Development of an Adaptive Fuzzy Integral-Derivative Line-of-Sight Method for Bathymetric LiDAR Onboard Unmanned Surface Vessel
Abstract
1. Introduction
- LOS guidance law based on parameter optimization: Healey and Lienard [27] first combined LOS guidance law with sliding mode control for path-tracking control of USV. However, the values of look-ahead distance and acceptance radius in the traditional LOS guidance law are generally fixed. The fixed values of the parameters prevent the USV from adaptively adjusting according to the distance from the desired path, resulting in a reduction of the path-tracking accuracy. Therefore, Lekkas and Fossen [28] proposed a time-varying look-ahead distance LOS guidance law that establishes a relationship between the look-ahead distance and cross-track error. Therefore, the look-ahead distance can be adaptively adjusted according to the magnitude of the cross-track error, which improves the accuracy and speed of path-tracking. Liu et al. [29] proposed an LOS guidance law with a variable acceptance radius, where the acceptance radius could be adaptively adjusted according to the angle between the desired routes, thus enabling the USV to reduce the amount of overshoot and improve the path-tracking accuracy when turning. Although both improved guidance laws provide certain improvement in path-tracking performance, they lack a method for valuing the parameters in time-varying equations, and the performance of the functions may not be the best. Thus, Mu et al. [30] proposed an adaptive time-varying look-ahead distance LOS (ALOS) guidance law based on a fuzzy control optimization algorithm wherein the convergence rate in the time-varying look-ahead distance equation was calculated by the fuzzy controller through the change rate of the cross-track error. This guidance law was combined with a proportional-integral-derivative (PID) algorithm to form a path-tracking method, and practical experiments were conducted. However, experimental results show that this method produces a large overshoot when the USV turns. The PID algorithm is susceptible to environmental influences in practical applications, which can reduce the path-tracking accuracy.
- LOS guidance law based on sideslip angle prediction: During path-tracking, the USV can generate a sideslip angle under the influence of wind and waves, which can cause the USV to deviate from the planned path. Therefore, there is a demand to develop an LOS guidance law that can predict the sideslip angle. Borhaug et al. [31] proposed the ILOS guidance law by adding an integral term to the traditional LOS guidance law. This guidance law counteracts the effects arising from the sideslip angle by means of an integral term, and finally proves the stability of global asymptotic path-tracking. Zheng et al. [32] proposed an error-constrained line-of-sight (ECLOS) guidance law with a nonlinear perturbation observer to estimate external disturbances and demonstrated the reliability of the proposed method through simulation experiments. Wan et al. [33] proposed a time-varying look-ahead distance LOS guidance law related to the USV speed and cross-track error and designed a reduced-dimensional state observer to estimate the time-varying sideslip angle online to improve the path-tracking accuracy. Li et al. [34] proposed an extended state observer (ESO)-based ILOS guidance law that simultaneously predicts the heading angle and estimates the flow velocity. Yu et al. [35] proposed a finite-time predictor-based LOS guidance law (FPLOS) that could obtain the sideslip angle using an error predictor in finite time. Although the addition of observers and predictors can predict the sideslip angle more accurately, it also increases the complexity of the control system and requires more computational resources. The method is currently in the simulation stage and cannot be used for practical experiments. Liu et al. [36] proposed an adaptive line-of-sight (ALOS) algorithm to obtain the desired heading angle and a more accurate model predictive control (MPC) method to predict the sideslip angle. However, as discussed in this study, the use of an MPC method in practical experiments requires the controller to be computationally powerful and necessitates the use of more powerful CPUs, which is not conducive to a small USV or the processing of microcontrollers.
2. Development of AFIDLOS Method
2.1. Architecture of the Path-Tracking System
2.2. Development of AFIDLOS Method
2.3. Control Model of LQR
3. Experiments and Discussion
3.1. Implementation Using STM32 Microcontroller
- Navigation function: when USART2 is interrupted, the latitude, longitude and heading angle are extracted from the navigation module and output.
- Path function: based on the paths (input from data transmission module) and USV’s position data (latitude, longitude and heading angle input from navigation module), the planned path is output (when the USV enters the “circle of acceptance”, the planned path is switched).
- Calculation function: the cross-track error and the change rate of the cross-track error is calculated based on the USV position and the planned path.
- AFLOS function: based on and , the look-ahead distance is obtained by adaptive fuzzy LOS method (see Equation (5) and Figure 4).
- IDLOS function: based on , the desired heading angle is obtained by the IDLOS method (see Equation (8)). Subtracting the current heading angle from , the error of the heading angle is output (see Equation (9)).
- LQR function: based on , the variable control command is obtained and output (see Equations (10) and (21)).
- PWM function: based on and initial control command (see Equation (13)), the pulse width modulation (PWM) waves with pulse width of and are output to the thruster module.
3.2. Calculation of Initial Values for the Control Model of USV
3.3. Verifications through Simulation Experiments
- Setting the initial acceptance radius as 0.5 m;
- Substituting into Equations (19) and (20) to calculate ;
- Setting the constant derivative coefficient as 3.8.
3.4. Verifications through Outdoor Experiments
3.4.1. Verification in Artificial Lake
- Equip the modules of the USV, turn on the power switch of USV, and move USV to the starting point by remote control.
- Open software and connect the serial port to communicate with and receive data from the USV.
- Switch the control algorithm to LOS guidance law through the software and send the waypoints to the controller of the USV.
- Trace the triangular and quadrilateral paths separately, and save the data sent during the tracing process of the USV.
- Switch the control algorithm to AFIDLOS method through the software, and remotely control the USV to the starting point.
- Repeat Step 4.
3.4.2. Verification in a Natural Lake
3.4.3. Verification in the Beibu Gulf
3.4.4. Verification through Multi-Strip Tracking in the Pinqing Lake
- All equipment, such as the GQ-Cormorant 19, POS, antenna, data transmission module and power supply, were loaded on the GQ-S20, and the initial values of GQ-Cormorant 19 were set.
- The AFIDLOS method was applied to the control system, where the path was planned using the ground software and sent to the control system.
- The USV was programmed to follow a planned path, as shown in Figure 19, which was a scanning strip with multiple round trips to both sides of the lake.
- Echo data were obtained by scanning the water through the GQ-Cormorant 19 and were stored in the control system for processing.
- The collected echo data were analyzed to generate the experimental results, as shown in Figure 20.
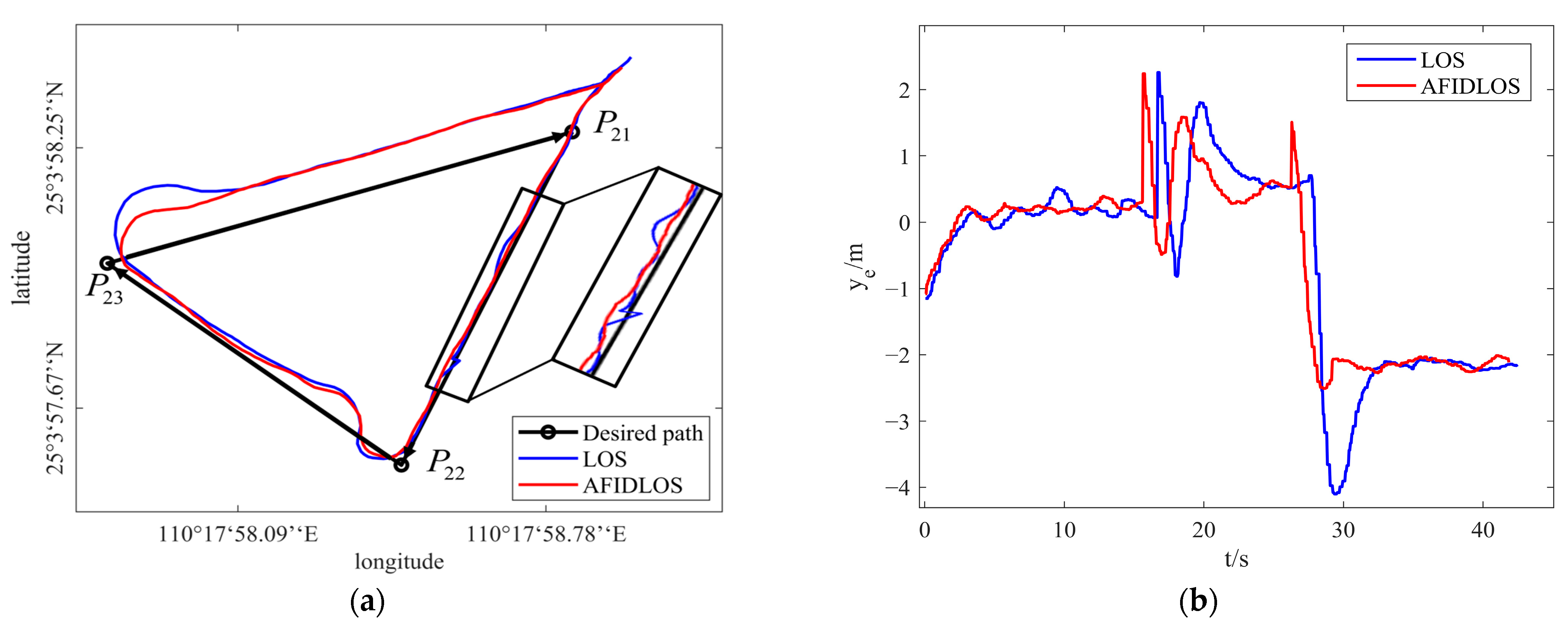
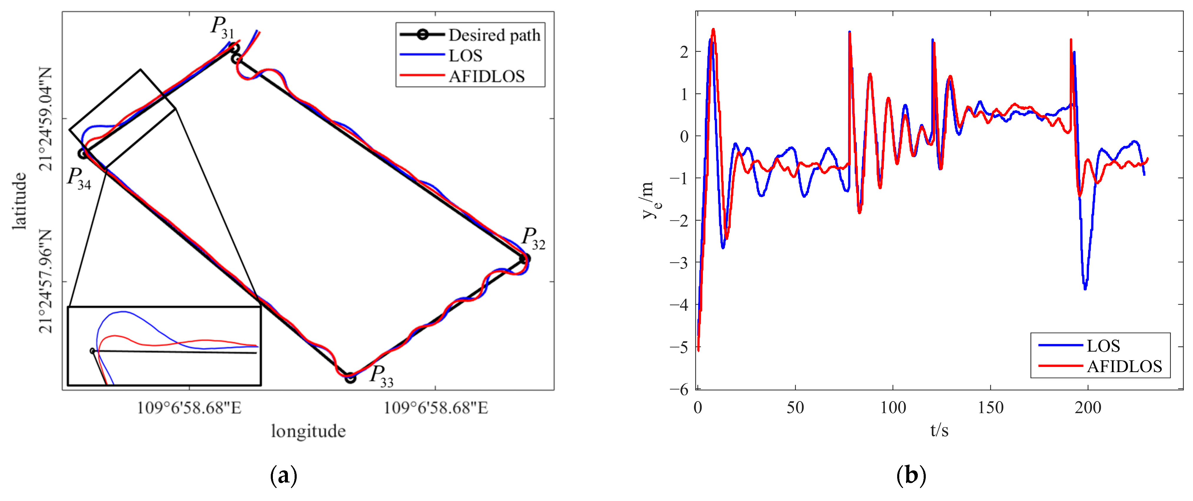
3.5. Discussion
- Compared to the LOS guidance law, the proposed AFIDLOS method adds integral and derivative terms to Equation (1). If the cross-track error becomes larger, the integral term is enhanced to predict the sideslip angle and compensate for the LOS angle ; the derivative term is used to eliminate the overshoot and oscillation, so that the USV converges to the planned path faster. If the cross-track error decreases, the effect of the integral and derivative terms will be weakened, such that the USV converges smoothly to the planned path.
- Compared to the LOS guidance law, the proposed AFIDLOS method can obtain the optimal look-ahead distance value using fuzzy control. The optimal value of the convergence rate , was adjusted in real time using the value and change rate of the cross-track error in Equation (5) to render the value of the look-ahead distance more reasonable.
- Compared to the LOS guidance law, the AFIDLOS method exhibited better path-tracking performance with a smaller overshoot and faster convergence speed during USV path-tracking.
4. Conclusions
- The developed AFIDLOS method reduced the amount of overshoot by 79.85% and shortened the settling time by 55.32%, when compared with the traditional LOS guidance law in the simulation experiments.
- The developed AFIDLOS method reduced the average cross-track error by 10.91% compared with the traditional LOS guidance law in outdoor experiments.
- In Pinqing Lake, the path-tracking accuracy of the USV embedded with the bathymetric LiDAR satisfied the requirement of 3D bathymetry.
Author Contributions
Funding
Data Availability Statement
Acknowledgments
Conflicts of Interest
References
- Mogstad, A.A.; Johnsen, G.; Ludvigsen, M. Shallow-Water Habitat Mapping using Underwater Hyperspectral Imaging from an Unmanned Surface Vehicle: A Pilot Study. Remote Sens. 2019, 11, 685. [Google Scholar] [CrossRef]
- Specht, M.; Specht, C.; Szafran, M.; Makar, A.; Dabrowski, P.; Lasota, H.; Cywinski, P. The Use of USV to Develop Navigational and Bathymetric Charts of Yacht Ports on the Example of National Sailing Centre in Gdansk. Remote Sens. 2020, 12, 2585. [Google Scholar] [CrossRef]
- Waczak, J.; Aker, A.; Wijeratne, L.O.H.; Talebi, S.; Fernando, A.; Dewage, P.M.H.; Iqbal, M.; Lary, M.; Schaefer, D.; Lary, D.J. Characterizing Water Composition with an Autonomous Robotic Team Employing Comprehensive In Situ Sensing, Hyperspectral Imaging, Machine Learning, and Conformal Prediction. Remote Sens. 2024, 16, 996. [Google Scholar] [CrossRef]
- Zhou, G.; Zhang, H.; Xu, C.; Zhou, X.; Liu, Z.; Zhao, D.; Lin, J.; Wu, G. A Real-Time Data Acquisition System for Single-Band Bathymetric LiDAR. IEEE Trans. Geosci. Remote Sens. 2023, 61, 1–21. [Google Scholar] [CrossRef]
- Zhou, G.; Jia, G.; Zhou, X.; Song, N.; Wu, J.; Gao, K.; Huang, J.; Xu, J.; Zhu, Q. Adaptive High-Speed Echo Data Acquisition Method for Bathymetric LiDAR. IEEE Trans. Geosci. Remote Sens. 2024, 62, 1–17. [Google Scholar] [CrossRef]
- Zhou, G.; Zhao, D.; Zhou, X.; Xu, C.; Liu, Z.; Wu, G.; Lin, J.; Zhang, H.; Yang, J.; Nong, X.; et al. An RF amplifier circuit for enhancement of echo signal detection in bathymetric LiDAR. IEEE Sensors J. 2022, 22, 20612–20625. [Google Scholar] [CrossRef]
- Zhou, G.; Deng, R.; Zhou, X.; Long, S.; Li, W.; Lin, G.; Li, X. Gaussian inflection point selection for LiDAR hidden echo signal decomposition. IEEE Geosci. Remote Sens. Lett. 2022, 19, 1–5. [Google Scholar] [CrossRef]
- Zhou, G.; Zhou, X.; Li, W.; Zhao, D.; Song, B.; Xu, C.; Zhang, H.; Liu, Z.; Xu, J.; Lin, G.; et al. Development of a lightweight single-band bathymetric LiDAR. Remote Sens. 2022, 14, 5880. [Google Scholar] [CrossRef]
- Zhou, G.; Xu, J.; Hu, H.; Liu, Z.; Zhang, H.; Xu, C.; Zhou, X.; Yang, J.; Nong, X.; Song, B.; et al. Off-Axis Four-Reflection Optical Structure for Lightweight Single-Band Bathymetric LiDAR. IEEE Trans. Geosci. Remote Sens. 2023, 61, 1000917. [Google Scholar] [CrossRef]
- Zhao, Y.; Qi, X.; Ma, Y.; Li, Z.; Malekian, R.; Sotelo, M.A. Path following optimization for an underactuated USV using smoothly-convergent deep reinforcement learning. IEEE Trans. Intell. Transp. Syst. 2021, 22, 6208–6220. [Google Scholar] [CrossRef]
- Wang, S.; Sun, M.; Xu, Y.; Liu, J.; Sun, C. Predictor-Based Fixed-Time LOS Path Following Control of Underactuated USV With Unknown Disturbances. IEEE Trans. Intell. Veh. 2023, 8, 2088–2096. [Google Scholar] [CrossRef]
- Yan, Y.; Yu, S.; Gao, X.; Wu, D.; Li, T. Continuous and Periodic Event-Triggered Sliding-Mode Control for Path Following of Underactuated Surface Vehicles. IEEE Trans. Cybern. 2024, 54, 449–461. [Google Scholar] [CrossRef] [PubMed]
- Gonzalez-Garcia, A.; Castañeda, H. Guidance and Control Based on Adaptive Sliding Mode Strategy for a USV Subject to Uncertainties. IEEE J. Ocean. Eng. 2021, 46, 1144–1154. [Google Scholar] [CrossRef]
- Wu, W.; Peng, Z.; Wang, D.; Liu, L.; Han, Q. Network-Based Line-of-Sight Path Tracking of Underactuated Unmanned Surface Vehicles with Experiment Results. IEEE Trans. Cybern. 2022, 52, 10937–10947. [Google Scholar] [CrossRef] [PubMed]
- Fouché, G.J.; Malekian, R. Drone as an autonomous aerial sensor system for motion planning. Measurement. 2018, 119, 142–155. [Google Scholar] [CrossRef]
- Abdurahman, B.; Savvaris, A.; Tsourdos, A. Switching LOS guidance with speed allocation and vertical course control for path-following of unmanned underwater vehicles under ocean current disturbances. Ocean Eng. 2019, 182, 412–426. [Google Scholar] [CrossRef]
- Fossen, T.I.; Breivik, M.; Skjetne, R. Line-of-sight path following of underactuated marine craft. IFAC Proc. Vol. 2003, 36, 211–216. [Google Scholar] [CrossRef]
- Fu, M.; Wang, Q. Safety-guaranteed, robust, nonlinear, path-following control of the underactuated hovercraft based on FTESO. J. Mar. Sci. Eng. 2023, 11, 1235. [Google Scholar] [CrossRef]
- Huang, Y.; Shi, X.; Huang, W.; Chen, S. Internal model control-based observer for the sideslip angle of an unmanned surface vehicle. J. Mar. Sci. Eng. 2022, 10, 470. [Google Scholar] [CrossRef]
- Kelasidi, E.; Liljeback, P.; Pettersen, K.Y.; Gravdahl, J.T. Integral line-of-sight guidance for path following control of underwater snake robots: Theory and experiments. IEEE Trans. Robot. 2017, 33, 610–628. [Google Scholar] [CrossRef]
- Villa, J.; Aaltonen, J.; Virta, S.; Koskinen, K.T. A Co-Operative Autonomous Offshore System for Target Detection Using Multi-Sensor Technology. Remote Sens. 2020, 12, 4106. [Google Scholar] [CrossRef]
- Liu, L.; Wang, D.; Peng, Z.; Wang, H. Predictor-based LOS guidance law for path following of underactuated marine surface vehicles with sideslip compensation. Ocean Eng. 2016, 124, 340–348. [Google Scholar] [CrossRef]
- Qu, Y.; Cai, L.; Xu, H. Curved Path Following for Unmanned Surface Vehicles with Heading Amendment. IEEE Trans. Syst. Man Cybern. Syst. 2021, 51, 4183–4192. [Google Scholar] [CrossRef]
- Shao, K.; Wang, N.; Qin, H. Sideslip angle observation-based LOS and adaptive finite-time path following control for sailboat. Ocean Eng. 2023, 281, 114636. [Google Scholar] [CrossRef]
- Wang, M.; Su, Y.; Wu, N.; Fan, Y.; Qi, J.; Wang, Y.; Feng, Z. Vector field-based integral LOS path following and target tracking for underactuated unmanned surface vehicle. Ocean Eng. 2023, 285, 115462. [Google Scholar] [CrossRef]
- Zhang, H.; Zhang, X.; Gao, S.; Han, X.; Ma, D. Global fast terminal sliding mode control for path following of ultra large underactuated ship based on predictive LOS guidance. Ocean Eng. 2023, 285, 115387. [Google Scholar] [CrossRef]
- Healey, A.; Lienard, D. Multivariable sliding mode control for autonomous diving and steering of unmanned underwater vehicles. IEEE J. Ocean. Eng. 1993, 18, 327–339. [Google Scholar] [CrossRef]
- Lekkas, A.M.; Fossen, T.I. A time-varying lookahead distance guidance law for path following. IFAC Proc. Vol. 2012, 45, 398–403. [Google Scholar] [CrossRef]
- Liu, C.; Negenborn, R.; Chu, X.; Zheng, H. Predictive path following based on adaptive line-of-sight for underactuated autonomous surface vessels. J. Mar. Sci. Technol. 2018, 23, 483–494. [Google Scholar] [CrossRef]
- Mu, D.; Wang, G.; Fan, Y.; Bai, Y.; Zhao, Y. Path following for podded propulsion unmanned surface vehicle: Theory, simulation and experiment. IEEJ Trans. Electr. Electron. Eng. 2018, 13, 911–923. [Google Scholar] [CrossRef]
- Borhaug, E.; Pavlov, A.; Pettersen, K.Y. Integral LOS control for path following of underactuated marine surface vessels in the presence of constant ocean currents. In Proceedings of the 2008 47th IEEE Conference on Decision and Control, Cancun, Mexico, 9–11 December 2008. [Google Scholar] [CrossRef]
- Zheng, Z.; Sun, L.; Xie, L. Error-constrained LOS path following of a surface vessel with actuator saturation and faults. IEEE Trans. Syst. Man Cybern. Syst. 2018, 48, 1794–1805. [Google Scholar] [CrossRef]
- Wan, L.; Su, Y.; Zhang, H.; Shi, B.; AbouOmar, M.S. An improved integral light-of-sight guidance law for path following of unmanned surface vehicles. Ocean Eng. 2020, 205, 107302. [Google Scholar] [CrossRef]
- Li, M.; Guo, C.; Yu, H. Extended state observer-based integral line-of-sight guidance law for path following of underactuated unmanned surface vehicles with uncertainties and ocean currents. Int. J. Adv. Robot. Syst. 2021, 18, 17298814211011035. [Google Scholar] [CrossRef]
- Yu, Y.; Guo, C.; Li, T. Finite-time LOS path following of unmanned surface vessels with time-varying sideslip angles and input saturation. IEEE-ASME Trans. Mechatronics 2022, 27, 463–474. [Google Scholar] [CrossRef]
- Liu, Z.; Song, S.; Yuan, S.; Ma, Y.; Yao, Z. ALOS-based USV path-Following control with obstacle avoidance strategy. J. Mar. Sci. Eng. 2022, 10, 1203. [Google Scholar] [CrossRef]
- Lekkas, A.; Fossen, T.I. Line-of-sight guidance for path following of marine vehicles. In Advanced in Marine Robotics, 1st ed.; Gal, O., Ed.; LAP LAMBERT Academic Publishing: Saarbrücken, Germany, 2013; Volume 5, pp. 63–92. [Google Scholar]
- McCue, L. Handbook of marine craft hydrodynamics and motion control [bookshelf]. IEEE Control Syst. Mag. 2016, 36, 78–79. [Google Scholar] [CrossRef]
- Saleem, O.; Mahmood-ul-Hasan, K. Hierarchical adaptive control of self-stabilizing electromechanical systems using artificial-immune self-tuning mechanism for state weighting-factors. J. Mech. Sci. Technol. 2021, 35, 1235–1250. [Google Scholar] [CrossRef]
- Srivastava, S.; Pandit, V.S. A 2-Dof LQR based PID controller for integrating processes considering robustness/performance tradeoff. ISA Trans. 2017, 71, 426–439. [Google Scholar] [CrossRef] [PubMed]
- Yulianti, L.; Nazra, A.; Zulakmal; Bahar, A.; Muhafzan, M. On discounted LQR control problem for disturbanced singular system. Arch. Control Sci. 2019, 29, 147–156. [Google Scholar] [CrossRef]
- Mousazadeh, H.; Jafarbiglu, H.; Abdolmaleki, H.; Omrani, E.; Monhaseri, F.; Abdollahzadeh, M.R.; Mohammadi-Aghdam, A.; Kiapei, A.; Salmani-Zakaria, Y.; Makhsoos, A. Developing a navigation, guidance and obstacle avoidance algorithm for an unmanned surface vehicle (USV) by algorithms fusion. Ocean Eng. 2018, 159, 56–65. [Google Scholar] [CrossRef]




















| NB | NM | NS | O | PS | PM | PB | ||
|---|---|---|---|---|---|---|---|---|
| NB | VB | B | B | M | B | VB | VB | |
| NM | VB | B | B | M | M | B | VB | |
| NS | B | M | S | VS | S | M | B | |
| O | M | M | S | VS | S | M | M | |
| PS | B | M | S | VS | S | M | B | |
| PM | VB | B | M | S | M | B | VB | |
| PB | VB | VB | B | M | B | VB | VB | |
| Parameters | Values | ||||||||
|---|---|---|---|---|---|---|---|---|---|
| 50 | 100 | 150 | 200 | 250 | 300 | 350 | 400 | 450 | |
| 9.10 | 15.14 | 23.19 | 29.30 | 35.40 | 43.95 | 48.83 | 53.57 | 57.56 | |
| −50 | −100 | −150 | −200 | −250 | −300 | −350 | −400 | −450 | |
| −10.31 | −16.10 | −25.20 | −30.52 | −37.23 | −44.56 | −50.05 | −54.80 | −58.80 | |
| Point | Guidance Law | Overshoot | Improvement Rate of Overshoot | Settling Time | Improvement Rate of Settling Time |
|---|---|---|---|---|---|
| A | AFIDLOS | 3.90% | 89.7% | 4.84 s | 55.19% |
| LOS | 37.80% | 10.80 s | |||
| B | AFIDLOS | 7.90% | 68.90% | 5.50 s | 54.17% |
| LOS | 25.40% | 12.00 s | |||
| C | AFIDLOS | 2.70% | 89.58% | 5.80 s | 59.30% |
| LOS | 25.90% | 14.25 s | |||
| D | AFIDLOS | 7.40% | 71.21% | 5.30 s | 56.20% |
| LOS | 25.70% | 12.10 s | |||
| Averages | 79.85% | 55.32% | |||
| Path | Guidance Law | Average Cross-Track Error (Absolute Value) | Improvement Rate of Cross-Track Error |
|---|---|---|---|
| LOS | 0.76 m | 22.37% | |
| AFIDLOS | 0.59 m | ||
| LOS | 0.71 m | 9.86% | |
| AFIDLOS | 0.64 m | ||
| LOS | 1.36 m | 5.88% | |
| AFIDLOS | 1.28 m |
| Path | Guidance Law | Average Cross-Track Error (Absolute Value) | Improvement Rate of Cross-Track Error |
|---|---|---|---|
| LOS | 0.83 m | 1.20% | |
| AFIDLOS | 0.82 m | ||
| LOS | 0.68 m | 4.41% | |
| AFIDLOS | 0.71 m | ||
| LOS | 2.08 m | 36.54% | |
| AFIDLOS | 1.32 m | ||
| LOS | 1.21 m | 15.70% | |
| AFIDLOS | 1.02 m |
| Path | Guidance Law | Average Cross-Track Error (Absolute Value) | Improvement Rate of Cross-Track Error |
|---|---|---|---|
| LOS | 0.24 m | 4.17% | |
| AFIDLOS | 0.23 m | ||
| LOS | 0.84 m | 10.71% | |
| AFIDLOS | 0.75 m | ||
| LOS | 2.34 m | 12.82% | |
| AFIDLOS | 2.04 m |
| Path | Guidance Law | Average Cross-Track Error (Absolute Value) | Reduction of Cross-Track Error |
|---|---|---|---|
| LOS | 0.18 m | 5.56% | |
| AFIDLOS | 0.17 m | ||
| LOS | 1.30 m | 17.69% | |
| AFIDLOS | 1.07 m | ||
| LOS | 0.82 m | 3.66% | |
| AFIDLOS | 0.85 m | ||
| LOS | 1.65 m | 3.64% | |
| AFIDLOS | 1.59 m |
| Path | Guidance Law | Average Cross-Track Error (Absolute Value) | Reduction of Cross-Track Error |
|---|---|---|---|
| LOS | 1.02 m | 16.67% | |
| AFIDLOS | 0.85 m | ||
| LOS | 0.60 m | 1.67% | |
| AFIDLOS | 0.59 m | ||
| LOS | 0.57 m | 3.51% | |
| AFIDLOS | 0.55 m | ||
| LOS | 1.07 m | 19.63% | |
| AFIDLOS | 0.86 m |
| Experimental Location | Average Improvement Rate of Cross-Track Error |
|---|---|
| Artificial lake | 13.71% |
| Natural lake | 10.37% |
| Beibu Gulf | 8.32% |
Disclaimer/Publisher’s Note: The statements, opinions and data contained in all publications are solely those of the individual author(s) and contributor(s) and not of MDPI and/or the editor(s). MDPI and/or the editor(s) disclaim responsibility for any injury to people or property resulting from any ideas, methods, instructions or products referred to in the content. |
© 2024 by the authors. Licensee MDPI, Basel, Switzerland. This article is an open access article distributed under the terms and conditions of the Creative Commons Attribution (CC BY) license (https://creativecommons.org/licenses/by/4.0/).
Share and Cite
Zhou, G.; Wu, J.; Gao, K.; Song, N.; Jia, G.; Zhou, X.; Xu, J.; Wang, X. Development of an Adaptive Fuzzy Integral-Derivative Line-of-Sight Method for Bathymetric LiDAR Onboard Unmanned Surface Vessel. Remote Sens. 2024, 16, 2657. https://doi.org/10.3390/rs16142657
Zhou G, Wu J, Gao K, Song N, Jia G, Zhou X, Xu J, Wang X. Development of an Adaptive Fuzzy Integral-Derivative Line-of-Sight Method for Bathymetric LiDAR Onboard Unmanned Surface Vessel. Remote Sensing. 2024; 16(14):2657. https://doi.org/10.3390/rs16142657
Chicago/Turabian StyleZhou, Guoqing, Jinhuang Wu, Ke Gao, Naihui Song, Guoshuai Jia, Xiang Zhou, Jiasheng Xu, and Xia Wang. 2024. "Development of an Adaptive Fuzzy Integral-Derivative Line-of-Sight Method for Bathymetric LiDAR Onboard Unmanned Surface Vessel" Remote Sensing 16, no. 14: 2657. https://doi.org/10.3390/rs16142657
APA StyleZhou, G., Wu, J., Gao, K., Song, N., Jia, G., Zhou, X., Xu, J., & Wang, X. (2024). Development of an Adaptive Fuzzy Integral-Derivative Line-of-Sight Method for Bathymetric LiDAR Onboard Unmanned Surface Vessel. Remote Sensing, 16(14), 2657. https://doi.org/10.3390/rs16142657

