Automatic Detection of Daytime Sea Fog Based on Supervised Classification Techniques for FY-3D Satellite
Abstract
1. Introduction
2. Materials and Methods
2.1. Study Area
2.2. Data
2.2.1. FY-3D Satellite
2.2.2. CALIPSO
2.3. Methods
2.3.1. Extraction of Sea Fog Labels
2.3.2. Experimental Platform and Supervised Classification Methods
2.3.3. Evaluation of Model Performance
3. Analysis of Sea Fog Features Base on FY-3D
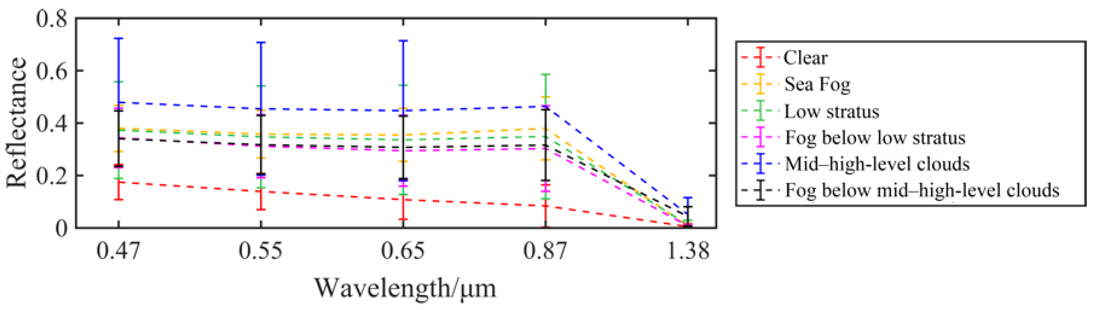
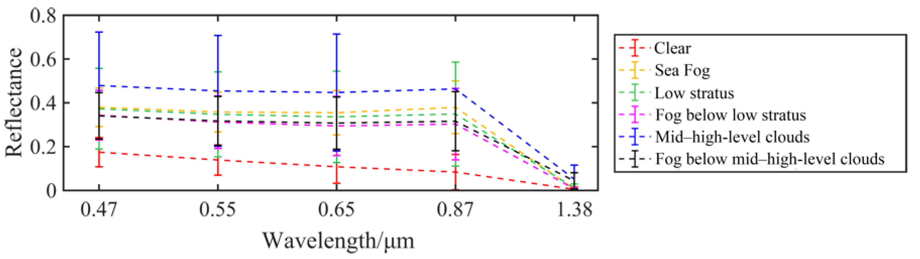
3.1. Spectral Characteristics
3.2. Brightness Temperature and Brightness Temperature Difference
3.3. Texture Features
3.4. Auxiliary Parameters
4. Automatic Daytime Sea Fog Detection
4.1. Detection Model Construction
4.2. Comparison of Detection Results
4.3. Analysis of Model Computational Efficiency
5. Discussion
5.1. Feature Selection for Supervised Classification
5.2. Misjudgment of Sub-Cloud Fog
6. Conclusions
- (1)
- The evaluation results showed that four supervised classification models were capable of identifying the clear sky, with the highest POD (97.8%) reported by the Neural Network model. The SVM, KNN, and Neural Network models showed similar recognition accuracies for low clouds, with PODs of 85%~86%. These three models also accurately distinguished the basic components of sea fog from clouds, with SVM having the highest POD of 93.8%. In this way, our study presents an effective approach to distinguishing sea fog from low stratus.
- (2)
- Moreover, Neural Network Classifier offer the best overall performance for daytime sea fog detection in terms of model accuracy and computational efficiency. However, none of the four classifiers could effectively detect sub-cloud fog. The maximum POD for fog below low stratus was only 11.6% (KNN), and the maximum POD for fog below mid–high-level clouds was only 57.4% (SVM). Moreover, some segments of sub-cloud fog detection are usually only possible when the cloud is quite thin. Therefore, future research should focus on addressing the influence of cloud layers in the vertical direction to improve the accuracy of sub-cloud fog detection.
- (3)
- A study of sea fog features found that there are primarily brightness temperature differences, texture features, and auxiliary parameters that separate sea fog from other cloud types. Furthermore, MRMR shows that adding brightness temperature differences, texture features, and auxiliary parameters can be useful for distinguishing sea fog from clouds. This present study suggests that models should be improved by adding auxiliary parameters to detect sea fog.
Author Contributions
Funding
Data Availability Statement
Acknowledgments
Conflicts of Interest
References
- Jeon, J.; Kim, S.; Yang, C. Fundamental Research on Spring Season Daytime Sea Fog Detection Using MODIS in the Yellow Sea. Korean J. Remote Sens. 2016, 32, 339–351. [Google Scholar] [CrossRef]
- Jeon, H.; Kim, S.; Edwin, J.; Yang, C.-S. Sea Fog Identification from GOCI Images Using CNN Transfer Learning Models. Electronics 2020, 9, 311. [Google Scholar] [CrossRef]
- Zhang, S.-P.; Xie, S.-P.; Liu, Q.-Y.; Yang, Y.-Q.; Wang, X.-G.; Ren, Z.-P. Seasonal Variations of Yellow Sea Fog: Observations and Mechanisms. J. Clim. 2009, 22, 6758–6772. [Google Scholar] [CrossRef]
- Bendix, J.; Cermak, J.; Thies, B. New Perspectives in Remote Sensing of Fog and Low Stratus—TERRA/AQUA-MODIS and MSG; Cape Town, South Africa, 2004; p. 5. Available online: https://www.researchgate.net/publication/228860444_New_perspectives_in_remote_sensing_of_fog_and_low_stratus-TERRAAQUA-MODIS_and_MSG (accessed on 20 April 2023).
- Zhang, S.; Yi, L. A Comprehensive Dynamic Threshold Algorithm for Daytime Sea Fog Retrieval over the Chinese Adjacent Seas. Pure Appl. Geophys. 2013, 170, 1931–1944. [Google Scholar] [CrossRef]
- Wu, X.; Li, S. Automatic Sea Fog Detection over Chinese Adjacent Oceans Using Terra/MODIS Data. Int. J. Remote Sens. 2014, 35, 7430–7457. [Google Scholar] [CrossRef]
- Wen, X.; Hu, D.; Dong, X.; Yu, F.; Tan, D.; Li, Z.; Liang, Y.; Xiang, D.; Shen, S.; Hu, C.; et al. An Object-Oriented Daytime Land Fog Detection Approach Based on NDFI and Fractal Dimension Using EOS/MODIS Data. Int. J. Remote Sens. 2014, 35, 4865–4880. [Google Scholar] [CrossRef]
- Ameur, Z.; Ameur, S.; Adane, A.; Sauvageot, H.; Bara, K. Cloud Classification Using the Textural Features of Meteosat Images. Int. J. Remote Sens. 2004, 25, 4491–4503. [Google Scholar] [CrossRef]
- Kim, D.; Park, M.-S.; Park, Y.-J.; Kim, W. Geostationary Ocean Color Imager (GOCI) Marine Fog Detection in Combination with Himawari-8 Based on the Decision Tree. Remote Sens. 2020, 12, 149. [Google Scholar] [CrossRef]
- Tao, L.; Wei, J.; Randi, F.; Gang, L.; Caoqian, Y. Nighttime Sea Fog Recognition Based on Remote Sensing Satellite and Deep Neural Decision Tree. OEE 2022, 49, 220007–220013. [Google Scholar] [CrossRef]
- Jordan, M.I.; Mitchell, T.M. Machine Learning: Trends, Perspectives, and Prospects. Science 2015, 349, 255–260. [Google Scholar] [CrossRef] [PubMed]
- Guyon, I.; Elisseeff, A. An Introduction to Variable and Feature Selection. J. Mach. Learn. Res. 2003, 3, 1157–1182. [Google Scholar]
- Wu, D.; Lu, B.; Zhang, T.; Yan, F. A Method of Detecting Sea Fogs Using CALIOP Data and Its Application to Improve MODIS-Based Sea Fog Detection. J. Quant. Spectrosc. Radiat. Transf. 2015, 153, 88–94. [Google Scholar] [CrossRef]
- Chunyang, Z.; Jianhua, W.; Shanwei, L.; Hui, S.; Xiao, Y. Sea Fog Detection Using U-Net Deep Learning Model Based on Modis Data. In Proceedings of the 2019 10th Workshop on Hyperspectral Imaging and Signal Processing: Evolution in Remote Sensing (WHISPERS), Amsterdam, The Netherlands, 24–26 September 2019; pp. 1–5. [Google Scholar]
- Kang, Y.; Kim, M.; Kang, E.; Cho, D.; Im, J. Improved Retrievals of Aerosol Optical Depth and Fine Mode Fraction from GOCI Geostationary Satellite Data Using Machine Learning over East Asia. ISPRS J. Photogramm. Remote Sens. 2022, 183, 253–268. [Google Scholar] [CrossRef]
- Hastie, T.; Tibshirani, R.; Friedman, J.H.; Friedman, J.H. The Elements of Statistical Learning: Data Mining, Inference, and Prediction; Springer: Berlin/Heidelberg, Germany, 2009; Volume 2. [Google Scholar]
- Han, J.H.; Suh, M.S.; Yu, H.Y.; Roh, N.Y. Development of Fog Detection Algorithm Using GK2A/AMI and Ground Data. Remote Sens. 2020, 12, 3181. [Google Scholar] [CrossRef]
- Hu, C.; Qiu, Z.; Liao, K.; Zhao, D.; Wu, D. CALIOP Remote Sensing Monitoring of Fujian Sea Fog and Spectral Characteristics Analysis of Subcloud Fog Based on Himawari-8. J. Trop. Oceanogr. 2022. [Google Scholar] [CrossRef]
- Allen, R.C.; Durkee, P.A.; Wash, C.H. Snow/Cloud Discrimination with Multispectral Satellite Measurements. J. Appl. Meteor. 1990, 29, 994–1004. [Google Scholar] [CrossRef]
- Lee, T.F.; Turk, F.J.; Richardson, K. Stratus and Fog Products Using GOES-8–9 3.9-Μm Data. Weather Forecast. 1997, 12, 664–677. [Google Scholar] [CrossRef]
- Inoue, T. On the Temperature and Effective Emissivity Determination of Semi-Transparent Cirrus Clouds by Bi-Spectral Measurements in the 10μm Window Region. J. Meteorol. Soc. Jpn. 1985, 63, 88–99. [Google Scholar] [CrossRef]
- Giannakos, A.; Feidas, H. Classification of Convective and Stratiform Rain Based on the Spectral and Textural Features of Meteosat Second Generation Infrared Data. Theor. Appl. Climatol. 2013, 113, 495–510. [Google Scholar] [CrossRef]
- Ackerman, S.A.; Holz, R.E.; Frey, R.; Eloranta, E.W.; Maddux, B.C.; McGill, M. Cloud Detection with MODIS. Part II: Validation. J. Atmos. Ocean. Technol. 2008, 25, 1073–1086. [Google Scholar] [CrossRef]
- Qu, J.J.; Gao, W.; Kafatos, M.; Murphy, R.E.; Salomonson, V.V. (Eds.) Earth Science Satellite Remote Sensing; Springer: Berlin/Heidelberg, Germany; Tsinghua University Press: Beijing, China, 2006; ISBN 978-3-540-35837-4. [Google Scholar]
- Thies, B.; Nauß, T.; Bendix, J. Precipitation Process and Rainfall Intensity Differentiation Using Meteosat Second Generation Spinning Enhanced Visible and Infrared Imager Data. J. Geophys. Res. Atmos. 2008, 113. [Google Scholar] [CrossRef]
- Dozier, J.; Painter, T.H. Multispectral and Hyperspectral Remote Sensing of Alpine Snow Properties. Annu. Rev. Earth Planet. Sci. 2004, 32, 465–494. [Google Scholar] [CrossRef]
- Wielicki, B.A.; Barkstrom, B.R.; Harrison, E.F. Clouds and the Earth’s Radiant Energy System (CERES): An Earth Observing System Experiment. Bull. Am. Meteorol. Soc. 1996, 77, 853–868. [Google Scholar] [CrossRef]
- Liu, L.; Wen, X.; Gonzalez, A.; Tan, D.; Du, J.; Liang, Y.; Li, W.; Fan, D.; Sun, K.; Dong, P.; et al. An Object-Oriented Daytime Land-Fog-Detection Approach Based on the Mean-Shift and Full Lambda-Schedule Algorithms Using EOS/MODIS Data. Int. J. Remote Sens. 2011, 32, 4769–4785. [Google Scholar] [CrossRef]
- Wang, Y.Y.; Li, J. Feature-selection Ability of the Decision-tree Algorithm and the Impact of Feature-selection/Extraction on Decision-tree Results Based on Hyperspectral Data. Int. J. Remote Sens. 2008, 29, 2993–3010. [Google Scholar] [CrossRef]









| Channel | Spectral/μm | Bandwidth/μm | Mainly Uses |
|---|---|---|---|
| 1 | 0.47 | 0.05 | Reflectance |
| 2 | 0.55 | 0.05 | Reflectance |
| 3 | 0.65 | 0.05 | Reflectance |
| 4 | 0.87 | 0.05 | Reflectance |
| 5 | 1.38 | 0.03 | Reflectance |
| 7 | 2.13 | 0.05 | Reflectance |
| 20 | 3.80 | 0.18 | Brightness temperature |
| 22 | 7.20 | 0.50 | Brightness temperature |
| 23 | 8.55 | 0.30 | Brightness temperature difference |
| 24 | 10.80 | 1.00 | Brightness temperature |
| 25 | 12.00 | 1.00 | Brightness temperature difference |
| Sample | Number |
|---|---|
| Clear | 8384 |
| Fog | 3450 |
| Low stratus | 6547 |
| Fog below low stratus | 146 |
| Mid–high-level clouds | 13,696 |
| Fog below mid–high-level clouds | 230 |
| Model | Optimized Hyperparameters |
|---|---|
| Decision Tree (DT) | Maximum number of splits |
| Support Vector Machine (SVM) | Box constraint level |
| Kernel scale | |
| K-Nearest Neighbor (KNN) | Number of neighbors |
| Neural Network Classifier | Number of fully connected layers |
| Layer size |
| CALIPSO Detection Yes | CALIPSO Detection No | |
|---|---|---|
| Algorithm Detection Yes | True Positive (TP) | False Positive (FP) |
| Algorithm Detection No | False Negative (FN) | True Negative (TN) |
| Target Types | Decision Tree (DT) | Support Vector Machine (SVM) | K-Nearest Neighbor (KNN) | Neural Network Classifiers | Average | |||||
|---|---|---|---|---|---|---|---|---|---|---|
| POD /% | FAR /% | POD /% | FAR /% | POD /% | FAR /% | POD /% | FAR /% | POD/% | FAR/% | |
| clear | 84.6 | 15.3 | 89.4 | 13.0 | 87.0 | 13.6 | 97.8 | 13.6 | 89.7 | 13.9 |
| sea fog | 88.0 | 10.6 | 93.8 | 6.9 | 92.4 | 8.7 | 93.4 | 7.7 | 91.9 | 8.5 |
| low stratus | 78.3 | 16.7 | 86.0 | 10.0 | 85.0 | 13.7 | 85.9 | 12.2 | 83.8 | 13.2 |
| fog below low stratus | 7.5 | 85.7 | 11.0 | 79.7 | 11.6 | 86.8 | 2.1 | 88.5 | 8.1 | 85.2 |
| mid–high-level clouds | 92.8 | 11.2 | 94.7 | 6.3 | 94.1 | 6.4 | 94.1 | 7.0 | 93.9 | 7.7 |
| fog below mid–high-level clouds | 32.6 | 40.9 | 57.4 | 31.6 | 51.7 | 35.0 | 49.1 | 25.2 | 47.7 | 33.2 |
| Model | Training Time/min | Application Time/min | ||
|---|---|---|---|---|
| All Training Samples | 20 May | 21 May | 22 May | |
| Decision Tree (DT) | 1.4 | 0.3 | 0.3 | 0.2 |
| Support Vector Machine (SVM) | 696.9 | 47.5 | 44.9 | 22.5 |
| K-Nearest Neighbor (KNN) | 4.99 | 6.1 | 6.1 | 3.1 |
| Neural Network Classifier | 696.8 | 0.8 | 0.7 | 0.5 |
| Target Types | Support Vector Machine (SVM) | Neural Network Classifiers | ||
|---|---|---|---|---|
| POD /% | FAR /% | POD /% | FAR /% | |
| clear | 89.1 | 26.6 | 84.4 | 19.6 |
| sea fog | 64.9 | 26.7 | 78.8 | 18.5 |
| low stratus | 49.4 | 39.0 | 69.7 | 26.2 |
| fog below low stratus | 0.0 | 0.0 | 0.0 | 0.0 |
| mid–high-level clouds | 83.3 | 18.0 | 88.3 | 14.0 |
| fog below mid–high-level clouds | 0.0 | 0.0 | 17.4 | 47.4 |
| Target Types | Support Vector Machine (SVM) | Neural Network Classifiers | ||
|---|---|---|---|---|
| POD /% | FAR /% | POD /% | FAR /% | |
| clear | 87.9 | 17.3 | 87.0 | 13.3 |
| sea fog | 89.4 | 8.7 | 92.1 | 9.0 |
| low stratus | 78.8 | 13.2 | 83.5 | 12.7 |
| fog below low stratus | 0.0 | 0.0 | 0.0 | 100.0 |
| mid–high-level clouds | 91.6 | 11.3 | 94.2 | 9.0 |
| fog below mid–high-level clouds | 25.7 | 25.3 | 36.1 | 27.2 |
| CALIPSO Detection | |||||||
|---|---|---|---|---|---|---|---|
| Clear | Sea Fog | Low Stratus | Fog below Low Stratus | Mid–High-Level Clouds | Fog Below Mid–High-Level Clouds | ||
| SVM detection | Clear | 7361 | 95 | 533 | 22 | 501 | 8 |
| Sea Fog | 79 | 3222 | 107 | 43 | 33 | 8 | |
| Low stratus | 363 | 99 | 5624 | 69 | 248 | 4 | |
| Fog below low stratus | 1 | 4 | 16 | 3 | 2 | 0 | |
| mid–high-level clouds | 579 | 26 | 266 | 7 | 12,882 | 97 | |
| Fog below mid–high-level clouds | 1 | 4 | 1 | 2 | 30 | 113 | |
Disclaimer/Publisher’s Note: The statements, opinions and data contained in all publications are solely those of the individual author(s) and contributor(s) and not of MDPI and/or the editor(s). MDPI and/or the editor(s) disclaim responsibility for any injury to people or property resulting from any ideas, methods, instructions or products referred to in the content. |
© 2023 by the authors. Licensee MDPI, Basel, Switzerland. This article is an open access article distributed under the terms and conditions of the Creative Commons Attribution (CC BY) license (https://creativecommons.org/licenses/by/4.0/).
Share and Cite
Wang, Y.; Qiu, Z.; Zhao, D.; Ali, M.A.; Hu, C.; Zhang, Y.; Liao, K. Automatic Detection of Daytime Sea Fog Based on Supervised Classification Techniques for FY-3D Satellite. Remote Sens. 2023, 15, 2283. https://doi.org/10.3390/rs15092283
Wang Y, Qiu Z, Zhao D, Ali MA, Hu C, Zhang Y, Liao K. Automatic Detection of Daytime Sea Fog Based on Supervised Classification Techniques for FY-3D Satellite. Remote Sensing. 2023; 15(9):2283. https://doi.org/10.3390/rs15092283
Chicago/Turabian StyleWang, Yu, Zhongfeng Qiu, Dongzhi Zhao, Md. Arfan Ali, Chenyue Hu, Yuanzhi Zhang, and Kuo Liao. 2023. "Automatic Detection of Daytime Sea Fog Based on Supervised Classification Techniques for FY-3D Satellite" Remote Sensing 15, no. 9: 2283. https://doi.org/10.3390/rs15092283
APA StyleWang, Y., Qiu, Z., Zhao, D., Ali, M. A., Hu, C., Zhang, Y., & Liao, K. (2023). Automatic Detection of Daytime Sea Fog Based on Supervised Classification Techniques for FY-3D Satellite. Remote Sensing, 15(9), 2283. https://doi.org/10.3390/rs15092283

