B.; Howell, D.C. Encyclopedia of Statistics in Behavioral Science; John Wiley & Sons: Hoboken, NJ, USA, 2005; ISBN 0470860804. [Google Scholar]
- Luetkepohl, H. New Introduction to Multiple Time Series Analysis; Springer: Berlin/Heidelberg, Germany, 2005. [Google Scholar]
- Hyndman, R.J.; Athanasopoulos, G. Forecasting: Principles and Practice; Springer: Berlin/Heidelberg, Germany, 2018. [Google Scholar]
- Garson, G.D. Interpreting Neural-Network Connection Weights. AI Expert 1991, 6, 46–51. [Google Scholar]
- Luíza da Costa, N.; Dias de Lima, M.; Barbosa, R. Evaluation of Feature Selection Methods Based on Artificial Neural Network Weights. Expert Syst. Appl. 2021, 168, 114312. [Google Scholar] [CrossRef]
- Adrian, R.; O’Reilly, C.M.; Zagarese, H.; Baines, S.B.; Hessen, D.O.; Keller, W.; Livingstone, D.M.; Sommaruga, R.; Straile, D.; Van Donk, E.; et al. Lakes as Sentinels of Climate Change. Limnol. Oceanogr. 2009, 54, 2283–2297. [Google Scholar] [CrossRef]
- Ramaraj, M.; Sivakumar, R. Integration of Band Regression Empirical Water Quality (BREWQ) Model with Deep Learning Algorithm in Spatiotemporal Modeling and Prediction of Surface Water Quality Parameters. Model. Earth Syst. Environ. 2023, 9, 3279–3304. [Google Scholar] [CrossRef]
- Zhang, H.; Xue, B.; Wang, G.; Zhang, X.; Zhang, Q. Deep Learning-Based Water Quality Retrieval in an Impounded Lake Using Landsat 8 Imagery: An Application in Dongping Lake. Remote Sens. 2022, 14, 4505. [Google Scholar] [CrossRef]













| Case | LI-1 | LI-2 | LI-3 | LI-4 | LI-5 | LI-6 | LI-7 | LI-8 |
|---|---|---|---|---|---|---|---|---|
| Case A | 238/59 | 77/19 | 238/59 | 92/23 | 238/59 | 80/35 | 332/83 | 67/29 |
| Case B | - | 36/8 | - | 36/10 | - | 36/10 | 36/12 | 36/8 |
| Case C | - | 36/8 | - | 36/10 | - | 36/10 | 36/12 | 36/8 |
| Months | Temperature (°C) | Wind Speed (m/s) | Relative Humidity (%) | Cloud Cover (%) | Accumulated Precipitation (mm) | Photosynthetic Active Radiation (mmol/m2) |
|---|---|---|---|---|---|---|
| January | 16.43 | 3.90 | 62.50 | 0.50 | 60.07 | 63,581.1 |
| February | 18.42 | 3.30 | 75.50 | 0.33 | 47.67 | 56,124.7 |
| March | 17.77 | 2.70 | 65.20 | 0.55 | 75.00 | 33,109.3 |
| April | 14.89 | 3.80 | 89.70 | 0.70 | 121.09 | 19,872.1 |
| May | 12.15 | 4.10 | 76.20 | 0.80 | 184.7 | 15,883.9 |
| June | 9.40 | 3.90 | 71.80 | 1.00 | 239.60 | 11,225.7 |
| July | 8.64 | 4.10 | 78.30 | 0.90 | 205.40 | 10,393.8 |
| August | 12.05 | 2.90 | 73.30 | 0.90 | 207.90 | 17,965.5 |
| September | 13.11 | 2.70 | 76.15 | 0.72 | 110.70 | 30,330.5 |
| October | 14.00 | 4.07 | 62.80 | 0.69 | 105.60 | 42,777.1 |
| November | 14.89 | 3.90 | 66.01 | 0.55 | 80.90 | 54,885.1 |
| December | 15.66 | 4.20 | 92.70 | 0.45 | 57.10 | 62,428.7 |
| Case A | |||||||||
|---|---|---|---|---|---|---|---|---|---|
| Station | Statistic | LI-1 | LI-2 | LI-3 | LI-4 | LI-5 | LI-6 | LI-7 | LI-8 |
| SARIMAX | MSE (μg/L)2 | 0.083 | 0.787 | 0.160 | 0.173 | 0.043 | 0.190 | 0.139 | 0.787 |
| RMSE (μg/L) | 0.288 | 0.887 | 0.400 | 0.415 | 0.206 | 0.436 | 0.372 | 0.887 | |
| MaxError (μg/L) | 0.505 | 1.676 | 0.783 | 0.726 | 0.459 | 0.700 | 0.955 | 1.676 | |
| MAE (μg/L) | 0.244 | 0.660 | 0.350 | 0.324 | 0.159 | 0.366 | 0.322 | 0.660 | |
| R2 | 0.892 | 0.724 | 0.857 | 0.864 | 0.915 | 0.685 | 0.793 | 0.795 | |
| LSTM | MSE (μg/L)2 | 0.014 | 0.260 | 0.029 | 0.166 | 0.020 | 0.101 | 0.039 | 0.098 |
| RMSE (μg/L) | 0.116 | 0.510 | 0.169 | 0.407 | 0.142 | 0.317 | 0.199 | 0.314 | |
| MaxError (μg/L) | 0.194 | 0.730 | 0.389 | 0.625 | 0.244 | 0.563 | 0.423 | 0.552 | |
| MAE (μg/L) | 0.106 | 0.442 | 0.136 | 0.348 | 0.121 | 0.263 | 0.152 | 0.247 | |
| R2 | 0.912 | 0.932 | 0.896 | 0.912 | 0.934 | 0.854 | 0.893 | 0.936 | |
| RNN | MSE (μg/L)2) | 0.056 | 0.045 | 0.046 | 0.066 | 0.0509 | 0.068 | 0.030 | 0.028 |
| RMSE (μg/L) | 0.236 | 0.212 | 0.214 | 0.257 | 0.225 | 0.260 | 0.174 | 0.167 | |
| MaxError (μg/L) | 0.447 | 0.331 | 0.383 | 0.379 | 0.451 | 0.724 | 0.754 | 0.238 | |
| MAE (μg/L) | 0.196 | 0.176 | 0.192 | 0.237 | 0.191 | 0.183 | 0.127 | 0.146 | |
| R2 | 0.901 | 0.915 | 0.876 | 0.893 | 0.926 | 0.827 | 0.843 | 0.648 | |
| Case B | ||||||
|---|---|---|---|---|---|---|
| Station | Statistic | LI-2 | LI-4 | LI-6 | LI-7 | LI-8 |
| SARIMAX | MSE (ug/L)2 | 0.026 | 0.039 | 0.023 | 0.010 | 0.033 |
| RMSE (ug/L) | 0.162 | 0.197 | 0.150 | 0.101 | 0.183 | |
| MaxError (ug/L) | 0.172 | 0.203 | 0.151 | 0.108 | 1.195 | |
| MAE (ug/L) | 0.162 | 0.197 | 0.149 | 0.102 | 0.182 | |
| R2 | 0.795 | 0.781 | 0.797 | 0.776 | 0.812 | |
| LSTM | MSE (ug/L)2 | 0.029 | 0.022 | 0.025 | 0.026 | 0.013 |
| RMSE (ug/L) | 0.172 | 0.149 | 0.159 | 0.150 | 0.112 | |
| MaxError (ug/L) | 0.175 | 0.154 | 0.161 | 0.157 | 0.131 | |
| MAE (ug/L) | 0.172 | 0.149 | 0.159 | 0.150 | 0.111 | |
| R2 | 0.816 | 0.842 | 0.837 | 0.821 | 0.834 | |
| RNN | MSE (ug/L)2 | 0.019 | 0.020 | 0.016 | 0.019 | 0.016 |
| RMSE (ug/L) | 0.141 | 0.141 | 0.129 | 0.139 | 0.125 | |
| MaxError (ug/L) | 0.144 | 0.144 | 0.131 | 0.144 | 0.146 | |
| MAE (ug/L) | 0.140 | 0.141 | 0.129 | 0.139 | 0.124 | |
| R2 | 0.805 | 0.840 | 0.830 | 0.824 | 0.806 | |
| Case C | ||||||
|---|---|---|---|---|---|---|
| SARIMAX | MSE (μg/L)2 | 0.003 | 0.009 | 0.002 | 0.002 | 0.006 |
| RMSE (ug/L) | 0.062 | 0.097 | 0.050 | 0.050 | 0.083 | |
| MaxError (ug/L) | 0.07 | 0.103 | 0.051 | 0.057 | 0.095 | |
| MAE (ug/L) | 0.062 | 0.097 | 0.049 | 0.050 | 0.082 | |
| R2 | 0.804 | 0.807 | 0.812 | 0.832 | 0.796 | |
| LSTM | MSE (μg/L)2 | 0.001 | 0.002 | 0.003 | 0.002 | 0.001 |
| RMSE (ug/L) | 0.072 | 0.049 | 0.060 | 0.040 | 0.018 | |
| MaxError (ug/L) | 0.075 | 0.054 | 0.061 | 0.046 | 0.031 | |
| MAE (ug/L) | 0.072 | 0.049 | 0.059 | 0.040 | 0.015 | |
| R2 | 0.857 | 0.864 | 0.896 | 0.877 | 0.843 | |
| RNN | MSE (μg/L)2 | 0.001 | 0.002 | 0.001 | 0.001 | 0.001 |
| RMSE (ug/L) | 0.041 | 0.041 | 0.029 | 0.019 | 0.018 | |
| MaxError (ug/L) | 0.044 | 0.044 | 0.031 | 0.024 | 0.031 | |
| MAE (ug/L) | 0.045 | 0.041 | 0.029 | 0.019 | 0.015 | |
| R2 | 0.843 | 0.832 | 0.815 | 0.807 | 0.795 | |
Disclaimer/Publisher’s Note: The statements, opinions and data contained in all publications are solely those of the individual author(s) and contributor(s) and not of MDPI and/or the editor(s). MDPI and/or the editor(s) disclaim responsibility for any injury to people or property resulting from any ideas, methods, instructions or products referred to in the content. |
© 2023 by the authors. Licensee MDPI, Basel, Switzerland. This article is an open access article distributed under the terms and conditions of the Creative Commons Attribution (CC BY) license (https://creativecommons.org/licenses/by/4.0/).
Share and Cite
Rodríguez-López, L.; Usta, D.B.; Duran-Llacer, I.; Alvarez, L.B.; Yépez, S.; Bourrel, L.; Frappart, F.; Urrutia, R. Estimation of Water Quality Parameters through a Combination of Deep Learning and Remote Sensing Techniques in a Lake in Southern Chile. Remote Sens. 2023, 15, 4157. https://doi.org/10.3390/rs15174157
Rodríguez-López L, Usta DB, Duran-Llacer I, Alvarez LB, Yépez S, Bourrel L, Frappart F, Urrutia R. Estimation of Water Quality Parameters through a Combination of Deep Learning and Remote Sensing Techniques in a Lake in Southern Chile. Remote Sensing. 2023; 15(17):4157. https://doi.org/10.3390/rs15174157
Chicago/Turabian StyleRodríguez-López, Lien, David Bustos Usta, Iongel Duran-Llacer, Lisandra Bravo Alvarez, Santiago Yépez, Luc Bourrel, Frederic Frappart, and Roberto Urrutia. 2023. "Estimation of Water Quality Parameters through a Combination of Deep Learning and Remote Sensing Techniques in a Lake in Southern Chile" Remote Sensing 15, no. 17: 4157. https://doi.org/10.3390/rs15174157
APA StyleRodríguez-López, L., Usta, D. B., Duran-Llacer, I., Alvarez, L. B., Yépez, S., Bourrel, L., Frappart, F., & Urrutia, R. (2023). Estimation of Water Quality Parameters through a Combination of Deep Learning and Remote Sensing Techniques in a Lake in Southern Chile. Remote Sensing, 15(17), 4157. https://doi.org/10.3390/rs15174157

