Assessing the Applicability of Three Precipitation Products, IMERG, GSMaP, and ERA5, in China over the Last Two Decades
Abstract
:1. Introduction
2. Study Area
3. Data and Methodology
3.1. Data
3.1.1. IMERG
3.1.2. GSMaP
3.1.3. ERA5
3.1.4. Other Data
3.2. Methodology
4. Results
4.1. Time Scale
4.1.1. Annual Time Scale
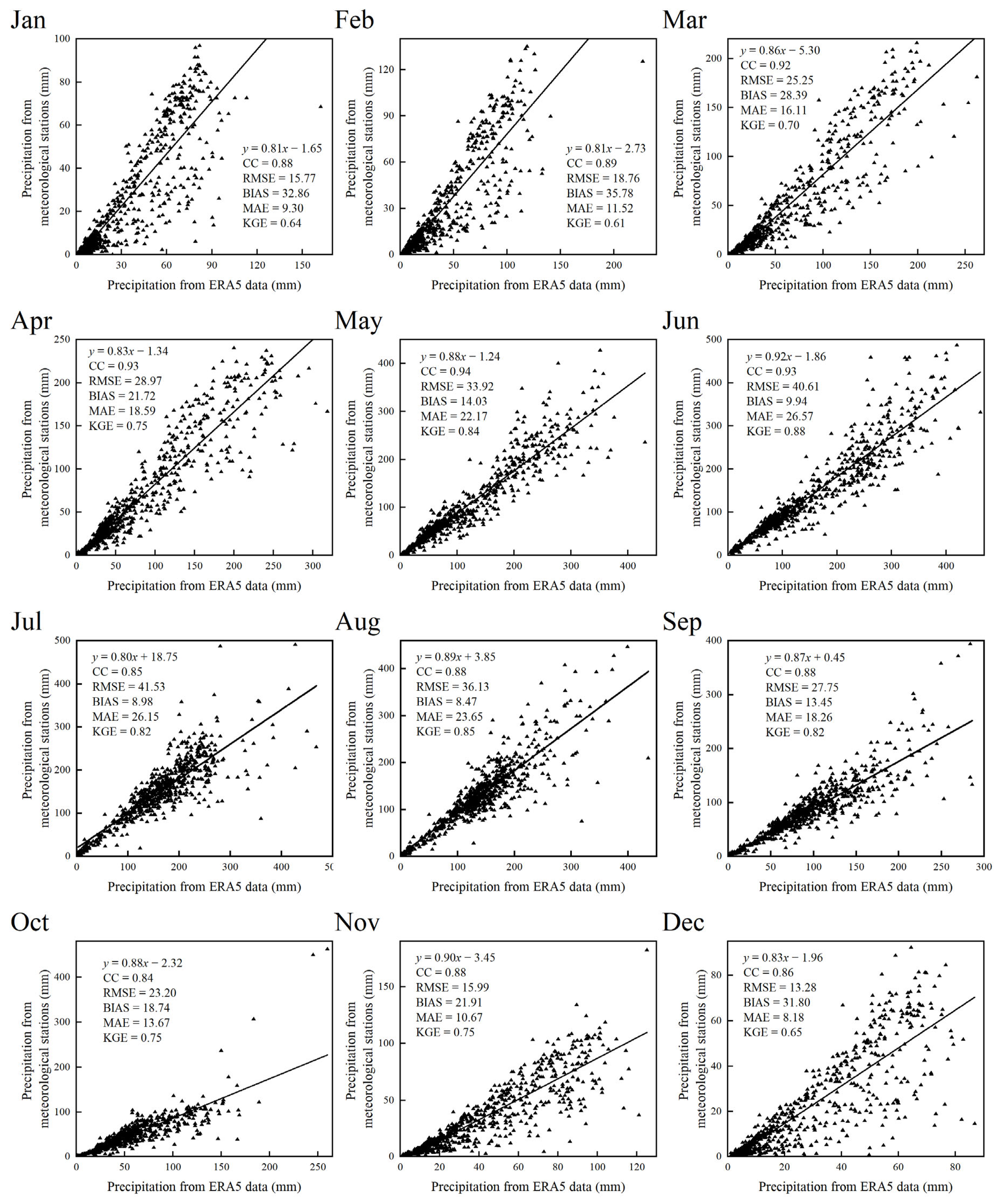
4.1.2. Monthly Time Scale
4.1.3. Daily Time Scale
4.2. Spatial Dimension
4.2.1. Basin Zoning
4.2.2. Agricultural Zoning
4.2.3. Geomorphologic Types
5. Discussion
6. Conclusions
Author Contributions
Funding
Data Availability Statement
Acknowledgments
Conflicts of Interest
Appendix A
| Source Documents | Research Region | Using Datasets | Research Timeline | Number of Stations | Time Dimension | Spatial Dimension |
|---|---|---|---|---|---|---|
| Qin et al. [36] | China | TRMM-3B42, TRMM-3B42RT, CMORPH, GSMaP | 2003–2006 | 2000 | Quarterly, monthly, daily | Administrative zone, topographic zone |
| Shen et al. [37] | China | CMORPH | 2008–2010 (May–September) | 30,000 | Daily, hourly | Northeast and northwest regions |
| Yang and Luo [40] | Northwest China | CMORPH, CMORPH, TRMM(3B42,3B43) | 2003–2010 | 76 | Annual, monthly, daily | Topographic zone |
| Tang et al. [38] | Ganjiang River Basin | TMPA3B42V7, 3B42RT, GPM IMERG | May–September 2014 | 310 | Daily | — |
| Anjum et al. [32] | Tianshan Mountains | IMERG-V06, IMERG-V05, TRMM3B42V7 | June 2014–December 2017 | 37 | Monthly, daily | Whole spatial area, climate zone |
| Chen et al. [44] | China | NCEP-2, CFSR, ERA-Interim, JRA-55, MERRA-2 | 1980–2014 | 817 | Annual, monthly | Eastern and western regions |
| Fang et al. [45] | China | TRMM3B42, IMERG | 2000–2017 | 830 | Annual | Whole spatial area |
| Chen et al. [13] | Global, China | IMERG-L, IMERG-E, GSMaP-N, GSMaP-M, TMPA-RT, PERSIANN-CCS | February 2017–January 2019 | 17,000 (Global), 30,000 (China) | Daily, hourly | Global, China (whole spatial area, climate zone) |
| Gao et al. [33] | Southern China | CMPA, PERSIANN-CCS, ERA5-Land, FY-4A, GSMaP, IMERG | June–August 2019 | 155 | Daily, hourly | Administrative zone |
| Yu et al. [42] | China | CHIRPS, GPM-IMERG, PERSIANN-CCS | 2015–2017 | 553 | Quarterly, monthly | Basin zone, topographic zone |
| Zhang et al. [43] | China | SM2RASC, IMERG | 2012–2017 | 701 | Monthly, daily | Climate zone |
| Tang et al. [49] | China | TRMM 3B42, CMORPH, PERSIANN-CDR, GSMaP, CHIRPS, SM2RAIN, ERA5, ERA-Interim, MERRA2, IMERG | 2000–2018 (daily); Summer 2013–Summer 2015 (hourly) | 2400 (daily); 30,000 (hourly) | Annual, quarterly, monthly, daily | Whole spatial area, Qinghai-Tibet Plateau, Xinjiang region, northeast region |
| Ren et al. [2] | Western China | FY-4A | June–August 2020 | 508 | Hourly | Whole spatial area |
| Lu et al. [35] | Yunnan-Kweichow Plateau | CMPA, FY-4A | June–August 2019 | 323 | Daily, hourly | Whole spatial area |
| Wei et al. [46] | China | IMERG-F, GSMaP-G, TMPA 3B42, CMORPH-CRT, PERSIANN-CDR, CHIRPS, IMERG-E, IMERG-L, GSMaP-RT, TMPA-RT, PERSIANN-RT, ERA5, ERA-Interim, MERRA2, GPCC, CPC, CRU | June 2000–December 2019 | 2400 | Monthly | Climate zone |
| Jiang et al. [50] | China | IMERG-E, IMERG-L, IMERG-F | 2001–2017 | 807 | Monthly, daily | Whole spatial area, climate zone |
| Lilan Zhang et al. [12] | China | IMERG, GSMaP, MERRA, CFSR | 2008–2017 | 2144 | Quarterly, monthly, daily, hourly | Basin zone |
| Shaowei et al. [17] | Eastern China | CHIRPS, MSWEP, CMADS, PERSIANN-CDR, ITPCAS | 2011–2015 | 2400 | Quarterly, monthly, daily | Basin zone |
| Lele Zhang et al. [18] | Tibetan Plateau | AIMERG, CHIRPS, CMFD, ERA5-Land, IMERG, PERSIANN-CCS-CDR | 2003–2015 | 143 | Annual, monthly, daily | Whole spatial area |
| Xu et al. [39] | China | IMERG, GSMaP, ERA5, ERA5-Land | 2016–2019 | 2200 | Annual, monthly, daily, hourly | Climate zone |
| Yin et al. [41] | Northeast Asia | FY-2G, FY-4A, GK-2A | 2020 | 304 | Quarterly, hourly | Administrative zone |
| Lei et al. [47] | China | ERA5 | 1979–2020 | 666 | Annual, monthly, daily | Geomorphologic regionalization |
| Liu [34] | Inner Tibetan Plateau | CHIRPS, CMORPH, GSMaP, IMERG, MSWEP, PERSIANN, TMPA | 2014–2019 | 47 | Annual, quarterly, monthly, daily | Whole spatial area |
| Weng et al. [48] | Xijiang River Basin | IMERG-E, IMERG-L, IMERG- F, GSMaP-G, GSMaP-N, GSMaP-GN | 2009–2018 | 107 | Annual, monthly, daily | — |
References
- Hou, A.Y.; Kakar, R.K.; Neeck, S.; Azarbarzin, A.A.; Kummerow, C.D.; Kojima, M.; Oki, R.; Nakamura, K.; Iguchi, T. The Global Precipitation Measurement Mission. Bull. Am. Meteorol. Soc. 2014, 95, 701–722. [Google Scholar] [CrossRef]
- Ren, J.; Xu, G.; Zhang, W.; Leng, L.; Xiao, Y.; Wan, R.; Wang, J. Evaluation and Improvement of FY-4A AGRI Quantitative Precipitation Estimation for Summer Precipitation over Complex Topography of Western China. Remote Sens. 2021, 13, 4366. [Google Scholar] [CrossRef]
- Kidd, C.; Becker, A.; Huffman, G.J.; Muller, C.L.; Joe, P.; Skofronick-Jackson, G.; Kirschbaum, D.B. So, How Much of the Earth’s Surface Is Covered by Rain Gauges? Bull. Am. Meteorol. Soc. 2017, 98, 69–78. [Google Scholar] [CrossRef] [PubMed]
- Bathelemy, R.; Brigode, P.; Boisson, D.; Tric, E. Rainfall in the Greater and Lesser Antilles: Performance of five gridded datasets on a daily timescale. J. Hydrol. Reg. Stud. 2022, 43, 101203. [Google Scholar] [CrossRef]
- Alsumaiti, T.S.; Hussein, K.; Ghebreyesus, D.T.; Sharif, H.O. Performance of the CMORPH and GPM IMERG Products over the United Arab Emirates. Remote Sens. 2020, 12, 1426. [Google Scholar] [CrossRef]
- Arshad, M.; Ma, X.; Yin, J.; Ullah, W.; Ali, G.; Ullah, S.; Liu, M.; Shahzaman, M.; Ullah, I. Evaluation of GPM-IMERG and TRMM-3B42 precipitation products over Pakistan. Atmos. Res. 2021, 249, 105341. [Google Scholar] [CrossRef]
- Huffman, G.J.; Bolvin, D.T.; Nelkin, E.J.; Wolff, D.B.; Adler, R.F.; Gu, G.; Hong, Y.; Bowman, K.P.; Stocker, E.F. The TRMM Multisatellite Precipitation Analysis (TMPA): Quasi-Global, Multiyear, Combined-Sensor Precipitation Estimates at Fine Scales. J. Hydrometeorol. 2007, 8, 38–55. [Google Scholar] [CrossRef]
- Ning, S.; Zhou, H.-W.; Zhang, Z.-Y.; Bai, S.-B.; Liu, L. Precipitation scale effect of the TRMM satellite in Tianshan, China. J. Mt. Sci. 2023, 20, 1349–1368. [Google Scholar] [CrossRef]
- Ma, Z.; Xu, J.; Zhu, S.; Yang, J.; Tang, G.; Yang, Y.; Shi, Z.; Hong, Y. AIMERG: A new Asian precipitation dataset (0.1°/half-hourly, 2000–2015) by calibrating the GPM-era IMERG at a daily scale using APHRODITE. Earth Syst. Sci. Data 2020, 12, 1525–1544. [Google Scholar] [CrossRef]
- Yatagai, A.; Kamiguchi, K.; Arakawa, O.; Hamada, A.; Yasutomi, N.; Kitoh, A. APHRODITE: Constructing a Long-Term Daily Gridded Precipitation Dataset for Asia Based on a Dense Network of Rain Gauges. Bull. Am. Meteorol. Soc. 2012, 93, 1401–1415. [Google Scholar] [CrossRef]
- Huffman, G.J.; Bolvin, D.T.; Braithwaite, D.; Hsu, K.-L.; Joyce, R.J.; Kidd, C.; Nelkin, E.J.; Sorooshian, S.; Stocker, E.F.; Tan, J.; et al. Integrated Multi-satellite Retrievals for the Global Precipitation Measurement (GPM) Mission (IMERG). In Satellite Precipitation Measurement; Levizzani, V., Kidd, C., Kirschbaum, D.B., Kummerow, C.D., Nakamura, K., Turk, F.J., Eds.; Springer International Publishing: Cham, Switzerland, 2020; Volume 67, pp. 343–353. [Google Scholar]
- Zhang, L.; Chen, X.; Lai, R.; Zhu, Z. Performance of satellite-based and reanalysis precipitation products under multi-temporal scales and extreme weather in mainland China. J. Hydrol. 2022, 605, 127389. [Google Scholar] [CrossRef]
- Chen, H.; Yong, B.; Shen, Y.; Liu, J.; Hong, Y.; Zhang, J. Comparison analysis of six purely satellite-derived global precipitation estimates. J. Hydrol. 2020, 581, 124376. [Google Scholar] [CrossRef]
- Mega, T.; Ushio, T.; Kubota, T.; Kachi, M.; Aonashi, K.; Shige, S. Gauge adjusted global satellite mapping of precipitation (GSMaP_Gauge). In Proceedings of the 2014 XXXIth URSI General Assembly and Scientific Symposium (URSI GASS), Beijing, China, 16–23 August 2014; pp. 1928–1935. [Google Scholar]
- Hersbach, H.; Bell, B.; Berrisford, P.; Hirahara, S.; Horányi, A.; Muñoz-Sabater, J.; Nicolas, J.; Peubey, C.; Radu, R.; Schepers, D.; et al. The ERA5 global reanalysis. Q. J. R. Meteorol. Soc. 2020, 146, 1999–2049. [Google Scholar] [CrossRef]
- Ma, Z.; Xu, J.; Ma, Y.; Zhu, S.; He, K.; Zhang, S.; Ma, W.; Xu, X. AERA5-Asia: A Long-Term Asian Precipitation Dataset (0.1°, 1-hourly, 1951–2015, Asia) Anchoring the ERA5-Land under the Total Volume Control by APHRODITE. Bull. Am. Meteorol. Soc. 2022, 103, E1146–E1171. [Google Scholar] [CrossRef]
- Shaowei, N.; Jie, W.; Juliang, J.; Xiaoyan, X.; Yuliang, Z.; Fan, S.; Linlin, Z. Comprehensive evaluation of satellite-derived precipitation products considering spatial distribution difference of daily precipitation over eastern China. J. Hydrol. Reg. Stud. 2022, 44, 101242. [Google Scholar] [CrossRef]
- Zhang, L.; Gao, L.; Chen, J.; Zhao, L.; Zhao, J.; Qiao, Y.; Shi, J. Comprehensive evaluation of mainstream gridded precipitation datasets in the cold season across the Tibetan Plateau. J. Hydrol. Reg. Stud. 2022, 43, 101186. [Google Scholar] [CrossRef]
- Wang, C.; Tang, G.; Han, Z.; Guo, X.; Hong, Y. Global intercomparison and regional evaluation of GPM IMERG Version-03, Version-04 and its latest Version-05 precipitation products: Similarity, difference and improvements. J. Hydrol. 2018, 564, 342–356. [Google Scholar] [CrossRef]
- Dehaghani, A.M.; Gohari, A.; Zareian, M.J.; Torabi Haghighi, A. A comprehensive evaluation of the satellite precipitation products across Iran. J. Hydrol. Reg. Stud. 2023, 46, 101360. [Google Scholar] [CrossRef]
- Eini, M.R.; Olyaei, M.A.; Kamyab, T.; Teymoori, J.; Brocca, L.; Piniewski, M. Evaluating three non-gauge-corrected satellite precipitation estimates by a regional gauge interpolated dataset over Iran. J. Hydrol. Reg. Stud. 2021, 38, 100942. [Google Scholar] [CrossRef]
- Ullah, W.; Wang, G.; Ali, G.; Tawia Hagan, D.; Bhatti, A.; Lou, D. Comparing Multiple Precipitation Products against in-Situ Observations over Different Climate Regions of Pakistan. Remote Sens. 2019, 11, 628. [Google Scholar] [CrossRef]
- Purnadurga, G.; Kumar, T.V.L.; Rao, K.K.; Barbosa, H.; Mall, R.K. Evaluation of evapotranspiration estimates from observed and reanalysis data sets over Indian region. Int. J. Climatol. 2019, 39, 5791–5800. [Google Scholar] [CrossRef]
- Wehbe, Y.; Ghebreyesus, D.; Temimi, M.; Milewski, A.; Al Mandous, A. Assessment of the consistency among global precipitation products over the United Arab Emirates. J. Hydrol. Reg. Stud. 2017, 12, 122–135. [Google Scholar] [CrossRef]
- Ombadi, M.; Nguyen, P.; Sorooshian, S.; Hsu, K.l. Developing Intensity-Duration-Frequency (IDF) Curves From Satellite-Based Precipitation: Methodology and Evaluation. Water Resour. Res. 2018, 54, 7752–7766. [Google Scholar] [CrossRef]
- Tarek, M.; Brissette, F.P.; Arsenault, R. Evaluation of the ERA5 reanalysis as a potential reference dataset for hydrological modelling over North America. Hydrol. Earth Syst. Sci. 2020, 24, 2527–2544. [Google Scholar] [CrossRef]
- Islam, M.A.; Yu, B.; Cartwright, N. Assessment and comparison of five satellite precipitation products in Australia. J. Hydrol. 2020, 590, 125474. [Google Scholar] [CrossRef]
- Montes, C.; Acharya, N.; Stiller-Reeve, M.A.; Kelley, C.; Hassan, S.M.Q. Interannual variability of monsoon onset and withdrawal in Bangladesh. Atmos. Sci. Lett. 2021, 22, e1069. [Google Scholar] [CrossRef]
- Kourtis, I.M.; Bellos, V.; Zotou, I.; Vangelis, H.; Tsihrintzis, V.A. Point-to-pixel comparison of a satellite and a gauge-based Intensity-Duration-Frequency (IDF) curve: The case of Karditsa, Greece. In Proceedings of the 7th IAHR Europe Congress, Athens, Greece, 7–9 September 2022; pp. 267–268. [Google Scholar]
- Chiaravalloti, F.; Brocca, L.; Procopio, A.; Massari, C.; Gabriele, S. Assessment of GPM and SM2RAIN-ASCAT rainfall products over complex terrain in southern Italy. Atmos. Res. 2018, 206, 64–74. [Google Scholar] [CrossRef]
- Gentilucci, M.; Barbieri, M.; Pambianchi, G. Reliability of the IMERG product through reference rain gauges in Central Italy. Atmos. Res. 2022, 278, 106340. [Google Scholar] [CrossRef]
- Anjum, M.N.; Ahmad, I.; Ding, Y.; Shangguan, D.; Zaman, M.; Ijaz, M.W.; Sarwar, K.; Han, H.; Yang, M. Assessment of IMERG-V06 Precipitation Product over Different Hydro-Climatic Regimes in the Tianshan Mountains, North-Western China. Remote Sens. 2019, 11, 2314. [Google Scholar] [CrossRef]
- Gao, Z.; Huang, B.; Ma, Z.; Chen, X.; Qiu, J.; Liu, D. Comprehensive Comparisons of State-of-the-Art Gridded Precipitation Estimates for Hydrological Applications over Southern China. Remote Sens. 2020, 12, 3997. [Google Scholar] [CrossRef]
- Liu, Z. Accuracy of satellite precipitation products in data-scarce Inner Tibetan Plateau comprehensively evaluated using a novel ground observation network. J. Hydrol. Reg. Stud. 2023, 47, 101405. [Google Scholar] [CrossRef]
- Lu, H.; Huang, Z.; Ding, L.; Lu, T.; Yuan, Y. Calibrating FY4A QPE using CMPA over Yunnan–Kweichow Plateau in summer 2019. Eur. J. Remote Sens. 2021, 54, 476–486. [Google Scholar] [CrossRef]
- Qin, Y.; Chen, Z.; Shen, Y.; Zhang, S.; Shi, R. Evaluation of Satellite Rainfall Estimates over the Chinese Mainland. Remote Sens. 2014, 6, 11649–11672. [Google Scholar] [CrossRef]
- Shen, Y.; Zhao, P.; Pan, Y.; Yu, J. A high spatiotemporal gauge-satellite merged precipitation analysis over China. J. Geophys. Res. Atmos. 2014, 119, 3063–3075. [Google Scholar] [CrossRef]
- Tang, G.; Zeng, Z.; Long, D.; Guo, X.; Yong, B.; Zhang, W.; Hong, Y. Statistical and Hydrological Comparisons between TRMM and GPM Level-3 Products over a Midlatitude Basin: Is Day-1 IMERG a Good Successor for TMPA 3B42V7? J. Hydrometeorol. 2016, 17, 121–137. [Google Scholar] [CrossRef]
- Xu, J.; Ma, Z.; Yan, S.; Peng, J. Do ERA5 and ERA5-land precipitation estimates outperform satellite-based precipitation products? A comprehensive comparison between state-of-the-art model-based and satellite-based precipitation products over mainland China. J. Hydrol. 2022, 605, 127353. [Google Scholar] [CrossRef]
- Yang, Y.; Luo, Y. Evaluating the performance of remote sensing precipitation products CMORPH, PERSIANN, and TMPA, in the arid region of northwest China. Theor. Appl. Climatol. 2014, 118, 429–445. [Google Scholar] [CrossRef]
- Yin, G.; Baik, J.; Park, J. Comprehensive analysis of GEO-KOMPSAT-2A and FengYun satellite-based precipitation estimates across Northeast Asia. GIScience Remote Sens. 2022, 59, 782–800. [Google Scholar] [CrossRef]
- Yu, C.; Hu, D.; Liu, M.; Wang, S.; Di, Y. Spatio-temporal accuracy evaluation of three high-resolution satellite precipitation products in China area. Atmos. Res. 2020, 241, 104952. [Google Scholar] [CrossRef]
- Zhang, L.; Li, X.; Cao, Y.; Nan, Z.; Wang, W.; Ge, Y.; Wang, P.; Yu, W. Evaluation and integration of the top-down and bottom-up satellite precipitation products over mainland China. J. Hydrol. 2020, 581, 124456. [Google Scholar] [CrossRef]
- Chen, S.; Gan, T.Y.; Tan, X.; Shao, D.; Zhu, J. Assessment of CFSR, ERA-Interim, JRA-55, MERRA-2, NCEP-2 reanalysis data for drought analysis over China. Clim. Dyn. 2019, 53, 737–757. [Google Scholar] [CrossRef]
- Fang, J.; Yang, W.; Luan, Y.; Du, J.; Lin, A.; Zhao, L. Evaluation of the TRMM 3B42 and GPM IMERG products for extreme precipitation analysis over China. Atmos. Res. 2019, 223, 24–38. [Google Scholar] [CrossRef]
- Wei, L.; Jiang, S.; Ren, L.; Wang, M.; Zhang, L.; Liu, Y.; Yuan, F.; Yang, X. Evaluation of seventeen satellite-, reanalysis-, and gauge-based precipitation products for drought monitoring across mainland China. Atmos. Res. 2021, 263, 105813. [Google Scholar] [CrossRef]
- Lei, X.; Xu, W.; Chen, S.; Yu, T.; Hu, Z.; Zhang, M.; Jiang, L.; Bao, R.; Guan, X.; Ma, M.; et al. How Well Does the ERA5 Reanalysis Capture the Extreme Climate Events Over China? Part I: Extreme Precipitation. Front. Environ. Sci. 2022, 10, 921658. [Google Scholar] [CrossRef]
- Weng, P.; Tian, Y.; Jiang, Y.; Chen, D.; Kang, J. Assessment of GPM IMERG and GSMaP daily precipitation products and their utility in droughts and floods monitoring across Xijiang River Basin. Atmos. Res. 2023, 286, 10667. [Google Scholar] [CrossRef]
- Tang, G.; Clark, M.P.; Papalexiou, S.M.; Ma, Z.; Hong, Y. Have satellite precipitation products improved over last two decades? A comprehensive comparison of GPM IMERG with nine satellite and reanalysis datasets. Remote Sens. Environ. 2020, 240, 111697. [Google Scholar] [CrossRef]
- Jiang, S.; Wei, L.; Ren, L.; Xu, C.-Y.; Zhong, F.; Wang, M.; Zhang, L.; Yuan, F.; Liu, Y. Utility of integrated IMERG precipitation and GLEAM potential evapotranspiration products for drought monitoring over mainland China. Atmos. Res. 2021, 247, 105141. [Google Scholar] [CrossRef]
- Yong, B.; Chen, B.; Tian, Y.; Yu, Z.; Hong, Y. Error-Component Analysis of TRMM-Based Multi-Satellite Precipitation Estimates over Mainland China. Remote Sens. 2016, 8, 440. [Google Scholar] [CrossRef]
- Zhang, Y.; Long, H.; Chen, S.; Ma, L.; Gan, M. The development of multifunctional agriculture in farming regions of China: Convergence or divergence? Land Use Policy 2023, 127, 106576. [Google Scholar] [CrossRef]
- Xiao, S.; Zou, L.; Xia, J.; Yang, Z.; Yao, T. Bias correction framework for satellite precipitation products using a rain/no rain discriminative model. Sci. Total Environ. 2022, 818, 151679. [Google Scholar] [CrossRef]
- Kummerow, C.D.; Randel, D.L.; Kulie, M.; Wang, N.-Y.; Ferraro, R.; Joseph Munchak, S.; Petkovic, V. The Evolution of the Goddard Profiling Algorithm to a Fully Parametric Scheme. J. Atmos. Ocean. Technol. 2015, 32, 2265–2280. [Google Scholar] [CrossRef]
- Pipunic, R.C.; Ryu, D.; Costelloe, J.F.; Su, C.-H. An evaluation and regional error modeling methodology for near-real-time satellite rainfall data over Australia. J. Geophys. Res. Atmos. 2015, 120, 10767–10783. [Google Scholar] [CrossRef]
















| Data | Spatial Resolution | Temporal Resolution | Spatial Coverage | Period | Research Timeline | Source |
|---|---|---|---|---|---|---|
| IMERG_Final | 0.1° × 0.1° | Daily | Global | 2000–2021 | 2001–2020 | https://disc.gsfc.nasa.gov/ (accessed on 26 May 2022) |
| GSMaP_Gauge | Daily | 60°N–60°S | 2000–present | https://sharaku.eorc.jaxa.jp/GSMaP/index.htm (accessed on 7 January 2022) | ||
| ERA5_Land | Hourly | Global (land) | 1950–present | https://www.ecmwf.int/ (accessed on 7 April 2023) | ||
| Station precipitation data | — | Daily | — | 1951–present | https://data.cma.cn/ (accessed on 9 April 2023) | |
| Basin zoning data | — | — | China | — | — | https://www.resdc.cn/ (accessed on 15 April 2023) |
| Agricultural zoning data | — | — | China | — | — | |
| Geomorphologic types data | — | — | China | — | — |
| Statistical Metric | Equation | Perfect Value | Value Range |
|---|---|---|---|
| Correlation Coefficient (CC) | 1 | [−1, 1] | |
| Root Mean Square Error (RMSE) | 0 | [0, +∞) | |
| Relative Bias (BIAS) | 0 | (−∞, +∞) | |
| Mean Absolute Error (MAE) | 0 | [0, +∞) | |
| Kling–Gupta Efficiency (KGE) | 1 | (−∞, 1] | |
| Probability of Detection (POD) | 1 | [0, 1] | |
| False Alarm Ratio (FAR) | 0 | [0, 1] | |
| Accuracy (ACC) | 1 | [0, 1] | |
| Critical Success Index (CSI) | 1 | [0, 1] | |
| Equitable Threat Score (ETS) | 1 | [0, 1] |
Disclaimer/Publisher’s Note: The statements, opinions and data contained in all publications are solely those of the individual author(s) and contributor(s) and not of MDPI and/or the editor(s). MDPI and/or the editor(s) disclaim responsibility for any injury to people or property resulting from any ideas, methods, instructions or products referred to in the content. |
© 2023 by the authors. Licensee MDPI, Basel, Switzerland. This article is an open access article distributed under the terms and conditions of the Creative Commons Attribution (CC BY) license (https://creativecommons.org/licenses/by/4.0/).
Share and Cite
Zhou, H.; Ning, S.; Li, D.; Pan, X.; Li, Q.; Zhao, M.; Tang, X. Assessing the Applicability of Three Precipitation Products, IMERG, GSMaP, and ERA5, in China over the Last Two Decades. Remote Sens. 2023, 15, 4154. https://doi.org/10.3390/rs15174154
Zhou H, Ning S, Li D, Pan X, Li Q, Zhao M, Tang X. Assessing the Applicability of Three Precipitation Products, IMERG, GSMaP, and ERA5, in China over the Last Two Decades. Remote Sensing. 2023; 15(17):4154. https://doi.org/10.3390/rs15174154
Chicago/Turabian StyleZhou, Hongwu, Shan Ning, Da Li, Xishan Pan, Qiao Li, Min Zhao, and Xiao Tang. 2023. "Assessing the Applicability of Three Precipitation Products, IMERG, GSMaP, and ERA5, in China over the Last Two Decades" Remote Sensing 15, no. 17: 4154. https://doi.org/10.3390/rs15174154
APA StyleZhou, H., Ning, S., Li, D., Pan, X., Li, Q., Zhao, M., & Tang, X. (2023). Assessing the Applicability of Three Precipitation Products, IMERG, GSMaP, and ERA5, in China over the Last Two Decades. Remote Sensing, 15(17), 4154. https://doi.org/10.3390/rs15174154

