Enhanced Leaf Area Index Estimation in Rice by Integrating UAV-Based Multi-Source Data
Abstract
1. Introduction
2. Materials and Methods
2.1. Plant Materials and Experimental Setup
2.2. UAV Data Acquisition
2.3. Features Extraction from UAV Images
2.3.1. Extraction of Average Spectral Reflectance
2.3.2. Extraction of VIs
2.3.3. Extraction of Textural Features
2.4. Model Building and Evaluation
3. Results
3.1. Statistical Analysis of LAI
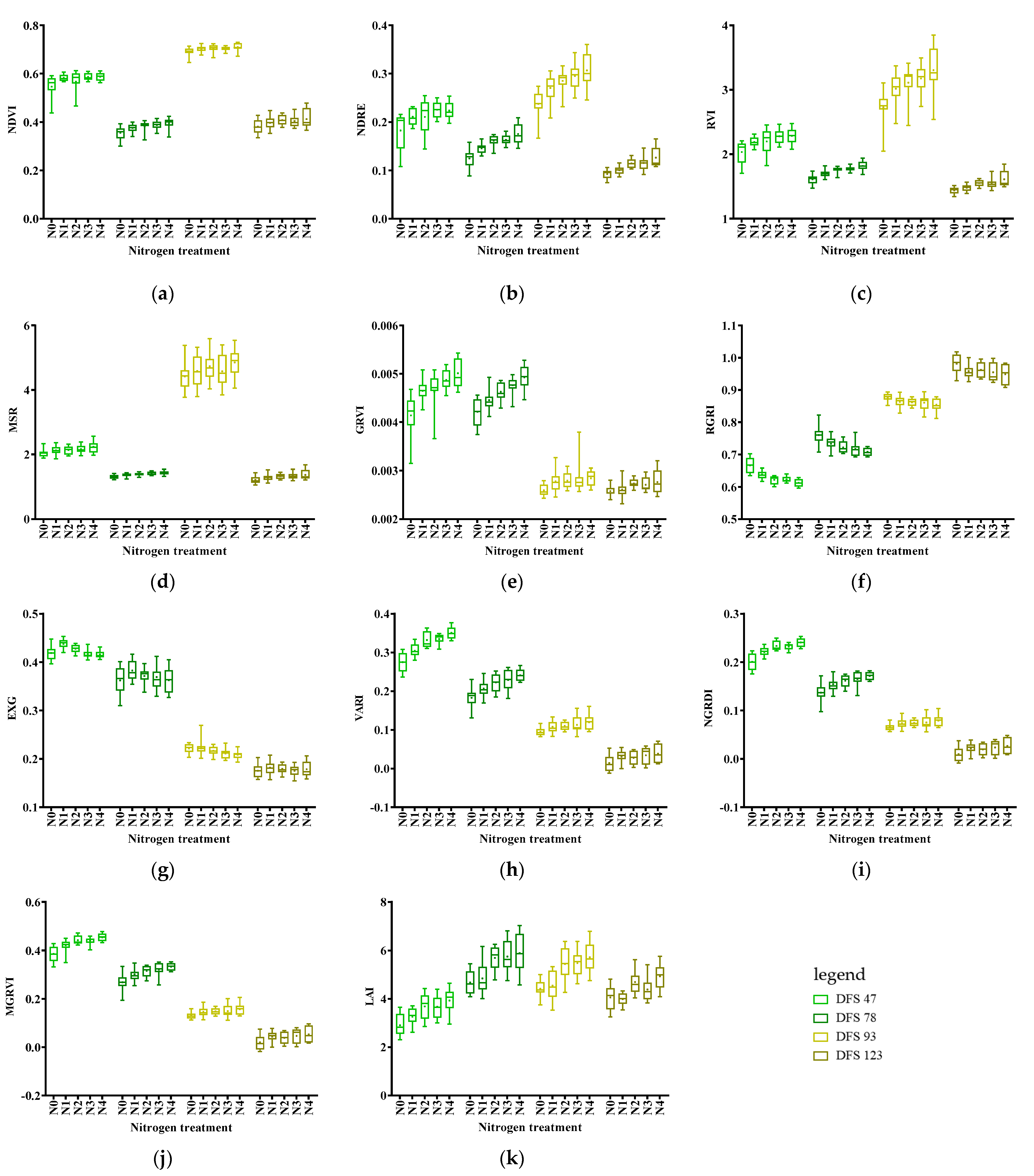
3.2. The Changes of VIs with Different Stages
3.3. The Changes of Textural Features at Different Stages
3.4. Feature Parameters Response to LAI
3.5. Accuracy Assessment of the Predicted LAIs
4. Discussion
5. Conclusions
- Textures exhibited higher sensitivity to rice LAI under nitrogen stress compared to ASR and VIs.
- Using a multi-source feature fusion strategy improved the accuracy of the model in predicting LAI compared to using a single feature. The highest LAI estimation accuracy (RP2 = 0.78, RMSEP = 0.49) was provided based on ASR + VIs + textures using RF methods.
- Among the four machine learning algorithms, RF and SVM demonstrated strong potential in estimating LAI of the rice crop under nitrogen stress. Specifically, the RP2 of estimated LAI using ASR + VIs+ textures, in descending order, are 0.78, 0.73, 0.67 and 0.62, achieved by RF, SVM, PLS and ELM, respectively.
Author Contributions
Funding
Data Availability Statement
Conflicts of Interest
Appendix A



References
- Watson, D.J. Comparative Physiological Studies on the Growth of Field Crops: II. The Effect of Varying Nutrient Supply on Net Assimilation Rate and Leaf Area. Ann. Bot. 1947, 11, 375–407. [Google Scholar] [CrossRef]
- Wells, R. Soybean Growth Response to Plant Density: Relationships among Canopy Photosynthesis, Leaf Area, and Light Interception. Crop Sci. 1991, 31, 755–761. [Google Scholar] [CrossRef]
- Loomis, R.S.; Williams, W.A. Maximum Crop Productivity: An Extimate1. Crop Sci. 1963, 3, 67–72. [Google Scholar] [CrossRef]
- Richards, R.A.; Townley-Smith, T.F. Variation in Leaf Area Development and Its Effect on Water Use, Yield and Harvest Index of Droughted Wheat. Aust. J. Agric. Res. 1987, 38, 983–992. [Google Scholar] [CrossRef]
- Duchemin, B.; Maisongrande, P.; Boulet, G.; Benhadj, I. A Simple Algorithm for Yield Estimates: Evaluation for Semi-Arid Irrigated Winter Wheat Monitored with Green Leaf Area Index. Environ. Model. Softw. 2008, 23, 876–892. [Google Scholar] [CrossRef]
- Jefferies, R.A.; Mackerron, D.K.L. Responses of Potato Genotypes to Drought. II. Leaf Area Index, Growth and Yield. Ann. Appl. Biol. 1993, 122, 105–112. [Google Scholar] [CrossRef]
- Li, S.; Ding, X.; Kuang, Q.; Ata-UI-Karim, S.T.; Cheng, T.; Liu, X.; Tian, Y.; Zhu, Y.; Cao, W.; Cao, Q. Potential of UAV-Based Active Sensing for Monitoring Rice Leaf Nitrogen Status. Front. Plant Sci. 2018, 871, 414226. [Google Scholar] [CrossRef]
- Xu, X.Q.; Lu, J.S.; Zhang, N.; Yang, T.C.; He, J.Y.; Yao, X.; Cheng, T.; Zhu, Y.; Cao, W.X.; Tian, Y.C. Inversion of Rice Canopy Chlorophyll Content and Leaf Area Index Based on Coupling of Radiative Transfer and Bayesian Network Models. ISPRS J. Photogramm. Remote Sens. 2019, 150, 185–196. [Google Scholar] [CrossRef]
- Liu, Y.; Feng, H.; Yue, J.; Li, Z.; Yang, G.; Song, X.; Yang, X.; Zhao, Y. Remote-Sensing Estimation of Potato above-Ground Biomass Based on Spectral and Spatial Features Extracted from High-Definition Digital Camera Images. Comput. Electron. Agric. 2022, 198, 107089. [Google Scholar] [CrossRef]
- Fu, B.; Sun, J.; Wang, Y.; Yang, W.; He, H.; Liu, L.; Huang, L.; Fan, D.; Gao, E. Evaluation of LAI Estimation of Mangrove Communities Using DLR and ELR Algorithms with UAV, Hyperspectral, and SAR Images. Front. Mar. Sci. 2022, 9, 944454. [Google Scholar] [CrossRef]
- Wan, L.; Zhang, J.; Dong, X.; Du, X.; Zhu, J.; Sun, D.; Liu, Y.; He, Y.; Cen, H. Unmanned Aerial Vehicle-Based Field Phenotyping of Crop Biomass Using Growth Traits Retrieved from PROSAIL Model. Comput. Electron. Agric. 2021, 187, 106304. [Google Scholar] [CrossRef]
- Kira, O.; Nguy-Robertson, A.L.; Arkebauer, T.J.; Linker, R.; Gitelson, A.A. Toward Generic Models for Green LAI Estimation in Maize and Soybean: Satellite Observations. Remote Sens. 2017, 9, 318. [Google Scholar] [CrossRef]
- Hasan, U.; Sawut, M.; Chen, S. Estimating the Leaf Area Index of Winter Wheat Based on Unmanned Aerial Vehicle RGB-Image Parameters. Sustainability 2019, 11, 6829. [Google Scholar] [CrossRef]
- Azadbakht, M.; Ashourloo, D.; Aghighi, H.; Radiom, S.; Alimohammadi, A. Wheat Leaf Rust Detection at Canopy Scale under Different LAI Levels Using Machine Learning Techniques. Comput. Electron. Agric. 2019, 156, 119–128. [Google Scholar] [CrossRef]
- Shi, Y.; Gao, Y.; Wang, Y.; Luo, D.; Chen, S.; Ding, Z.; Fan, K. Using Unmanned Aerial Vehicle-Based Multispectral Image Data to Monitor the Growth of Intercropping Crops in Tea Plantation. Front. Plant Sci. 2022, 13, 820585. [Google Scholar] [CrossRef] [PubMed]
- Ma, Y.; Zhang, Q.; Yi, X.; Ma, L.; Zhang, L.; Huang, C.; Zhang, Z.; Lv, X. Estimation of Cotton Leaf Area Index (LAI) Based on Spectral Transformation and Vegetation Index. Remote Sens. 2021, 14, 136. [Google Scholar] [CrossRef]
- Liu, C.; Yang, G.J.; Li, Z.H.; Tang, F.Q.; Wang, J.W.; Zhang, C.L.; Zhang, L.Y. Biomass Estimation in Winter Wheat by UAV Spectral Information and Texture Information Fusion. Sci. Agric. Sin. 2018, 51, 3060–3073. [Google Scholar] [CrossRef]
- Gong, Y.; Yang, K.; Lin, Z.; Fang, S.; Wu, X.; Zhu, R.; Peng, Y. Remote Estimation of Leaf Area Index (LAI) with Unmanned Aerial Vehicle (UAV) Imaging for Different Rice Cultivars throughout the Entire Growing Season. Plant Methods 2021, 17, 88. [Google Scholar] [CrossRef]
- Li, S.; Yuan, F.; Ata-UI-Karim, S.T.; Zheng, H.; Cheng, T.; Liu, X.; Tian, Y.; Zhu, Y.; Cao, W.; Cao, Q. Combining Color Indices and Textures of UAV-Based Digital Imagery for Rice LAI Estimation. Remote Sens. 2019, 11, 1763. [Google Scholar] [CrossRef]
- Li, J.; Jiang, H.; Luo, W.; Ma, X.; Zhang, Y. Potato LAI Estimation by Fusing UAV Multi-Spectral and Texture Features. J. South China Agric. Univ. 2023, 44, 93–101. [Google Scholar] [CrossRef]
- Zhang, X.; Zhang, K.; Sun, Y.; Zhao, Y.; Zhuang, H.; Ban, W.; Chen, Y.; Fu, E.; Chen, S.; Liu, J.; et al. Combining Spectral and Texture Features of UAS-Based Multispectral Images for Maize Leaf Area Index Estimation. Remote Sens. 2022, 14, 331. [Google Scholar] [CrossRef]
- Potgieter, A.B.; George-Jaeggli, B.; Chapman, S.C.; Laws, K.; Cadavid, L.A.S.; Wixted, J.; Watson, J.; Eldridge, M.; Jordan, D.R.; Hammer, G.L. Multi-Spectral Imaging from an Unmanned Aerial Vehicle Enables the Assessment of Seasonal Leaf Area Dynamics of Sorghum Breeding Lines. Front. Plant Sci. 2017, 8, 274727. [Google Scholar] [CrossRef] [PubMed]
- Yue, J.; Yang, G.; Tian, Q.; Feng, H.; Xu, K.; Zhou, C. Estimate of Winter-Wheat above-Ground Biomass Based on UAV Ultrahigh-Ground-Resolution Image Textures and Vegetation Indices. ISPRS J. Photogramm. Remote Sens. 2019, 150, 226–244. [Google Scholar] [CrossRef]
- Yang, K.; Gong, Y.; Fang, S.; Duan, B.; Yuan, N.; Peng, Y.; Wu, X.; Zhu, R. Combining Spectral and Texture Features of Uav Images for the Remote Estimation of Rice Lai throughout the Entire Growing Season. Remote Sens. 2021, 13, 3001. [Google Scholar] [CrossRef]
- Yan, P.; Han, Q.; Feng, Y.; Kang, S. Estimating LAI for Cotton Using Multisource UAV Data and a Modified Universal Model. Remote Sens. 2022, 14, 4272. [Google Scholar] [CrossRef]
- Feng, A.; Zhou, J.; Vories, E.D.; Sudduth, K.A.; Zhang, M. Yield Estimation in Cotton Using UAV-Based Multi-Sensor Imagery. Biosyst. Eng. 2020, 193, 101–114. [Google Scholar] [CrossRef]
- Qiao, L.; Gao, D.; Zhao, R.; Tang, W.; An, L.; Li, M.; Sun, H. Improving Estimation of LAI Dynamic by Fusion of Morphological and Vegetation Indices Based on UAV Imagery. Comput. Electron. Agric. 2022, 192, 106603. [Google Scholar] [CrossRef]
- Liang, D.; Guan, Q.; Huang, W.; Huang, L.; Yang, G. Remote Sensing Inversion of Leaf Area Index Based on Support Vector Machine Regression in Winter Wheat. Trans. Chin. Soc. Agric. Eng. 2013, 29, 117–123. [Google Scholar]
- Hong, G.; Luo, M.R.; Rhodes, P.A. A Study of Digital Camera Colorimetric Characterization Based on Polynomial Modeling. Color Res. Appl. 2001, 26, 76–84. [Google Scholar] [CrossRef]
- Richardson, M.D.; Karcher, D.E.; Purcell, L.C. Quantifying Turfgrass Cover Using Digital Image Analysis. Crop Sci. 2001, 41, 1884–1888. [Google Scholar] [CrossRef]
- Zhang, K.; Ge, X.; Shen, P.; Li, W.; Liu, X.; Cao, Q.; Zhu, Y.; Cao, W.; Tian, Y. Predicting Rice Grain Yield Based on Dynamic Changes in Vegetation Indexes during Early to Mid-Growth Stages. Remote Sens. 2019, 11, 387. [Google Scholar] [CrossRef]
- Zhang, L.; Han, W.; Niu, Y.; Chávez, J.L.; Shao, G.; Zhang, H. Evaluating the Sensitivity of Water Stressed Maize Chlorophyll and Structure Based on UAV Derived Vegetation Indices. Comput. Electron. Agric. 2021, 185, 106174. [Google Scholar] [CrossRef]
- Qiu, Z.; Xiang, H.; Ma, F.; Du, C. Qualifications of Rice Growth Indicators Optimized at Different Growth Stages Using Unmanned Aerial Vehicle Digital Imagery. Remote Sens. 2020, 12, 3228. [Google Scholar] [CrossRef]
- Zhao, R.; Tang, W.; An, L.; Qiao, L.; Wang, N.; Sun, H.; Li, M.; Liu, G.; Liu, Y. Solar-Induced Chlorophyll Fluorescence Extraction Based on Heterogeneous Light Distribution for Improving in-Situ Chlorophyll Content Estimation. Comput. Electron. Agric. 2023, 215, 108405. [Google Scholar] [CrossRef]
- Zheng, Q.; Huang, W.; Cui, X.; Dong, Y.; Shi, Y.; Ma, H.; Liu, L. Identification of Wheat Yellow Rust Using Optimal Three-Band Spectral Indices in Different Growth Stages. Sensors 2018, 19, 35. [Google Scholar] [CrossRef]
- Pazhanivelan, S.; Kumaraperumal, R.; Shanmugapriya, P.; Sudarmanian, N.S.; Sivamurugan, A.P.; Satheesh, S. Quantification of Biophysical Parameters and Economic Yield in Cotton and Rice Using Drone Technology. Agriculture 2023, 13, 1668. [Google Scholar] [CrossRef]
- Liu, Y.; Feng, H.; Yue, J.; Fan, Y.; Jin, X.; Song, X.; Yang, H.; Yang, G. Estimation of Potato Above-Ground Biomass Based on Vegetation Indices and Green-Edge Parameters Obtained from UAVs. Remote Sens. 2022, 14, 5323. [Google Scholar] [CrossRef]
- Xu, T.; Wang, F.; Xie, L.; Yao, X.; Zheng, J.; Li, J.; Chen, S.; Huang, J.; Wu, Q.; Huang, Y.; et al. Integrating the Textural and Spectral Information of UAV Hyperspectral Images for the Improved Estimation of Rice Aboveground Biomass. Remote Sens. 2022, 14, 2534. [Google Scholar] [CrossRef]
- Fu, Y.; Yang, G.; Li, Z.; Song, X.; Li, Z.; Xu, X.; Wang, P.; Zhao, C. Winter Wheat Nitrogen Status Estimation Using UAV-Based RGB Imagery and Gaussian Processes Regression. Remote Sens. 2020, 12, 3778. [Google Scholar] [CrossRef]
- Huang, G.-B.; Zhu, Q.-Y.; Siew, C.-K. Extreme Learning Machine: Theory and Applications. Neurocomputing 2006, 70, 489–501. [Google Scholar] [CrossRef]
- Svetnik, V.; Liaw, A.; Tong, C.; Christopher Culberson, J.; Sheridan, R.P.; Feuston, B.P. Random Forest: A Classification and Regression Tool for Compound Classification and QSAR Modeling. J. Chem. Inf. Comput. Sci. 2003, 43, 1947–1958. [Google Scholar] [CrossRef] [PubMed]
- Durbha, S.S.; King, R.L.; Younan, N.H. Support Vector Machines Regression for Retrieval of Leaf Area Index from Multiangle Imaging Spectroradiometer. Remote Sens. Environ. 2007, 107, 348–361. [Google Scholar] [CrossRef]
- Zhang, M.; Zhou, J.; Sudduth, K.A.; Kitchen, N.R. Estimation of Maize Yield and Effects of Variable-Rate Nitrogen Application Using UAV-Based RGB Imagery. Biosyst. Eng. 2020, 189, 24–35. [Google Scholar] [CrossRef]
- Yoshida, S. Fundamentals of Rice Crop Science; International Rice Research Institute: Los Baños, Philippines, 1981. [Google Scholar]
- Woolley, J.T. Reflectance and Transmittance of Light by Leaves. Plant Physiol. 1971, 47, 656–662. [Google Scholar] [CrossRef] [PubMed]
- Gausman, H.W.; Allen, W.A.; Cardenas, R. Reflectance of Cotton Leaves and Their Structure. Remote Sens. Environ. 1969, 1, 19–22. [Google Scholar] [CrossRef]
- Yu, Z.; Ustin, S.L.; Zhang, Z.; Liu, H.; Zhang, X.; Meng, X.; Cui, Y.; Guan, H. Estimation of a New Canopy Structure Parameter for Rice Using Smartphone Photography. Sensors 2020, 20, 4011. [Google Scholar] [CrossRef] [PubMed]
- Zhang, J.; Qiu, X.; Wu, Y.; Zhu, Y.; Cao, Q.; Liu, X.; Cao, W. Combining Texture, Color, and Vegetation Indices from Fixed-Wing UAS Imagery to Estimate Wheat Growth Parameters Using Multivariate Regression Methods. Comput. Electron. Agric. 2021, 185, 106138. [Google Scholar] [CrossRef]
- Liu, Y.; An, L.; Wang, N.; Tang, W.; Liu, M.; Liu, G.; Sun, H.; Li, M.; Ma, Y. Leaf Area Index Estimation under Wheat Powdery Mildew Stress by Integrating UAV-based Spectral, Textural and Structural Features. Comput. Electron. Agric. 2023, 213, 108169. [Google Scholar] [CrossRef]
- Breiman, L. Random Forests. Mach. Learn. 2001, 45, 5–32. [Google Scholar] [CrossRef]
- Zhang, J.; Cheng, T.; Guo, W.; Xu, X.; Qiao, H.; Xie, Y.; Ma, X. Leaf Area Index Estimation Model for UAV Image Hyperspectral Data Based on Wavelength Variable Selection and Machine Learning Methods. Plant Methods 2021, 17, 49. [Google Scholar] [CrossRef]










| Date | Growth Stage | Days from Sowing (DFS) | Parameters |
|---|---|---|---|
| 26 July 2019 | Stem Elongation | 46 | LAI |
| 27 July 2019 | Stem Elongation | 47 | RGB & MS images |
| 26 August 2019 | Booting | 77 | LAI |
| 27 August 2019 | Booting | 78 | RGB & MS images |
| 8 September 2019 | Heading | 92 | LAI |
| 9 September 2019 | Heading | 93 | RGB & MS images |
| 7 October 2019 | Filling | 121 | LAI |
| 8 October 2019 | Filling | 122 | RGB & MS images |
| Vegetation Indices | Definition | Reference |
|---|---|---|
| Normalized difference vegetation index (NDVI) | (f796 − f680)/(f796 + f680) | [27] |
| Normalized difference red edge (NDRE) | (f796 − f732)/(f796 + f732) | [31] |
| Ratio vegetation index (RVI) | f796/f718 | [28] |
| Modified simple ratio (MSR) | (f838/f666 − 1)/(f838/f666 + 1)1/2 | [32] |
| Green ratio vegetation index (GRVI) | f838/g | [27] |
| Red–green ratio index (RGRI) | r/g | [33] |
| Excess green index (EXG) | 2 × g − r− b | [34] |
| Visible atmospherically resistant index (VARI) | (g − r)/(g + r − b) | [35] |
| Normalized green–red difference index (NGRDI) | (g − r)/(g + r) | [36] |
| Modified green–red difference index (MGRVI) | (g2 − r2)/(g2 + r2) | [33] |
| Metrics | Dataset | Min | Mean | Max | Standard Deviation | Coefficient of Variation (%) |
|---|---|---|---|---|---|---|
| LAI | Cal | 2.018 | 4.514 | 7.504 | 1.062 | 23.39 |
| Val | 2.578 | 4.680 | 6.783 | 0.9298 | 19.87 |
| Method | Feature Sets | Contained Features | Number | RP2 | RMSEP |
|---|---|---|---|---|---|
| PLS | ASR | MS (6 bands), RGB (3 bands) | 9 | 0.55 | 0.68 |
| VIs | NDRE, RVI, MSR, RGRI, EXG, VARI, NGRDI, MGRVI | 8 | 0.51 | 0.84 | |
| Textures | R/G/B-CON, R/G/B-COR, R/G/B-ENE, and R/G/B-HOM | 12 | 0.50 | 0.73 | |
| ASR + VIs | MS (6 bands), RGB (3 bands), NDRE, RVI, MSR, RGRI, EXG, VARI, NGRDI, MGRVI | 17 | 0.61 | 0.64 | |
| ASR + Textures | MS (6 bands), RGB (3 bands), R/G/B-CON, R/G/B-COR, R/G/B-ENE, and R/G/B-HOM | 21 | 0.63 | 0.63 | |
| VIs + Textures | NDRE, RVI, MSR, RGRI, EXG, VARI, NGRDI, MGRVI, R/G/B-CON, R/G/B-COR, R/G/B-ENE, and R/G/B-HOM | 20 | 0.63 | 0.58 | |
| ASR + VIs + Textures | All | 29 | 0.67 | 0.56 | |
| ELM | ASR | MS (6 bands), RGB (3 bands) | 9 | 0.53 | 0.72 |
| VIs | NDRE, RVI, MSR, RGRI, EXG, VARI, NGRDI, MGRVI | 8 | 0.54 | 0.65 | |
| Textures | R/G/B-CON, R/G/B-COR, R/G/B-ENE, and R/G/B-HOM | 12 | 0.53 | 0.75 | |
| ASR + VIs | MS (6 bands), RGB (3 bands), NDRE, RVI, MSR, RGRI, EXG, VARI, NGRDI, MGRVI | 17 | 0.61 | 0.64 | |
| ASR + Textures | MS (6 bands), RGB (3 bands), R/G/B-CON, R/G/B-COR, R/G/B-ENE, and R/G/B-HOM | 21 | 0.58 | 0.69 | |
| VIs + Textures | NDRE, RVI, MSR, RGRI, EXG, VARI, NGRDI, MGRVI, R/G/B-CON, R/G/B-COR, R/G/B-ENE, and R/G/B-HOM | 20 | 0.62 | 0.64 | |
| ASR + VIs + Textures | All | 29 | 0.62 | 0.60 | |
| RF | ASR | MS (6 bands), RGB (3 bands) | 9 | 0.76 | 0.57 |
| VIs | NDRE, RVI, MSR, RGRI, EXG, VARI, NGRDI, MGRVI | 8 | 0.59 | 0.59 | |
| Textures | R/G/B-CON, R/G/B-COR, R/G/B-ENE, and R/G/B-HOM | 12 | 0.56 | 0.57 | |
| ASR + VIs | MS (6 bands), RGB (3 bands), NDRE, RVI, MSR, RGRI, EXG, VARI, NGRDI, MGRVI | 17 | 0.78 | 0.51 | |
| ASR + Textures | MS (6 bands), RGB (3 bands), R/G/B-CON, R/G/B-COR, R/G/B-ENE, and R/G/B-HOM | 21 | 0.76 | 0.51 | |
| VIs + Textures | NDRE, RVI, MSR, RGRI, EXG, VARI, NGRDI, MGRVI, R/G/B-CON, R/G/B-COR, R/G/B-ENE, and R/G/B-HOM | 20 | 0.67 | 0.49 | |
| ASR + VIs + Textures | All | 29 | 0.78 | 0.49 | |
| SVM | ASR | MS (6 bands), RGB (3 bands) | 9 | 0.68 | 0.58 |
| VIs | NDRE, RVI, MSR, RGRI, EXG, VARI, NGRDI, MGRVI | 8 | 0.71 | 0.53 | |
| Textures | R/G/B-CON, R/G/B-COR, R/G/B-ENE, and R/G/B-HOM | 12 | 0.60 | 0.65 | |
| ASR + VIs | MS (6 bands), RGB (3 bands), NDRE, RVI, MSR, RGRI, EXG, VARI, NGRDI, MGRVI | 17 | 0.72 | 0.55 | |
| ASR + Textures | MS (6 bands), RGB (3 bands), R/G/B-CON, R/G/B-COR, R/G/B-ENE, and R/G/B-HOM | 21 | 0.72 | 0.56 | |
| VIs + Textures | NDRE, RVI, MSR, RGRI, EXG, VARI, NGRDI, MGRVI, R/G/B-CON, R/G/B-COR, R/G/B-ENE, and R/G/B-HOM | 20 | 0.69 | 0.60 | |
| ASR + VIs + Textures | All | 29 | 0.73 | 0.60 |
| Method | DFS | RC2 | RMSEC | RP2 | RMSEP |
|---|---|---|---|---|---|
| RF | 47 | 0.81 | 0.28 | 0.52 | 0.40 |
| 78 | 0.82 | 0.41 | 0.74 | 0.48 | |
| 93 | 0.81 | 0.47 | 0.53 | 0.49 | |
| 122 | 0.80 | 0.34 | 0.32 | 0.47 |
Disclaimer/Publisher’s Note: The statements, opinions and data contained in all publications are solely those of the individual author(s) and contributor(s) and not of MDPI and/or the editor(s). MDPI and/or the editor(s) disclaim responsibility for any injury to people or property resulting from any ideas, methods, instructions or products referred to in the content. |
© 2024 by the authors. Licensee MDPI, Basel, Switzerland. This article is an open access article distributed under the terms and conditions of the Creative Commons Attribution (CC BY) license (https://creativecommons.org/licenses/by/4.0/).
Share and Cite
Du, X.; Zheng, L.; Zhu, J.; He, Y. Enhanced Leaf Area Index Estimation in Rice by Integrating UAV-Based Multi-Source Data. Remote Sens. 2024, 16, 1138. https://doi.org/10.3390/rs16071138
Du X, Zheng L, Zhu J, He Y. Enhanced Leaf Area Index Estimation in Rice by Integrating UAV-Based Multi-Source Data. Remote Sensing. 2024; 16(7):1138. https://doi.org/10.3390/rs16071138
Chicago/Turabian StyleDu, Xiaoyue, Liyuan Zheng, Jiangpeng Zhu, and Yong He. 2024. "Enhanced Leaf Area Index Estimation in Rice by Integrating UAV-Based Multi-Source Data" Remote Sensing 16, no. 7: 1138. https://doi.org/10.3390/rs16071138
APA StyleDu, X., Zheng, L., Zhu, J., & He, Y. (2024). Enhanced Leaf Area Index Estimation in Rice by Integrating UAV-Based Multi-Source Data. Remote Sensing, 16(7), 1138. https://doi.org/10.3390/rs16071138

