Measurement Accuracy and Attitude Compensation of Rayleigh Lidar on an Airborne Floating Platform
Abstract
1. Introduction
2. Materials and Methods
2.1. Rayleigh Lidar Equation
2.2. General Fluctuation Model
2.3. Temperature Retrieval
2.4. Attitude Compensation
3. Results
3.1. Theoretical Analysis of the Effects of Attitude Fluctuation
3.1.1. Effect on Acquisition of Single-Pulse Echo Signal
3.1.2. Effect on Photon Number Profile within the Integration Time
3.2. Verification Based on Measured Attitude Data
3.2.1. Data Description
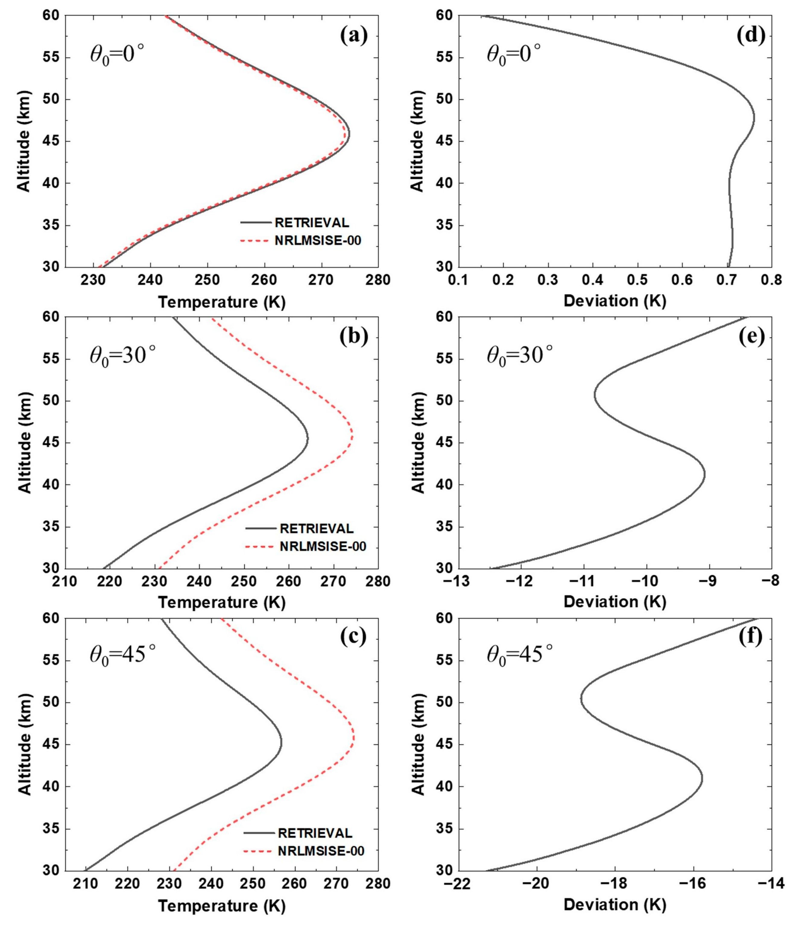
3.2.2. Accuracy Check of Retrieval Results
3.2.3. Deviation between the Retrieved Temperature and Model with Attitude Fluctuation
3.2.4. Deviation between Retrieved Temperature and Model after Attitude Compensation
4. Discussion
5. Conclusions
- (1)
- The vertical displacement caused by attitude change becomes larger with the increase of settled observation angle. For single-pulse echo signals, the maximum vertical displacement is negligible, so that it is not affected by attitude fluctuations of the platform. For photon profiles consisting of multiple echo signals within a certain integration time, the maximum vertical displacement cannot be ignored in the temperature retrieval process.
- (2)
- When the attitude (pitch and roll angle) is constant, the larger the observation angle, the greater the average and maximum deviation in the temperature retrieval. When the measured pitch angle is = 3.62° and the roll angle is = −0.64°, the maximum temperature deviations are 1 K, 12.47 K, and 21.29 K at the observation angles of 0°, 30°, and 45°, respectively. The results demonstrate that vertical displacement is a crucial factor in causing temperature retrieval inaccuracy.
- (3)
- When the observation angle is fixed, the temperature deviation rises with the increase of attitude angle. In particular, the altitude displacement caused by variations of pitch angle is a significant factor in causing temperature retrieval inaccuracy. When the observation angle is 0°, the retrieved temperature is positively biased relative to the model, and the maximum temperature deviation is less than 3 K. When the observation angles are 30° and 45°, the sign of angle results in density inequality and then affects the deviation in temperature profiles. Under the condition that the observation angle is 45°, the maximum temperature deviation is up to 65 K when the average pitch angle is −7.5°.
- (4)
- The effect of attitude compensation is remarkable. At the observation angles of 0°, 30°, and 45°, the average temperature deviation after attitude compensation is 0.1 K, and the maximum temperature deviation is 0.366 K. Similar results can be obtained under different integration times. In addition, the method is not sensitive to the variation of attitude data.
Author Contributions
Funding
Data Availability Statement
Conflicts of Interest
References
- Veerabuthiran, S.; Razdan, A.; Jindal, M.; Dubey, D.; Sharma, R. Mie lidar observations of lower tropospheric aerosols and clouds. Spectrochim. Acta Part A Mol. Biomol. Spectrosc. 2011, 84, 32–36. [Google Scholar] [CrossRef] [PubMed]
- Yue, C.; Yang, G.; Wang, J.; Guan, S.; Du, L.; Cheng, X.; Yang, Y. Lidar observations of the middle atmospheric thermal structure over north China and comparisons with TIMED/SABER. J. Atmos. Sol. Terr. Phys. 2014, 120, 80–87. [Google Scholar] [CrossRef]
- Dou, X.; Han, Y.; Sun, D.; Xia, H.; Shu, Z.; Zhao, R.; Shangguan, M.; Guo, J. Mobile Rayleigh Doppler lidar for wind and temperature measurements in the stratosphere and lower mesosphere. Opt. Express 2014, 22, A1203–A1221. [Google Scholar] [CrossRef]
- Yan, Z.; Hu, X.; Guo, W.; Guo, S.; Cheng, Y.; Gong, J.; Yue, J. Development of a mobile Doppler lidar system for wind and temperature measurements at 30–70 km. J. Quant. Spectrosc. Radiat. Transf. 2017, 188, 52–59. [Google Scholar] [CrossRef]
- Chang, Q.; Yang, G.; Song, J.; Gong, S. Studying the stability of the middle atmosphere (30–60 km) over Wuhan by Rayleigh lidar. Chin. Sci. Bull. 2006, 51, 2657–2661. [Google Scholar] [CrossRef]
- Xia, H.; Shangguan, M.; Wang, C.; Shentu, G.; Qiu, J.; Zhang, Q.; Dou, X.; Pan, J. Micro-pulse upconversion Doppler lidar for wind and visibility detection in the atmospheric boundary layer. Opt. Lett. 2016, 41, 5218–5221. [Google Scholar] [CrossRef]
- Taori, A.; Kamalakar, V.; Raghunath, K.; Rao, S.; Russell, J., III. Simultaneous Rayleigh lidar and airglow measurements of middle atmospheric waves over low latitudes in India. J. Atmos. Sol. Terr. Phys. 2012, 78, 62–69. [Google Scholar] [CrossRef]
- Suzuki, S.; Lübken, F.-J.; Baumgarten, G.; Kaifler, N.; Eixmann, R.; Williams, B.P.; Nakamura, T. Vertical propagation of a mesoscale gravity wave from the lower to the upper atmosphere. J. Atmos. Sol. Terr. Phys. 2013, 97, 29–36. [Google Scholar] [CrossRef]
- Sox, L.; Wickwar, V.B.; Yuan, T.; Criddle, N.R. Simultaneous Rayleigh-scatter and sodium resonance lidar temperature comparisons in the mesosphere-lower thermosphere. J. Geophys. Res. Atmos. 2018, 123, 10–688. [Google Scholar] [CrossRef]
- Kaifler, B.; Rempel, D.; Roßi, P.; Büdenbender, C.; Kaifler, N.; Baturkin, V. A technical description of the Balloon Lidar Experiment (BOLIDE). Atmos. Meas. Tech. 2020, 13, 5681–5695. [Google Scholar] [CrossRef]
- Zhao, W.; Hu, X.; Pan, W.; Yan, Z.; Guo, W. Mesospheric Gravity Wave Potential Energy Density Observed by Rayleigh Lidar above Golmud (36.25° N, 94.54° E), Tibetan Plateau. Atmosphere 2022, 13, 1084. [Google Scholar] [CrossRef]
- Zhao, W.; Hu, X.; Yan, Z.; Pan, W.; Guo, W.; Yang, J.; Du, X. Atmospheric Gravity Wave Potential Energy Observed by Rayleigh Lidar above Jiuquan (40° N, 95° E), China. Atmosphere 2022, 13, 1098. [Google Scholar] [CrossRef]
- Von Zahn, U.; Von Cossart, G.; Fiedler, J.; Fricke, K.; Nelke, G.; Baumgarten, G.; Rees, D.; Hauchecorne, A.; Adolfsen, K. The ALOMAR Rayleigh/Mie/Raman lidar: Objectives, configuration, and performance. Ann. Geophys. 2000, 18, 815–833. [Google Scholar] [CrossRef]
- Baray, J.-L.; Courcoux, Y.; Keckhut, P.; Portafaix, T.; Tulet, P.; Cammas, J.-P.; Hauchecorne, A.; Godin Beekmann, S.; De Mazière, M.; Hermans, C. Maïdo observatory: A new high-altitude station facility at Reunion Island (21 S, 55 E) for long-term atmospheric remote sensing and in situ measurements. Atmos. Meas. Tech. 2013, 6, 2865–2877. [Google Scholar] [CrossRef]
- Keckhut, P.; Courcoux, Y.; Baray, J.-L.; Porteneuve, J.; Vérèmes, H.; Hauchecorne, A.; Dionisi, D.; Posny, F.; Cammas, J.-P.; Payen, G. Introduction to the Maïdo Lidar Calibration Campaign dedicated to the validation of upper air meteorological parameters. J. Appl. Remote Sens. 2015, 9, 094099. [Google Scholar] [CrossRef][Green Version]
- Kaifler, B.; Kaifler, N. A Compact Rayleigh Autonomous Lidar (CORAL) for the middle atmosphere. Atmos. Meas. Tech. 2021, 14, 1715–1732. [Google Scholar] [CrossRef]
- Rapp, M.; Kaifler, B.; Dörnbrack, A.; Gisinger, S.; Mixa, T.; Reichert, R.; Kaifler, N.; Knobloch, S.; Eckert, R.; Wildmann, N. SOUTHTRAC-GW: An airborne field campaign to explore gravity wave dynamics at the world’s strongest hotspot. Bull. Am. Meteorol. Soc. 2021, 102, E871–E893. [Google Scholar] [CrossRef]
- Li, H.; Chang, J.; Xu, F.; Liu, Z.; Yang, Z.; Zhang, L.; Zhang, S.; Mao, R.; Dou, X.; Liu, B. Efficient lidar signal denoising algorithm using variational mode decomposition combined with a whale optimization algorithm. Remote Sens. 2019, 11, 126. [Google Scholar] [CrossRef]
- Hauchecorne, A.; Chanin, M.L. Density and temperature profiles obtained by lidar between 35 and 70 km. Geophys. Res. Lett. 1980, 7, 565–568. [Google Scholar] [CrossRef]
- Knobloch, S.; Kaifler, B.; Rapp, M. Estimating the uncertainty of middle-atmospheric temperatures retrieved from airborne Rayleigh lidar measurements. Atmos. Meas. Tech. Discuss. 2022, 2022, 1–27. [Google Scholar]
- Chen, Z.; Yan, Z.; Zhang, B.; Hu, X.; Cheng, X.; Guo, W. Research on the Measurement Accuracy of Shipborne Rayleigh Scattering Lidar. Remote Sens. 2022, 14, 5033. [Google Scholar] [CrossRef]
- Kaifler, N.; Kaifler, B.; Rapp, M.; Fritts, D.C. The polar mesospheric cloud dataset of the Balloon Lidar Experiment (BOLIDE). Earth Syst. Sci. Data 2022, 14, 4923–4934. [Google Scholar] [CrossRef]
- Khanna, J. Atmospheric Temperature Retrievals from Lidar Measurements Using Techniques of Non-Linear Mathematical Inversion; The University of Western Ontario: London, ON, Canada, 2011. [Google Scholar]
- Picone, J.; Hedin, A.; Drob, D.P.; Aikin, A. NRLMSISE-00 empirical model of the atmosphere: Statistical comparisons and scientific issues. J. Geophys. Res. Space Phys. 2002, 107, SIA 15-11–SIA 15-16. [Google Scholar] [CrossRef]
- Vinutha, H.; Poornima, B.; Sagar, B. Detection of outliers using interquartile range technique from intrusion dataset. In Proceedings of the Information and Decision Sciences: Proceedings of the 6th International Conference on FICTA; Springer: Singapore, 2018. [Google Scholar]
- Argall, P. Upper altitude limit for Rayleigh lidar. Ann. Geophys. 2007, 25, 19–25. [Google Scholar] [CrossRef]













| System Parameter | Value |
|---|---|
| Laser pulse energy E/mJ | 40 |
| Telescope diameter A/mm | 350 |
| Detection quantum efficiency η(λ) | 0.5 |
| Total optical transmittance Tt·Tr | 0.4 |
| Range resolution ΔR/m | 100 |
| Field of view/μrad | 165 |
| Divergence angle of laser/μrad | 80 |
| Integration Time | Max Deviation | Average Deviation | Average Pitch Angle | σθ | Average Roll Angle | σγ |
|---|---|---|---|---|---|---|
| 30 | 21.29 | 17.39 | 3.62 | 0.37 | −0.64 | 0.06 |
| 60 | 23.3 | 19.08 | 4.02 | 0.48 | −0.66 | 0.06 |
| 180 | 22.93 | 18.77 | 3.94 | 0.31 | −0.67 | 0.04 |
| 300 | 22.89 | 18.75 | 3.936 | 0.25 | −0.69 | 0.05 |
| 600 | 23.31 | 19.1 | 4.02 | 0.22 | −0.77 | 0.01 |
Disclaimer/Publisher’s Note: The statements, opinions and data contained in all publications are solely those of the individual author(s) and contributor(s) and not of MDPI and/or the editor(s). MDPI and/or the editor(s) disclaim responsibility for any injury to people or property resulting from any ideas, methods, instructions or products referred to in the content. |
© 2024 by the authors. Licensee MDPI, Basel, Switzerland. This article is an open access article distributed under the terms and conditions of the Creative Commons Attribution (CC BY) license (https://creativecommons.org/licenses/by/4.0/).
Share and Cite
Wu, T.; Zhong, K.; Zhang, X.; Li, F.; Li, X.; Zhang, X.; Yan, Z.; Xu, D.; Yao, J. Measurement Accuracy and Attitude Compensation of Rayleigh Lidar on an Airborne Floating Platform. Remote Sens. 2024, 16, 3308. https://doi.org/10.3390/rs16173308
Wu T, Zhong K, Zhang X, Li F, Li X, Zhang X, Yan Z, Xu D, Yao J. Measurement Accuracy and Attitude Compensation of Rayleigh Lidar on an Airborne Floating Platform. Remote Sensing. 2024; 16(17):3308. https://doi.org/10.3390/rs16173308
Chicago/Turabian StyleWu, Tong, Kai Zhong, Xianzhong Zhang, Fangjie Li, Xinqi Li, Xiaojian Zhang, Zhaoai Yan, Degang Xu, and Jianquan Yao. 2024. "Measurement Accuracy and Attitude Compensation of Rayleigh Lidar on an Airborne Floating Platform" Remote Sensing 16, no. 17: 3308. https://doi.org/10.3390/rs16173308
APA StyleWu, T., Zhong, K., Zhang, X., Li, F., Li, X., Zhang, X., Yan, Z., Xu, D., & Yao, J. (2024). Measurement Accuracy and Attitude Compensation of Rayleigh Lidar on an Airborne Floating Platform. Remote Sensing, 16(17), 3308. https://doi.org/10.3390/rs16173308

